Abstract
This research developed a pressure-based thrust vectoring angle estimation method for fluidic thrust vectoring nozzles. This method can accurately estimate the real-time in-flight thrust vectoring angle using only wall pressure information on the inner surface of the nozzle. We proposed an algorithm to calculate the thrust vectoring angle from the wall pressure inside the nozzle. Non-dominated sorting genetic algorithm II was applied to find the optimal sensor arrays and reduce the wall pressure sensor quantity. Synchronous force and wall pressure measurement experiments were carried out to verify the accuracy and real-time response of the pressure-based thrust vectoring angle estimation method. The results showed that accurate estimation of the thrust vectoring angle can be achieved with a minimum of three pressure sensors. The pressure-based thrust vectoring angle estimation method proposed in this study has a good prospect for engineering applications; it is capable of accurate real-time in-flight monitoring of the thrust vectoring angle. This method is important and indispensable for the closed-loop feedback control and aircraft attitude control of fluidic thrust vectoring control technology.
1. Introduction
Thrust vectoring control (TVC) is an indispensable technology for the next-generation high-performance fighter. It can partly replace aerodynamic rudders to provide aircraft attitude control force [1], significantly enhance the maneuverability and agility of the aircraft, and improve aerial combat capabilities. TVC methods can be divided into two categories: mechanical thrust vectoring control and fluidic thrust vectoring control (FTVC). Mechanical thrust vectoring control changes the shape of the nozzle to limit or change the flow direction of the jet. It can achieve continuous and stable control of the jet vectoring direction but with disadvantages such as complex and heavy mechanical structures, slow jet vectoring response, and thrust loss [2]. In contrast, FTVC can avoid some of these problems. FTVC changes the flow direction of the jet using active flow control methods, thus avoiding complex mechanical structures. Some typical FTVC methods include shock vector control [3,4,5], throat shifting control [6,7], dual throat control [8,9,10], counterflow control [11,12], and co-flow control [13,14]. These FTVC methods all use air sources, such as high-pressure air tanks or engine bleed air, to generate an active secondary flow, which will add redundant structures to the control system of the nozzle. Therefore, these methods are defined as active FTVC. In our study, we investigated a passive FTVC nozzle, which only consists of two bilateral inclined offset walls and a pair of secondary flow valves [15]. There is no need for an air source, high-pressure device, or engine bleed air to generate an active secondary flow. Due to the advantages of low energy consumption, fast deflection speed, and low thrust loss, passive FTVC is very promising for engineering applications.
The thrust vectoring angle is a key performance indicator of TVC technology, which not only affects the thrust of the engine but also determines the magnitude of the normal force generated by the TVC system. When the TVC system is used as an aerodynamic rudder, thrust vectoring angle directly affects the attitude maneuvering torque of the aircraft. Moreover, if closed-loop feedback control of the nozzle is required, it is necessary to obtain the in-flight real-time thrust vectoring angle. Therefore, real-time in-flight monitoring of the thrust vectoring angle generated by the TVC system is very important. Mechanical thrust vectoring control can indirectly obtain the vectoring angle of the jet through the deflection degree of the nozzle configuration. Unfortunately, there is no efficient way for FTVC methods to acquire the in-flight thrust vectoring angle. In ground performance tests, the vectoring angle of the FTVC system is usually measured by the balance system or the particle image velocimetry (PIV) system [16]. Flamm [17] used a six-component strain gauge balance to obtain the thrust vectoring characteristics of a fluidic counterflow nozzle. PIV can acquire the flow field in space in the form of non-contact measurement [18]. Raman et al. [19] used PIV to investigate the flow structures of a jet in a miniature fluidic oscillator. However, it is difficult to directly measure the in-flight engine thrust [20]. In-flight optical non-contact measurement of the exhausted jet is also difficult and impractical. These technical bottlenecks are detrimental to the application of FTVC technologies and need to be addressed urgently. Therefore, this investigation proposes a method for estimating the thrust vectoring angle based on wall pressure distribution, which makes it possible to acquire the in-flight thrust vectoring angle of the FTVC system. Unlike the previously existing balance measurement and PIV methods, the strategy proposed in this study only requires a few sparse pressure measurement points inside the FTVC nozzle, combined with our vectoring angle solving algorithm, to realize the real-time static and dynamic measurement of the jet vectoring angle.
In aerodynamics, the estimations of aerodynamic properties from the surface pressure distribution have been widely used, and we expect to learn from them and propose a new pressure-based thrust vectoring angle estimation method for FTVC nozzles. For example, multi-hole probes can determine the three-dimensional velocity vector and fluid properties through the pressure data at specific locations on the head of the probe [21]. In the case of a delta wing, the instantaneous loads can be predicted from sparse pressure measurements [22]. The flush air data sensing system can use a matrix of pressure orifices on the nose of the aircraft to estimate air data parameters [23]. The lateral force caused by the bi-stable asymmetric forebody vortices at a high angle of attack can be estimated by the circumferential pressure distribution [24]. Regarding FTVC technology, previous studies have indicated that the vectoring angle of FTVC is strongly determined by the near-wall pressure on both sides of the jet [25,26,27]; therefore, it is possible to estimate the thrust vectoring properties through the wall pressure distribution. Normally, a dense array of pressure sensors on the nozzle wall is always required to obtain the pressure distribution on the wall, but this solution is impractical for in-flight applications. The acceptable solution is to place sparse sensors at several key locations. However, inside the FTVC nozzles, the interaction between the jet and the wall is exceptionally complicated; typical near-wall flow processes include the shear layer, reattachment, and separation bubble [28,29,30]. Moreover, during the transient process of jet deflection, there will be dramatic changes in the near-wall flow structures, such as the formation and breakdown of the separation bubble [31]. These circumstances determining the wall pressure distribution of the FTVC nozzle are irregular and unsteady, which makes it very difficult to find the critical pressure locations to indicate the thrust vectoring properties. Therefore, we use genetic algorithm optimization to find the optimal locations with the least sensors.
Genetic algorithms show good performance in finding the best global solution to difficult problems [32,33], and they have been widely employed in layout optimization [34,35,36,37,38]. However, traditional genetic algorithms are computationally expensive for large populations [38]. In this research, we used the non-dominated sorting genetic algorithm II (NSGA-II) to optimize the layout of the pressure sensors. NSGA-II was developed from NSGA [39], which has the advantages of a fast non-dominated sorting procedure, an elitist strategy, a parameterless approach, and a simple yet efficient constraint-handling method [40]. NSGA-II is particularly suitable for solving multi-objective optimization problems because this method uses an inexpensive, low-fidelity analytical approach to evaluate objectives and constraints [41].
In summary, it is extremely important for thrust vectoring nozzles to obtain the real-time in-flight thrust vectoring angle. However, for FTVC nozzles, there is no effective way to measure the thrust vectoring angle in-flight. It is theoretically possible to obtain the thrust vectoring angle by placing hundreds or thousands of pressure sensors on the inner side wall of the nozzle, but this is obviously not practical in engineering applications. To solve this pressing problem, this research proposes an optimized pressure-based thrust vectoring angle estimation method for fluidic thrust vectoring nozzles. It is capable of monitoring the real-time in-flight thrust vectoring angle with a sparse pressure sensor array, which is optimized by a genetic algorithm. We conducted synchronous experiments to prove the accuracy and real-time response of this method. The pressure-based vectoring angle estimation method is a reliable meter for FTVC nozzles, which can provide accurate vector angles to the pilot or flight control system, thus improving the aircraft attitude control capability and safety of FTVC control. Therefore, this method is important and indispensable for the further application of FTVC technology.
2. Experimental Approach
2.1. Test Facilities and Model
We built an electric jet propulsion system to investigate and validate the pressure-based thrust vectoring angle estimation method proposed in this research. The propulsion system is powered by a 144 mm ducted fan, which can generate jets with velocities ranging from 10 to 60 m/s. The type of 144 mm ducted fan is a 144EDF-Metal fan, which is manufactured by Taizhou Juxian Drone Company in China. The size of the jet outlet can be changed by replacing the contraction section. The test facilities include the pressure measurement system, the six-component balance system, and the synchronous DAQ system, as shown in Figure 1.
Figure 1.
A schematic highlighting the salient features of the experimental facility.
The passive FTVC nozzle is installed at the outlet of the jet propulsion system to achieve jet vectoring control. The detailed parameters of the passive FTVC nozzle are illustrated in Figure 2. The main structures of the nozzle consist of two inclined walls, two sidewalls, and two control valves. The origin of the nozzle coordinate axis system is located at the center of the jet outlet, the Y-axis coincides with the center axis of the jet propulsion system, the Z-axis is in the opposite direction of gravity, and the X-axis is determined by the right-hand rule, as shown in Figure 2a. There is an offset of G = 6 mm between the jet outlet and the leading edge of the inclined wall. The incline angle between the inclined wall and the nozzle Y-axis is θ = 16°. The length of the inclined wall is L = 125 mm, and the height of the jet outlet is H = 50 mm. The two sidewalls are located on the lateral sides of the inclined wall. In Figure 1 and Figure 2, the sidewall on the left side is hidden.
Figure 2.
The detailed parameters of the passive FTVC nozzle. (a) Side view and the nozzle coordinate axis system O-XYZ. (b) Oblique view and the wall coordinate axis system o-xyz.
To facilitate the description of the position on the inclined wall, the wall coordinate axis system shown in Figure 2b is defined. Take the inclined wall on the lower side as an example; the coordinate origin o is located at the center of the leading edge of the inclined wall, the x-axis points to the left along the leading edge of the wall (transverse), and the y-axis points to the trailing edge along the wall (streamwise). The width of the jet outlet is W = 250 mm.
2.2. Pressure Measurement System
The pressure measurement system was used to obtain the pressure distribution on the inclined wall during jet vectoring control. It has 64 acquisition channels using SM-5652 pressure transducers, which were manufactured by Silicon Microstructures Incorporated (SMI) in the USA. Data were acquired using a NI PXI-6284 multifunction I/O module. The measurement range is 0.15 PSI, and the precision is 0.05% F.S. According to the feature of the differential pressure sensor, the pressure can be expressed by
where Ptest is the pressure acquired by the sensor, Ps is the local absolute pressure, Patm is the atmospheric pressure at the reference of the sensor, Cp is the pressure coefficient, ρ is the density of the air, and v∞ is the velocity of the jet at the outlet.
2.3. Six-Component Balance System
The six-component balance system was used to directly measure the thrust vectoring characteristics during jet deflection, thus verifying the accuracy of the pressure-based thrust vectoring angle estimation. The balance system consists of the six-component balance, one NI PXI-6284 multifunction I/O module, and one NI PXIe-1078 computer. The six-component balance (type GYS-TP-01-B1) was built in-house; it contains a total of 28 resistive strain gauges, 8 in the FY direction and 4 in each of the other directions. The type of the strain gauges is BF350, which were manufactured by AVIC Zhonghang Electronic Measuring Instruments Company in China. The specifications of the balance are shown in Table 1, and the balance axes are the same as the nozzle coordinate axis system in Figure 2a.
Table 1.
Specifications of the six-component balance.
2.4. Synchronous DAQ System
The synchronous DAQ system was used to enable the time-synchronous acquisition of forces and wall pressure distribution during thrust vector control in Section 4.5. The DAQ system consists of one NI PXIe-1078 computer and two NI PXI-6284 multifunction I/O modules, which were manufactured by National Instruments (NI) in Texas, USA. The synchronous acquisition software was programmed based on NI LabVIEW. The force signals acquired by the balance system were used for a direct calculation of the thrust vectoring angle, and the pressure signals collected by the pressure sensors were used for an indirect estimation of the thrust vectoring angle. The schematic diagram of the synchronous DAQ system is shown in Figure 3. The pressure measurement system and the balance system acquire data simultaneously and continuously at a sampling frequency of 100 Hz. At moment t1, the control valve actuates the jet to deflection until moment t2, as illustrated by the pink rectangular area. The reliability of the pressure-based thrust vectoring angle estimation algorithm can be demonstrated by comparing its difference with the vectoring angle directly measured by the balance at the same moment.
Figure 3.
Timing chart of the synchronous DAQ system.
3. Methodology
3.1. Passive Fluidic Thrust Vectoring Control
This section briefly describes the basic control principles of passive FTVC. As mentioned previously, there is no need for an air source, high-pressure device, or engine bleed air for passive FTVC to deflect the jet. As shown in Figure 4a, the shear layer of the primary jet keeps entraining fluid into the primary jet, which makes the pressure in the near-wall area of the nozzle lower than the external pressure of the environment. Because both the upper and lower valves are opened, the ambient fluid will be passively entrained into the nozzle from the environment through the secondary flow channel. In this case, the flow conditions of the upper and lower sides of the jet are basically the same, and the jet is neutral. When one of the valves is closed, such as the lower side shown in 0b, the passive secondary flow on the lower side will be cut off. Then, a strong low-pressure area will be created in the near-wall region on the lower side, actuating the jet to deflect towards the lower side. Figure 4b also provides the typical wall pressure distribution of the attached jet [31], which shows that there is a low-pressure region near the leading edge of the wall. By changing the closure percentage of the control valves, the jet can be deflected at different vectoring angles. The closure percentage δv of the valves is defined as
where Smax = G × W, which is the maximum cross-sectional area of the secondary flow channel, and S is the area blocked by the control valve.
Figure 4.
The basic control principles of passive FTVC. (a) Neutral detached jet. (b) Attached jet and the wall pressure distribution of the wall on the downside [31].
3.2. Thrust Vectoring Angle Algorithm Based on Wall Pressure Distribution
According to [13], the thrust vectoring angle generated by the TVC system can be calculated by
where θT is the thrust vectoring angle and FY and FZ are the axial force in the Y-direction and the normal force in the Z-direction, respectively.
In Strykowski’s [42] study on a counterflow TVC nozzle, he proposed a method to calculate thrust vectoring angle from wall pressure
where θP is the thrust vectoring angle estimated by pressure, P∞ is the local ambient pressure, PB is the pressure at the secondary flow channel, L is the length of the wall, and J is the forward momentum of the jet.
The method in Equation (5) uses the pressure of the secondary flow channel to represent the overall pressure of the wall, but the actual wall pressure distribution is not uniform. In addition, it ignores the wall incline angle and the effect of backpressure on thrust. Therefore, the thrust vectoring angle calculated by this method is inaccurate.
In this investigation, we propose a thrust vectoring angle algorithm based on wall pressure. The thrust generated by the jet is
where is the mass flow of the jet, Se is the area of the jet outlet, Pe is the static pressure of the jet at the outlet, Patm is the environmental pressure, and is the dynamic pressure, which can be measured at the jet outlet.
When the vectoring angle of the jet is θP, the thrust component of Tjet in the Y-direction is
The normal force generated by the passive FTVC system is calculated from the wall pressure distribution. As shown in Figure 4b, the resultant force applied on the lower wall by the negative pressure is FP, which can be calculated by
where is the average wall pressure coefficient all over the wall and Sw = W × L is the area of the inclined wall.
As a result, the thrust vectoring angle θP estimated by pressure distribution can be calculated by
From Equation (14), it can be seen that the average wall pressure plays a key role in pressure-based thrust vectoring angle estimation. For this reason, we need to obtain the pressure distribution over the inclined wall. However, placing hundreds or thousands of pressure sensors on the wall is impractical. Therefore, we employed NSGA-II to achieve the reduction in sensor quantity and optimization of the sensor array.
In this research, we used two strategies to estimate the average wall pressure:
- Pressure distribution reconstruction method: Reconstruct the wall pressure distribution from sparse sensor arrays on the wall and then obtain the average wall pressure. The reconstruction methods include 2D reconstruction (Section 4.1), 3D reconstruction (Section 4.2), and half-3D reconstruction (Section 4.3);
- Direct average pressure method: Characterize the average wall pressure directly using the average pressure of the sparse pressure sensors (Section 4.4).
The strategies and objectives of different methods are shown in Table 2.
Table 2.
The strategies and objectives of different methods.
3.3. NSGA-II Optimization Method
This section introduces the optimization process of the sensor layout based on NSGA-II and the accuracy verification of the pressure-based thrust vectoring angle estimation method based on wall pressure distribution proposed in this paper. The procedure of the investigation can be described as follows:
- Obtain the original wall pressure distributions at different δv using a dense array of pressure sensors;
- Define the number of the sensors (Ns) and the optional position ranges of the sensors for optimization;
- NSGA-II optimization (flow chart shown in Figure 5);
Figure 5. Flow chart of the NSGA-II optimization method. - Carry out the synchronous force and pressure measurement experiment shown in Figure 1 to verify the accuracy and dynamic response performance of pressure-based thrust vectoring angle estimation.
The mean absolute error ε and the mean relative error εr are defined as
The root mean square error (RMSE) and the relative root mean square error (RRMSE) are used for the evaluation of the optimization results which, according to ref. [43], can be defined as
3.4. Kriging Interpolation
Kriging is a well-known spatial interpolation method that has been applied in various research studies [44,45]. Kriging was named by Matheron [46] after Krige [47], who pioneered this method for determining ore-grade distributions based on core samples. The Kriging method can use the initial set of data values to perform optimal and unbiased estimates of regionalized variables at unsampled locations [48]. In this research, we use Kriging interpolation to reconstruct the overall wall pressure distributions of the 3D jets from sparse pressure data.
In the estimation of Kriging interpolation coefficients, a semi-variogram is introduced to measure the spatial correlation of the sample data with distance. Suppose that z(s) is the value at point s and z(s + h) represents the value spacing distance h apart; then, the semi-variogram of z(s) is defined as [49]
The Gaussian semi-variogram model is used; the theoretical semi-variogram is
where C0 is the nugget effect, C is the structured variance, and a is the variogram range.
With the original values z(s1), z(s2), …, z(sn) at points s1, s2, …, sn, the Kriging estimation of the unsampled position s0 is [49]
where λi is chosen to ensure that the estimation is unbiased and the variance of the estimation error is minimum; the optimization objective can be expressed as [49]
where m is a Lagrange multiplier that ensures . Then, λi can be obtained from [49,50]
Equation (23) can be written as:
where . By solving this system of equations, the value at the unsampled position s0 can be estimated.
4. Results and Discussion
First, we define the optimization objectives and parameters for different pressure distribution reconstruction methods and average pressure estimation methods, as shown in Table 3.
Table 3.
Optimization parameters for different pressure distribution reconstruction and average pressure estimation methods.
4.1. Optimal Reconstruction of 2D Wall Pressure Distribution
In this section, the 2D jet in the transverse symmetry plane YOZ is studied without considering the three-dimensional characteristics of the jet.
4.1.1. Original Wall Pressure Distributions of 2D Jets
For the 2D jet in the plane shown in Figure 6, we set 24 equally spaced pressure taps on the wall from the leading edge to the trailing edge to obtain the real wall pressure distributions of the 2D jet. The positions of the pressure taps for the 2D jet can be described as
Figure 6.
Distribution of original pressure measurement taps for the 2D jet in the transverse symmetry plane YOZ.
Figure 7 shows the original wall pressure distributions of the 2D jets under different δv values. There are two main patterns of pressure distribution. In the first case, the pressure over the wall is basically uniform from the leading edge to the trailing edge (δv = 0~0.2 in Figure 7), which corresponds to the detached jet shown in Figure 4a. In the second case, the pressures at the wall’s leading edge and trailing edge show a significant difference (δv = 0.4~1 in Figure 7), which corresponds to the attached jet shown in Figure 4b. The variation in the wall pressure distribution characteristics is due to the different near-wall flow structures [31]. Therefore, the sparse pressure sensors distributed on the wall should have the ability to optimally fit the wall pressure distribution under different δv values.
Figure 7.
The original wall pressure distributions of 2D jets under different δv values.
4.1.2. Optimization Results and Performance of 2D Wall Pressure Distribution Reconstruction
The optimal pressure reconstruction errors of different iterations are shown in Figure 8a. When Ni = 400, the error has been minimized and smoothed. Figure 8b shows the pressure reconstruction errors of different Ns. In general, the greater the number of sensors, the smaller the error in reconstructing the pressure distribution. The error decreases with a turn at Ns = 6, and the error is basically smooth when Ns > 6. Therefore, in the case of a 2D jet, Ns = 6 provides the best balance between improvement of reconstruction accuracy and reduction of sensor quantity.
Figure 8.
The 2D pressure distribution reconstruction error. (a) Error of 400 iterations. (b) Error of different numbers of sensors Ns.
Figure 9 shows the optimized 2D pressure distribution reconstruction performance with different numbers of sensors. For the cases of detached jets (e.g., δv = 0), only a few sensors are required to provide good pressure reconstruction results because the pressure distribution is relatively uniform. However, when it comes to the cases of attached jets (e.g., δv = 0.5 and 1), reconstruction of the wall pressure distribution appears unsatisfactory when Ns < 6 (see Figure 9a,b). When Ns = 6, Figure 9c shows that under different δv values, the reconstructed pressures match well with the real pressure distributions. From the comparison of Figure 9c,d, it can be seen that the pressure reconstruction performance of six or more sensors is nice and basically consistent. Therefore, for 2D jets, the optimal number of sensors is six.

Figure 9.
Optimized 2D pressure distribution reconstruction performance of different numbers of sensors. (a) Ns = 4. (b) Ns = 5. (c) Ns = 6. (d) Ns = 10.
With the reconstructed pressure distribution, the average wall pressure of a 2D jet is
where Cp (y) is the reconstructed 2D pressure distribution function.
4.2. Optimal Reconstruction of 3D Wall Pressure Distribution
In this section, the overall wall pressure distribution of the jet is researched, and the three-dimensional pressure characteristics of the jet are taken into consideration.
4.2.1. Original Wall Pressure Distributions of 3D Jets
We arranged a 24 × 25 pressure sensor array to measure the original 3D wall pressure distributions of the jet, as shown in Figure 10. The positions of the pressure taps can be described as
Figure 10.
Distribution of original pressure measurement taps for the 3D jet.
Because there are a total of 600 pressure measurement locations and the limit of pressure channels is 64, we obtained only one column of pressure data in a single run, and the overall pressure distribution in the measurement area could be acquired through multiple scans, as illustrated by the blue area in Figure 10. The jet can be considered symmetrical in the transverse direction, so the pressure of the wall where x > 0 is measured as well as the region where x < 0 is the mirror area, as illustrated by the pink area in Figure 10.
Figure 11 provides the original 3D wall pressure distribution of the jets under different δv values. Similar to the case of 2D jets, the 3D wall pressure distribution also has two distribution patterns. The first pattern corresponds to a detached jet, such as Figure 11d, which has a very flat wall pressure distribution with no obvious transverse pressure differences. The second pattern corresponds to an attached jet, such as Figure 11a–c, where the pressure is low at the leading edge and high at the trailing edge. However, unlike the 2D jets, in the cases of the attached 3D jets, there is a transverse difference in pressure distribution in the two corner areas of the leading edge, as shown in Figure 11a. According to this phenomenon, the wall pressure distribution is divided into a 2D region and 3D region.
Figure 11.
The original wall pressure distributions of 3D jets under different δv values. (a) δv = 1. (b) δv = 0.8. (c) δv = 0.5. (d) δv = 0.
4.2.2. Optimization Results and Performance of 3D Wall Pressure Distribution Reconstruction
The 3D pressure distribution reconstruction error of different Ns amounts is shown in Figure 12. Because the 3D wall pressure distribution is much more complex than the 2D case, the reconstruction error becomes larger compared with the 2D case.
Figure 12.
3D pressure distribution reconstruction error of different numbers of sensors Ns.
Figure 13 shows the 3D pressure distribution reconstruction performance with different numbers of sensors. When δv = 0, different numbers of sensors can all obtain good reconstruction results as the pressure is flat. When δv becomes larger, better pressure reconstruction results will be obtained with a larger number of sensors. When Ns = 5, the reconstructed pressure can roughly reflect the general distribution pattern of low pressure at the leading edge and high pressure at the trailing edge, but it is not capable of reconstructing the 3D pressure characteristics of the corners, as shown in Figure 13d,e. When Ns = 15, the leading edge 3D pressure feature can already be demonstrated (see Figure 13g,h). However, it cannot distinguish between the central 2D pressure and the 3D corner pressure. When Ns = 24, Figure 13j,k shows that the reconstructed pressure distribution characteristics are almost the same as that of the original ones shown in Figure 13a,b. Both the 2D pressure area and 3D corner area can be reconstructed well.

Figure 13.
3D pressure distribution reconstruction results with different numbers of sensors.
With the reconstructed pressure distribution, the average wall pressure of a 3D jet is
where Cp (x, y) is the reconstructed 3D pressure distribution function.
4.3. Optimal Reconstruction of Half-3D Wall Pressure Distribution
If the jet transverse symmetry is used as a complementary condition, then it is possible to achieve a further reduction in sensor quantity while maintaining a good 3D pressure reconstruction performance. Assume that one sensor is located at P1 (xP, yP); the pressure at P1 possesses the following feature
where Cp (−xP, yP) is the pressure coefficient of point P2 (xP, yP), which is symmetric with P1 about the y-axis.
Applying Equation (29), we can use Ns real sensors with Ns symmetrical virtual sensors to achieve measurement with 2 × Ns sensors. We define this method as half-3D reconstruction. All real sensors are in the region where x ≥ 0.
Figure 14 shows the half-3D pressure distribution reconstruction error of different Ns and the comparison of the half-3D method with the full-3D method. The two methods have the same error when Ns = 1. In addition to this, the half-3D method always has smaller pressure distribution reconstruction errors for all sensor quantities. This advantage is particularly evident at 2 ≤ Ns ≤ 9, which brings about a significant error reduction.
Figure 14.
Half-3D pressure distribution reconstruction error of different numbers of sensors Ns.
The performance of half-3D pressure distribution reconstruction with different Ns is shown in Figure 15. When Ns = 5, the 3D corner pressure at the leading edge can already be roughly reconstructed, but the 2D area is poorly demonstrated, as shown in Figure 15d. When Ns = 15, Figure 15j,k shows that both the 2D pressure area and 3D corner area can be reconstructed well. Compared with the full-3D method in Figure 13, the half-3D method can achieve better 3D pressure reconstruction accuracy with fewer sensors.
Figure 15.
Half-3D pressure distribution reconstruction results with different numbers of sensors.
For the half-3D method, the calculation of average wall pressure is the same as that of the full-3D method, as shown in Equation (28). We recommend the half-3D method rather than the full-3D method, and the case of Ns = 15 was taken for final verification.
4.4. Direct Average Pressure Method
The results presented in the previous sections are based on the pressure reconstruction method. According to Equation (14), it is the average wall pressure that needs to be obtained, and a completely accurate wall pressure distribution is not necessary. In this section, the average wall pressure is estimated directly by the average pressure of the sparse pressure sensors. The purpose of this method is to estimate the average wall pressure as accurately as possible with a minimum number of sensors. Figure 16 shows the error of the average pressure with different Ns. When Ns ≤ 2, the estimation error of the average pressure is large. When Ns ≥ 3, the error levels off. Based on the requirement to minimize the number of sensors, Ns = 3 was chosen as the preferred solution. For comparison, the case Ns = 1 is also verified in the next section.
Figure 16.
Error of average pressure with different numbers of sensors Ns.
With the direct average pressure method, the average pressure can be estimated by
4.5. Verification of the Thrust Vectoring Angle Estimation Method with Synchronous Experiments
4.5.1. Experimental Procedure
In the verification of our thrust vectoring angle estimation method, we used both balance force measurement and wall pressure measurement. The two types of data were collected synchronously on the timeline using an NI LabVIEW DAQ system. In the experiment, we first used the secondary flow valve to control the deflection of the jet. The balance measured the thrust vectoring angle θT directly, while the pressure transducers measured the wall pressure and indirectly estimated the thrust vectoring angle θP using the algorithm proposed in this investigation. Then, the accuracy of this thrust vectoring angle estimation method can be evaluated by comparing the errors between θT and θP.
4.5.2. Definition of the Sensor Arrays on the Verification Model
Synchronous force and pressure measurement experiments were carried out to verify the pressure-based thrust vectoring angle estimation method proposed in this research. We set up 25 pressure measurement taps on the wall to verify four different estimation methods at the same time; the model is shown in Figure 17. The pressure measurement taps on the upper and lower walls are symmetrical about the XOY plane, with a total of 50 wall pressure sensors, as shown in Figure 1. The details of the sensor arrays are listed in Table 4.
Figure 17.
The optimized pressure sensor distributions in the verification model.
Table 4.
Definition of the sensor arrays in the verification model.
4.5.3. Accuracy of Pressure-Based Thrust Vectoring Angle Estimation
The accuracy of pressure-based thrust vectoring angle estimation is verified by the control law of thrust vectoring angle with δv. During the experiment, the thrust vectoring angle is obtained in two different ways. The first is direct force measurement, whose result is θT. The second is a pressure-based estimation, whose result is θP. The calculating equations are summarized in Table 4. All of the thrust vectoring angles obtained by different methods are acquired synchronously in the same test.
From the control law shown in Figure 18a, it can be seen that θP estimated by the 2D method, half-3D method, and aver Cp_3 method agree well with θT. Figure 18b illustrates that the errors of the first three methods are small, their mean absolute errors ε are less than 0.5°, and their mean relative errors εr are less than 3.1%. However, the accuracy of the Cp_1 method, which uses only one sensor, is poor. The mean relative error is 17.5%. Note that the control law in Figure 18a shows a hysteresis loop between the jet attachment process and the jet detachment process; this is caused by the changes in the near-wall flow structures [31].
Figure 18.
The performance of the pressure-based thrust vectoring angle estimation. (a) Control law of thrust vectoring angle. (b) Thrust vectoring angle estimation error of the different methods.
Considering the objective of using the minimum number of sensors to achieve pressure-based thrust vectoring angle estimation, the direct average pressure method with Ns = 3 is a preferred solution. According to Equation (14), we need at least three differential sensors to acquire the pressure of the six measurement positions on the upper and lower walls.
4.5.4. Dynamic Response of Pressure-Based Thrust Vectoring Angle Estimation
In addition to accuracy, the pressure-based thrust vectoring angle estimation methods must possess good dynamic responses to meet the expectations in situations such as closed-loop feedback control, vehicle attitude control, etc. Take the half-3D method with Ns = 15 as an example; Figure 19a shows the synchronous dynamic response of θT and θP. During the test, the jet is initially in the neutral state. Then, multiple secondary flow valve closed–open switching is performed, whereupon the jet switches between attached and detached. The result shows that θT and θP maintain good consistency. A cross-correlation analysis is performed for θT and θP; Figure 19b shows that the normalized cross-correlation coefficient (NCC) reaches 0.99919 and that they remain synchronized in time. This suggests that the pressure-based thrust vectoring angle estimation has a good dynamic response capability.
Figure 19.
The estimation performance of dynamic response. (a) The synchronous dynamic response of θT and θP. (b) The normalized cross-correlation of θT and θP.
4.5.5. Uncertainty Analysis
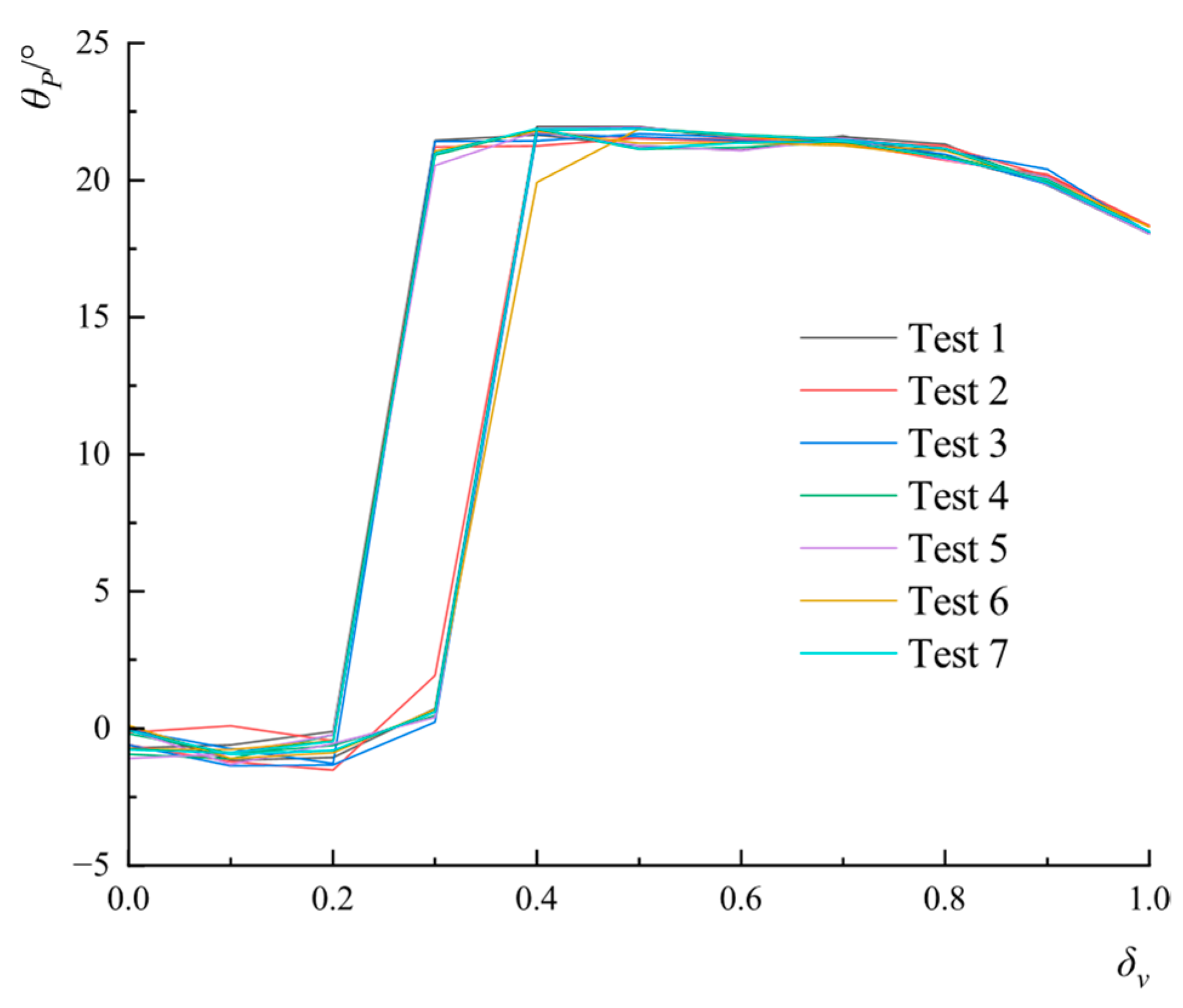
In our experiments, we performed seven independent repetitions of the balance measurement, as shown in Figure 20; in this section, we perform an uncertainty analysis for the thrust vectoring angle estimation method proposed in this paper.
Figure 20.
The seven independent repetitions of the balance measurement.
The type A evaluations of uncertainty uA can be calculated by
where n = 7 is the number of tests and s(x) is the standard deviation.
According to Equation (31), the type A uncertainties of the thrust vectoring angle estimation method are summarized in Table 5.
Table 5.
The type A uncertainties of the thrust vectoring angle estimation method.
The above results show that a good estimation of thrust vectoring angle based on wall pressure can be achieved with a minimum of three differential pressure sensors. The half-3D method requires more sensors, but it can accurately reconstruct the overall wall pressure distribution. In the FTVC nozzles, the near-wall flow structures play a significant role in jet deflection control. Therefore, the half-3D method can assist in the study of the development of the near-wall 3D flow structures using the wall pressure distribution. Table 6 summarizes the different thrust vectoring angle estimation and wall pressure reconstruction methods and recommends their scope of application.
Table 6.
Summary of different pressure-based thrust vectoring angle estimation methods and their recommended applications.
5. Conclusions
We developed a pressure-based thrust vectoring angle estimation method for FTVC nozzles in this investigation. Multiple methods were proposed to reconstruct wall pressure distribution and estimate average wall pressure, including a 2D method, 3D method, half-3D method, and direct average pressure method. Non-dominated sorting genetic algorithm II was applied to find the optimal sensor arrays for reducing the sensor quantity. Synchronous force and pressure measurement experiments were carried out to verify the pressure-based thrust vectoring angle estimation methods. The most important findings are summarized as follows:
- Direct average pressure method can provide a good estimation of thrust vectoring angle with a minimum of three differential pressure sensors;
- The estimation method in this study is capable of accurate and fast response vectoring angle monitoring; the mean relative error is less than 3.1%;
- The half-3D method requires more sensors, but it can accurately reconstruct the overall wall pressure distribution using a sparse array of pressure sensors, which is helpful in the study of the near-wall 3D flow structures in FTVC nozzles.
The pressure-based thrust vectoring angle estimation method proposed in this study has a good prospect for engineering applications; it is capable of real-time in-flight monitoring of the thrust vectoring angle with very few sensors. This method is extremely important and indispensable for the closed-loop feedback control and aircraft attitude control of FTVC technology.
This research proposed an accurate and practical pressure-based thrust vectoring angle estimation method. However, the accurate in-flight estimation of the thrust magnitude requires further study.
Author Contributions
Conceptualization, N.S. and Y.G.; methodology, N.S. and Y.G.; software, T.W.; validation, Y.G.; investigation, N.S., Y.Z., Y.W. and S.D.; resources, Y.Z.; data curation, N.S. and T.W.; writing—original draft preparation, N.S. and T.W.; writing—review and editing, Y.G., Y.Z., Y.W. and S.D.; visualization, N.S.; funding acquisition, Y.G. All authors have read and agreed to the published version of the manuscript.
Funding
This research was funded by the National Natural Science Foundation of China grant number 11972017, and the Priority Academic Program Development of Jiangsu Higher Education Institutions.
Data Availability Statement
Data are contained within the article.
Conflicts of Interest
We declare that no conflict of interest exists in the submission of this manuscript and that the manuscript is approved by all authors for publication. We do not have any commercial or associative interests that represent a conflict of interest in connection with the work submitted.
Nomenclature
| Pressure coefficient and average pressure coefficient | |
| DAQ | Data acquisition |
| FTVC | Fluidic thrust vectoring control |
| G | Offset of the secondary flow channel |
| H | Height of the jet outlet |
| L | Length of the inclined wall |
| Ni | Times of iterations |
| Ns | Number of sensors |
| NSGA-II | Non-dominated sorting genetic algorithm II |
| RMSE | Root mean square error |
| RRMSE | Relative root mean square error |
| TVC | Thrust vectoring control |
| uA | Type A evaluations of uncertainty |
| v∞ | Velocity of the jet at the outlet |
| W | Width of the jet outlet |
| x, y | Axes of the wall coordinate system |
| xP, yP | Coordinates of point P in the wall coordinate system |
| X, Y, Z | Axes of the nozzle coordinate system |
| x*, xreal | Measured value and real value |
| δv | Closure percentage of the secondary flow valve |
| ε, εr | Mean absolute error and mean relative error |
| θ | Incline angle of the inclined wall |
| θP | Thrust vectoring angle estimated by wall pressure |
| θT | Thrust vectoring angle |
| ρ | Density of air |
| 2D, 3D | Two-dimensional, three-dimensional |
References
- Waithe, K.A.; Deere, K. Experimental and computational investigation of multiple injection ports in a convergent-divergent nozzle for fluidic thrust vectoring. In Proceedings of the 21st AIAA Applied Aerodynamics Conference, Orlando, FL, USA, 23–26 June 2003. AIAA Paper 2003-3802. [Google Scholar] [CrossRef]
- Lian, Y.J. Fluidic thrust vectoring techniques research. Aircr. Des. 2008, 28, 19–24. (in Chinese). [Google Scholar] [CrossRef]
- Wing, D.J. Static Investigation of Two Fluidic Thrust-Vectoring Concepts on a Two-Dimensional Convergent-Divergent Nozzle. NASA TM-4574. 1994. Available online: https://ntrs.nasa.gov/citations/19950012627 (accessed on 16 October 2022).
- Wu, K.X.; Kim, H.D. Numerical study on the shock vector control in a rectangular supersonic nozzle. J. Aerosp. Eng. 2019, 233, 4943–4965. [Google Scholar] [CrossRef]
- Shi, J.W.; Wang, Z.X.; Zhou, L.; Zhang, X.B. Numerical investigation on a new concept of shock vector control nozzle. J. Eng. Gas Turbines Power 2019, 141, 091004. [Google Scholar] [CrossRef]
- Miller, D.N.; Yagle, P.J.; Hamstra, J.W. Fluidic Throat skewing for thrust vectoring in fixed geometry nozzles. In Proceedings of the 37th aerospace sciences meeting and exhibit, Reno, NV, USA, 11–14 January 1999. AIAA Paper 99-0365. [Google Scholar] [CrossRef]
- Williams, R.G.; Vittal, B.R. Fluidic thrust vectoring and throat control exhaust nozzle. In Proceedings of the 38th AIAA/ASME/SAE/ASEE Joint Propulsion Conference & Exhibit, Indianapolis, Indiana, 7–10 July 2002. AIAA Paper 2002-4060. [Google Scholar] [CrossRef]
- Wang, Y.S.; Xu, J.L.; Huang, S.; Lin, Y.C.; Jiang, J.J. Computational study of axisymmetric divergent bypass dual throat nozzle. Aerosp. Sci. Technol. 2019, 86, 177–190. [Google Scholar] [CrossRef]
- Wang, Y.S.; Xu, J.L.; Huang, S.; Jiang, J.J.; Pan, R.F. Design and preliminary analysis of the variable axisymmetric divergent bypass dual throat nozzle. J. Fluids Eng. 2020, 142, 061204. [Google Scholar] [CrossRef]
- Huang, S.; Xu, J.L.; Yu, K.K.; Wang, Y.S.; Pan, R.F. Design and experimental study of a bypass dual throat nozzle with the ability of short/vertical takeoff and landing. Aerosp. Sci. Technol. 2022, 121, 107301. [Google Scholar] [CrossRef]
- Wu, K.X.; Kim, H.D.; Jin, Y. Fluidic thrust vector control based on counter-flow concept. Proc. Inst. Mech. Eng. Part G 2018, 223, 1412–1422. [Google Scholar] [CrossRef]
- Wu, K.X.; Kim, T.H.; Kim, H.D. Sensitivity analysis of counterflow thrust vector control with a three-dimensional rectangular nozzle. Proc. Inst. Mech. Eng. Part G 2021, 34, 04020107. [Google Scholar] [CrossRef]
- Mason, M.S.; Crowther, W.J. Fluidic thrust vectoring for low observable air vehicles. In Proceedings of the 2nd AIAA Flow Control Conference, Portland, OR, USA, 28 June–1 July 2004. AIAA Paper 2004-2210. [Google Scholar] [CrossRef]
- Wen, X.; Zhou, K.W.; Liu, P.C.; Zhu, H.J.; Wang, Q.; Liu, Y.Z. Schlieren visualization of coflow fluidic thrust vectoring using sweeping jets. AIAA J. 2022, 60, 435–444. [Google Scholar] [CrossRef]
- Shi, N.X.; Gu, Y.S.; Zhou, Y.H.; Wang, Y.; Li, Z. Experimental investigation on the transient process of jet deflection controlled by passive secondary flow. J. Visualization. 2022, 25, 967–981. [Google Scholar] [CrossRef]
- Gong, D.S.; Gu, Y.S.; Zhou, Y.H.; Shi, N.X. Control law of passive fluid thrust vector nozzle based on thermal jet of micro turbojet engine. Acta Aeronaut. Astronaut. Sin. 2020, 41, 106–117. (in Chinese). [Google Scholar] [CrossRef]
- Flamm, J.D. Experimental study of a nozzle using fluidic counterflow for thrust vectoring. In Proceedings of the 34th AIAA/ASME/SAE/ASEE Joint Propulsion Conference and Exhibit, Cleveland, OH, USA, 13–15 July 1998. AIAA Paper 98-3255. [Google Scholar] [CrossRef]
- Anzalotta, C.; Joshi, K.; Fernandez, E.; Bhattacharya, S. Effect of forcing the tip-gap of a NACA0065 airfoil using plasma actuators: A proof-of-concept study. Aerosp. Sci. Technol. 2020, 107, 106268. [Google Scholar] [CrossRef]
- Raman, G.; Packiarajan, S.; Papadopoulos, G.; Weissman, C.; Raghu, S. Jet thrust vectoring using a miniature fluidic oscillator. Aeronaut. J. 2005, 109, 129–138. [Google Scholar] [CrossRef]
- Bauer, M.; Friedrichs, J.; Wulff, D.; Werner-Spatz, C. Development and Validation of an On-Wing Engine Thrust Measurement System. American Society of Mechanical Engineers: New York, NY, USA, 2017; ASME GT2017-63277. [Google Scholar] [CrossRef]
- Johansen, E.S.; Rediniotis, O.K.; Jones, G. The compressible calibration of miniature multi-hole probes. J. Fluids Eng. 2001, 123, 128–138. [Google Scholar] [CrossRef]
- Burelle, L.A.; Yang, W.C.; Rival, D.E. From Sparse Pressure Measurements to Prediction of Instantaneous Loads: A Test Case on Delta Wings in Axial and Transverse Gusts; AIAA SciTech Forum: Orlando, FL, USA, 6–10 January; 2020; AIAA Paper 2020–2044. [Google Scholar] [CrossRef]
- Whitmore, S.A.; Cobleigh, B.R.; Haering, E.A. Design and calibration of the X-33 flush airdata sensing (FADS) system. In Proceedings of the 36th AIAA Aerospace Sciences Meeting and Exhibit, Reno, Nevada, USA, 1998, 12–15 January. AIAA Paper 98-0201. [Google Scholar] [CrossRef]
- Wang, Q.T.; Cheng, K.M.; Gu, Y.S.; Li, Z.Q. Continuous control of asymmetric forebody vortices in a bi-stable state. Phys. Fluids 2018, 30, 024102. [Google Scholar] [CrossRef]
- Zaitsev, E.G. Investigation of the propagation of a two-dimensional wall jet over a step. Fluid Dyn. 1991, 26, 526–530. [Google Scholar] [CrossRef]
- Smith, B.L.; Glezer, A. Jet vectoring using synthetic jets. J. Fluid Mech. 2002, 458, 1–34. [Google Scholar] [CrossRef]
- Gillgrist, R.D.; Forliti, D.J.; Strykowski, P.J. On the mechanisms affecting fluidic vectoring using suction. J. Fluids Eng. 2007, 129, 91–99. [Google Scholar] [CrossRef]
- Bourque, C.; Newman, B.G. Reattachment of a two-dimensional, incompressible jet to an adjacent flat plate. Aeronaut. Q. 1960, 11, 201–232. [Google Scholar] [CrossRef]
- Lai, J.C.S.; Lu, D. Effect of wall inclination on the mean flow and turbulence characteristics in a two-dimensional wall jet. Int. J. Heat Fluid Flow. 1996, 17, 377–385. [Google Scholar] [CrossRef]
- Driver, D.M.; Seegmiller, H.L. Features of a reattaching turbulent shear layer in divergent channel flow. AIAA J. 1985, 23, 163–171. [Google Scholar] [CrossRef]
- Shi, N.X.; Gu, Y.S.; Zhou, Y.H.; Wang, L.X.; Feng, C.; Li, L.K. Mechanism of hysteresis and uncontrolled deflection in jet vectoring control based on Coanda effect. Phys. Fluids 2022, 34, 084107. [Google Scholar] [CrossRef]
- Holland, J.H. Genetic algorithms and the optimal allocation of trials. SIAM J. Comput. 1973, 2, 88–105. [Google Scholar] [CrossRef]
- Lambora, A.; Gupta, K.; Chopra, K. Genetic algorithm—A literature review. In Proceedings of the 2019 International Conference on Machine Learning, Faridabad, India, 14–16 February 2019; pp. 380–384. [Google Scholar] [CrossRef]
- Hu, Y.; Sun, Z.S.; Cao, L.J.; Zhang, Y.; Pan, P.F. Optimization configuration of gas path sensors using a hybrid method based on tabu search artificial bee colony and improved genetic algorithm in turbofan engine. Aerosp. Sci. Technol. 2021, 112, 106642. [Google Scholar] [CrossRef]
- Gong, X.L.; Zheng, X.R.; Fang, J.C.; Liu, G. Optimized layout methods based on optimization algorithms for DPOS. Aerosp. Sci. Technol. 2019, 84, 484–496. [Google Scholar] [CrossRef]
- Cuadrado, D.G.; Marconnet, A.; Paniagua, G. Inverse conduction heat transfer and kriging interpolation applied to temperature sensor location in microchips. J. Electron. Packag. 2018, 140, 010905. [Google Scholar] [CrossRef]
- Norouzi, A.; Zaim, A.H. Genetic algorithm application in optimization of wireless sensor networks. Sci. World J. 2014, 2014, 286575. [Google Scholar] [CrossRef]
- Sun, Y.L.; Zhang, C.; Ji, H.L.; Qiu, J.H. A temperature field reconstruction method for spacecraft leading edge structure with optimized sensor array. J. Intell. Mater. Syst. Struct. 2021, 32, 2024–2038. [Google Scholar] [CrossRef]
- Srinivas, N.; Deb, K. Muiltiobjective optimization using nondominated sorting in genetic algorithms. Evol. Computation 1994, 2, 221–248. [Google Scholar] [CrossRef]
- Deb, K.; Pratap, A.; Agarwal, S.; Meyarivan, T. A fast and elitist multiobjective genetic algorithm: NSGA-II. IEEE Trans. Evol. Comput. 2002, 6, 182–197. [Google Scholar] [CrossRef]
- Cai, Y.; Rajaram, D.; Mavris, D.N. Simultaneous aircraft sizing and multi-objective optimization considering off-design mission performance during early design. Aerosp. Sci. Technol. 2022, 126, 107662. [Google Scholar] [CrossRef]
- Strykowski, P.J. An Experimental/Modeling Study of Jet Attachment during Counterflow Thrust Vectoring. NASA CR-204436. 1997. Available online: https://ntrs.nasa.gov/citations/19970018356 (accessed on 17 October 2022).
- Ghorbani, M.A.; Shamshirband, S.; Haghi, D.Z.; Azani, A.; Bonakdari, H.; Ebtehaj, I. Application of firefly algorithm-based support vector machines for prediction of field capacity and permanent wilting point. Soil Tillage Res. 2017, 172, 32–38. [Google Scholar] [CrossRef]
- Aumond, P.; Can, A.; Mallet, V.; Coensel, B.D.; Ribeiro, C.; Botteldooren, D.; Lavandier, C. Kriging-based spatial interpolation from measurements for sound level mapping in urban areas. J. Acoust. Soc. Am. 2018, 143, 2847–2857. [Google Scholar] [CrossRef] [PubMed]
- Belkhiri, L.; Tiri, A.; Mouni, L. Spatial distribution of the groundwater quality using kriging and Co-kriging interpolations. Groundw. Sustain. Dev. 2020, 11, 100473. [Google Scholar] [CrossRef]
- Matheron, G. Principles of geostatistics. Econ. Geol. 1963, 58, 1246–1266. [Google Scholar] [CrossRef]
- Krige, D.G. A statistical approach to some basic mine valuation problems on the Witwatersrand. J. South. Afr. Inst. Min. Metall. 1951, 52, 119–139. [Google Scholar]
- Trangmar, B.B.; Yost, R.S.; Uehara, G. Application of geostatistics to spatial studies of soil properties. Adv. Agron. 1986, 38, 45–94. [Google Scholar] [CrossRef]
- Cressie, N.A.C. Statistics for Spatial Data; John Wiley & Sons: New York, NY, USA, 1993. [Google Scholar]
- Zhang, Q.Y.; Wu, J.T. Image super-resolution using windowed ordinary Kriging interpolation. Opt. Commun. 2015, 336, 140–145. [Google Scholar] [CrossRef]
Disclaimer/Publisher’s Note: The statements, opinions and data contained in all publications are solely those of the individual author(s) and contributor(s) and not of MDPI and/or the editor(s). MDPI and/or the editor(s) disclaim responsibility for any injury to people or property resulting from any ideas, methods, instructions or products referred to in the content. |
© 2023 by the authors. Licensee MDPI, Basel, Switzerland. This article is an open access article distributed under the terms and conditions of the Creative Commons Attribution (CC BY) license (https://creativecommons.org/licenses/by/4.0/).





















