Abstract
The functionally graded (FG) flexoelectric material is a potential material to determine the structural morphing of aircrafts. This work proposes the penalty 20-node element based on the consistent couple stress theory for analyzing the FG flexoelectric plate and shell structures with complex geometric shapes and loading conditions. Several numerical examples are examined and prove that the new element can predict the size-dependent behaviors of FG flexoelectric plate and shell structures effectively, showing good convergence and robustness. Moreover, the numerical results reveal that FG flexoelectric material exhibits better bending performance and higher flexoelectric effect compared to homogeneous materials. Moreover, the increase in the material length scale parameter leads to a gradual increase in the natural frequencies of the out-of-plane modes of FG flexoelectric plate/shell, while the natural frequencies of the in-plane modes change minimally, resulting in the occurrence of mode-switching phenomena.
1. Introduction
The morphing system can help the aircraft adopt a more suitable configuration for different working conditions and thus has seen important application prospects in the field of aircraft engineering. The electromechanical coupling effect, including both the piezoelectric effect and flexoelectric effect, is an effective mechanism for realizing the structural morphing. The piezoelectric effect, which is the coupling between strain and electric field, has been successfully applied to the structural morphing of aircraft [1,2,3]. However, the piezoelectric effect only exists in materials of non-centrosymmetric crystallographic point groups. On the other hand, the flexoelectric effect, which is particularly described as the coupling mechanism between electric polarization and strain gradient or that between stress and electric field gradient [4], has attracted extensive attention from the academic community in recent years. Unlike the piezoelectric effect, the flexoelectric effect is available in all dielectric materials [5,6], which means that more types of materials can be used for structural morphing. Extensive research has indicated that the flexoelectric effect becomes more pronounced as the length scale of the structure decreases [7]. With the rapid process of manufacturing techniques, micro-electromechanical systems (MEMS) and nanoelectromechanical systems (NEMS) have been widely applied in engineering practice. Nowadays, it has become very clear that the flexoelectric effect has a significant and unavoidable impact on these structures.
It is well known that the mechanical behaviors of small-scale flexoelectric structures are size-dependent. The classical continuum theory, which does not consider material length scale parameters, cannot describe the inherent size effects of flexoelectricity. Therefore, it is essential to develop mathematical models of flexoelectricity based on higher-order continuum theories [8,9]. For instance, Shen and Hu [10] proposed a comprehensive framework for analyzing the flexoelectric effect in nanodielectric materials based on the strain gradient theory (SGT). Wang et al. [11] and Qu et al. [12] independently developed the electrical enthalpy and constitutive relationships for dielectrics based on classical couple stress theory (CST), considering different primary variables to describe the flexoelectric effect. From a certain perspective, the CST can be regarded as a special case of strain gradient theory, using rotational gradients instead of strain gradients to describe curvature. Compared with the strain gradient theory, the CST has advantages in more concise mathematical expression and more intuitive physical meaning. To reduce the number of material parameters describing size-dependent behavior for better practical application, Hadjesfandiari [13] developed a flexoelectric model based on the consistent couple stress theory (CCST). The CCST is reported to overcome the inconsistent deficiency which is primarily caused by the indeterminacy of the spherical part of the couple stress tensor in other versions of couple stress theories. In Hadjesfandiari’s flexoelectric model, polarization is considered the result of coupling with mean curvature, which is defined as the deviatoric part of the rotational gradient. For isotropic materials, in addition to the two Lamé constants, only one material length scale parameter and one flexoelectric parameter are required to characterize size-dependent electromechanical behavior. Due to its concise formulation, Hadjesfandiari’s flexoelectric model has been applied to various problems in recent years [14,15,16].
At present, most of the research on flexoelectricity has focused on homogeneous materials [17,18,19,20], and few studies have been conducted to investigate improvements through material distribution. As discussed above, the flexoelectric effect is the coupling effect between electric polarization and strain gradient. Therefore, to effectively obtain a larger strain gradient is of great significance for flexoelectric structures. However, for homogeneous materials, it is difficult to produce a large strain gradient when the structure size is large. When the structure size is relatively small, it is easier to generate strain gradients, but this limits the application scenarios of flexoelectric structures. On the contrary, heterogeneous materials can effectively enhance the strain gradient through artificially designing material distribution or material microstructure. Considering that the dielectric materials of irregular shapes are difficult to apply in engineering practice, functionally graded materials (FGMs) are a good choice to enhance the flexoelectric effect. FGMs are usually made from two or more different materials, in which the constituents can transition smoothly and continuously from one phase to another, following a specific gradient. This allows the effective properties of the material, including modulus, density, dielectric constant, and flexoelectric coefficients, to vary accordingly within a certain range [21,22,23,24]. Due to these characteristics, FGMs exhibit many advantages, such as enhanced thermal properties, higher fracture toughness, and greater electromechanical response, and can control elastic P-wave fields [25,26,27,28].
When solving the boundary value problems for flexoelectric models of FGMs, researchers must confront high-order partial differential governing equations that significantly increase the difficulty of solutions and limit the applicability of analytical methods. Consequently, only a few cases with regular geometry and simple boundary conditions can be solved analytically. For instance, Beni [29] established nonlinear formulations for FG flexoelectric beams based on the CCST and analyzed the static bending, buckling, and free vibration of the beams; Chu et al. [21] derived theoretical formulations for simply supported FG piezoelectric beams considering flexoelectric effects based on the modified strain gradient theory (MSGT); Chu et al. [30] also proposed models for FG flexoelectric cylinders and obtained closed-form solutions that specifically characterize size-dependent flexoelectric properties based on the extended linear theory of piezoelectricity.
Numerical methods are necessary to deal with FG flexoelectric structures with complex geometric shapes. As one of the most widely used numerical analysis tools, the finite element method (FEM) has successfully been employed to simulate the electromechanical coupling behavior of flexoelectric materials. Mao et al. [31] developed a mixed 9-node flexoelectric plane strain element based on strain gradient theory. They used electric potential, displacement, and displacement gradient as the degrees of freedom (DOFs) for all nodes, adding polarization and stress as additional DOFs at corner nodes. Deng et al. [32,33] established two-dimensional (2D) and three-dimensional (3D) mixed element models considering flexoelectric effects based on strain gradient theory, assigning different sets of DOFs to different nodes. Yvonnet and Liu [34] proposed a 2D element formulation for nonlinear soft dielectric materials under finite strain based on the Argyris C1 triangular element, which is recognized for its stiffer element performance. Darrall et al. [35] proposed 2D element formulations for plane responses of centrosymmetric and isotropic materials based on Hadjesfandiari’s flexoelectric model. Poya et al. [36] also developed element models for continua and beams based on the consistent couple stress model, where DOFs were defined for different nodes. From the literature review above, it is evident that the main difficulty in constructing the finite elements for flexoelectric materials is the interpolation difficulty caused by the C1 continuity requirement of higher-order continuum theories. To effectively meet these requirements for computational convergence, first-order or even second-order derivatives of displacement are typically used as nodal DOFs, and different DOF sets are usually defined for vertex nodes and mid-side nodes. In addition to the FEM, isogeometric analysis (IGA) [37,38,39,40] and meshless methods [41,42,43] have also been used for flexoelectric analysis. These methods have advantages in handling high-order continuity requirements but also face challenges such as difficult boundary condition settings and large support domains. Till now, FEM remains the most widely used numerical method in engineering analysis and scientific computation. Therefore, for flexoelectric models of FGMs, further development of finite elements with simple formulations, good performance, and easy integration into existing FEM programs is obviously necessary.
Recently, Shang et al. [44] have proposed a simple but robust penalty 20-node hexahedral element for homogeneous flexoelectric materials by following the framework of the improved unsymmetric finite element method [45,46,47]. In this element model, the independent nodal rotation DOFs are introduced to approximate the mechanical rotation, and the C1 requirement is satisfied in a weak sense using the penalty function method. Compared with other methods that can also enforce the C1 requirement in a weak sense, such as the Lagrangian multiplier method, the degree of freedom without physical meaning is avoided, and the positive definite of the stiffness matrix can be guaranteed in the element models based on the penalty function method. In addition, in this penalty element formulation, the normalized stress functions that are established in the local Cartesian coordinate system and can a priori satisfy the relevant equilibrium equation and strain compatibility equation are employed to formulate the stress trial function. Numerical tests have demonstrated that this element has quite good numerical accuracy and captures the size dependence effectively. Moreover, since the element has only three displacements, three rotations, and the electric potential DOFs per node, it can be readily incorporated into the existing finite element program.
In view of the above merits of this hexahedral element, this work aims to further extend it to FG flexoelectric materials and then investigate its effectiveness by analyzing the static bending and free vibration of complex plate and shell structures. The rest content of the paper is organized as follows. Section 2 briefly introduces the basic governing equations for FGMs based on CCST, followed by Section 3, where the element construction process is presented in detail. Section 4 summarizes the numerical experiments, and the conclusions are given in Section 5.
2. Basic Governing Equations
2.1. The Flexoelectricity Model Based on Consistent Couple Stress Theory
The flexoelectric model based on the CCST proposed by Hadjesfandiari [13] is employed as the theoretical basis in this work. In this model, the basic kinematic variables are displacement and mechanical rotation , while the basic electrical variable is the electric potential . Note that the mechanical rotation is essentially the skew-symmetric part of the displacement gradient:
in which is the permutation symbol. Then, the strain , the curvature and the electric field are respectively defined as
For linear isotropic materials, the constitutive relations are given by
in which is the symmetric part of the stress ; and are derived from the couple stress and curvature as follows:
is the electric displacement; and are Lame constants; is the material length scale parameter; and are permittivity and flexoelectricity parameter.
The equilibrium equations and Maxwell equation are given by
in which is the external body force loads and is the electric charge density of free charges. Meanwhile, the boundary conditions are described as
where is the outer normal direction of the boundary.
Based on the above definitions, the virtual work principle can be expressed by
in which , , and represent the virtual works produced by the inertia, internal and external loads, respectively:
where is the density and is the micro-inertia determined by the shape and size of the material particles. For simplicity, the parameter suggested by Nobili [48] is used here for calculating the micro-inertia:
2.2. Equivalent Material Properties of Functionally Graded Materials
The FGMs considered in this work are composed of two constituents that vary continuously along the thickness direction of plates/shells. The equivalent material properties , including Young’s modulus , Poisson’s ratio , density , permittivity , and flexoelectric parameter , in general, are calculated using the following formula:
where X1-direction denotes the thickness direction; and are the corresponding values of two constituent materials; and are the volume fractions and satisfy
As discussed above, the material constituents are assumed to vary continuously by the following:
in which the volume fraction is assumed to obey the power-law rule:
where p is the gradient coefficient; h is the characteristic length of FG structures in the thickness direction.
3. Element Formulation
As discussed above, the finite element implementation of the flexoelectricity model based on the couple stress theory requires the displacement interpolation function to satisfy the C1 continuity condition to ensure computation convergence, which poses significant challenges in element construction. To efficiently simulate the size-dependent behaviors of FG flexoelectric plates and shells, the 20-node hexahedral element, which was originally proposed in [44] for homogeneous materials, is modified in this work.
In the element formulation, the penalty function method is used to weakly satisfy the C1 requirement, and correspondingly, the virtual work principle is rewritten in Voight matrix form as
in which k is the penalty parameter and denotes the differences between the two rotation fields:
with
with
With regard to the 20-node element shown in Figure 1 that has three displacement DOFs, three rotation DOFs, and one electric potential DOF per node, the element nodal DOF vector is expressed as
where
Figure 1.
The 20-node and 140-DOF hexahedral element.
And the displacement , rotation , and electric potential field are assumed as
in which
where are the Cartesian coordinates of the node I; is the interpolation function of the commonly used 20-node isoparametric element:
Then, by substituting Equations (32)–(34) into the kinematical equations, the corresponding interpolations for strain, curvature, and electrical field can be determined as
Besides, in accordance with Equations (32) and (33), the matrix shown in Equation (24) can also be derived:
For brevity, the detailed expressions of the interpolations in Equations (39) and (40) are summarized in Appendix A.
The element’s stress trial function is formulated based on 42 groups of stress functions that can a priori satisfy the equilibrium equations and strain compatibility equations instead of being directly derived from the strain interpolation:
The detailed derivation process of the stress functions has been provided in Reference [44] in that two different normalization methods are introduced to circumvent the ill-conditioning of related matrices. Note that only the symmetric part of the stress is considered because the skew-symmetric part of the stress has no contribution to the deformation energy.
in which is the strain field derived from :
where
For the FGMs, the equivalent modulus and Poisson’s ratio are calculated using Equations (20)–(23). Specifically, they are given by
Then, the following relationship can be obtained:
in which
Note that the constitutive parameters in Equation (44) involve power-law functions of coordinates. The relatively high-order numerical integration is necessary to obtain satisfactory results. However, too high-order numerical integration affects computational efficiency. A detailed examination of this specific integration scheme will be discussed in a later installment. From Equation, Equation (41) can be rewritten as
Due to the coupling between mean curvature and polarization, it will make the derivation process quite complex to formulate a couple stress and electric displacement following the same strategy as for stress. Thus, they are directly determined using constitutive relations:
with
in which e and f are calculated by
and G is calculated by
Note that l is assumed to be a constant rather than an FG distribution.
By substituting the above definitions into Equation (24), the element stiffness matrix, element equivalent load vector, and consistent element mass matrix are respectively expressed as
As discussed above, the constitutive relations of FGMs involve power-law functions of coordinates, which leads to an excessively high order of the integrand. To achieve a balance between computational accuracy and computational efficiency, a 7 × 7 × 7 Gaussian quadrature scheme is utilized for computing the stiffness matrix in practical applications based on parameter analysis. Simultaneously, a 5 × 5 × 5 Gaussian quadrature scheme is used for the mass matrix. As is well known, for the penalty function method, the locking phenomenon may occur when the penalty stiffness is calculated using full integration schemes. To address this issue, we have adopted a 3 × 3 × 3 Gaussian quadrature scheme for the penalty stiffness term.
Finally, the assembled mass matrix , stiffness matrix , and load vector can be easily obtained, and the final equation system to be solved is established:
in which is the assembled nodal DOF vector.
For free vibration analysis, the equation for solving can be expressed as
where and denote the circular frequency and corresponding mode shape.
4. Numerical Tests
The proposed element is used to simulate the size-dependent static and vibration behaviors of the FG flexoelectric plates and shells. It should be noted that, to our best awareness, no works concerned with the FG flexoelectric microplate based on the couple stress theory have been reported in the open literature, which means that there are no standard benchmarks to verify the efficiency and robustness of the element. Therefore, we chose common plate-shell structures, which have been extensively studied in other micro-electromechanical systems, as examples for our study. In these tests, the FG flexoelectric materials are made of BaTiO3 and PVDF, whose material parameters [35,49,50] are summarized in Table 1. Besides, the penalty parameter is set as , in which is calculated by Equation (56).
Table 1.
Material constants for flexoelectric materials.
4.1. Static Analysis
4.1.1. The Square Functionally Graded Microplate without Flexoelectricity
To our awareness, no works concerned with the FG flexoelectric microplate based on the couple stress theory have been reported in the open literature. Thus, the square FG microplate proposed by Wu [51] is considered first to validate the effectiveness of the new element in dealing with FG materials. As shown in Figure 2, the square plate is simply supported at all its edges and subjected to a sinusoidal distributed load with MPa. The geometric parameters are given by h = 0.0176 mm, L = 20h. The material is made of alumina (Al2O3) and aluminum (Al):
and the material distributions follow the power-law function as described in Section 2.2. The dimensionless central deflection is examined and compared with the solutions provided in [48]
in which refers to Young’s modulus of material 1 following the power-law distribution in Equation (23). This section refers to Young’s modulus of alumina.
Figure 2.
The simply supported square FG microplate (Point A is the center point of the lower surface of the microplate; Point B is the center point of the upper surface of the microplate; Point C is the center point of the microplate).
The finite element analyses are performed by modeling the microplate using N×M×M elements, where N is the element number of the thickness direction and M is the element number along the in-plane direction. The convergence results for the central deflection of FG microplates obtained using the new element are summarized in Table 2. As can be seen from Table 2, the numerical results of the new element converge to the reference solutions very quickly. In particular, good results can be obtained even with a large gradient coefficient p. Besides, the plate is analyzed again by using the element proposed in [44], where the domain is discretized into several layers, each of which has constant properties, but overall they mimic the prescribed power-law functions, and the numerical results are provided in Table 3. Comparing the convergence results in Table 2 and Table 3, it can be seen that the numerical results for microplates with continuously distributed material properties along the thickness are better than those for discretized ones. This clearly indicates that the new element performs well and has high numerical accuracy in analyzing size-dependent FG structures.
Table 2.
The dimensionless central deflection of the square FG microplate.
Table 3.
The dimensionless central deflection of the square N-layer FG microplate.
4.1.2. Functionally Graded Flexoelectric Microplate
In this test, we investigate the static bending behavior of the simply supported FG flexoelectric microplate subjected to mechanical load and electric voltage. As shown in Figure 2, the microplate is made of BaTiO3 and PVDF, with material parameters listed in Table 1. The geometric dimensions of the microplate are h = 0.0176 mm and L = 20h. The force load and electric potential under two boundary conditions can be expressed as follows:
In case 1:
where Mpa;
In case 2:
where .
Following Wu’s method [52], we define a set of dimensionless variables for the deflection and voltage of the microplate for cases 1 and 2, respectively.
In case 1:
where , f* = 1 × 10−6 C/m;
In case 2:
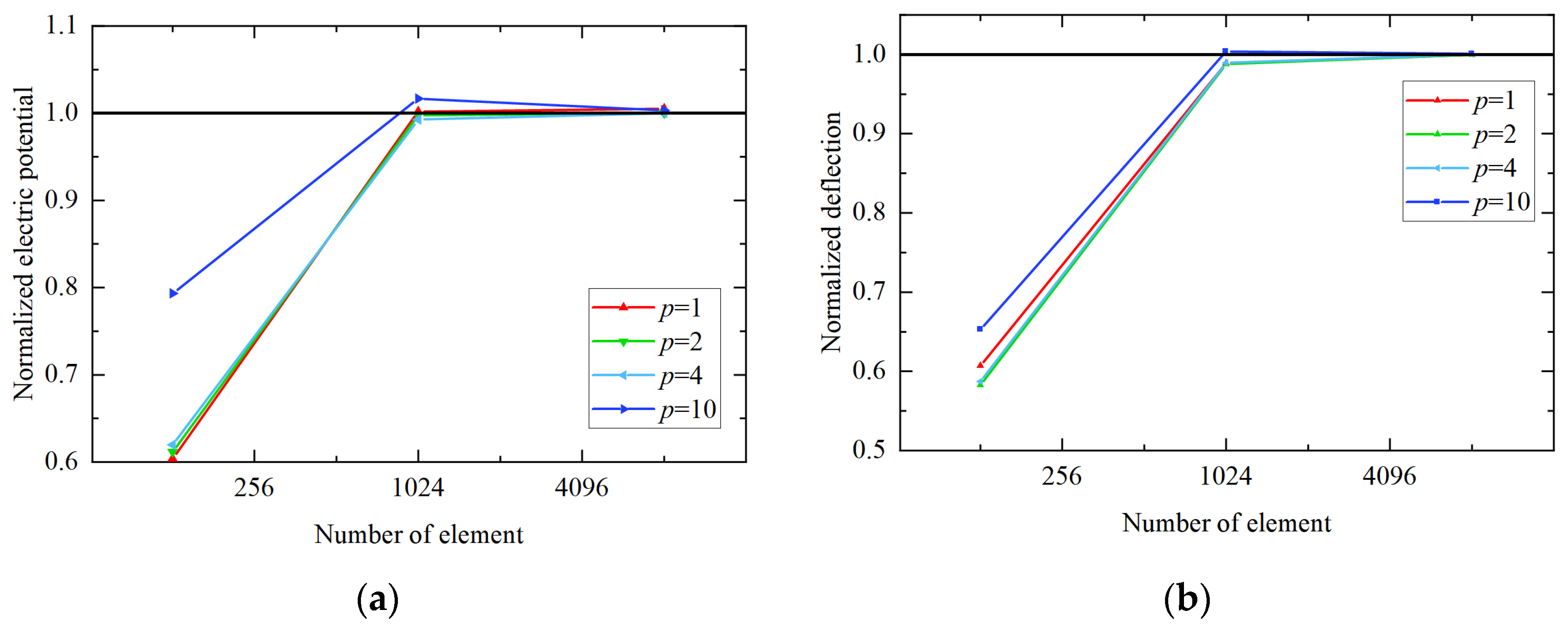
The convergence analysis is operated by progressively dividing the microplate into 2 × 8 × 8, 4 × 16 × 16, 8 × 32 × 32 elements. Figure 3 illustrates the convergence results of the central deflection and the electric potential at the central point B on the top surface of the BaTiO3/PVDF microplate for different gradient coefficients in Case 1. Furthermore, the convergence results of the central deflection and the electric potential at the central point C of the BaTiO3/PVDF microplate for different gradient coefficients in Case 2 are presented in Figure 4. In these two figures, the results have been normalized by the solutions obtained using the refined mesh consisting of 16,384 elements. Clearly, the convergence rate of the FE results is remarkably rapid, and the mesh of 4 × 16 × 16 elements is sufficient to obtain highly accurate solutions.
Figure 3.
The converge results of the BaTiO3/PVDF microplate for different gradient coefficients with l/h = 0.2 in Case 1: (a) The central deflection; (b) The electric potential .
Figure 4.
The converge results of the BaTiO3/PVDF microplate for different gradient coefficients with l/h = 0.2 in Case 2: (a) The central deflection; (b) The electric potential .
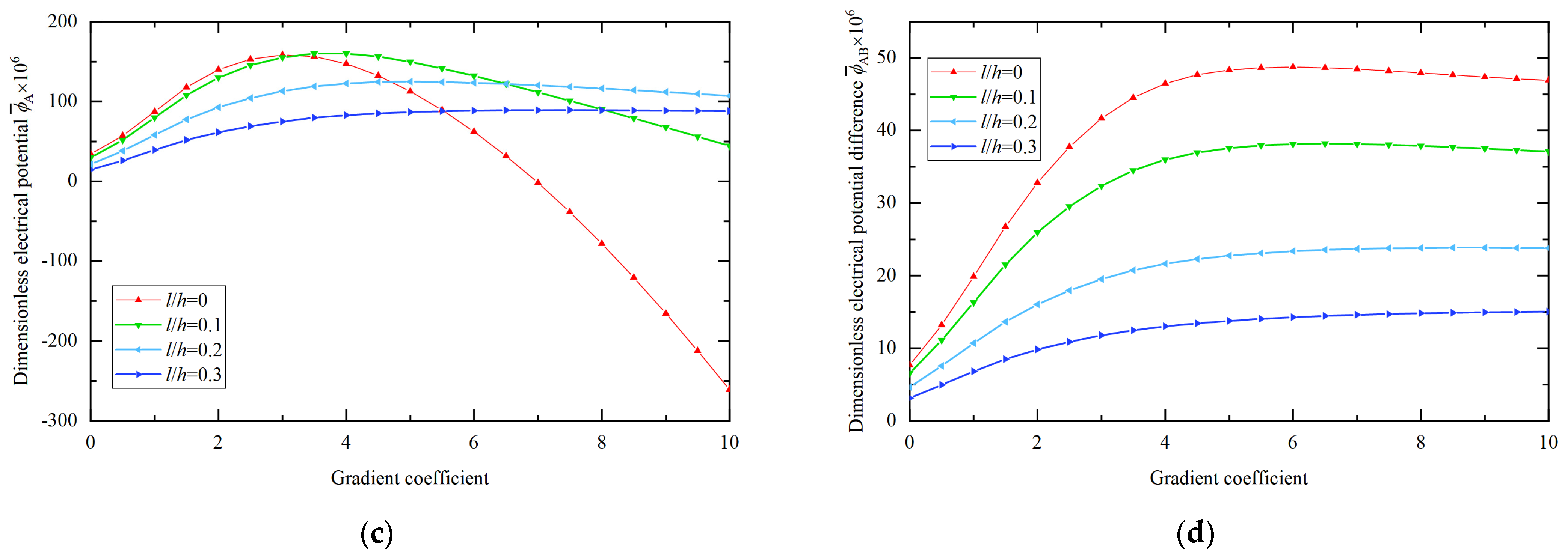
Then, a 4 × 16 × 16 mesh division was used to study the effects of the material length scale parameter and the gradient coefficient on the central deflection and the electric potential of the microplate in Case 1. From the results shown in Figure 5, it can be seen that as the gradient coefficient p increases, the downward deflection of the microplate also increases. This is because an increase in the gradient coefficient results in a higher proportion of PVDF in the structure, reducing the stiffness of the microplate, making the plate more flexible, and thus increasing its deflection. Figure 6 illustrates the impact of the gradient coefficient p on the electric potential difference between the center points of the upper and lower surfaces of the microplate. Combining the insights from Figure 5 and Figure 6, it is evident that when the gradient coefficient p is less than 5, the downward deflection of the microplate increases continuously with the gradient coefficient, resulting in an increased deformation gradient and a corresponding rise in the potential difference . However, when the gradient coefficient p exceeds 5, the downward deflection of the microplate continues to increase, but the growth in the potential difference slows down. Furthermore, it can be observed from the figures that as the material length scale parameter increases, the downward deflection of the microplate decreases, leading to a reduction in the potential difference . Figure 7 shows the variation in the central deflection of the microplate for different gradient coefficients when l/h = 0, 0.1, 0.2, and 0.3 in Case 2. It can be seen that the downward deflection of the microplate decreases with the increase in the gradient coefficient. As mentioned above, an increase in the gradient coefficient leads to a lower volume fraction of BaTiO3 and a higher volume fraction of PVDF, which decreases the overall flexoelectric parameter and stiffness of the microplate. Furthermore, the reduction in the overall flexoelectric parameter has a greater impact on the deflection than the reduction in the overall stiffness. Thus, the downward deflection of the microplate decreases when the potential remains unchanged.
Figure 5.
The effect of the gradient coefficient on the central deflections of BaTiO3/PVDF microplate for different material length scale parameters in Case 1.
Figure 6.
The effect of the gradient coefficient on the electric potential difference of BaTiO3/PVDF microplate for different material length scale parameters in Case 1.
Figure 7.
The effect of the gradient coefficient on the central deflections of BaTiO3/PVDF microplate for different material length scale parameters in Case 2.
4.1.3. Functionally Graded Flexoelectric Cylindrical Micro-Shell
The static deformation of simply supported BaTiO3/PVDF cylindrical micro-shell, as shown in Figure 8, is investigated with the axial L = mm, the thickness h = 0.1L, the angle , and the radius R = 12 mm. The micro-shell is subjected to a sinusoidal distributed load with MPa. The electric potential on the side of the micro-shell is set to zero. The deflection and electric potential are nondimensionalized using Equations (68) and (69). Firstly, the micro-shell is modeled by using N × M × M (2 × 8 × 8, 4 × 16 × 16, 8 × 32 × 32) elements, in which N represents the element number in the out-plane radial direction (X1), and M represents the element number along the in-plane circumferential and axial direction (X2, X3). The convergence results of the central deflection for different gradient coefficients with l/h = 0.2 are provided in Figure 9a. Besides, the convergence results of the electric potential at the center point on the outer side of the micro-shell are shown in Figure 9b. In these two figures, the results have been normalized by the solutions obtained using 16,384 elements. It is evident that the convergence rate of the central deflection and electric potential is very fast, and the mesh 4 × 16 × 16 is sufficient to provide satisfactory results for parameter analysis.
Figure 8.
Geometry and coordinate system of cylindrical micro-shell (Point A is the center point of the inner surface of cylindrical micro-shell; Point B is the center point of the outer surface of cylindrical micro-shell).
Figure 9.
The converge results of the BaTiO3/PVDF cylindrical micro-shell for different gradient coefficients with l/h = 0.2. (a) The central deflection; (b) The electric potential .
As shown in Figure 10, using the mesh 4 × 16 × 16, the variations in the central deflection, the electric potential at the inner surface central point , the electric potential at outer surface central point , and the electric potential difference between the inner and outer surface central points of the micro-shell with different gradient coefficients are studied when l/h = 0, 0.1, 0.2, 0.3. Figure 10a shows that the downward deflection of the micro-shell increases with the gradient coefficient. As mentioned in Section 4.1.2, the overall stiffness of the micro-shell decreases with the increase in the gradient coefficient, which leads to an increase in the downward deflection of the micro-shell. Figure 10b shows that the negative electric potential at the center point of the outer surface of the micro-shell increases with the increase in the gradient coefficient and decreases with the increase in the material length scale parameter. As illustrated in Figure 10c, the variation of the electric potential differs from the electric potential . When l/h = 0, the electric potential reaches its maximum value at a gradient coefficient p = 3 and then continues to decrease as the gradient coefficient increases. When l/h = 0.1, the electric potential reaches its maximum value at a gradient coefficient of p = 4. When l/h = 0.2, the electric potential reaches its maximum value at p = 5. When l/h = 0.3, the electric potential reaches its maximum value at p = 7.5. This indicates that as the material length scale parameter increases, the gradient coefficient p required to reach the maximum potential also increases. As shown in Figure 10d, when l/h = 0 and l/h = 0.1, the potential difference reaches its maximum value at a gradient coefficient of p = 6 and then slightly decreases as the gradient coefficient p increases. When l/h = 0.2 and l/h = 0.3, the potential difference remains almost constant after the gradient coefficient exceeds 6. Note that when the gradient index is equal to zero or equal to infinity, it can be considered a homogeneous material. The results clearly show that the FG flexoelectric materials can exhibit better bending performance and higher flexoelectric effect than homogeneous materials

Figure 10.
The effect of the gradient coefficient on the deflections and electric potential of BaTiO3/PVDF microplate for different material length scale parameters. (a) The central deflection Description; (b) The electric potential ; (c) The electric potential ; (d) The electric potential difference .
4.2. Free Vibration Analysis
4.2.1. The Square Functionally Graded Microplate without Flexoelectricity
Because no 3D solutions for the analysis of the free vibration of a simply supported FG flexoelectric microplate are available in the literature, 3D solutions for the analysis of FG elastic microplate [16] based on CCST are used as a benchmark for validating the accuracy and the convergence rate of our new element. Accordingly, the permittivity e and flexoelectric parameter f are assigned the value of zero. The microplate model is the same as in Figure 2, where the geometrical parameters of the plate are h = 0.0176 mm and L = 10h. The material parameters of two constituent materials are given as [53]
For the purposes of comparison, the dimensionless frequency defined by Thai and Choi [53] is used in this work:
The convergence analysis for the fundamental frequency of simply supported FG microplate for different gradient coefficients and material length scale parameters is presented in Table 4, which clearly shows that the fundamental frequency of the microplate converges rapidly to the reference solution. This indicates that the new element has good performance and high accuracy in the free vibration analysis of FGMs.
Table 4.
The dimensionless fundamental frequency of the square FG microplate.
4.2.2. Functionally Graded Flexoelectric Microplate
In this test, the free vibration analysis of the simply supported BaTiO3/PVDF microplate shown in Figure 2 is performed. The geometric parameters and meshing strategy of the microplate are the same as in Section 4.1.2, and the electric potential at the bottom surface of the microplate is set to zero. The dimensionless natural frequencies, as shown in Equation (74) are evaluated. When l/h = 0.2, the convergence results of the normalized fundamental frequency under different gradient coefficients are shown in Figure 11. It can be observed that as the mesh is refined, the fundamental frequency of the simply supported microplate converges rapidly, and satisfactory results are achieved with a mesh division of 4 × 16 × 16. Thus, the mesh division scheme of 4 × 16 × 16 was used to investigate the effect of the gradient coefficient p on the first four dimensionless natural frequencies of the BaTiO3/PVDF microplate, as shown in Figure 12. It can be seen from the figure that as the gradient coefficient p increases, the natural frequency of the BaTiO3/PVDF microplate gradually decreases. This is because as the gradient coefficient p increases, the proportion of PVDF in the structure becomes higher, and the microplate’s natural frequency approaches the natural frequency of a PVDF plate.
Figure 11.
The converge results of the normalized fundamental frequency with p = 0, 1, 10 when l/h = 0.2.
Figure 12.
Effects of the gradient coefficient on the first four natural frequencies of the BaTiO3/PVDF cylindrical micro-shell with l/h = 0.2.
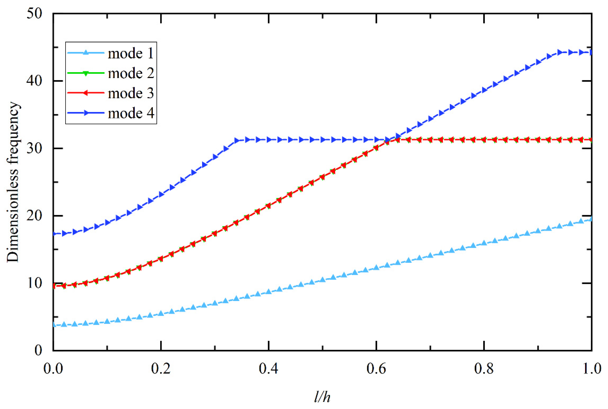
Nest, the impact of the material length scale parameter l on the first four dimensionless natural frequencies of the microplate with p = 2 is displayed in Figure 13. As the material length scale parameter l increases, some frequencies continuously increase, while others stabilize after reaching a certain value, leading to the appearance of crossover points in the frequency curves. To further investigate this phenomenon, the first four mode shapes of the microplate for different material length scale parameters are presented in Figure 14 and Figure 15. As shown in Figure 14, when l/h = 0.4, the first, second, and third mode shapes are out-of-plane vibrations, while the fourth mode shape is in-plane vibration. However, in Figure 14, when l/h = 1, the first mode shape is an out-of-plane vibration, while the second, third, and fourth mode shapes are in-plane vibrations. It is important to note that, as shown in Figure 12, when the frequency curve is flat, the mode shape is an in-plane vibration, and when the frequency curve rises sharply, the mode shape is an out-of-plane vibration. This is because as the material length scale parameter increases, the bending behavior gradually becomes locked, making it increasingly difficult to excite out-of-plane vibrations. In contrast, in-plane vibrations are less affected by this effect, leading to the phenomenon of mode shape switching.
Figure 13.
Effects of the material length scale parameter on the first four natural frequencies of the BaTiO3/PVDF microplate with p = 2.
Figure 14.
First four mode shapes of the BaTiO3/PVDF microplate with l/h = 0.4.
Figure 15.
First four mode shapes of the BaTiO3/PVDF microplate with l/h = 1.
4.2.3. Functionally Graded Flexoelectric Cylindrical Micro-Shell
In this section, the free vibration analysis of the simply supported BaTiO3/PVDF cylindrical micro-shell, shown in Figure 8, is performed. The geometric parameters and meshes of the micro-shell are the same as in Section 4.1.3, and the electric potentials on the four sides of the micro-shell are set to zero. The natural frequencies are nondimensionalized using Equation (74). Figure 16 illustrates the convergence results for the fundamental frequency of the BaTiO3/PVDF micro-shell with different gradient coefficients when l/h = 0.2, in which the results have been normalized by the ones obtained using a refined mesh of 16,384 elements. It can be seen that the natural frequencies of the micro-shell converge rapidly, and satisfactory results can be obtained with the mesh 4 × 16 × 16.
Figure 16.
The converge results of the normalized fundamental frequency of the BaTiO3/PVDF cylindrical micro-shell with p = 0, 1, 10 when l/h = 0.2.
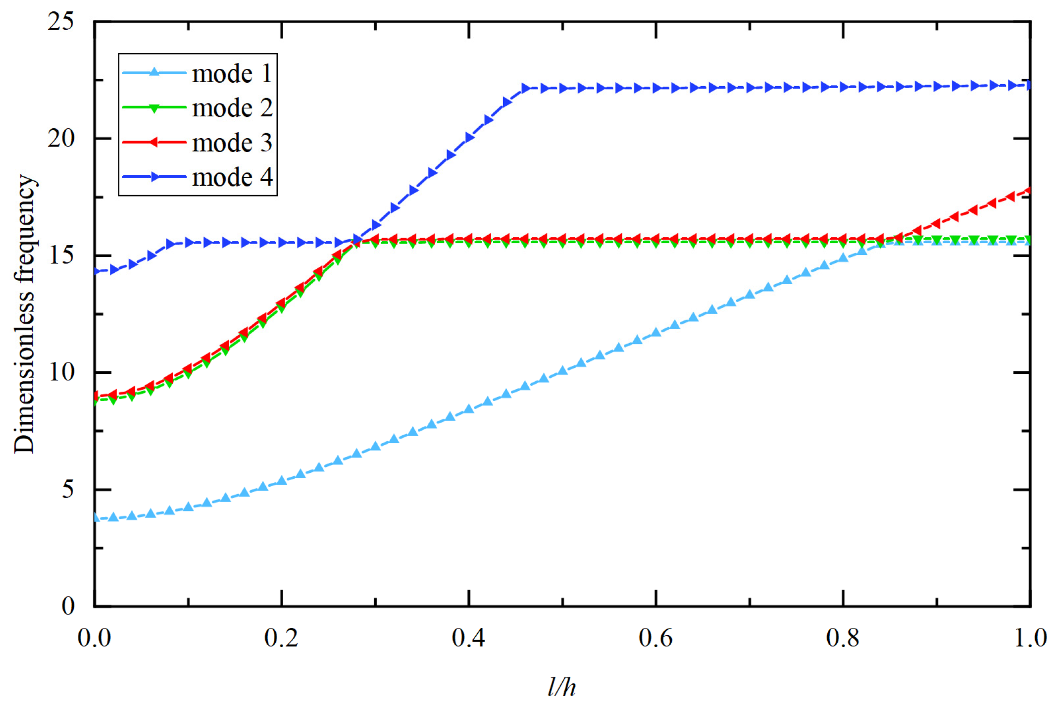
Subsequently, the mesh 4 × 16 × 16 is employed to investigate the influence of the gradient coefficient p on the natural frequencies of the micro-shell. The results, depicted in Figure 17, demonstrate that, in a manner analogous to the microplate model, the natural frequencies of the micro-shell exhibit a decline as the gradient coefficient increases. To explore the effect of the material length scale parameter on the natural frequencies of the micro-shell, the first four natural frequencies of the micro-shell were calculated for different material length scale parameters at p = 2. The results are presented in Figure 18. It can be seen that the frequency curves exhibit crossover points, indicating a switch in the mode shapes. To further investigate this phenomenon, Figure 19, Figure 20 and Figure 21 show the first four mode shapes of the micro-shell for different material length scale parameters. As shown in Figure 19, when l/h = 0.2, the first, second, and third mode shapes belong to out-of-plane vibration, while the fourth mode shape belongs to an in-plane vibration. In Figure 20, when l/h = 0.6, the first mode shape belongs to out-of-plane vibration, while the second, third, and fourth mode shapes belong to in-plane vibration. However, in Figure 21, when l/h = 1, the third mode shape belongs to out-of-plane vibration, while the first, second, and fourth mode shapes belong to in-plane vibration. It can be seen that as the material length scale parameter increases, the fourth mode shape in Figure 19 transitions to the second mode shape in Figure 20 and then to the first mode shape in Figure 21. Meanwhile, the first mode shape in Figure 19 and Figure 20 transitions to the third mode shape in Figure 21. The aforementioned mode shape transitions further illustrate that increasing the material length scale parameter makes it more difficult to excite out-of-plane vibrations in the micro-shell, while in-plane vibrations are less affected. This is the reason for the mode shape transitions.
Figure 17.
Effects of the gradient coefficient on the first four natural frequencies of the BaTiO3/PVDF cylindrical micro-shell with p = 2.
Figure 18.
Effects of the material length scale parameter on the first four natural frequencies of the BaTiO3/PVDF cylindrical micro-shell with p = 2.
Figure 19.
First four mode shapes of the BaTiO3/PVDF cylindrical micro-shell with l/h = 0.2.
Figure 20.
First four mode shapes of the BaTiO3/PVDF cylindrical micro-shell with l/h = 0.6.
Figure 21.
First four mode shapes of the BaTiO3/PVDF cylindrical micro-shell with l/h = 1.
5. Conclusions
Flexoelectricity is one kind of electromechanical coupling effect that can realize the structural morphing to make the aircraft adopt a more suitable configuration for different working conditions. Compared to naturally existing homogeneous flexoelectric materials, the FG flexoelectric materials are easier to exhibit a more significant electromechanical coupling effect by carefully designing the material distributions. In this work, a newly proposed penalty 20-node flexoelectric element based on the CCST in [44] is further extended to the FG flexoelectric cases, in which the material structure of exponential gradient distribution is considered and more higher-order Gauss integral scheme is employed. First, by setting the permittivity and flexoelectric parameter to zero, the flexoelectric effect was ignored to analyze the bending and free vibration of FG elastic plates for validating the element’s effectiveness in dealing with FG materials. The results were compared with the available reference solutions to verify the high accuracy and good performance of the element. Next, the flexoelectric effect of the FG flexoelectric materials are analyzed providing foundational insights for the design of FG flexoelectric structures. The following conclusions can be drawn from the parametric study:
- In the static analysis of the BaTiO3/PVDF microplate subjected to mechanical loads, an increase in the gradient coefficient results in an increase in the central deflection of the microplate and the electric potential difference between the upper and lower center points. This is due to the fact that the increase in the gradient coefficient leads to a lower volume fraction of BaTiO3 and a higher volume fraction of PVDF, which decreases the overall stiffness of the microplate. When the magnitude of the applied loads remains constant, the central deflection of the microplate increases.
- In the static analysis of the BaTiO3/PVDF microplate subjected to electrical loads, an increase in the gradient coefficient leads to a decrease in the central deflection of the microplate. The increase in the gradient coefficient results in a lower volume fraction of BaTiO3 and a higher volume fraction of PVDF, which decreases the overall flexoelectric parameter and stiffness of the microplate. Furthermore, the reduction in the overall flexoelectric parameter has a greater impact on the deflection than the reduction in the overall stiffness. When the magnitude of the applied voltages remains constant, the central deflection of the microplate decreases.
- In the free vibration analysis of BaTiO3/PVDF plates and shells, the natural frequency gradually decreases as the gradient coefficient increases. In addition, as the material length scale parameter increases, the bending stiffness increases, resulting in a gradual increase in the natural frequency of the out-of-plane modes. The in-plane modes are much less affected, resulting in mode switching.
Finally, it should be pointed out that the plate/shell structures of relatively larger ratios of span to thickness generally have better electromechanical coupling effects. However, numerical locking problems are more likely to be encountered when solid elements are used to simulate such structures. Therefore, it is necessary to further develop solid shell elements on the basis of solid elements. In addition, the plate/shell structures of relatively larger ratios of span to thickness are more likely to experience geometric nonlinear behavior. Thus, the geometric nonlinear finite element formulation should also be investigated in future works.
Author Contributions
Conceptualization, Z.D. and Y.S.; methodology, Z.D. and Y.S.; software, Z.D.; validation, Z.D. and Y.S.; formal analysis, Z.D.; investigation, Z.D.; resources, Y.S.; data curation, Y.S.; writing—original draft preparation, Z.D.; writing—review and editing, Y.S.; visualization, Y.S.; supervision, Y.S.; project administration, Z.D.; funding acquisition, Y.S. All authors have read and agreed to the published version of the manuscript.
Funding
This research was funded by Fundamental Research Funds for Central Universities (ns2022006) and the National Natural Science Foundation of China (12072154).
Data Availability Statement
The data that support the findings of this study are available from the corresponding author upon reasonable request.
Acknowledgments
We acknowledge the technical support from State Key Laboratory of Mechanics and Control for Aerospace Structures.
Conflicts of Interest
The authors declare no conflicts of interest.
Appendix A
The matrix is calculated by
with
in which
The matrices is given by
in which
The matrices consists of
in which
The matrix is given by
with
in which
References
- Chen, X.; Liu, J.; Li, Q. The smart morphing winglet driven by the piezoelectric Macro Fiber Composite actuator. Aeronaut. J. 2022, 126, 830–847. [Google Scholar] [CrossRef]
- Kochersberger, K.B.; Ohanian, O.J.; Probst, T.; Gelhausen, P.A. Design and flight test of the generic micro-aerial vehicle (GenMAV) utilizing piezoelectric conformal flight control actuation. J. Intell. Mater. Syst. Struct. 2017, 28, 2793–2809. [Google Scholar] [CrossRef]
- Rouaix, C.; Jiménez-Navarro, C.; Carvalho, M.; Raibaudo, C.; Abou-Khalil, J.; Marouf, A.; Hoarau, Y.; Harran, G.; Hunt, J.C.R.; Hangan, H.; et al. Electroactive morphing effects on the aerodynamic performance through wobulation around an A320 wing with vibrating trailing edge at high Reynolds number. J. Fluids Struct. 2023, 123, 27. [Google Scholar] [CrossRef]
- Resta, R. Towards a Bulk Theory of Flexoelectricity. Phys. Rev. Lett. 2010, 105, 4. [Google Scholar] [CrossRef] [PubMed]
- Krichen, S.; Sharma, P. Flexoelectricity: A Perspective on an Unusual Electromechanical Coupling. J. Appl. Mech.-Trans. ASME 2016, 83, 5. [Google Scholar] [CrossRef]
- Sharma, N.D.; Landis, C.M.; Sharma, P. Piezoelectric thin-film superlattices without using piezoelectric materials. J. Appl. Phys. 2010, 108, 9. [Google Scholar] [CrossRef]
- Sharma, N.D.; Maranganti, R.; Sharma, P. On the possibility of piezoelectric nanocomposites without using piezoelectric materials. J. Mech. Phys. Solids 2007, 55, 2328–2350. [Google Scholar] [CrossRef]
- Mao, S.; Purohit, P.K. Insights Into Flexoelectric Solids From Strain-Gradient Elasticity. J. Appl. Mech.-Trans. ASME 2014, 81, 10. [Google Scholar] [CrossRef]
- Mao, S.; Purohit, P.K. Defects in flexoelectric solids. J. Mech. Phys. Solids 2015, 84, 95–115. [Google Scholar] [CrossRef]
- Shen, S.P.; Hu, S.L. A theory of flexoelectricity with surface effect for elastic dielectrics. J. Mech. Phys. Solids 2010, 58, 665–677. [Google Scholar] [CrossRef]
- Wang, G.F.; Yu, S.W.; Feng, X.Q. A piezoelectric constitutive theory with rotation gradient effects. Eur. J. Mech. A-Solids 2004, 23, 455–466. [Google Scholar] [CrossRef]
- Qu, Y.L.; Zhang, G.Y.; Fan, Y.M.; Jin, F. A non-classical theory of elastic dielectrics incorporating couple stress and quadrupole effects: Part I—Reconsideration of curvature-based flexoelectricity theory. Math. Mech. Solids 2021, 26, 1647–1659. [Google Scholar] [CrossRef]
- Hadjesfandiari, A.R. Size-dependent piezoelectricity. Int. J. Solids Struct. 2013, 50, 2781–2791. [Google Scholar] [CrossRef]
- Abbaspour, F.; Arvin, H. Vibration and thermal buckling analyses of three-layered centrosymmetric piezoelectric microplates based on the modified consistent couple stress theory. J. Vib. Control 2020, 26, 1253–1265. [Google Scholar] [CrossRef]
- Dehkordi, S.F.; Beni, Y.T. Electro-mechanical free vibration of single-walled piezoelectric/flexoelectric nano cones using consistent couple stress theory. Int. J. Mech. Sci. 2017, 128, 125–139. [Google Scholar] [CrossRef]
- Wu, C.P.; Lu, Y.A. A Hermite-Family C1 Finite Layer Method for the Three-Dimensional Free Vibration Analysis of Exponentially Graded Piezoelectric Microplates Based on the Consistent Couple Stress Theory. Int. J. Struct. Stab. Dyn. 2023, 23, 41. [Google Scholar] [CrossRef]
- Nguyen, B.H.; Nanthakumar, S.S.; Zhuang, X.; Wriggers, P.; Jiang, X.; Rabczuk, T. Dynamic flexoelectric effect on piezoelectric nanostructures. Eur. J. Mech. A-Solids 2018, 71, 404–409. [Google Scholar] [CrossRef]
- Yan, Z.; Jiang, L.Y. Size-dependent bending and vibration behaviour of piezoelectric nanobeams due to flexoelectricity. J. Phys. D-Appl. Phys. 2013, 46, 7. [Google Scholar] [CrossRef]
- Yue, Y.M.; Xue, K.Y.; Chen, T. A micro scale Timoshenko beam model for piezoelectricity with flexoelectricity and surface effects. Compos. Struct. 2016, 136, 278–286. [Google Scholar] [CrossRef]
- Zhang, R.Z.; Liang, X.; Shen, S.P. A Timoshenko dielectric beam model with flexoelectric effect. Meccanica 2016, 51, 1181–1188. [Google Scholar] [CrossRef]
- Chu, L.L.; Dui, G.S.; Ju, C.J. Flexoelectric effect on the bending and vibration responses of functionally graded piezoelectric nanobeams based on general modified strain gradient theory. Compos. Struct. 2018, 186, 39–49. [Google Scholar] [CrossRef]
- Mehralian, F.; Beni, Y.T. Size-dependent torsional buckling analysis of functionally graded cylindrical shell. Compos. Part B-Eng. 2016, 94, 11–25. [Google Scholar] [CrossRef]
- Sadeghi, H.; Baghani, M.; Naghdabadi, R. Strain gradient elasticity solution for functionally graded micro-cylinders. Int. J. Eng. Sci. 2012, 50, 22–30. [Google Scholar] [CrossRef][Green Version]
- Xin, L.B.; Dui, G.S.; Yang, S.Y.; Zhang, J.M. An elasticity solution for functionally graded thick-walled tube subjected to internal pressure. Int. J. Mech. Sci. 2014, 89, 344–349. [Google Scholar] [CrossRef]
- Shariyat, M. Nonlinear transient stress and wave propagation analyses of the FGM thick cylinders, employing a unified generalized thermoelasticity theory. Int. J. Mech. Sci. 2012, 65, 24–37. [Google Scholar] [CrossRef]
- Zheng, Y.C.; Chu, L.L.; Dui, G.S.; Zhu, X. Modeling and simulation of functionally graded flexoelectric micro-cylinders based on the mixed finite element method. Appl. Phys. A-Mater. Sci. Process. 2021, 127, 16. [Google Scholar] [CrossRef]
- Abdalla, H.M.A.; Casagrande, D.; De Bona, F. Analysis of Stress Concentration in Functionally Graded Plates with Linearly Increasing Young’s Modulus. Materials 2023, 16, 6882. [Google Scholar] [CrossRef] [PubMed]
- Krpensky, A.; Hruska, V.; Bednarik, M. Elastic P-wave manipulation utilizing functionally graded parallel plate gradient refractive index structures. Wave Motion 2023, 122, 13. [Google Scholar] [CrossRef]
- Beni, Y.T. Size-dependent electromechanical bending, buckling, and free vibration analysis of functionally graded piezoelectric nanobeams. J. Intell. Mater. Syst. Struct. 2016, 27, 2199–2215. [Google Scholar] [CrossRef]
- Chu, L.L.; Li, Y.B.; Dui, G.S. Size-dependent electromechanical coupling in functionally graded flexoelectric nanocylinders. Acta Mech. 2019, 230, 3071–3086. [Google Scholar] [CrossRef]
- Mao, S.; Purohit, P.K.; Aravas, N. Mixed finite-element formulations in piezoelectricity and flexoelectricity. Proc. R. Soc. A-Math. Phys. Eng. Sci. 2016, 472, 19. [Google Scholar] [CrossRef] [PubMed]
- Deng, F.; Deng, Q.; Yu, W.S.; Shen, S.P. Mixed Finite Elements for Flexoelectric Solids. J. Appl. Mech.-Trans. ASME 2017, 84, 12. [Google Scholar] [CrossRef]
- Deng, F.; Deng, Q.; Shen, S.P. A Three-Dimensional Mixed Finite Element for Flexoelectricity. J. Appl. Mech.-Trans. ASME 2018, 85, 10. [Google Scholar] [CrossRef]
- Yvonnet, J.; Liu, L.P. A numerical framework for modeling flexoelectricity and Maxwell stress in soft dielectrics at finite strains. Comput. Methods Appl. Mech. Eng. 2017, 313, 450–482. [Google Scholar] [CrossRef]
- Darrall, B.T.; Hadjesfandiari, A.R.; Dargush, G.F. Size-dependent piezoelectricity: A 2D finite element formulation for electric field-mean curvature coupling in dielectrics. Eur. J. Mech. A-Solids 2015, 49, 308–320. [Google Scholar] [CrossRef]
- Poya, R.; Gil, A.J.; Ortigosa, R.; Palma, R. On a family of numerical models for couple stress based flexoelectricity for continua and beams. J. Mech. Phys. Solids 2019, 125, 613–652. [Google Scholar] [CrossRef]
- Thai, T.Q.; Rabczuk, T.; Zhuang, X.Y. A large deformation isogeometric approach for flexoelectricity and soft materials. Comput. Methods Appl. Mech. Eng. 2018, 341, 718–739. [Google Scholar] [CrossRef]
- Ghasemi, H.; Park, H.S.; Zhuang, X.Y.; Rabczuk, T. Three-Dimensional Isogeometric Analysis of Flexoelectricity with MATLAB Implementation. CMC-Comput. Mater. Contin. 2020, 65, 1157–1179. [Google Scholar] [CrossRef]
- Thai, T.Q.; Zhuang, X.Y.; Park, H.S.; Rabczuk, T. A staggered explicit-implicit isogeometric formulation for large deformation flexoelectricity. Eng. Anal. Bound. Elem. 2021, 122, 1–12. [Google Scholar] [CrossRef]
- Chen, X.; Yao, S.; Yvonnet, J. Dynamic analysis of flexoelectric systems in the frequency domain with isogeometric analysis. Comput. Mech. 2023, 71, 353–366. [Google Scholar] [CrossRef]
- Ray, M.C. Mesh free model of nanobeam integrated with a flexoelectric actuator layer. Compos. Struct. 2017, 159, 63–71. [Google Scholar] [CrossRef]
- Basutkar, R.; Sidhardh, S.; Ray, M.C. Static analysis of flexoelectric nanobeams incorporating surface effects using element free Galerkin method. Eur. J. Mech. A-Solids 2019, 76, 13–24. [Google Scholar] [CrossRef]
- He, B.; Javvaji, B.; Zhuang, X. Characterizing Flexoelectricity in Composite Material Using the Element-Free Galerkin Method. Energies 2019, 12, 271. [Google Scholar] [CrossRef]
- Shang, Y.; Deng, Z.; Cen, S.; Li, C.F. Penalty hexahedral element formulation for flexoelectric solids based on consistent couple stress theory. Int. J. Numer. Methods Eng. 2024, 125, 30. [Google Scholar] [CrossRef]
- Rajendran, S.; Liew, K.M. A novel unsymmetric 8-node plane element immune to mesh distortion under a quadratic displacement field. Int. J. Numer. Methods Eng. 2003, 58, 1713–1748. [Google Scholar] [CrossRef]
- Shang, Y.; Li, C.F.; Jia, K.Y. 8-node hexahedral unsymmetric element with rotation degrees of freedom for modified couple stress elasticity. Int. J. Numer. Methods Eng. 2020, 121, 2683–2700. [Google Scholar] [CrossRef]
- Li, Z.; Cen, S.; Li, C.F. Extension of the unsymmetric 8-node hexahedral solid element US-ATFH8 to geometrically nonlinear analysis. Eng. Comput. 2021, 38, 3219–3253. [Google Scholar] [CrossRef]
- Nobili, A. Asymptotically consistent size-dependent plate models based on the couple-stress theory with micro-inertia. Eur. J. Mech. A-Solids 2021, 89, 10. [Google Scholar] [CrossRef]
- Chu, B.J.; Salem, D.R. Flexoelectricity in several thermoplastic and thermosetting polymers. Appl. Phys. Lett. 2012, 101, 4. [Google Scholar] [CrossRef]
- Deng, Q.; Kammoun, M.; Erturk, A.; Sharma, P. Nanoscale flexoelectric energy harvesting. Int. J. Solids Struct. 2014, 51, 3218–3225. [Google Scholar] [CrossRef]
- Wu, C.P.; Hsu, C.H. A three-dimensional weak formulation for stress, deformation, and free vibration analyses of functionally graded microscale plates based on the consistent couple stress theory. Compos. Struct. 2022, 296, 23. [Google Scholar] [CrossRef]
- Wu, C.P.; Lu, Y.A. 3D static bending analysis of functionally graded piezoelectric microplates resting on an elastic medium subjected to electro-mechanical loads using a size-dependent Hermitian C2 finite layer method based on the consistent couple stress theory. Mech. Based Des. Struct. Mach. 2023, 52, 3799–3841. [Google Scholar] [CrossRef]
- Thai, H.T.; Choi, D.H. Size-dependent functionally graded Kirchhoff and Mindlin plate models based on a modified couple stress theory. Compos. Struct. 2013, 95, 142–153. [Google Scholar] [CrossRef]
Disclaimer/Publisher’s Note: The statements, opinions and data contained in all publications are solely those of the individual author(s) and contributor(s) and not of MDPI and/or the editor(s). MDPI and/or the editor(s) disclaim responsibility for any injury to people or property resulting from any ideas, methods, instructions or products referred to in the content. |
© 2024 by the authors. Licensee MDPI, Basel, Switzerland. This article is an open access article distributed under the terms and conditions of the Creative Commons Attribution (CC BY) license (https://creativecommons.org/licenses/by/4.0/).





















