A Brief Review of the Actuation Systems of the Morphing Systems in Wind Tunnel Models and a Case Study
Abstract
1. Introduction
2. Definitions, Components and Requirements of the Morphing Systems for Wind Tunnel Models
2.1. Definition of Wind Tunnel Test Model
2.2. Components of the Wind Tunnel Model
- (a)
- Model body: This is the main structure of the wind tunnel test model, designed to evaluate the overall aerodynamic shape and aerodynamic characteristics. For the morphing wing, the main structure includes the external profile of the wing and the internal support structure. The model body is also the installation platform of the drive system, the transmission system and the sensor system. Additionally, ensuring the basic strength and stiffness requirements, the critical areas for reducing the aircraft’s weight are identified.
- (b)
- Drive system: This provides power to the morphing wing model and usually includes the motor, hydraulic cylinder, shape memory alloy, piezoelectric material or other smart material actuator. Under the action of the control signal, the actuation system drives the control surface to rotate to remotely change the rotation angle.
- (c)
- Transmission system: The role of the transmission system is to achieve the motion conversion and power transmission, usually by some connecting rod mechanism, lead screw nut and worm gear. For linear actuators such as hydraulic cylinders, shape memory alloy wires and piezoelectric pumps, it is usually necessary to convert the linear motion into rotation to obtain the angle of rotation. For rotary motors and ultrasonic motors, due to space constraints, it is necessary to design a transmission system to transmit power to the control surface.
- (d)
- Sensing system: This can monitor the rotation angle of the control surface in real time to achieve accurate feedback control. Angle encoders are usually used to measure the rotation angle of the control surface shafts. For automatic control surface control systems, the closer the angle sensor is installed to the control surface shaft, the higher the angle control accuracy. In the actual model design process, the installation position of the angle sensors often needs to be balanced among the various test requirements, structural space requirements and strength requirements of the structure.
2.3. Requirements of the Wind Tunnel Test Model
- (a)
- Adequate drive stroke: The drive system needs to drive the control surface to achieve various rotation angles for the control surface effect tests, which means that the model drive system needs to provide enough drive stroke. The drive stroke indicator is the primary requirement for selecting and designing drive and transmission schemes.
- (b)
- Adequate driving force: Since the model will be subjected to large wind loads in wind tunnel tests, especially under conditions of large control surface angles, the drive system needs to have sufficient driving force. The actuators with high power and high energy density are the necessary condition to complete the test of high Mach number and large control surface angle.
- (c)
- Fitting into limited space: The wind tunnel test model is a smaller model compared to the real aircraft based on the similarity principle. The internal space is very precious, so the actuators should be miniaturized as far as possible under the premise of satisfying the driving stroke and driving force, so as to be integrated into the complex model system.
- (d)
- High accuracy: Conventional wind tunnel force measurement and pressure measurement tests have very high accuracy requirements, and small rotation errors of the control surface could bring large test errors, so the control accuracy of the drive system is highly required.
3. Classifications of the Actuation
3.1. Electromechanical Actuators
3.2. Pneumatic Actuators
3.3. Shape Memory Material Actuator
3.4. Piezoelectric Actuator
3.5. Comparisons
- (a)
- The electric motor has experienced hundreds of years of development, and its driving and control principles have been very mature. Through the design of the transmission system, researchers can easily achieve some common movements and get large load capacities or motion stroke. Using the combination of multiple mechanisms, such as worm gears, crank shafts, screw-nut systems and eccentric pushing links, the movement of an electric motor is precisely converted to the rotation of the control surface. In this way, the power of the motor end is transmitted to the control surface with very little space. Therefore, in order to realize the movement of the control surface, researchers need to design the complex drive system and transmission system, and rationally arrange the position of each mechanism in the interior of the wing. Because the mechanical structure of the whole system is complex and occupies a large space, it is necessary for researchers to weigh the contradiction between performance parameters and structural space. Moreover, electromechanical actuators easily realize simple linear motions and rotations, which are difficult to manage within the increasingly flexible adaptive wing deformation requirements. In general, compared with other actuation techniques, the electromechanical actuators have the advantages of large driving force and driving stroke, response and precise control accuracy. However, the transmission system occupies a large space, and drive mode is not flexible enough.
- (b)
- For pneumatic actuators, the flexible body is inflated or discharged to generate the corresponding force. Compared with the electromechanical actuators, they have the advantages of simple structure, easy control, fast driving speed and low cost, but the load capacity and the accuracy are weaker. Therefore, if the driving accuracy and load requirements are not high or the internal space of the structure is not large, the designer can preferentially choose the pneumatic actuators.
- (c)
- Because of its memory effect, the shape memory alloy has the advantages of high energy density and adaptive deformation capability. Therefore, in the wind tunnel test model of variant aircraft, the design of shape memory materials can make the active part simpler, lighter and more flexible. Compared with piezoelectric materials, it has a larger deformation range. However, shape memory alloys also have many limitations, such as a more complex constitutive, a driving process that is susceptible to the external environment and a very weak control ability of the intermediate state. In addition, due to the different heat treatment process and material composition, the performance of shape memory alloys has a large difference. Therefore, it is difficult to change from a state control to process control, reduce interference from external conditions and obtain an accurate and real-time temperature control algorithm.
- (d)
- The actuators based on the inverse piezoelectric effect control the deformation of piezoelectric materials by controlling the magnitude of voltage. Compared with shape memory material, they have a more mature control algorithm, simpler constitutive equation and higher precision for small displacement control. Compared with electromechanical actuators, piezoelectric actuators take up an extremely small space and respond faster. In addition, the MFCs can be directly attached to the airfoil surface to drive the control surface. However, due to the characteristics of piezoelectric material, its driving deformation is very small. Therefore, researchers need to design highly efficient displacement amplifying mechanisms, such as bender elements, eccentuators and diamond-shaped amplification structures, to obtain a larger deformation. The appearance of these amplifying structures can greatly improve the output deformation, but they take up a lot more space.
4. Proposed Design Flow and a Case Study
4.1. Design Requirements
4.2. The Design of the Wind Tunnel Control Surface Deflection Model
4.3. Load Capacity Test
4.4. Accuracy Test
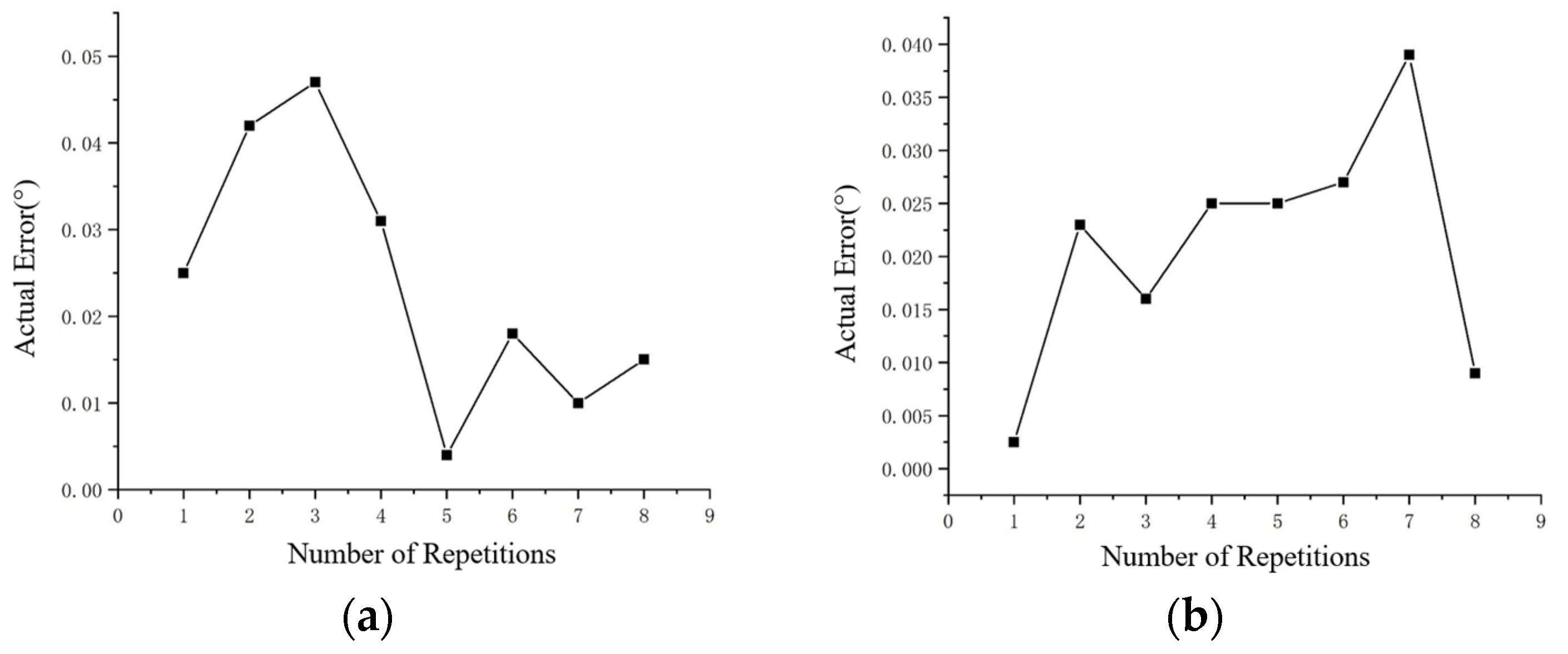
4.5. The Wind Tunnel Test
5. Conclusions
Author Contributions
Funding
Data Availability Statement
Conflicts of Interest
References
- Gudmundsson, S. General Aviation Aircraft Design: Applied Methods and Procedures; Butterworth-Heinemann: Oxford, UK, 2013. [Google Scholar]
- Barlow Jewel, B.; Rae William, H.; Pope, A. Low-speed wind tunnel testing; John Wiley & Sons: New York, NY, USA, 1999. [Google Scholar]
- Roberts, R.; Smith, C. Improving remote control applications for wind tunnel tests. US Air Force TE Days 2009, 2009, 1753. [Google Scholar]
- Calkins, F.T.; Nicholson, D.E.; VonDeetzen, S.; Wright, M.; Cramer, C.; Griffiths, R.; Muller, M.; Sleppy, M.A.; Saxer, D.R.; Lafranchi, A.; et al. Low & high speed cryogenic testing of a wind tunnel model with remote control actuation (RCA) spoiler. In Proceedings of the AIAA Aviation 2019 Forum, Dallas, TX, USA, 17–21 June 2019. [Google Scholar]
- Barbarino, S.; Bilgen, O.; Ajaj, R.M.; Friswell, M.I.; Inman, D.J. A review of morphing aircraft. J. Intell. Mater. Syst. Struct. 2011, 22, 823–877. [Google Scholar] [CrossRef]
- Sun, J.; Guan, Q.; Liu, Y.; Leng, J. Morphing aircraft based on smart materials and structures: A state-of-the-art review. J. Intell. Mater. Syst. Struct. 2016, 27, 2289–2312. [Google Scholar] [CrossRef]
- Nguyen, N.T.; Cramer, N.B.; Hashemi, K.E.; Ting, E.; Drew, M.; Wise, R.; Boskovic, J.; Precup, N.; Mundt, T.; Livne, E.; et al. Real-Time Adaptive Drag Minimization Wind Tunnel Investigation of a Flexible Wing with Variable Camber Continuous Trailing Edge Flap System. In Proceedings of the AIAA Aviation 2019 Forum, Dallas, TX, USA, 17–21 June 2019. [Google Scholar]
- Pecora, R.; Amoroso, F.; Sicim, M.S. Design of a Morphing Test-Article for Large-Scale, High-Speed Wind Tunnel Tests of an Adaptive Wing Flap. In Active and Passive Smart Structures and Integrated Systems XV; SPIE: Bellingham, WA, USA, 2021; Volume 11588. [Google Scholar]
- Arena, M.; Concilio, A.; Pecora, R. Aero-servo-elastic design of a morphing wing trailing edge system for enhanced cruise performance. Aerosp. Sci. Technol. 2019, 86, 215–235. [Google Scholar] [CrossRef]
- Vasista, S.; Riemenschneider, J.; Monner, H.P. Design and testing of a compliant mechanism-based demonstrator for a droop-nose morphing device. In Proceedings of the 23rd AIAA/AHS Adaptive Structures Conference, Kissimmee, FL, USA, 5–9 January 2015. [Google Scholar]
- Liang, J.L.; Wang, X.; Zhang, R.P.; Gao, D.P. Optimization design and development of transmission mechanism for small electric steering system. Mech. Res. Appl. 2016, 29, 110–113. [Google Scholar]
- Dong, G.Q.; Li, Q.; Li, Z.F.; Xu, L.J.; Liu, X.H. Research on automatic variable-angle system of the buried motivator. J. Exp. Fluid Mech. 2010, 24, 73–76. [Google Scholar]
- Woods, B.K.S.; Kothera, C.S.; Sirohi, J.; Wereley, N.M. Pneumatic artificial muscles for trailing edge flap actuation: A feasibility study. Smart Mater. Struct. 2011, 20, 105021. [Google Scholar] [CrossRef]
- Peel, L.D.; Meija, J.; Narvaez, B.; Thompson, K.; Lingala, M. Development of a simple morphing wing using elastomeric composites as skins and actuators. J. Mech. Des. 2009, 131, 091003. [Google Scholar] [CrossRef]
- Zhou, H.; Plummer, A.R.; Cleaver, D. Distributed Actuation and Control of a Tensegrity-Based Morphing Wing. IEEE/ASME Trans. Mechatron. 2021, 27, 34–45. [Google Scholar] [CrossRef]
- Yin, W.; Liu, L.; Chen, Y.; Liu, Y.; Leng, J. Pneumatic Artificial Muscle and Its Application on Driving Variable Trailing-Edge Camber Wing. In Industrial and Commercial Applications of Smart Structures Technologies 2010; SPIE: Bellingham, WA, USA, 2010; Volume 7645. [Google Scholar]
- Jardine, A.P.; Bartley-Cho, J.D.; Flanagan, J.S. Improved Design and Performance of the SMA Torque Tube for the DARPA Smart Wing Program. In Smart Structures and Materials 1999: Industrial and Commercial Applications of Smart Structures Technologies; SPIE: Bellingham, WA, USA, 1999; Volume 3674. [Google Scholar]
- Karagiannis, D.; Stamatelos, D.; Spathopoulos, T.; Solomou, A.; Machairas, T.; Chrysohoidis, N.; Saravanos, D.; Kappatos, V. Airfoil morphing based on SMA actuation technology. Aircr. Eng. Aerosp. Technol. Int. J. 2014, 86, 295–306. [Google Scholar] [CrossRef]
- Sinn, T.; Barrett, R. Design, manufacturing and test of a high lift secondary flight control surface with shape memory alloy post-buckled precompressed actuators. Actuators 2015, 4, 156–171. [Google Scholar] [CrossRef]
- Han, M.-W.; Rodrigue, H.; Kim, H.-I.; Song, S.-H.; Ahn, S.-H. Shape memory alloy/glass fiber woven composite for soft morphing winglets of unmanned aerial vehicles. Compos. Struct. 2016, 140, 202–212. [Google Scholar] [CrossRef]
- Yin, W.; Fu, T.; Liu, J.; Leng, J. Structural Shape Sensing for Variable Camber Wing Using FBG Sensors. In Sensors and Smart Structures Technologies for Civil, Mechanical, and Aerospace Systems 2009; SPIE: Bellingham, WA, USA, 2009; Volume 7292. [Google Scholar]
- Li, J.; Qin, Y.-H.; Bai, T.; Yu, Z.-H. Development of a morphing wing with adaptive capability. Acta Aerodyn. Sin. 2009, 27, 505–508. [Google Scholar]
- Li, W.; Xiong, K.; Chen, H.; Zhang, X.; Su, Y.; Ren, Z. Research on variable cant angle winglets with shape memory alloy spring actuators. Acta Aerodyn. Sin. 2012, 33, 22–33. [Google Scholar]
- Lei, P. Design and High Speed Wind Tunnel Test of Morphing Wing Model Based in Intelligent Structure. Master’s Thesis, China Aerodynamics Research and Development Center, Mianyang, China, 2016. [Google Scholar]
- Benafan, O.; Moholt, M.R.; Bass, M.; Mabe, J.H.; Nicholson, D.E.; Calkins, F.T. Recent advancements in rotary shape memory alloy actuators for aeronautics. Shape Mem. Superelasticity 2019, 5, 415–428. [Google Scholar] [CrossRef]
- Sahoo, D.; Cesnik, C. Roll maneuver control of UCAV wing using anisotropic piezoelectric actuators. In Proceedings of the 43rd AIAA/ASME/ASCE/AHS/ASC Structures, Structural Dynamics, and Materials Conference, Denver, CO, USA, 22–25 April 2002. AIAA-2002-1720. [Google Scholar]
- Wilbur, M.L.; Wilkie, W.K. Active-twist rotor control applications for UAVs. In Transformational Science and Technology for the Current and Future Force: (With CD-ROM); World Scientific Publishing Co Pte Ltd.: Singapore, 2006; pp. 185–192. [Google Scholar]
- Detrick, M.; Washington, G. Modeling and design of a morphing wing for micro unmanned aerial vehicles via active twist. In Proceedings of the 48th AIAA/ASME/ASCE/AHS/ASC Structures, Structural Dynamics, and Materials Conference, Honolulu, HI, USA, 23–26 April 2007. [Google Scholar]
- Prazenica, R.J.; Kim, D.; Moncayo, H.; Azizi, B.; Chan, M. Design, characterization, and testing of macro-fiber composite actuators for integration on a fixed-wing UAV. In Active and Passive Smart Structures and Integrated Systems 2014; SPIE: Bellingham, WA, USA, 2014; Volume 9057. [Google Scholar]
- Wang, D.P.; Bartley-Cho, J.D.; Martin, C.A.; Hallam, B.J. Development of high-rate large-deflection hingeless trailing-edge control surface for the Smart Wing wind tunnel model. In Smart Structures and Materials 2001: Industrial and Commercial Ap-plications of Smart Structures Technologies; SPIE: Bellingham, WA, USA, 2001; Volume 4332. [Google Scholar]
- Kimaru, J.; Bouferrouk, A. Design, manufacture and test of a camber morphing wing using MFC actuated mart rib. In Proceedings of the 2017 8th International Conference on Mechanical and Aerospace Engineering (ICMAE), Prague, Czech Republic, 22–25 July 2017. [Google Scholar]
- Lu, Q. Helicopter Active Trailing-Edge Flap with Piezoelectric Actuator; Harbin Institute of Technology: Harbin, China, 2013. [Google Scholar]
- Li, C.; Sun, S.; Niu, B.; Yang, R. Study on active deformation of deformable wing shrinkage ratio model under drive of MFC. Piezoelectr. Acoustoopt. 2018, 40, 104–107. [Google Scholar]
- Zhang, Z.; Huang, W.; Yang, W. Design analysis and test of smart rotor blades model with trailing edge flaps. J. Nanjing Univ. Aeronaut. Astronaut. 2011, 43, 296–301. [Google Scholar]
- Bartley-Cho, J.D.; Wang, D.P.; Martin, C.A.; Kudva, J.N.; West, M.N. Development of high-rate, adaptive trailing edge control surface for the smart wing phase 2 wind tunnel model. J. Intell. Mater. Syst. Struct. 2004, 15, 279–291. [Google Scholar] [CrossRef]
- Das, H.; Bao, X.; Bar-Cohen, Y.; Bonitz, R.; Lindemann, R.A.; Maimone, M.; Nesnas, I.A.; Voorhees, C.J. Robot Manipulator Technologies for Planetary Exploration. In Smart Structures and Materials 1999: Smart Structures and Integrated Systems; SPIE: Bellingham, WA, USA, 1999; Volume 3668. [Google Scholar]
- Sun, Z.; Zhang, T.; Zhang, H.; Jia, Y.; Shen, Z. The technical design and achievements of Chang’E-3 probe. Sci. Sin. Technol. 2014, 44, 331–343. [Google Scholar]
- Li, J.; Liu, S.; Zhou, N.; Yu, A.; Cui, Y.; Chen, P. A traveling wave ultrasonic motor with a metal/polymer-matrix material compound stator. Smart Mater. Struct. 2017, 27, 015027. [Google Scholar] [CrossRef]
- Lederlé, S. Issues in the Design of Shape Memory Alloy Actuators. Ph.D. Dissertation, Massachusetts Institute of Technology, Cambridge, MA, USA, 2002. [Google Scholar]
- Hunter, I.W.; Hollerbach, J.M.; Ballantyne, J. A comparative analysis of actuator technologies for robotics. Robot. Rev. 1991, 2, 299–342. [Google Scholar]
- Tadesse, Y. Electroactive polymer and shape memory alloy actuators in biomimetics and humanoids. In Electroactive Polymer Actuators and Devices (EAPAD) 2013; SPIE: Bellingham, WA, USA, 2013; Volume 8687. [Google Scholar]
- Li, X.; Wen, Z.; Jia, B.; Cao, T.; Yu, D.; Wu, D. A review of application and development trends in ultrasonic motors. ES Mater. Manuf. 2020, 12, 3–16. [Google Scholar] [CrossRef]
- Hagood, N.W.; McFarland, A.J. Modeling of a piezoelectric rotary ultrasonic motor. In Smart Structures and Materials 1994: Smart Structures and Intelligent Systems; SPIE: Bellingham, WA, USA, 1994; Volume 2190. [Google Scholar]
























| Actuation Technique | Drive Force | Drive Stroke | Response Speed | Accuracy | Space Occupation | 
|---|---|---|---|---|---|
| Electromechanical actuators | Large | Large | Middle | Accurate | More | 
| Pneumatic actuators | Small | Large | Fast | Poor | Middle | 
| SMA actuators | Small | Middle | Fast | Middle | Less | 
| Piezoelectric actuators | Middle | Small | Fast | Accurate | Less | 
| Technical Parameters | Technical Indicators | 
|---|---|
| Rated Power (W) | 2.5 | 
| Rated Speed (°/s) | 9 | 
| Rated Torque (N·m) | 16 | 
| Maximum Allowable Average Load Torque (N·m) | 27 | 
| Peak Torque Allowed for Start/Stop (N·m) | 37 | 
| Self-locking (Stall) Torque (N·m) | <70 | 
| Angular Resolution (°) | 0.01 | 
| Material | Young’s Modulus | Poisson’s Ratio | Density | Yield Limit | 
|---|---|---|---|---|
| Q235 | 205 GPa | 0.3 | 7.85 g/cm3 | ≥235 MPa | 
| Aluminum Alloy | 71 GPa | 0.33 | 2.81 g/cm3 | ≥495 MPa | 
| 30Cr MnSiA | 210 GPa | 0.3 | 7.85 g/cm3 | ≥885 MPa | 
| Disclaimer/Publisher’s Note: The statements, opinions and data contained in all publications are solely those of the individual author(s) and contributor(s) and not of MDPI and/or the editor(s). MDPI and/or the editor(s) disclaim responsibility for any injury to people or property resulting from any ideas, methods, instructions or products referred to in the content. | 
© 2024 by the authors. Licensee MDPI, Basel, Switzerland. This article is an open access article distributed under the terms and conditions of the Creative Commons Attribution (CC BY) license (https://creativecommons.org/licenses/by/4.0/).
Share and Cite
Pan, G.; Cui, X.; Sun, P.; Wang, B. A Brief Review of the Actuation Systems of the Morphing Systems in Wind Tunnel Models and a Case Study. Aerospace 2024, 11, 666. https://doi.org/10.3390/aerospace11080666
Pan G, Cui X, Sun P, Wang B. A Brief Review of the Actuation Systems of the Morphing Systems in Wind Tunnel Models and a Case Study. Aerospace. 2024; 11(8):666. https://doi.org/10.3390/aerospace11080666
Chicago/Turabian StylePan, Guogang, Xiaoyu Cui, Pengfei Sun, and Biling Wang. 2024. "A Brief Review of the Actuation Systems of the Morphing Systems in Wind Tunnel Models and a Case Study" Aerospace 11, no. 8: 666. https://doi.org/10.3390/aerospace11080666
APA StylePan, G., Cui, X., Sun, P., & Wang, B. (2024). A Brief Review of the Actuation Systems of the Morphing Systems in Wind Tunnel Models and a Case Study. Aerospace, 11(8), 666. https://doi.org/10.3390/aerospace11080666
 
        

 
       