Soil Amendments and Slow-Release Urea Improved Growth, Physiological Characteristics, and Yield of Salt-Tolerant Rice Under Salt Stress Conditions
Abstract
1. Introduction
2. Materials and Methods
2.1. Experimental Details and Crop Management
2.2. Determination of Agronomic Traits
2.3. Rice Leaf SPAD Value (Chlorophyll Content) and Canopy Intercept Rate
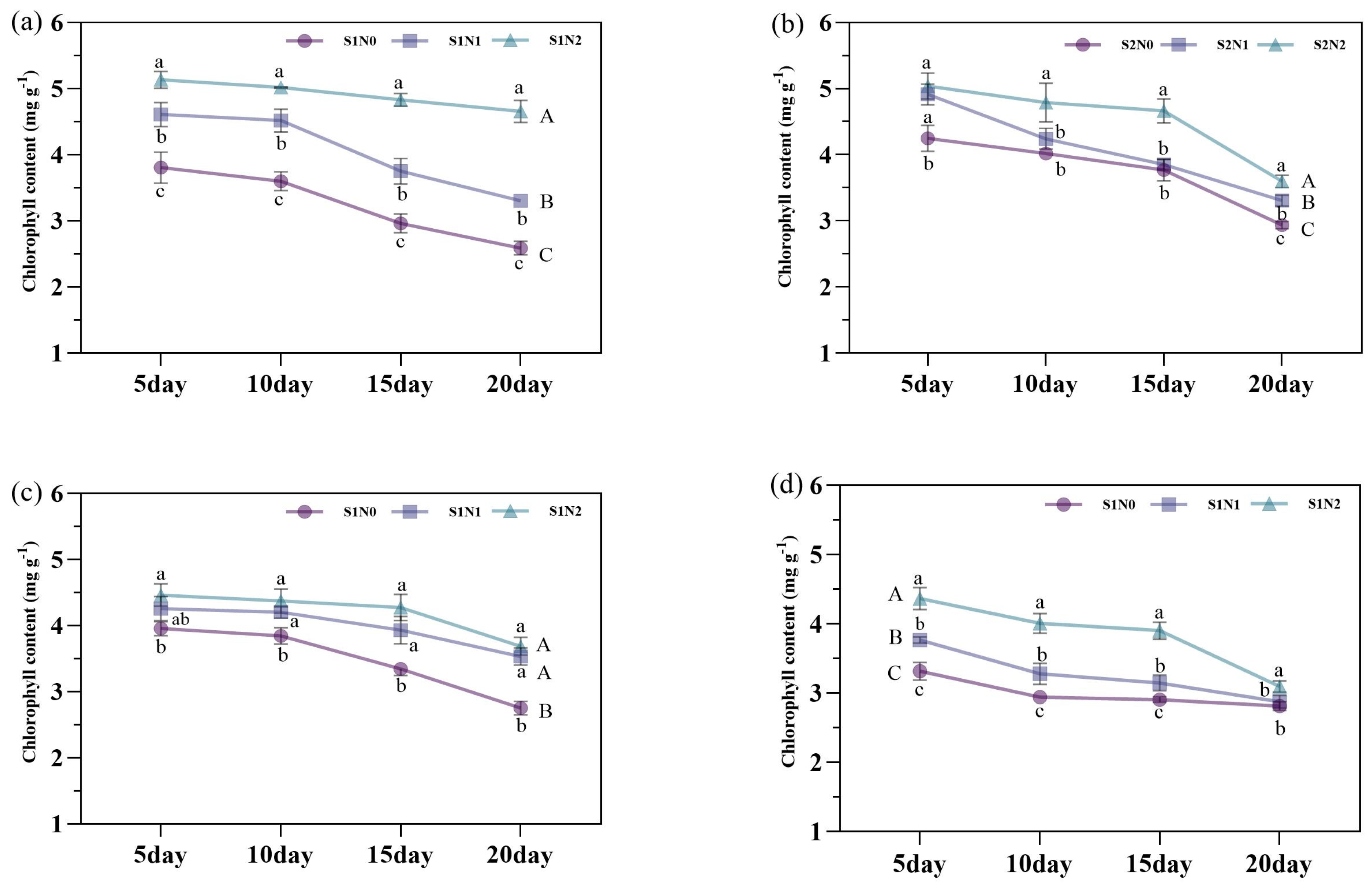
2.4. Determination of Chlorophyll Contents After HS
2.5. Leaf Water Content and Leaf Area Indices
2.6. Measurement Antioxidant and N Metabolic Enzyme Activities
2.7. Yield and Yield Component Measurements
3. Results
3.1. Yield and Yield Components
3.2. Tiller Number, Plant Height, Biomass, and Leaf Area Index
3.3. SPAD Values, Chlorophyll Contents After HS, and Canopy Intercept Rate
3.4. Leaf Water Content and Root Bleeding Intensity
3.5. Antioxidant Enzyme Activity and Malondialdehyde (MDA) Content
3.6. Leaf N Metabolic Enzyme Activity
4. Discussion
4.1. Impact of Soil Amendments and N Fertilizers on Rice Yield
4.2. Impact of Soil Amendments and N Fertilizers on Rice Growth
4.3. Impact of Soil Amendments and N Fertilizers on Rice Antioxidant Enzyme Activity
4.4. Impact of Soil Amendments and N Fertilizers on Rice N Metabolism
5. Conclusions
Author Contributions
Funding
Data Availability Statement
Acknowledgments
Conflicts of Interest
References
- Li, L.; Tian, H.; Zhang, M.; Fan, P.; Ashraf, U.; Liu, H.; Chen, X.; Duan, M.; Tang, X.; Wang, Z.; et al. Deep placement of nitrogen fertilizer increases rice yield and nitrogen use efficiency with fewer greenhouse gas emissions in a mechanical direct-seeded cropping system. Crop J. 2021, 9, 1386–1396. [Google Scholar] [CrossRef]
- Marghoob, M.; Rodriguez-Sanchez, A.; Imran, A.; Mubeen, F.; Hoagland, L. Diversity and functional traits of indigenous soil microbial flora associated with salinity and heavy metal concentrations in agricultural fields within the Indus Basin region, Pakistan. Front. Microbiol. 2022, 13, 1020175. [Google Scholar] [CrossRef] [PubMed]
- Li, L.; Huang, Z.; Zhang, Y.; Mu, Y.; Li, Y.; Nie, L. Regulation of 2-acetyl-1-pyrroline (2-AP) biosynthesis and grain quality in fragrant rice under salt stress. Field Crop. Res. 2025, 322, 109747. [Google Scholar] [CrossRef]
- Qin, P.; Han, R.; Zhou, M.; Zhang, H.; Fan, L.; Seliskar, D.; Gallagher, J. Ecological engineering through the biosecure introduction of Kosteletzkya virginica (seashore mallow) to saline lands in China: A review of 20 years of activity. Ecol. Eng. 2015, 74, 174–186. [Google Scholar] [CrossRef]
- Fatima, A.; Hussain, S.; Hussain, S.; Ali, B.; Ashraf, U.; Zulfiqar, U.; Aslam, Z.; Al-Robai, S.; Alzahrani, F.; Hano, C.; et al. Differential morphophysiological, biochemical, and molecular responses of maize hybrids to salinity and alkalinity stresses. Agronomy 2021, 11, 1150. [Google Scholar] [CrossRef]
- Korres, N.; Loka, D.; Gitsopoulos, T.; Varanasi, V.; Chachalis, D.; Price, A.; Slaton, N. Salinity effects on rice, rice weeds, and strategies to secure crop productivity and effective weed control. A review. Agron. Sustain. Dev. 2022, 42, 58. [Google Scholar] [CrossRef]
- Ling, F.; Su, Q.; Jiang, H.; Cui, J.; He, X.; Wu, Z.; Zhang, Z.; Liu, J.; Zhao, Y. Effects of strigolactone on photosynthetic and physiological characteristics in salt-stressed rice seedlings. Sci. Rep. 2020, 10, 6183. [Google Scholar] [CrossRef]
- Zhang, R.; Wang, Y.; Hussain, S.; Yang, S.; Li, R.; Liu, S.; Chen, Y.; Wei, H.; Dai, Q.; Hou, H.; et al. Study on the effect of salt stress on yield and grain quality among different rice varieties. Front. Plant Sci. 2022, 13, 918460. [Google Scholar] [CrossRef]
- Jin, W.; Li, L.; Ma, G.; Wei, Z. Halotolerant microorganism-based soil conditioner application improved the soil properties, yield, quality and starch characteristics of hybrid rice under higher saline conditions. Plants 2024, 13, 2325. [Google Scholar] [CrossRef]
- Jin, W.; Li, L.; He, W.; Wei, Z. Application of silica nanoparticles improved the growth, yield, and grain quality of two salt-tolerant rice varieties under saline irrigation. Plants 2024, 13, 2452. [Google Scholar] [CrossRef] [PubMed]
- Zhang, Z.; Zhang, Z.; Feng, G.; Lu, P.; Huang, M.; Zhao, X. Biochar amendment combined with straw mulching increases winter wheat yield by optimizing soil water-salt condition under saline irrigation. Agriculture 2022, 12, 1681. [Google Scholar] [CrossRef]
- Ntanos, E.; Kekelis, P.; Assimakopoulou, A.; Gasparatos, D.; Denaxa, N.; Tsafouros, A.; Roussos, P. Amelioration effects against salinity stress in strawberry by bentonite–zeolite mixture, glycine betaine, and Bacillus amyloliquefaciens in terms of plant growth, nutrient content, soil properties, yield, and fruit quality characteristics. Appl. Sci. 2021, 11, 8796. [Google Scholar] [CrossRef]
- Zhang, J.; Meng, Q.; Yang, Z.; Zhang, Q.; Yan, M.; Hou, X.; Zhang, X. Humic acid promotes the growth of switchgrass under salt stress by improving photosynthetic function. Agronomy 2024, 14, 1079. [Google Scholar] [CrossRef]
- Radzi, M.; Azizah, M.; Maininah, T.; Sumaiyah, A. Growth, yield and antioxidant activity of grey oyster mushroom (Pleurotus pulmonarius) grown in sawdust substrate with the supplementation of alkaline materials. JAPS 2021, 31. [Google Scholar] [CrossRef]
- Głąb, T.; Gondek, K.; Mierzwa–Hersztek, M. Biological effects of biochar and zeolite used for remediation of soil contaminated with toxic heavy metals. Sci. Rep. 2021, 11, 6998. [Google Scholar] [CrossRef] [PubMed]
- Padi, H. Effect of ameliorant on growth and yield of rice at tidal paddy field. Indones. J. Agric. Sci. 2021, 22, 85–91. [Google Scholar]
- Usanmaz, S.; Abak, K. Plant growth and yield of cucumber plants grafted on different commercial and local rootstocks grown under salinity stress. Saudi J. Biol. Sci. 2019, 26, 1134–1139. [Google Scholar] [CrossRef]
- Liang, J.; Shi, W. Cotton/halophytes intercropping decreases salt accumulation and improves soil physicochemical properties and crop productivity in saline-alkali soils under mulched drip irrigation: A three-year field experiment. Field Crops Res. 2021, 262, 1–12. [Google Scholar] [CrossRef]
- Xiao, M.; Fei, H.; Bu, W.; Zhang, W.; Zhu, J. Research Progress of the Physiological Mechanism of Rice Root Morphology and Physiology Response to Salt Stress and Nitrogen Regulation. J. Anhui Agric. Sci. 2024, 52. [Google Scholar] [CrossRef]
- Li, L.; Wu, T.; Li, Y.; Hu, X.; Wang, Z.; Liu, J.; Qin, W.; Ashraf, U. Deep fertilization improves rice productivity and reduces ammonia emissions from rice fields in China; a meta-analysis. Field Crop. Res. 2022, 289, 108704. [Google Scholar] [CrossRef]
- Ai, S.Y.; Sun, Z.H.; Yao, J.W.; Li, M.J.; Wang, Y.H.; Cao, J.X. Effects of different kinds and amount of nitrogen fertilizer on pH and soluble salt of Latosolic red soil. Ecol. Environ. 2008, 17, 1614–1618.8. [Google Scholar]
- Lu, J.; Zhang, Q.; Sun, X.; Deng, Y.; Guo, H.; Wang, C.; Zhao, L. Study on the mechanism of slow-release fertilizer and nitrogen fertilizer on the senescence characteristics of quinoa leaves. Agronomy 2024, 14, 884. [Google Scholar] [CrossRef]
- Yu, Z.; Wang, R.; Yao, Y.; Wang, X.; He, J.; Yang, Y. Effects of controlled-release nitrogen fertilizer at different release stages on rice yield and quality. Agronomy 2024, 14, 1685. [Google Scholar] [CrossRef]
- Chen, T.; Yang, X.; Fu, W.; Li, G.; Feng, B.; Fu, G.; Tao, L. Strengthened assimilate transport improves yield and quality of super rice. Agronomy 2022, 12, 753. [Google Scholar] [CrossRef]
- Li, L.; Zhang, Z.; Tian, H.; Ashraf, U.; Hamoud, Y.A.; Alaa, A.A.; Tang, X.; Duan, M.; Wang, Z.; Pan, S. Nitrogen deep placement combined with straw mulch cultivation enhances physiological traits, grain yield and nitrogen use efficiency in mechanical pot-seedling transplanting rice. Rice Sci. 2022, 29, 89–100. [Google Scholar]
- Hussain, S.; Zhang, J.; Zhong, C.; Zhu, L.; Cao, X.; Yu, S.; James, A.; Hu, J.; Jin, Q. Effects of salt stress on rice growth, development characteristics, and the regulating ways: A review. J. Integr. Agric. 2017, 16, 2357–2374. [Google Scholar] [CrossRef]
- Hussain, S.; Nanda, S.; Ashraf, M.; Siddiqui, A.; Masood, S.; Khaskheli, M.; Suleman, M.; Zhu, L.; Zhu, C.; Cao, X.; et al. Interplay impact of exogenous application of abscisic acid (ABA) and brassinosteroids (BRs) in rice growth, physiology, and resistance under sodium chloride stress. Life 2023, 13, 498. [Google Scholar] [CrossRef] [PubMed]
- Wu, Q.; Wang, Y.; Chen, T.; Zheng, J.; Sun, Y.; Chi, D. Soil nitrogen regulation using clinoptilolite for grain filling and grain quality improvements in rice. Soil Tillage Res. 2020, 199, 104547. [Google Scholar] [CrossRef]
- Zheng, J.; Chen, T.; Xia, G.; Chen, W.; Liu, G.; Chi, D. Effects of zeolite application on grain yield, water use and nitrogen uptake of rice under alternate wetting and drying irrigation. Int. J. Agric. Biol. Eng. 2018, 11, 157–164. [Google Scholar] [CrossRef]
- Zveushe, O.; Ling, Q.; Li, X.; Sajid, S.; Dios, V.; Nabi, F.; Han, Y.; Dong, F.; Zeng, F.; Zhou, L.; et al. Reduction of Cd uptake in rice (Oryza sativa) grain using different field management practices in alkaline soils. Foods 2023, 12, 314. [Google Scholar] [CrossRef]
- Shaaban, M.; Abid, M.; Abou-Shanab, R.A.I. Amelioration of salt affected soils in rice paddy system by application of organic and inorganic amendments. Plant Soil Environ. 2013, 59, 227–233. [Google Scholar] [CrossRef]
- Zhu, G.; Wang, Y.; Shi, X.; Lu, H.; Ren, Z.; Shi, Y.; Tiao, X.; Irshad, A.; Bian, J.; Zhou, G.; et al. Optimum nitrogen management enhances growth, antioxidant ability and yield performance of rice in saline soil of coastal area of China. Chil. J. Agric. Res. 2020, 80, 629–639. [Google Scholar] [CrossRef]
- Li, J.; Ding, Z.; Ma, X.; Cao, Y.; Ma, Z.; Qian, Y.; Yao, H.; Hou, J.; Cao, B. One-time contact application of controlled-release urea and optimized method improved rice yield and nitrogen use efficiency with 50% nitrogen input. Agronomy 2024, 14, 781. [Google Scholar] [CrossRef]
- Zhao, C.; Gao, Z.; Liu, G.; Chen, Y.; Ni, W.; Lu, J.; Qian, Z.; Wng, W.; Huo, Z. Combining controlled-release urea and normal urea to improve the yield, nitrogen use efficiency, and grain quality of single season late japonica rice. Agronomy 2023, 13, 276. [Google Scholar] [CrossRef]
- Cheng, S.; He, A.; Guo, X.; Li, R.; Wang, J.; Qi, Y.; Zhang, P.; Tao, W.; Ji, J.; Zhao, T.; et al. Rational Utilization of Sediment Resources Improves Rice Yield and Nitrogen Use Efficiency under Salt Stress. Agriculture 2024, 14, 283. [Google Scholar] [CrossRef]
- Wu, Q.; Chi, D.; Xia, G.; Chen, T.; Sun, Y.; Song, Y. Effects of zeolite on drought resistance and water–nitrogen use efficiency in paddy rice. J. Irrig. Drain. Eng. 2019, 145, 04019024. [Google Scholar] [CrossRef]
- Changjie, J.; Zhengwei, L.; Xianzhi, X. Priming for saline-alkaline tolerance in rice: Current knowledge and future challenges. Rice Sci. 2023, 30, 417–425. [Google Scholar] [CrossRef]
- Ali, Q.; Ayaz, M.; Mu, G.; Hussain, A.; Qiu, Y.; Yu, C.; Gu, Q.; Wu, H.; Gao, X. Revealing plant growth-promoting mechanisms of Bacillus strains in elevating rice growth and its interaction with salt stress. Front. Plant Sci. 2022, 13, 994902. [Google Scholar] [CrossRef]
- Ye, Y.; Liang, X.; Chen, Y.; Liu, J.; Gu, J.; Guo, R.; Li, L. Alternate wetting and drying irrigation and controlled-release nitrogen fertilizer in late-season rice. Effects on dry matter accumulation, yield, water and nitrogen use. Field Crops Res. 2013, 144, 212–224. [Google Scholar] [CrossRef]
- Sun, Y.; Xie, J.; Hou, H.; Li, M.; Wang, Y.; Wang, X. Effects of zeolite on physiological characteristics and grain quality in rice under alternate wetting and drying irrigation. Water 2023, 15, 2406. [Google Scholar] [CrossRef]
- Malekian, R.; Abedi-Koupai, J.; Eslamian, S.S. Influences of clinoptilolite and surfactant-modified clinoptilolite zeolite on nitrate leaching and plant growth. J. Hazard. Mater. 2011, 185, 970–976. [Google Scholar] [CrossRef]
- Tahir, M.; Khurshid, M.; Khan, Z.; Abbasi, K.; Kazmi, H. Lignite-derived humic acid effect on growth of wheat plants in different soils. Pedosphere 2011, 21, 124–131. [Google Scholar] [CrossRef]
- Chen, Q.; Qu, Z.; Ma, G.; Wang, W.; Dai, J.; Zhang, M.; Wei, Z.; Liu, Z. Humic acid modulates growth, photosynthesis, hormone and osmolytes system of maize under drought conditions. Agric. Water Manag. 2022, 263, 107447. [Google Scholar] [CrossRef]
- Zheng, E.; Qin, M.; Zhang, Z.; Xu, T. Humic acid fertilizer incorporation increases rice radiation use, growth, and yield: A case study on the songnen plain, China. Agriculture 2022, 12, 653. [Google Scholar] [CrossRef]
- Rao, D.; Yadav, S.; Choudhary, R.; Singh, D.; Bhardwaj, R.; Barthakur, S.; Yadav, S.K. Silicic and humic acid priming improves microand macronutrient uptake, salinity stress tolerance, seed quality, and physio-biochemical parameters in lentil (Lens culinaris spp. culinaris). Plants 2023, 12, 3539. [Google Scholar] [CrossRef]
- Dai, L.; Li, P.; Li, Q.; Leng, Y.; Zeng, D.; Qian, Q. Integrated multiomics perspective to strengthen the understanding of salt tolerance in rice. Int. J. Mol. Sci. 2022, 23, 5236. [Google Scholar] [CrossRef] [PubMed]
- Chen, Z.; Lin, S.; Li, J.; Chen, T.; Gu, Q.; Yang, T.; Zhang, Z. Theanine improves salt stress tolerance by modulating redox homeostasis in tea plants (Camellia sinensis L.). Front. Plant Sci. 2021, 12, 770398. [Google Scholar] [CrossRef]
- Mahmoud, A.; Abdeldaym, E.; Abdelaziz, S.; El-Sawy, M.; Mottaleb, S. Synergetic effects of zinc, boron, silicon, and zeolite nanoparticles on confer tolerance in potato plants subjected to salinity. Agronomy 2019, 10, 19. [Google Scholar] [CrossRef]
- Mahmoud, A.; Rashad, H.; Esmail, S.; Alsamadany, H.; Abdeldaym, E. Application of silicon, zinc, and zeolite nanoparticles—A tool to enhance drought stress tolerance in coriander plants for better growth performance and productivity. Plants 2023, 12, 2838. [Google Scholar] [CrossRef] [PubMed]
- Abu-Ria, M.; Shukry, W.; Abo-Hamed, S.; Albaqami, M.; Almuqadam, L.; Ibraheem, F. Humic acid modulates ionic homeostasis, osmolytes content, and antioxidant defense to improve salt tolerance in rice. Plants 2023, 12, 1834. [Google Scholar] [CrossRef] [PubMed]
- Pisarović, A.; Filipan, T.; Tišma, S. Application of zeolite based special substrates in agriculture—Ecological and economical justification. Period. Biol. 2003, 105, 287–293. [Google Scholar]
- Al-Hayani, A.S.H.; Sallume, M.O. Effect of humic acid and the level of nano and conventional nitrogen on the available and absorbed nitrogen element and the potato yield. In IOP Conference Series: Earth and Environmental Science; IOP Publishing: Bristol, UK, 2023; Volume 1225, p. 012002. [Google Scholar]
- Kong, B.; Wu, Q.; Li, Y.; Zhu, T.; Ming, Y.; Li, C.; Li, C.; Wang, F.; Jiao, S.; Shi, L.; et al. The application of humic acid urea improves nitrogen use efficiency and crop yield by reducing the nitrogen loss compared with urea. Agriculture 2022, 12, 1996. [Google Scholar] [CrossRef]
- Farhan, M.; Sathish, M.; Kiran, R.; Mushtaq, A.; Baazeem, A.; Hasnain, A.; Hakim, F.; Hasan Naqvi, S.A.; Mubeen, M.; Iftikhar, Y.; et al. Plant nitrogen metabolism: Balancing resilience to nutritional stress and abiotic challenges. Phyton (0031-9457) 2024, 93. [Google Scholar] [CrossRef]
- Wu, Q.; Chen, T.; Chi, D.; Xia, G.; Sun, Y.; Song, Y. Increasing nitrogen use efficiency with lower nitrogen application frequencies using zeolite in rice paddy fields. Int. Agrophysics 2019, 33. [Google Scholar] [CrossRef] [PubMed]









| Soil Amendments | Nitrogen | Spikelets Panicle−1 | Panicles (no.m2) | Filled Grain Rate (%) | 1000-Grain Weight (g) | Grain Yield (t ha−1) |
|---|---|---|---|---|---|---|
| S1 | N1 | 192.7 ± 6.7b | 226.0 ± 4.0b | 84.3 ± 3.8a | 20.7 ± 0.1a | 6.0 ± 0.1b |
| N2 | 210.7 ± 5.9a | 265.9 ± 5.3a | 85.0 ± 5.6a | 20.5 ± 0.3a | 6.7 ± 0.2a | |
| N0 | 178.7 ± 2.3c | 175.0 ± 5.0c | 87.7 ± 5.0a | 20.5 ± 0.3a | 5.1 ± 0.1c | |
| Mean | 194.0 ± 4.7A | 222.3 ± 1.4A | 85.7 ± 1.5A | 20.5 ± 0.2A | 5.9 ± 0.1A | |
| S2 | N1 | 200.3 ± 5.5a | 209.7 ± 8.1b | 84.0 ± 4.4a | 20.5 ± 0.5a | 5.6 ± 0.1a |
| N2 | 180.7 ± 3.5b | 222.7 ± 7.0a | 82.7 ± 3.5a | 20.2 ± 0.3ab | 5.7 ± 0.1a | |
| N0 | 161.3 ± 1.5c | 166.9 ± 6.2c | 86.7 ± 7.0a | 19.8 ± 0.1b | 4.2 ± 0.1b | |
| Mean | 180.8 ± 1.7C | 199.8 ± 6.6C | 84.5 ± 4.5A | 20.4 ± 0.2A | 5.2 ± 0.1C | |
| S3 | N1 | 198.3 ± 3.8a | 218.7 ± 2.9b | 85.3 ± 5.0a | 20.5 ± 0.3a | 5.8 ± 0.2b |
| N2 | 201.7 ± 8.1a | 233.8 ± 3.0a | 80.7 ± 2.1a | 20.6 ± 0.5a | 6.1 ± 0.1a | |
| N0 | 163.0 ± 8.9b | 177.1 ± 4.1c | 85.3 ± 5.0a | 20.1 ± 0.5a | 4.5 ± 0.2c | |
| Mean | 187.7 ± 6.9B | 209.9 ± 0.6B | 83.8 ± 2.7A | 20.4 ± 0.7A | 5.5 ± 0.1B | |
| S0 | N1 | 187.0 ± 4.4a | 221.3 ± 3.2a | 87.0 ± 2.0a | 20.7 ± 0.3a | 5.7 ± 0.2a |
| N2 | 191.3 ± 4.5a | 219.8 ± 7.8a | 86.0 ± 3.6a | 20.4 ± 0.5a | 5.8 ± 0.1a | |
| N0 | 157.0 ± 7.0b | 143.3 ± 8.1b | 87.3 ± 2.1a | 20.1 ± 0.1a | 3.5 ± 0.2b | |
| Mean | 178.4 ± 3.6C | 194.8 ± 2.8C | 86.8 ± 0.8A | 20.4 ± 0.2A | 5.0 ± 0.1D | |
| ANOVA | S | * | ** | ns | ns | *** |
| N | *** | *** | ns | * | *** | |
| S × N | *** | *** | ns | ns | *** |
| Soil Amendments | Nitrogen | Mid-Tillering | Panicle Initiation | Heading | Maturation |
|---|---|---|---|---|---|
| S1 | N1 | 67.3 ± 2.1a | 92.1 ± 0.8a | 109.8 ± 0.7a | 112.0 ± 1.7a |
| N2 | 67.1 ± 1.0a | 93.3 ± 1.5a | 112.3 ± 2.1a | 114.7 ± 2.3a | |
| N0 | 62.8 ± 1.8b | 84.8 ± 2.6b | 106.9 ± 0.8b | 102.2 ± 1.7b | |
| Mean | 65.8 ± 1.1A | 90.1 ± 0.6A | 109.7 ± 0.9A | 109.6 ± 1.0A | |
| S2 | N1 | 63.3 ± 1.2a | 89.1 ± 1.0a | 113.3 ± 1.5a | 108.8 ± 1.6a |
| N2 | 64.3 ± 2.1a | 91.0 ± 2.7a | 113.0 ± 0.3a | 110.9 ± 2.2a | |
| N0 | 60.2 ± 1.0b | 81.3 ± 0.6b | 104.2 ± 1.7b | 102.7 ± 1.5b | |
| Mean | 62.6 ± 0.8C | 87.2 ± 0.9B | 110.2 ± 0.6A | 107.8 ± 1.1AB | |
| S3 | N1 | 64.6 ± 1.4a | 86.9 ± 1.7b | 109.9 ± 2.2ab | 107.8 ± 1.6a |
| N2 | 66.0 ± 1.7a | 91.0 ± 1.7a | 111.4 ± 1.7a | 110.9 ± 2.2a | |
| N0 | 60.7 ± 1.2b | 78.8 ± 1.6c | 107.8 ± 1.6b | 102.8 ± 1.5b | |
| Mean | 63.8 ± 1.2B | 85.6 ± 1.5B | 109.7 ± 0.7A | 107.2 ± 1.6AB | |
| S0 | N1 | 64.6 ± 0.5a | 89.7 ± 1.5a | 108.1 ± 1.8a | 108.0 ± 1.5a |
| N2 | 64.5 ± 0.9a | 90.4 ± 1.5a | 110.3 ± 2.8a | 108.4 ± 1.2a | |
| N0 | 56.7 ± 2.1b | 75.6 ± 1.9b | 97.4 ± 2.2b | 98.8 ± 1.6b | |
| Mean | 61.9 ± 0.7C | 85.2 ± 0.7B | 105.3 ± 2.1B | 105.0 ± 0.5B | |
| ANOVA | S | * | ** | * | * |
| N | *** | *** | *** | *** | |
| S × N | ns | * | *** | ns |
| Soil Amendments | Nitrogen | Mid-Tillering | Panicle Initiation | Heading |
|---|---|---|---|---|
| S1 | N1 | 2.1b | 3.4b | 3.50b |
| N2 | 2.3a | 5.4a | 5.19a | |
| N0 | 1.4c | 2.6c | 2.63c | |
| Mean | 1.9A | 3.8A | 3.77A | |
| S2 | N1 | 1.3a | 3.4b | 3.7b |
| N2 | 1.3a | 4.0a | 4.1a | |
| N0 | 1.1b | 2.5c | 2.5c | |
| Mean | 1.3B | 3.3C | 3.5C | |
| S3 | N1 | 1.5b | 3.6b | 3.9b |
| N2 | 1.6a | 4.1a | 4.4a | |
| N0 | 1.0c | 2.4c | 2.5c | |
| Mean | 1.4BC | 3.4B | 3.6B | |
| S0 | N1 | 1.3b | 3.4b | 3.8a |
| N2 | 1.4a | 3.7a | 3.7a | |
| N0 | 0.9c | 1.4c | 1.8b | |
| Mean | 1.2C | 2.8D | 3.1D | |
| ANOVA | S | *** | *** | *** |
| N | *** | *** | *** | |
| S × N | *** | *** | *** |
| Soil Amendments | Nitrogen | Mid-Tillering | Panicle Initiation | Heading |
|---|---|---|---|---|
| S1 | N1 | 43.5 ± 1.3a | 43.5 ± 1.2a | 45.1 ± 0.3b |
| N2 | 44.7 ± 1.3a | 45.1 ± 0.5a | 46.4 ± 0.6a | |
| N0 | 43.1 ± 0.7a | 40.6 ± 0.3b | 40.7 ± 0.8c | |
| Mean | 43.8 ± 0.3A | 43.1 ± 0.6A | 44.1 ± 0.4A | |
| S2 | N1 | 41.7 ± 0.5b | 43.2 ± 0.7a | 44.4 ± 0.8a |
| N2 | 44.2 ± 0.4a | 42.3 ± 0.4a | 44.9 ± 0.8a | |
| N0 | 40.3 ± 0.8b | 40.5 ± 0.8b | 42.5 ± 0.5b | |
| Mean | 42.1 ± 0.1B | 42.0 ± 0.9B | 44.0 ± 0.2A | |
| S3 | N1 | 44.2 ± 0.4a | 45.2 ± 0.7a | 44.9 ± 0.5a |
| N2 | 43.9 ± 0.7a | 44.3 ± 0.4a | 45.0 ± 0.1a | |
| N0 | 41.4 ± 0.4b | 39.6 ± 1.0b | 41.0 ± 0.6b | |
| Mean | 42.8 ± 0.2B | 43.7 ± 0.1A | 43.7 ± 0.1A | |
| S0 | N1 | 41.3 ± 1.4a | 43.3 ± 0.4a | 44.4 ± 0.4a |
| N2 | 42.9 ± 0.5a | 41.1 ± 0.9a | 43.7 ± 0.8a | |
| N0 | 37.6 ± 1.1b | 36.1 ± 0.7b | 38.0 ± 0.4b | |
| Mean | 40.6 ± 0.6C | 40.4 ± 0.6C | 42.0 ± 0.2B | |
| ANOVA | S | *** | ** | ** |
| N | *** | *** | *** | |
| S × N | *** | *** | *** |
| Soil Amendments | Nitrogen | Mid-Tillering | Panicle Initiation | Heading |
|---|---|---|---|---|
| S1 | N1 | 57.7 ± 2.5a | 71.7 ± 1.5b | 73.3 ± 1.2a |
| N2 | 61.0 ± 1.7a | 80.0 ± 1.0a | 76.7 ± 0.6a | |
| N0 | 45.7 ± 3.1b | 65.7 ± 2.1c | 49.3 ± 1.2b | |
| Mean | 54.8 ± 1.9A | 72.4 ± 1.4A | 66.4 ± 0.5A | |
| S2 | N1 | 54.0 ± 4.0a | 63.0 ± 3.5a | 59.0 ± 1.0ab |
| N2 | 53.3 ± 4.7a | 63.7 ± 1.5a | 62.0 ± 1.7a | |
| N0 | 43.7 ± 2.5b | 51.7 ± 1.5b | 55.3 ± 3.5b | |
| Mean | 50.3 ± 0.9B | 59.4 ± 2.0C | 58.8 ± 1.8C | |
| S3 | N1 | 62.0 ± 3.6a | 65.3 ± 1.5b | 64.7 ± 2.5b |
| N2 | 58.3 ± 6.0a | 70.0 ± 1.7a | 71.7 ± 2.1a | |
| N0 | 44.3 ± 2.1b | 61.7 ± 2.9c | 53.0 ± 3.0c | |
| Mean | 54.9 ± 1.6A | 64.3 ± 1.9B | 63.1 ± 1.3B | |
| S0 | N1 | 56.7 ± 2.1a | 65.3 ± 1.2b | 57.7 ± 2.5b |
| N2 | 57.7 ± 2.9a | 68.3 ± 2.3a | 63.3 ± 1.5a | |
| N0 | 39.3 ± 2.1b | 45.0 ± 1.0c | 36.3 ± 1.5c | |
| Mean | 51.2 ± 1.4B | 59.6 ± 1.3C | 52.4 ± 1.7D | |
| ANOVA | S | * | *** | *** |
| N | *** | *** | *** | |
| S × N | ns | *** | *** |
| Soil Amendments | Nitrogen | Mid-Tillering | Panicle Initiation | Heading |
|---|---|---|---|---|
| S1 | N1 | 63.8 ± 0.8a | 56.2 ± 0.6a | 54.6 ± 0.6b |
| N2 | 65.0 ± 0.4a | 53.5 ± 0.5b | 56.4 ± 0.6a | |
| N0 | 63.8 ± 0.8a | 54.3 ± 0.7b | 52.0 ± 0.9c | |
| Mean | 64.2 ± 0.3A | 54.8 ± 0.1B | 54.4 ± 0.7A | |
| S2 | N1 | 64.7 ± 0.4a | 54.8 ± 0.9b | 54.7 ± 0.3a |
| N2 | 62.4 ± 0.3b | 57.4 ± 0.3a | 55.1 ± 0.1a | |
| N0 | 62.4 ± 0.1b | 52.1 ± 0.1c | 50.7 ± 0.6b | |
| Mean | 63.1 ± 0.1B | 54.8 ± 0.4B | 53.5 ± 0.3B | |
| S3 | N1 | 62.2 ± 0.2b | 56.0 ± 1.0b | 54.1 ± 1.1a |
| N2 | 64.8 ± 0.2a | 57.6 ± 0.2a | 53.2 ± 0.2ab | |
| N0 | 61.8 ± 0.4b | 54.4 ± 0.7c | 52.4 ± 0.4b | |
| Mean | 63.0 ± 0.2B | 56.0 ± 0.4A | 53.3 ± 0.3B | |
| S0 | N1 | 63.1 ± 0.7a | 55.7 ± 0.6b | 55.2 ± 1.0a |
| N2 | 62.9 ± 0.6a | 56.9 ± 0.4a | 55.5 ± 0.5a | |
| N0 | 63.1 ± 0.8a | 52.1 ± 0.5c | 49.9 ± 0.4b | |
| Mean | 63.1 ± 0.2B | 54.9 ± 0.3B | 53.6 ± 0.5B | |
| ANOVA | S | ** | * | ** |
| N | *** | *** | *** | |
| S × N | *** | *** | *** |
Disclaimer/Publisher’s Note: The statements, opinions and data contained in all publications are solely those of the individual author(s) and contributor(s) and not of MDPI and/or the editor(s). MDPI and/or the editor(s) disclaim responsibility for any injury to people or property resulting from any ideas, methods, instructions or products referred to in the content. |
© 2025 by the authors. Licensee MDPI, Basel, Switzerland. This article is an open access article distributed under the terms and conditions of the Creative Commons Attribution (CC BY) license (https://creativecommons.org/licenses/by/4.0/).
Share and Cite
Li, R.; Guo, X.; Qi, Y.; Wang, Y.; Wang, J.; Zhang, P.; Cheng, S.; He, W.; Zhao, T.; Li, Y.; et al. Soil Amendments and Slow-Release Urea Improved Growth, Physiological Characteristics, and Yield of Salt-Tolerant Rice Under Salt Stress Conditions. Plants 2025, 14, 543. https://doi.org/10.3390/plants14040543
Li R, Guo X, Qi Y, Wang Y, Wang J, Zhang P, Cheng S, He W, Zhao T, Li Y, et al. Soil Amendments and Slow-Release Urea Improved Growth, Physiological Characteristics, and Yield of Salt-Tolerant Rice Under Salt Stress Conditions. Plants. 2025; 14(4):543. https://doi.org/10.3390/plants14040543
Chicago/Turabian StyleLi, Rongyi, Xiayu Guo, Yucheng Qi, Yuyuan Wang, Jianbo Wang, Pengfei Zhang, Shenghai Cheng, Wenli He, Tingcheng Zhao, Yusheng Li, and et al. 2025. "Soil Amendments and Slow-Release Urea Improved Growth, Physiological Characteristics, and Yield of Salt-Tolerant Rice Under Salt Stress Conditions" Plants 14, no. 4: 543. https://doi.org/10.3390/plants14040543
APA StyleLi, R., Guo, X., Qi, Y., Wang, Y., Wang, J., Zhang, P., Cheng, S., He, W., Zhao, T., Li, Y., Li, L., Ji, J., He, A., & Ai, Z. (2025). Soil Amendments and Slow-Release Urea Improved Growth, Physiological Characteristics, and Yield of Salt-Tolerant Rice Under Salt Stress Conditions. Plants, 14(4), 543. https://doi.org/10.3390/plants14040543

