Climate Patterns Affecting Cold Season Air Pollution of Ulaanbaatar City, Mongolia
Abstract
1. Introduction
- To define the distributions and seasonal regime of the main climate indicators of the city using the weather observation data of 1991–2020;
- To present diurnal and seasonal variations in the main meteorological parameters affecting air pollution in the city center and suburbs;
- To study geography and circulation-induced atmospheric factors in detail, including atmospheric stagnation conditions and air pollution potential during the cold season;
- To correlate air pollutants and meteorological parameters.
2. Materials and Methods
2.1. Study Area
2.2. Data and Methods
3. Results and Discussions
3.1. Spatiotemporal Regime of Meteorological Variables around Ulaanbaatar
3.1.1. Climate Patterns of Ulaanbaatar City
3.1.2. Thermal Regime
3.1.3. Surface Wind Regime
3.2. Atmospheric Stagnation Conditions in Ulaanbaatar City
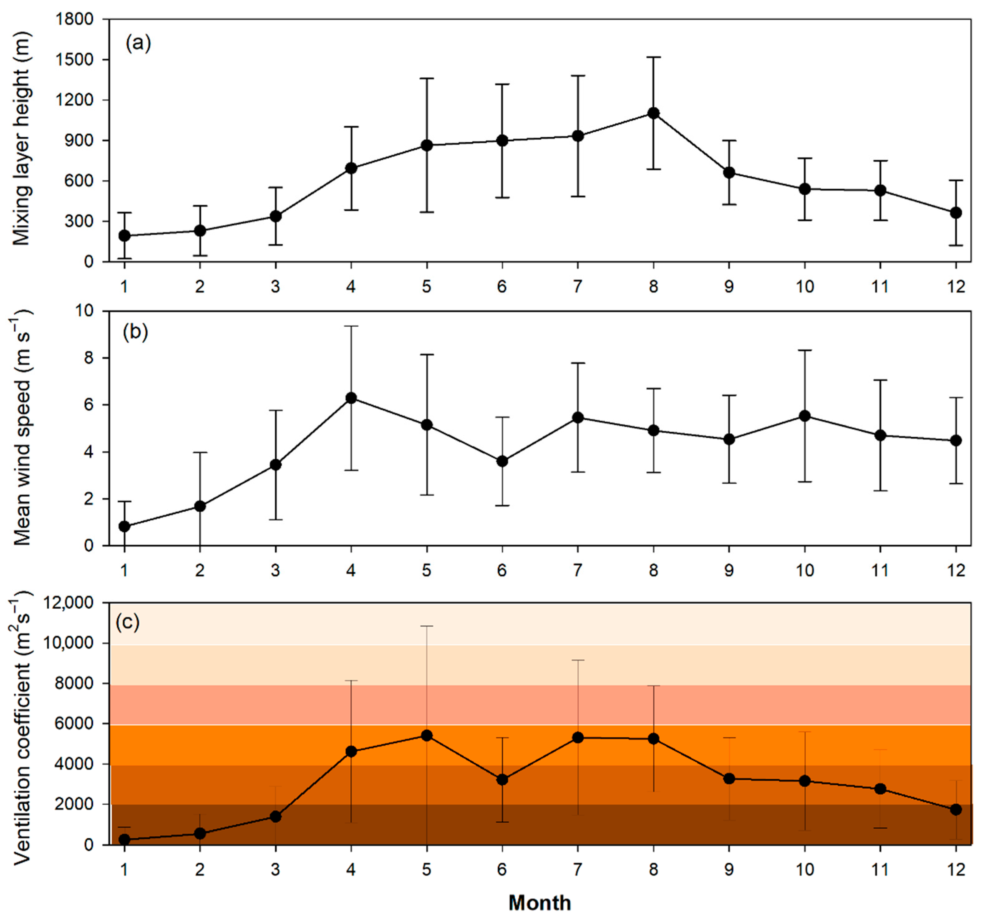
3.3. Air Pollution Potential in Ulaanbaatar City
3.4. Air Pollutants and Their Correlation with Atmospheric Factors in Ulaanbaatar City
4. Conclusions
- In Ulaanbaatar, during winter, temperature inversion is stabilized and maintained by surface cooling under the influence of a high air pressure region, which is the primary weather condition favoring the long-term accumulation of pollutants released into the air. Thus, decision makers must consider these climate patterns when planning measures to reduce air pollution.
- Under the near-surface temperature inversion layer with 6.5–8.2 °C of intensity and 449–549 m of thickness, the average temperatures of the cold season were colder than −13.5 °C, and the residential heating and traffic peak hours matched with the high-intensity hours of the temperature inversion, which contribute to elevated air pollution.
- In the cold season, around Ulaanbaatar, wind speeds are low, and windless days represented 34–66% of all observations. Due to mountain topography, south (29.4%), west (23.6%), east (17.4%) and northwest (15.6%) winds prevail from all sides of the city, polluting slum areas to the city center. Therefore, the prevailing wind directions should first be considered when selecting the areas for reducing the number of air-polluting sources.
- In winter, day-to-day winds turn east and southeast at night due to the influence of mountains and valleys, which can lead to the accumulation of pollution from sources in the city’s eastern part, which in turn affects the city center.
- High-rise buildings in the city center directly impact the city’s microclimate, such as through urban heat islands and windless conditions.
- In the winter months, MLH ranges from 194.7 to 364.9 m due to air sinking under the near-surface temperature inversion layer. The mean wind speeds of the MLH ranges from 0.8 to 4.5 m·s−1. Monthly VCs range from 256.8 to 1730.7 m2·s−1 in winter. Due to the variability in VC, the city’s air pollution potential is “very high” from mid-November to early April in the cold season. The “high” air pollution potential conditions dominate during June, September, and October, which are dry months. The “high” and “very high” air pollution potential categories mostly correspond to pollutant concentrations exceeding the AQSs.
- The concentrations of PM10, NO2, SO2, and CO show a moderate to high positive correlation with the relative humidity (R = 0.55–0.77) and temperature inversion intensity (R = 0.59–0.89) and a moderate to high negative correlation with wind speed (R = 0.51–0.81). PM10 and PM2.5 concentrations depend highly on the MLH and VC and are inversely correlated by the exponential law (R2 = 0.49–0.85, p < 0.001) for a time of day. Significantly, compared with PM10, the PM2.5 concentrations are highly correlated with MLH and VC. Moreover, the correlation coefficients are lower in the evening than in the morning. Therefore, the forecasting model of air pollution can be developed using these atmospheric parameters and temporal variation patterns.
Supplementary Materials
Author Contributions
Funding
Institutional Review Board Statement
Informed Consent Statement
Data Availability Statement
Acknowledgments
Conflicts of Interest
References
- West, J. Asia’s Stunted Economic Development. In Asian Century… on a Knife-Edge: A 360 Degree Analysis of Asia’s Recent Economic Development; West, J., Ed.; Springer: Singapore, 2018; pp. 19–55. [Google Scholar]
- Liang, W.; Yang, M. Urbanization, economic growth and environmental pollution: Evidence from China. Sustain. Comput. Inform. Syst. 2019, 21, 1–9. [Google Scholar] [CrossRef]
- Soyol-Erdene, T.-O.; Ganbat, G.; Baldorj, B. Urban Air Quality Studies in Mongolia: Pollution Characteristics and Future Research Needs. Aerosol Air Qual. Res. 2021, 21, 210163. [Google Scholar] [CrossRef]
- Luvsan, M.-E.; Shie, R.-H.; Purevdorj, T.; Badarch, L.; Baldorj, B.; Chan, C.-C. The influence of emission sources and meteorological conditions on SO2 pollution in Mongolia. Atmos. Environ. 2012, 61, 542–549. [Google Scholar] [CrossRef]
- Fan, P.; Chen, J.; John, R. Urbanization and environmental change during the economic transition on the Mongolian Plateau: Hohhot and Ulaanbaatar. Environ. Res. 2016, 144, 96–112. [Google Scholar] [CrossRef]
- Nakao, M.; Yamauchi, K.; Ishihara, Y.; Omori, H.; Ichinnorov, D.; Solongo, B. Effects of air pollution and seasons on health-related quality of life of Mongolian adults living in Ulaanbaatar: Cross-sectional studies. BMC Public Health 2017, 17, 594. [Google Scholar] [CrossRef]
- Ariunsaikhan, A.; Batbaatar, B.; Dorjsuren, B.; Chonokhuu, S. Air pollution levels and PM2. 5 concentrations in Khovd and Ulaanbaatar cities of Mongolia. Int. J. Environ. Sci. Technol. 2022. [Google Scholar] [CrossRef]
- Suriya; Natsagdorj, N.; Aorigele; Zhou, H.; Sachurila. Spatiotemporal Variation in Air Pollution Characteristics and Influencing Factors in Ulaanbaatar from 2016 to 2019. Atmosphere 2022, 13, 990. [Google Scholar] [CrossRef]
- Amarsaikhan, D.; Battsengel, V.; Nergui, B.; Ganzorig, M.; Bolor, G. A Study on Air Pollution in Ulaanbaatar City, Mongolia. J. Geosci. Environ. Prot. 2014, 2, 123–128. [Google Scholar] [CrossRef]
- Gantumur, B.; Wu, F.; Vandansambuu, B.; Tsegmid, B.; Dalaibaatar, E.; Zhao, Y. Spatiotemporal dynamics of urban expansion and its simulation using CA-ANN model in Ulaanbaatar, Mongolia. Geocarto Int. 2022, 37, 494–509. [Google Scholar] [CrossRef]
- Batsuuri, B.; Fürst, C.; Myagmarsuren, B. Estimating the Impact of Urban Planning Concepts on Reducing the Urban Sprawl of Ulaanbaatar City Using Certain Spatial Indicators. Land 2020, 9, 495. [Google Scholar] [CrossRef]
- Park, H.; Fan, P.; John, R.; Ouyang, Z.; Chen, J. Spatiotemporal changes of informal settlements: Ger districts in Ulaanbaatar, Mongolia. Landsc. Urban Plan. 2019, 191, 103630. [Google Scholar] [CrossRef]
- Ganbat, G.; Soyol-Erdene, T.-O.; Jadamba, B. Recent Improvement in Particulate Matter (PM) Pollution in Ulaanbaatar, Mongolia. Aerosol Air Qual. Res. 2020, 20, 2280–2288. [Google Scholar] [CrossRef]
- Enkhmaa, D.; Warburton, N.; Javzandulam, B.; Uyanga, J.; Khishigsuren, Y.; Lodoysamba, S.; Enkhtur, S.; Warburton, D. Seasonal ambient air pollution correlates strongly with spontaneous abortion in Mongolia. BMC Pregnancy Childbirth 2014, 14, 146. [Google Scholar] [CrossRef] [PubMed]
- Huang, Y.-K.; Luvsan, M.-E.; Gombojav, E.; Ochir, C.; Bulgan, J.; Chan, C.-C. Land use patterns and SO2 and NO2 pollution in Ulaanbaatar, Mongolia. Environ. Res. 2013, 124, 1–6. [Google Scholar] [CrossRef]
- Allen, R.W.; Gombojav, E.; Barkhasragchaa, B.; Byambaa, T.; Lkhasuren, O.; Amram, O.; Takaro, T.K.; Janes, C.R. An assessment of air pollution and its attributable mortality in Ulaanbaatar, Mongolia. Air Qual. Atmos. Health 2013, 6, 137–150. [Google Scholar] [CrossRef] [PubMed]
- Government of Mongolia. National Program to Reduce Air and Environmental Pollution; Government of Mongolia: Ulaanbaatar, Mongolia, 2017. [Google Scholar]
- Guttikunda, S.K.; Lodoysamba, S.; Bulgansaikhan, B.; Dashdondog, B. Particulate pollution in Ulaanbaatar, Mongolia. Air Qual. Atmos. Health 2013, 6, 589–601. [Google Scholar] [CrossRef]
- Davy, P.K.; Gunchin, G.; Markwitz, A.; Trompetter, W.J.; Barry, B.J.; Shagjjamba, D.; Lodoysamba, S. Air particulate matter pollution in Ulaanbaatar, Mongolia: Determination of composition, source contributions and source locations. Atmos. Pollut. Res. 2011, 2, 126–137. [Google Scholar] [CrossRef]
- Nishikawa, M.; Matsui, I.; Batdorj, D.; Jugder, D.; Mori, I.; Shimizu, A.; Sugimoto, N.; Takahashi, K. Chemical composition of urban airborne particulate matter in Ulaanbaatar. Atmos. Environ. 2011, 45, 5710–5715. [Google Scholar] [CrossRef]
- Enkhbat, E.; Geng, Y.; Zhang, X.; Jiang, H.; Liu, J.; Wu, D. Driving forces of air pollution in ulaanbaatar city between 2005 and 2015: An index decomposition analysis. Sustainability 2020, 12, 3185. [Google Scholar] [CrossRef]
- Wang, M.; Kai, K.; Sugimoto, N.; Enkhmaa, S. Meteorological factors affecting winter particulate air pollution in Ulaanbaatar from 2008 to 2016. Asian J. Atmos. Environ. 2018, 12, 244–254. [Google Scholar] [CrossRef]
- Dorligjav, S.; Sumiya, E.; Purevjav, G. Influence of photochemistry and meteorology on seasonal variation of surface ozone. Pap. Meteorol. Hydrol. 2015, 35, 48–59. [Google Scholar]
- Wang, M.; Kai, K.; Jin, Y.; Sugimoto, N.; Dashdondog, B. Air particulate pollution in Ulaanbaatar, Mongolia: Variation in atmospheric conditions from autumn to winter. Sola 2017, 13, 90–95. [Google Scholar] [CrossRef]
- Enebish, T.; Chau, K.; Jadamba, B.; Franklin, M. Predicting ambient PM2.5 concentrations in Ulaanbaatar, Mongolia with machine learning approaches. J. Expo. Sci. Environ. Epidemiol. 2021, 31, 699–708. [Google Scholar] [CrossRef]
- Koo, B.; Na, J.-I.; Thorsteinsson, T.; Cruz, A.M. Participatory approach to gap analysis between policy and practice regarding air pollution in ger areas of Ulaanbaatar, Mongolia. Sustainability 2020, 12, 3309. [Google Scholar] [CrossRef]
- Urban Planning and Research Institute (UPRI). General Development Plan of Ulaanbaatar Until 2040—Basic Research; UPRI: Ulaanbaatar, Mongolia, 2021; Available online: https://www.ulaanbaatar2040.mn/p/160/suur-sudalgaa. (accessed on 20 October 2022).
- Sumiya, E.; Dorligjav, S.; Gombodorj, G.; Dugerjav, O.; Byamba-Ochir, M. Master Plan on Reducing Air Pollution of Ulaanbaatar City; Air Pollution Control Department of Capital City: Ulaanbaatar, Mongolia, 2017. [Google Scholar]
- Ganbat, G.; Baik, J.-J. Wintertime winds in and around the Ulaanbaatar metropolitan area in the presence of a temperature inversion. Asia-Pac. J. Atmos. Sci. 2016, 52, 309–325. [Google Scholar] [CrossRef]
- Sumiya, E. Study on Near-Surface Temperature Inversion of Mongolia; National University of Mongolia: Ulaanbaatar, Mongolia, 2008; p. 180. [Google Scholar]
- Dugerjav, O.; Shagdar, N. Analysis of the relationship between wind direction and air pollutants in Ulaanbaatar city. Pap. Meteorol. Hydrol. 2015, 35, 125–134. [Google Scholar]
- Yang, X.; Wang, J.; Cao, J.; Ren, S.; Ran, Q.; Wu, H. The spatial spillover effect of urban sprawl and fiscal decentralization on air pollution: Evidence from 269 cities in China. Empir. Econ. 2022, 63, 847–875. [Google Scholar] [CrossRef]
- Urban Planning and Research Institute (UPRI). General Development Plan of Ulaanbaatar Until 2040—Implementing Measures Plan; UPRI: Ulaanbaatar, Mongolia, 2021; Available online: https://www.ulaanbaatar2040.mn/p/159/xogzliin-eronxii-tolovlogoo. (accessed on 20 October 2022).
- Parliament of Mongolia. Vision 2050 Mongolia’s Long-Term Development Concept; Parliament of Mongolia: Ulaanbaatar, Mongolia, 2019; Available online: https://legalinfo.mn/mn/detail?lawId=211057&showType=1. (accessed on 12 September 2022).
- Purevtseren, M.; Tsegmid, B.; Indra, M.; Sugar, M. The Fractal Geometry of Urban Land Use: The Case of Ulaanbaatar City, Mongolia. Land 2018, 7, 67. [Google Scholar] [CrossRef]
- NSO, M. Population. 2021. Available online: https://www.1212.mn/Stat.aspx?LIST_ID=976_L03&type=tables (accessed on 2 September 2022).
- Jambaajamts, B. Climate of Mongolia; State Printing House: Ulaanbaatar, Mongolia, 1989; p. 270. [Google Scholar]
- Dong, W.; Jiang, Y.; Yang, S. Response of the starting dates and the lengths of seasons in Mainland China to global warming. Clim. Change 2010, 99, 81–91. [Google Scholar] [CrossRef]
- Genden, N. Climate and Geophysical Parameters Applying in Construction Planning (Construction Norms and Rules 23-01-09), 2nd ed.; Gantulga, D., Ed.; Ministry of Construction and Urban Development: Ulaanbaatar, Mongolia, 2009; p. 131. [Google Scholar]
- Kerimray, A.; Rojas-Solórzano, L.; Amouei Torkmahalleh, M.; Hopke, P.K.; Ó Gallachóir, B.P. Coal use for residential heating: Patterns, health implications and lessons learned. Energy Sustain. Dev. 2017, 40, 19–30. [Google Scholar] [CrossRef]
- Oke, T.R. The energetic basis of the urban heat island. Q. J. R. Meteorol. Soc. 1982, 108, 1–24. [Google Scholar] [CrossRef]
- Ganbat, G.; Han, J.-Y.; Ryu, Y.-H.; Baik, J.-J. Characteristics of the urban heat island in a high-altitude metropolitan city, Ulaanbaatar, Mongolia. Asia-Pac. J. Atmos. Sci. 2013, 49, 535–541. [Google Scholar] [CrossRef]
- Hutchinson, M.F.; McKenney, D.W.; Lawrence, K.; Pedlar, J.H.; Hopkinson, R.F.; Milewska, E.; Papadopol, P. Development and testing of Canada-wide interpolated spatial models of daily minimum–maximum temperature and precipitation for 1961–2003. J. Appl. Meteorol. Climatol. 2009, 48, 725–741. [Google Scholar] [CrossRef]
- Kannemadugu, H.B.S.; Dorligjav, S.; Gharai, B.; Seshasai, M.V.R. Satellite-Based Air Pollution Potential Climatology over India. Water Air Soil Pollut. 2021, 232, 365. [Google Scholar] [CrossRef]
- Holzworth, G.C. Mixing Depths, Wind Speeds and Air Pollution Potential for Selected Locations in the United States. J. Appl. Meteorol. Climatol. 1967, 6, 1039–1044. [Google Scholar] [CrossRef]
- Gross, E. The National Air Pollution Potential Forecast Program; U.S. Dept. of Commerce. 1970. Available online: ftp://ftp.library.noaa.gov/noaa_documents.lib/NWS/National_Meteorological_Center/TM_NMC/TM_NMC_70.pdf (accessed on 2 September 2022).
- Lu, C.; Deng, Q.-h.; Liu, W.-w.; Huang, B.-l.; Shi, L.-z. Characteristics of ventilation coefficient and its impact on urban air pollution. J. Cent. South Univ. 2012, 19, 615–622. [Google Scholar] [CrossRef]
- Seidel, D.J.; Ao, C.O.; Li, K. Estimating climatological planetary boundary layer heights from radiosonde observations: Comparison of methods and uncertainty analysis. J. Geophys. Res. Atmos. 2010, 115. [Google Scholar] [CrossRef]
- Oke, T.R. Boundary Layer Climates, 2nd ed.; Routledge: London, UK, 1987; p. 464. [Google Scholar]
- Byamba-Ochir, M.; Purevjav, G.; Sumiya, E.; Dorligjav, S. To estimate air temperature and precipitation of Mongolia (1991–2020) for the high-resolution grid using ANUSPLIN statistical model. J. Geogr. Issues 2022, 22, 92–102. [Google Scholar] [CrossRef]
- Ozawa, F.; Nakayoshi, M.; Kitta, S. Seasonal change in biorhythm by continuous measurement on human thermal physiology. In Proceedings of the 10th International Conference on Urban Climate/14th Symposium on the Urban Environment, New York, NY, USA, 6–10 August 2018. [Google Scholar]
- Jauhiainen, H.; Lentonen, J.; Survo, P.; Lehtinen, R.; Pietari, T. The implications of Vaisala’s new radiosonde RS41 on improved in-situ observations for meteorological applications. In Proceedings of the AMS Annual Meeting, Indianapolis, IN, USA, 21–23 May 2014. [Google Scholar]
- Romieu, I.; Samet, J.M.; Smith, K.R.; Bruce, N. Outdoor Air Pollution and Acute Respiratory Infections Among Children in Developing Countries. J. Occup. Environ. Med. 2002, 44, 640–649. [Google Scholar] [CrossRef]
- Kumar, B.; Garg, D.; Swamy, K.; Kumar, P. Clean Energy Production Using Solar Energy Resources. In Sustainable and Clean Energy Production Technologies; Pal, D.B., Jha, J.M., Eds.; Springer Nature Singapore: Singapore, 2022; pp. 269–288. [Google Scholar] [CrossRef]
- Chong, W.; Lyu, W.; Zhang, J.; Liang, J.; Yang, X.; Zhang, G. Effects of Air Pollution on Sunshine Duration Trends in Typical Chinese Cities. Atmosphere 2022, 13, 950. [Google Scholar] [CrossRef]















| # | Station Name | Location within the City | Distance from the City Center | Urban Pattern (Impact) | Geographical Feature | North Latitude | East Longitude | Elevation |
|---|---|---|---|---|---|---|---|---|
| 1. | University | The central station in the city center | 0 km | Apartment area with high-rise buildings (Windless) | In the river valley between high mountains on the south and north sides | 47°55′22″ | 106°55′12″ | 1302 m |
| 2. | Ulaanbaatar | West side of the city | 7 km | Slum/ger area district with low-rise small dwellings (Warmer) | In the river valley and closed by low mountains from the north to the northwest sides | 47°55′07″ | 106°50′53″ | 1306 m |
| 3. | Buyant-Ukhaa | Southwest suburb of the city | 14 km | Suburb and open area with all the sides (Coldest) | In the river valley and surrounded by high mountains from the southeast to the west sides | 47°50′33″ | 106°46′01″ | 1286 m |
| # | Ventilation Coefficient (m2s−1) | Air Pollution Potential Zone | Color Band |
|---|---|---|---|
| 1. | 0–2000 | Very high | |
| 2. | 2000–4000 | High | |
| 3. | 4000–6000 | Medium | |
| 4. | 6000–8000 | Below medium | |
| 5. | 8000–10,000 | Low | |
| 6. | >10,000 | Very low |
| Time | Period | Jan | Feb | Mar | Apr | May | Jun | Jul | Aug | Sep | Oct | Nov | Dec |
|---|---|---|---|---|---|---|---|---|---|---|---|---|---|
| 00:00 (UTC+08) | 1957–2004 | 27 | 23 | 19 | 10 | 6 | 5 | 4 | 6 | 12 | 17 | 21 | 25 |
| Morning | 2012–2020 | 21 | 18 | 12 | 4 | 2 | 1 | 1 | 2 | 5 | 12 | 12 | 18 |
| 12:00 (UTC+08) | 1957–2004 | 23 | 16 | 8 | 3 | 2 | 2 | 1 | 2 | 7 | 12 | 17 | 23 |
| Evening | 2012–2020 | 13 | 8 | 2 | 1 | 0 | 0 | 0 | 0 | 2 | 5 | 8 | 15 |
| Time | Period | Jan | Feb | Mar | Apr | May | Jun | Jul | Aug | Sep | Oct | Nov | Dec | Ann |
|---|---|---|---|---|---|---|---|---|---|---|---|---|---|---|
| 00:00 (UTC+08) | 1957–2004 | 8.8 | 7.4 | 4.6 | 2.9 | 2.3 | 1.5 | 1.5 | 2.2 | 3.3 | 4.5 | 6.5 | 8.4 | 4.5 |
| Morning | 2012–2020 | 8.2 | 6.5 | 4.8 | 3.5 | 1.3 | 1.9 | 0.6 | 1.5 | 3.7 | 4.4 | 5.5 | 7.1 | 4.1 |
| 12:00 (UTC+08) | 1957–2004 | 6.4 | 4.3 | 2.4 | 1.6 | 2.4 | 1.7 | 1.3 | 1.8 | 2.1 | 2.6 | 4.3 | 6.6 | 3.1 |
| Evening | 2012–2020 | 5.1 | 3.4 | 4.0 | 2.2 | 0 | 0 | 0 | 0 | 2.5 | 2.5 | 3.3 | 4.7 | 3.5 |
| Time | Period | Jan | Feb | Mar | Apr | May | Jun | Jul | Aug | Sep | Oct | Nov | Dec | Ann |
|---|---|---|---|---|---|---|---|---|---|---|---|---|---|---|
| 00:00 (UTC+08) | 1957–2004 | 796 | 719 | 615 | 548 | 535 | 489 | 488 | 484 | 558 | 648 | 737 | 791 | 617 |
| Morning | 2012–2020 | 549 | 449 | 427 | 354 | 295 | 290 | 353 | 356 | 403 | 428 | 459 | 509 | 427 |
| 12:00 (UTC+08) | 1957–2004 | 705 | 553 | 314 | 266 | 273 | 298 | 286 | 315 | 294 | 340 | 556 | 732 | 411 |
| Evening | 2012–2020 | 518 | 419 | 395 | 375 | 0 | 0 | 0 | 0 | 191 | 202 | 375 | 493 | 247 |
Disclaimer/Publisher’s Note: The statements, opinions and data contained in all publications are solely those of the individual author(s) and contributor(s) and not of MDPI and/or the editor(s). MDPI and/or the editor(s) disclaim responsibility for any injury to people or property resulting from any ideas, methods, instructions or products referred to in the content. |
© 2022 by the authors. Licensee MDPI, Basel, Switzerland. This article is an open access article distributed under the terms and conditions of the Creative Commons Attribution (CC BY) license (https://creativecommons.org/licenses/by/4.0/).
Share and Cite
Sumiya, E.; Dorligjav, S.; Purevtseren, M.; Gombodorj, G.; Byamba-Ochir, M.; Dugerjav, O.; Sugar, M.; Batsuuri, B.; Tsegmid, B. Climate Patterns Affecting Cold Season Air Pollution of Ulaanbaatar City, Mongolia. Climate 2023, 11, 4. https://doi.org/10.3390/cli11010004
Sumiya E, Dorligjav S, Purevtseren M, Gombodorj G, Byamba-Ochir M, Dugerjav O, Sugar M, Batsuuri B, Tsegmid B. Climate Patterns Affecting Cold Season Air Pollution of Ulaanbaatar City, Mongolia. Climate. 2023; 11(1):4. https://doi.org/10.3390/cli11010004
Chicago/Turabian StyleSumiya, Erdenesukh, Sandelger Dorligjav, Myagmartseren Purevtseren, Gantulga Gombodorj, Munkhbat Byamba-Ochir, Oyunchimeg Dugerjav, Munkhnaran Sugar, Bolormaa Batsuuri, and Bazarkhand Tsegmid. 2023. "Climate Patterns Affecting Cold Season Air Pollution of Ulaanbaatar City, Mongolia" Climate 11, no. 1: 4. https://doi.org/10.3390/cli11010004
APA StyleSumiya, E., Dorligjav, S., Purevtseren, M., Gombodorj, G., Byamba-Ochir, M., Dugerjav, O., Sugar, M., Batsuuri, B., & Tsegmid, B. (2023). Climate Patterns Affecting Cold Season Air Pollution of Ulaanbaatar City, Mongolia. Climate, 11(1), 4. https://doi.org/10.3390/cli11010004

