Abstract
The demand for new propeller designs has increased alongside the development of new technology, such as urban aircraft and large unmanned aerial vehicles. In order to experimentally identify the performance of a propeller, a wind tunnel that provides the operating flow is essential. However, in the case of a meter class or larger propeller, a large wind tunnel is required and the related equipment becomes heavy; therefore, it is difficult to implement in reality. For this reason, propeller studies have been conducted via reduced models. In this case, it is necessary to investigate the different performance outputs between the full- and model-scale propellers due to the size difference. In the current study, a method is proposed to investigate the difference in the aerodynamic performance caused by the difference in propeller scale using VLM and RANS calculations, and the differences are analyzed. The wind tunnel test also verified the propeller performance prediction method. The boundary of aerodynamic performance independent of the Reynolds number could be predicted through the VLM based on the ideal fluid assumption. From the RANS calculations, it was possible to present the difference in the aerodynamic performance when propellers of the same geometry with different ratios were operated using different Reynolds numbers. It was confirmed that each numerical method matched well with the wind tunnel test results in the range of the advance ratio that produced the maximum efficiency, and from the results, it was possible to observe the change in aerodynamic performance that differed according to the scale change.
1. Introduction
With the development of UAM and large drones, there has been an increasing demand for the development of propellers with a diameter greater than a meter [1]. In a propeller propulsion system combined with an electric power unit for the development of a UAM, it is essential to design a new propeller suitable for an electric motor with performance characteristics that are different from that of a fossil fuel engine [2]. In order to meet certain requirements, such as stability, propulsion efficiency, noise reduction, and the design of more complex multi-propulsion propeller systems [3,4,5], the identification of propeller performance is a design datum that must primarily be secured in aircraft development. Research on the performance analysis of propellers is being conducted, to date, through various calculations and experiments. The wind tunnel test is a process used to prove the actual aerodynamic performance and is performed to verify the design performance or observe flow phenomena that are difficult to calculate numerically. The wind tunnel test presents limitations in the test environment depending on the size of the test section and the possible flow rate. It is ideal to perform experiments based on a real model, but there are practical limitations because it is an inefficient method, from an engineering perspective, to build a large-scale facility for performing such performance experiments on the ground. For the engineering design, the selection of an appropriate model scale and the development of a propeller by a scale similarity method are necessary.
The vortex lattice method provides an efficient means to analyze the performance of propellers in engineering designs. Performance calculations based on the three-dimensional shape of the propeller blade are possible, and the computation cost is very low compared to the RANS-based numerical calculation method. The interaction between the propeller and the wing affected by the propeller wake is studied through numerical calculations using the high-order free-wake method [6]. The vortex lattice method is used to compare the efficiency changes in aircraft wings according to the type and number of multi-propeller tractors or pushers [7]. Additionally, a comparative study of the performance of the electric propulsion airplane is conducted according to the propeller arrangement [8].
A method of predicting the high-fidelity propeller performance through an RANS simulation is being studied, at present. Compared to the blade element and potential methods, the calculation cost is higher, but it is an important numerical calculation method in that it can perform a performance analysis on more complex shapes close to real models and can simulate turbulent flow. Setting an appropriate mesh for the propeller calculation in the RANS simulation should be considered to reduce numerical errors or increase the calculation efficiency [9]. In the RANS calculation study used for the prediction of propeller aerodynamic performance, MRF and sliding mesh methods presented results within 3% for the thrust and power predictions for the static propeller performance [10]. Through the RANS simulation, the wake velocity distribution of the propeller mounted on the tip of the wing was compared to the experiment, and the effect of the wake on the surface pressure of the wing was also compared [11]. In the study conducted on the propeller–wing aerodynamic interaction, the change in the aerodynamic performance of the wing according to the presence or absence of the propeller was visually confirmed by comparing the surface pressure distribution [12]. The propeller wake affects the surface pressure distribution of the wing to improve the lift distribution, and the stall-delay effect was compared numerically.
Experimental propeller studies should be conducted based on the same advanced ratio corresponding to the design conditions based on the wind tunnel facility in which the experiment is performed. The propeller model setting of an appropriate ratio is required for appropriate experimental conditions, and structures, dynamometers, and measuring equipment must be designed simultaneously to achieve the target experiment [13,14]. The size of the test model is determined according to the constraints of the size of the wind tunnel. A previous study analyzed flow phenomena using a 0.4 m diameter propeller model [15,16,17]. Through the 0.3 m diameter propeller test model, the change in the performance concerning the detrimental effect of the rear propeller by the interaction between the front and rear propellers mounted on the tandem wing was observed through the wind tunnel test [18]. In the experiment conducted on variable-pitch propellers, the performance curve characteristics that changed according to the pitch angle of the blades were confirmed through the dimensionless comparison of the propeller’s performance [19,20,21,22].
In terms of research, model-scale propellers are very useful, but in order to apply them to an actual aircraft, it is absolutely necessary to investigate the performance of full-scale propellers. In a study that experimentally observed the efficiency performance of a propeller according to a change in the Reynolds number in order to consider atmospheric conditions that vary according to the altitude, it was confirmed that the maximum efficiency of the propeller increased as the Reynolds number increased [23]. An experimental study conducted on the effect of the Reynolds number on small-scale propellers with a diameter ranging from 0.05 to 0.23 m and having the same shape was conducted, and the correlation between the Reynolds number and the non-dimensional propeller performance curves was compared [24]. From this experiment, it was confirmed that the same dimensionless performance was obtained under the same Reynolds number condition, and the efficiency increased as the Reynolds number increased. In general, studies concerning the propellers for ships with a diameter of several meters have also been confirmed to exhibit high thrust and efficiency values at high Reynolds numbers [25,26].
In the fluid domain related to viscous and inertial forces, the Reynolds number is an important index used to distinguish the surface-pressure-distribution characteristics of the blades. The difference in the aerodynamic performance curve of the airfoil according to the angle of attack, according to the Reynolds number difference, is related to the flow separation and pressure-distribution change due to boundary layer properties [27]. As the Reynolds number increases, there is a general tendency for the stall delay to be maintained up to a higher angle of attack on the airfoil and to achieve a higher lift [28,29,30]. The accuracy of the methods used to calculate the airfoil performance for engineering purposes is also compared [31].
The purpose of this paper is to investigate the difference in the aerodynamic performance between the model and full scales for wind tunnel experiments in the design process of propellers. The difference in propeller performances according to the Reynolds number is investigated through VLM (vortex lattice method) based on the ideal fluid assumption and RANS (Reynolds–Averaged Navier–Stokes) simulation based on the assumption of an ideal fluid obtained from wind tunnel experimental data targeting a reduced model. A full-scale propeller is a specific model with a diameter of 2 m, and the model-scale propeller is a wind tunnel experimental model with a reduced ratio of 0.5 m with the same geometry. The wind tunnel test results of the model-scale propeller are compared to numerical calculations. Section 2 describes the propeller model and the numerical calculation method used for the aerodynamic performance analysis of the propeller. Numerical calculations are compared by performing the VLM and RANS equations, respectively. Additionally, the model-scale propeller test apparatus and wind tunnel test method are explained. Section 3 presents the aerodynamic performance comparison results from the Reynolds number analysis of propellers and the scale effect. The conclusions of this study are presented in Section 4.
2. Materials and Methods
A propeller performance analysis was performed numerically using the VLM and RANS. From the perspective of analyzing the aerodynamic performance of propellers according to the Reynolds number, the VLM, which is an ideal fluid-based analysis method, was considered, and the performance differences between the full and model scales were compared using the RANS simulation. The VLM is used to predict the inviscid and incompressible flow by a boundary value problem based on the potential flow, assuming that the three-dimensional shape of the propeller is a lifting surface expressed by the vortex, and its computational cost is much lower than that of the RANS. Additionally, the performance analysis accuracy for the blade shape is higher than the calculation based on the BEMT and lifting line. The performance of the propeller was confirmed experimentally via the wind tunnel test for the model scale reduced by one-quarter of the full scale. The following section describes the propellers tested in this study, as well as each analysis method.
2.1. Propeller Configuration
Figure 1 presents the propeller shape analyzed in this study. A six-blade propeller was designed with a diameter of 2.0 m in relation to its actual size. The model-scale propeller for the wind tunnel experiment was scaled down by 1/4. The propeller had a diameter of 0.5 m, the pitch angle was the same as the full-scale model, and the cord length was reduced by the same ratio as the diameter. The blade geometry was the same, regardless of its scale when it was dimensionless, and included a radius, as presented in Figure 2. The pitch angle was expressed as an angle between the chord line at 0.75% of the propeller radius and the rotation plane of the blade as a representative angle. Figure 1 presents the state where the representative pitch angle is 0°. The pitch angle of the section at the blade root, , starts at about 30° and continuously decreases until it reaches the blade’s tip, , to about −6°. The blade cross-section was an NACA23012 airfoil (Figure 3) and was applied proportionally to the varying cord length along the span direction. The airfoil was applied from the root to the tip of the blade, and in the experimental model, it had a circular cross-section from the hub, , to the blade’s root. In the wind tunnel experimental model, the was 0.04 m. The operating conditions of the propellers are compared in Table 1. The wind tunnel test conditions were determined to match the same advance ratio to the design conditions of the propeller corresponding to the full scale. The wind tunnel test conditions were determined by considering the operating limits of the test equipment. The target propeller was designed on the premise of its variable pitch capability, but in the current study, it was compared at 29°, 34°, and 39°. The overall experimental conditions compared in this study were up to a forward ratio of 2.0, which corresponded to a flow velocity of 146 m/s at a rotational speed of 1950 rpm in the full-scale model and a flow velocity of 25 m/s at a maximum velocity of 2560 rpm at the model scale.
Figure 1.
Propeller layout.
Figure 2.
Blade geometry curves.
Figure 3.
The NACA23012 airfoil section.
Table 1.
The specifications of the target propeller.
2.2. Numerical Method 1: Vortex Lattice Method
The VLM is a potential flow analysis method that assumes an ideal fluid. For the numerical prediction of a propeller’s performance, the blade and wake (Figure 4) should be discretized, and the distributed vortex strength that satisfies the boundary condition by the boundary value problem should be obtained [32,33]. In the current study, the prediction of the propeller’s performance was premised on its steady-state operation in which the inflow into the rotating disk area of the propeller was equal to the entire disk surface. It was based on , assuming operation in an incompressible fluid and applying the law of conservation of mass around the wing and on the wake. represented the total fluid velocity and had the following boundary conditions: ① at infinite upstream, the perturbation velocity due to the presence of the propeller should vanish (). represents the velocity potential. ② The blade surface represented the impermeability to the fluid (). was the vector normal to the camber surface. ③ By applying the Kutta condition, the flow should leave the trailing edge in a tangential direction. ④ Kelvin’s theorem for the conservation of circulation was applied. ⑤ The velocity jump must be purely tangential to the shed vortex wake sheet, and the pressure must be continuous across the vortex wake sheet. A blade is defined as the vertex of a quadrilateral element divided into a grid aligned in the span and chord directions. The propeller blade’s surface, , and wake surface, , were derived from the integral equation, as expressed in Equation (1), through Green’s theorem:
here, . is the distance between the control point, , on the boundary and field point, . and are the vortex and source strength distributed on the camber surface. is the potential difference on the wake surface. The integral equation of Equation (1) was discretized by distributing the vortex only on the interface surface, and a solution was derived through numerical analysis. Singularities were distributed at equal intervals in the span direction and 1/4 positions in the chord direction in each quadrilateral element to satisfy the Kutta condition.
Figure 4.
VLM grids for predicting the propeller’s aerodynamic performance.
2.3. Numerical Method 2: RANS Simulation
The RANS-based CFD (computational fluid dynamics) method is a representative method used to calculate the turbulent flow. For the fluid simulation of the propeller, the calculation was performed by setting the grid system and the boundary conditions. The overall shape of the propeller grid system for analysis is presented in Figure 5, and the total number of grids was about 8.59 million pieces. The propeller rotation area consisted of about 2.62 million pieces, and the non-rotating area, including the body, was composed of about 5.97 million pieces. To apply the wall function, the spacing of the grids was adjusted so that the y+ of the first grid on the wall was maintained between 20 and 100. The interface surface for exchanging flow information between the rotating and non-rotating
Figure 5.
CFD grid for the prediction of the propeller’s aerodynamic performance.
Regions were configured in a cylindrical shape with a diameter of about 1.2 times the diameter of the propeller. For the rotational motion analysis, when the analysis target was rotationally symmetrical, the MRF (moving reference frame) method, which was cheaper than the sliding-mesh method, was applied to calculate the performance curve of the propeller. The numerical analysis model used the pressure-based incompressible Reynolds–Averaged Navier–Stokes equation and the realizable k-ε turbulence model. For the numerical analysis of conditions similar to the model test, wall conditions were applied to the propeller and body surfaces, velocity-inlet conditions were applied to the front and side surfaces, and pressure-outlet conditions were applied to the rear boundary conditions. Approximately 2000 iterations were performed to sufficiently converge the numerical solution.
A sliding mesh method was additionally performed to compare the wake structures of VLM and RANS. Because the propellers covered in this study were considered only for the freestream, it is possible to compare the propeller performance only by calculating the steady state by the MRF method. However, in order to examine the wake structure of the propeller transmitted downstream, an unsteady flow analysis was required. Since the sliding mesh method performs an unsteady flow analysis according to the rotation angle while the rotation area of the blade moves directly, the relative motion around the rotating body can be simulated more closely to reality. Since the sliding mesh performs an unsteady calculation that simulates the flow for each rotation angle of the propeller, the calculation cost is much higher than that of the MRF, which calculates the steady-state flow. The wake structure formed by the rotating blade was confirmed from the vorticity magnitude of the flow field simulated by the sliding mesh for some major cases.
2.4. Experimental Setup
The model-scale propeller test was performed in a medium-sized subsonic anechoic wind tunnel (Figure 6) in Chungnam National University. The wind tunnel was a closed-circuit type and equipped with a 260 kW DC motor. The test section had a cross-section of 1.25 m × 1.25 m and a length of 4 m, and could be operated at a maximum flow velocity of 70 m/s. The wind tunnel inner passage was acoustically treated, and the test room had a 150 Hz cut-off-frequency capability with a semi-anechoic chamber. The model scale propeller was 0.5 m in diameter and attached to a cylinder mount in the downstream direction, and was driven by a BLDC motor (Figure 7). A two-axis balance that measured the thrust and torque was installed between the motor and cylinder mount, and the number of rotations was simultaneously measured using a photo sensor.
Figure 6.
The layout of a semi-anechoic wind tunnel in Chungnam National University.
Figure 7.
Model-scale propeller test rig for wind tunnel experiment.
3. Results and Discussion
3.1. Two-Dimensional Analysis of Reynolds Number Effect
An airfoil is a determining factor in the aerodynamic performance of a wing. In order to consider the performance of a 3D wing, the planform geometry has a great influence, but the cross-section of the wing provides the basis for inferring the performance of the wing when designing it. For the propeller considered in this study, the NACA23012 airfoil was applied from the blade’s root to its tip. For the blade section, the angle of the resultant flow, , is given by the rotational speed and local inflow speed, , and is illustrated in Figure 8.
Figure 8.
Velocities and forces acting on a propeller blade. Blade element as observed looking in along the blade toward the hub [37].
can be the same, even though the scales are different for the same advancing ratio. When the advance ratio is 0, the geometric pitch angle and are the same. However, as the advancing ratio increases, decreases by the freestream velocity, which is equivalent to lowering the angle of attack in terms of the airfoil cross-section of the blade. Since the actual propeller blade is a three-dimensional blade, an additional induced angle of attack, , is generated by the three-dimensional flow induced from the blade’s planform and the tip of the blade. is the induced velocity. Figure 9 presents the angle of the resultant flow, , which changes according to the advance ratio. The definition of the representative pitch angle of the propeller was based on the geometric angle of attack of the section at the point 0.75 R, and the graph presents the change in at 34.0°. For the two-dimensional comparison, the pitch angle reflected in the aerodynamic performance was presented from the perspective of . The propeller was designed to maintain the of 5° over the entire blade cross-section at = 1.2 when the geometric pitch angle was 34.0°. was the pitch angle defined relative to the chord line of the airfoil section.
Figure 9.
The angle of the resultant flow of the blade section as a function of the advance-ratio change at a representative pitch angle of 30°.
The Reynolds number is an important parameter used for comparing the relative difference between viscous and inertial forces. Figure 10 presents the calculated Reynolds number for each cross-section of a rotating blade under the same advance ratio. Figure 10 presents the Reynolds number calculated for each cross-section of the rotating blade under the same advance-ratio condition with the same pitch angle (=34°) as presented in Figure 9. Figure 10 presents the Reynolds number calculated for each cross-section of the rotating blade under the same advance-ratio conditions with the same pitch angle (=34 degrees), as presented in Figure 9. The blade operated in the area for the full-scale propeller and for the model-scale propeller in the 0.75 R section position. The model scale propeller operated in the laminar-boundary-layer region, and the full-scale propeller operated in the turbulence-boundary-layer region.
Figure 10.
Comparison of the Reynolds number as a function of advancing ratio for full scale and model scale with respect to blade-span direction.
The aerodynamic performance of the airfoil was investigated separately by XFOIL [34]. Figure 11 presents the results obtained from comparing the lift and drag coefficients of NACA23012 with respect to the Reynolds number corresponding to the entire propeller operating area covering the model- and full-scale regions. As the Reynolds number increased, the stall angle of attack and the maximum lift coefficient tended to increase. This trend was not specific to the airfoils applied in the present study, and a similar trend can be observed in general airfoils. It was confirmed that the lift coefficient increased linearly prior to the stall angle of attack, and the higher the Reynolds number, the closer the lift coefficient slope was to 2 pi according to the ideal aerodynamic characteristics of the thin airfoil theory [35]. Since the thin airfoil theory assumes an inviscid and irrotational flow, flow separation does not occur and the lift coefficient is linear. That is, the higher the Reynolds number, the more delayed the flow separation at the higher angle of reception, and the lift coefficient curve before stalling approaches the ideal fluid characteristic [36]. In the lift coefficient curve, stalling occurred due to the flow separation when had an angle of attack of approximately 7°, and had an angle of attack of approximately 13°. From the comparison of the aerodynamic performance of the two-dimensional airfoil by the Reynolds number, the stall-delay performance can be inferred at an angle of attack greater than 6° in the full-scale blade compared to the model scale.
Figure 11.
Lift and drag characteristics of the NACA23012 airfoil at variable Reynolds numbers.
3.2. Aerodynamic Performance of the Propeller
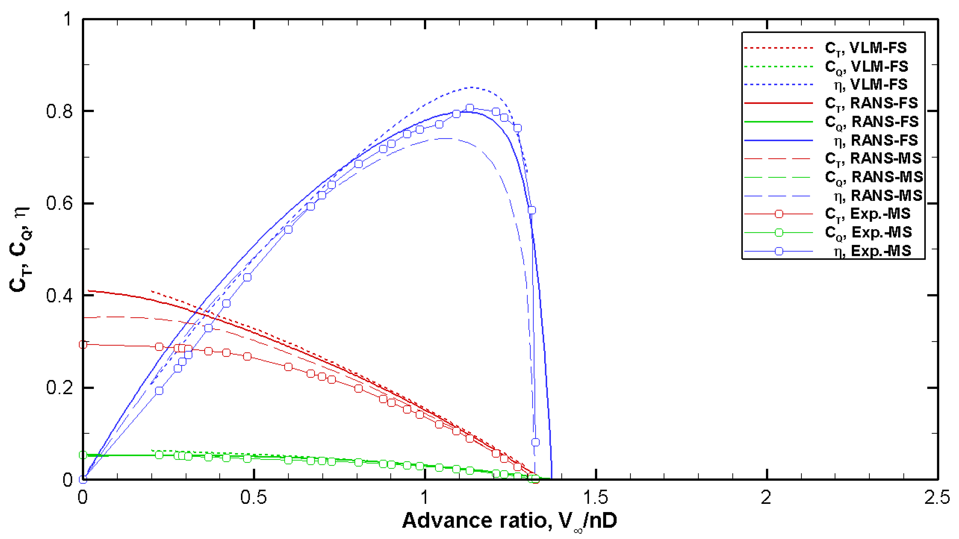
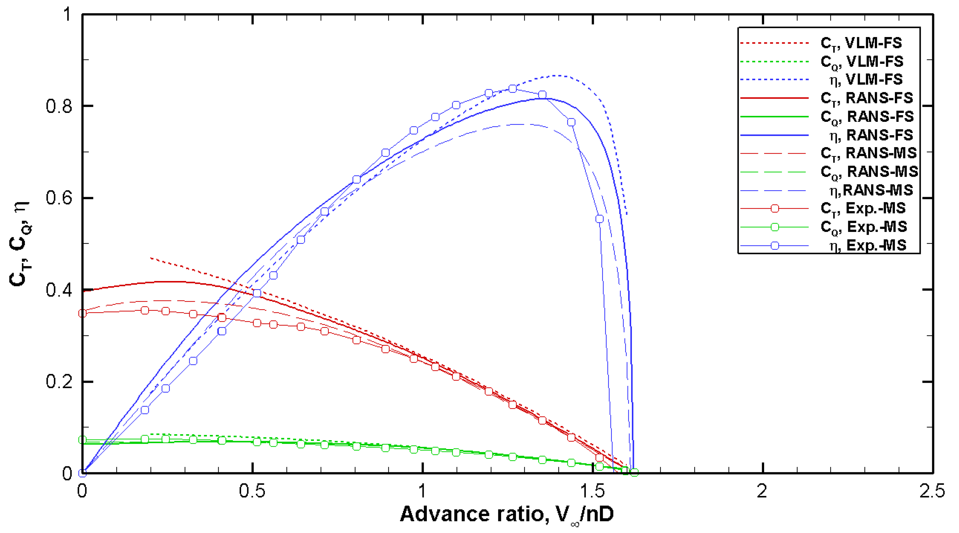
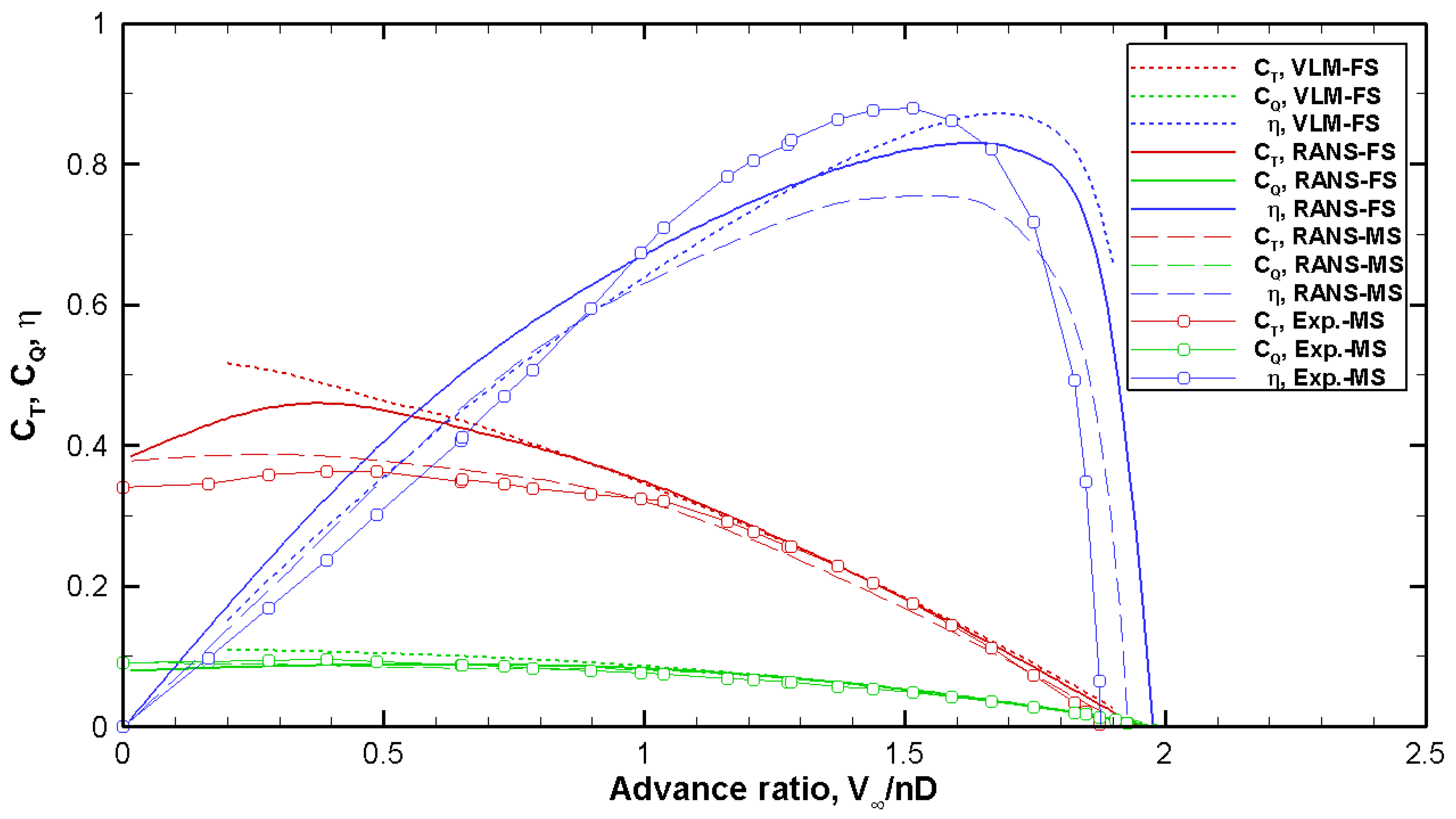
The propeller’s aerodynamic performance can be compared through nondimensional curves. In the nondimensional performance, the thrust coefficient, torque coefficient, and efficiency are the main factors that are considered, and it corresponds to the advance ratio of the propeller. Figure 12, Figure 13 and Figure 14 present the propeller performance curves for the representative pitch angles of 29° to 39°, respectively. Additionally, each curve presents the comparison results obtained for the VLM, RANS, and wind tunnel experiments. As the pitch angle increased, the thrust coefficient, torque coefficient, and efficiency curves tended to shift in the direction of a higher advance ratio, which was the same trend observed for the performance change of general variable-pitch propellers. When the propeller was in operation, an important advance ratio allowed for its maximized efficiency. In the case of a variable pitch, the propeller was designed to match the high-efficiency section, according to the flight speed of the aircraft. Each comparison method presented an error of up to 4% in the thrust coefficient in the maximum-efficiency section, and it was confirmed that the propeller performance curves were matched according to the forward ratio. The performance curve derived from the experiment was used as the basis for the validity of the numerical calculation. In the experimental data, measurement errors may occur due to the precision of the experimental apparatus and the accuracy of flow measurement. Since the main characteristics of the performance curves measured in the experiment were sufficient to explain the numerical calculation results, the discussion on the analysis of errors that may occur in the experiment itself is not dealt with separately. In particular, the efficiency curve is sensitively affected by the measurement error between thrust and torque, and a separate analysis is required for a high level of measurement accuracy.
Figure 12.
Propeller-performance curve for pitch angle = 29°.
Figure 13.
Propeller-performance curve for pitch angle = 34°.
Figure 14.
Propeller-performance curve for pitch angle = 39°.
Since the VLM was based on the ideal fluid assumption, the same performance was calculated regardless of the scale, and the performance curve was presented at full scale. In the RANS simulation, there was a performance difference between the full and model scales. In the performance curve, the numerical calculation presented a good agreement, regardless of the scale in the maximum-efficiency section. However, the difference in the thrust coefficient increased as it progressed to a lower advancing ratio in the maximum-efficiency advancing-ratio section. The results of the VLM present the thrust coefficient and efficiency performance at the upper boundary, and the thrust coefficient and efficiency decrease in the order of the RANS model scale after RANS full scale. The thrust coefficient curve of the model-scale wind tunnel experiment presented the best agreement with the RANS-MS. In the maximum efficiency section, the performance curve was also the best fit and the error tended to occur in the low forward-ratio section. However, compared to the VLM or RANS-FS (full scale), RANS-MS (model scale) presented a prediction performance closest to the experimental results. The efficiency curve also presented a trend of decreasing maximum efficiency in the same order as the thrust coefficients of the VLM, RANS-FS, and RANS-MS, but presented a difference of 10% at the maximum efficiency point for the RANS calculations and experiments performed on the same scale. The same results were confirmed for all pitch angles in the three conditions. The tendency of the propeller performance curve to change according to the Reynolds number presented similar results to the wind tunnel test for a small-sized propeller, as presented by Deters et al. [24].
As the advance ratio decreased, the differences in the thrust coefficients of the VLM, RANS-FS, and RANS-MS gradually increased. This was due to the stall of the blade, which could be inferred from the estimation of the angle of attack presented in Figure 9 and the lift coefficient curve of the two-dimensional airfoil presented in Figure 11. In the lift coefficient curve of the two-dimensional airfoil, the higher the Reynolds number, the higher the stall angle of attack, and the higher the lift coefficient that could be reached. At low advance ratios, the flow velocity decreased and the effective angle of attack for the blade increased, resulting in stall-induced thrust-performance degradation. In the case of the largest pitch angle of 39 degrees, the propeller thrust was considerably reduced due to the deep stall occurring at a high angle of attack under J = 0.4 in the full-scale propeller and J = 1.0 in the model-scale propeller. The propeller design should avoid stalling and achieve maximum efficiency at the target advance ratio. In the numerical comparisons, the VLM can represent the performance of an ideal fluid state in a three-dimensional propeller model, such as the lift coefficient gradient, , of an ideal fluid state in a two-dimensional airfoil. In the performance curves of the model-scale propeller operating at and the full-scale propeller operating at , the higher the Reynolds number, the closer the VLM prediction results.
3.3. Comparisons of the Pressure Distribution on the Blade
The surface pressure distribution on the blade was compared for the full and model scales of the propeller. The surface pressure distribution was calculated using the MRF method, time averaged, and derived from the data of the performance curve presented in Figure 13. Figure 15, Figure 16 and Figure 17 present the pressure distributions on the suction side of the blade at J = 0.32, 1.20, and 1.52 based on the maximum efficiency section of the propeller when the pitch angle of the blade is 34 degrees. The pressure distributions were compared by the calculated pressure coefficients based on each freestream velocity. Among the three advance-ratio comparisons, the pressure-distribution difference was the greatest at the lowest J = 0.32. In relation to the two-dimensional relative angle of attack presented in Figure 9, a deep-stall region greater than 30° is presented. Since the area where the pressure coefficient was less than −9 in the chord direction occupied half of the full-scale propeller, but also occupied most of the area in the model-scale propeller, the lift loss was greater in the model scale with a low Reynolds number and related to the reduction in the thrust of the propeller. In this condition, the thrust coefficient was 0.415 in the RANS-FS and 0.374 in the RANS-MS, indicating that the thrust reduction due to stall was considerable for the model-scale propeller. Although the difference in the behavior of the three-dimensional fluid with respect to the Reynolds number was not presented in the current study, the flow-separation delay and higher maximum lift according to the high Reynolds number presented in Figure 11 could be confirmed as the basis for the thrust-reduction phenomenon due to the stall angle of attack in the blade. At J = 1.20, which was close to the maximum efficiency value, an almost similar pressure distribution could be confirmed regardless of the scale. It was confirmed that the performance of the propeller may be the same in the attached state. The rapid decrease in efficiency after passing the maximum efficiency test is a process in which the pitch angle of the blade gradually progresses to a negative angle of attack due to the high-speed inflow. At J = 1.52, it presented a greater pressure distribution as it progressed to a negative angle of attack, and the full- and model-scale propellers still presented the same pressure-distribution values. Since the propeller has no function following the advance ratio to generate a reverse thrust, it was not addressed in the present study.
Figure 15.
Comparison of the blade surface pressure distribution (suction side) at J = 0.32; pitch angle = 34°.
Figure 16.
Comparison of the blade surface pressure distribution (suction side) at J = 1.20; pitch angle = 34°.
Figure 17.
Comparison of the blade surface pressure distribution (suction side) at J = 1.52; pitch angle = 34°.
Figure 18 shows the flow field characteristics according to the scale difference, that is, the Reynolds number in the flow around the 3D blade. The speed ratio in the span direction to the free flow speed is shown for the forward ratio, J = 0.32, 1,2, 1,52 based on the point 0.75 R in the longitudinal direction of the blade. The spanwise velocity, expressed as a ratio of the freestream velocity, is equal to the velocity component tangential to the direction of blade rotation. That is, in terms of the airfoil section of the blade, it is related to the vorticity. At J = 1.20 and 1.52, field was almost the same as the surface pressure comparison of the suction side. At J = 0.32, the blade is already at the stall angle of attack, but the field showed a different pattern. Compared with the full-scale model, stronger tangential velocity distribution was observed in the direction of the blade tip near the rear end of the suction side and in the direction of the blade root near the tip. It is observed as a major factor that can characterize the flow difference around the propeller operating in the high and low Reynolds number. A strong tangential velocity component can be estimated as strong vorticity, and it can be inferred that a strong turbulent flow is being formed. Additionally, since strong vorticity induces lower pressure drop, lower Reynolds number as shown in Figure 15 leads to lower pressure distribution on the suction side of the blade, which is associated with contributing to a large reduction in thrust performance at the propeller.
Figure 18.
Flow field for spanwise velocity ratio, at r/R = 0.75.
3.4. Validation Using the VLM and RANS Simulations
The observation of the wake structure in the aerodynamic performance analysis of propellers is one of the most important verification factors. In this section, the wake structures of VLM and RANS simulations are compared. In particular, the purpose of this investigation was to show that the difference in the aerodynamic performance of the propellers at a low advance ratio was not due to the wrong calculation of the wake structure. The VLM derived a wake grid reflecting the wake roll up through iterative calculations that satisfied the boundary value problem. Since the wake structure directly affects the propulsion performance of the propeller, it must match the actual flow phenomenon. The wake grid of the VLM represents the traces of vortexes separated from the trailing edge by the Kutta condition. The wake behavior can be visually expressed through the vorticity calculated in the fluid space from the RANS calculation. From the vorticity magnitude calculated in the flow field, the behavior of the tip vortex generated at the blade tip can be visualized. The wake structure by the RANS calculation was expressed from the flow field derived through the sliding mesh method. Here, the results for the low-advance-ratio J = 0.34 at a typical pitch angle of 34 degrees and the advance ratio J = 1.20 in the highest efficiency were compared. Table 2. is a comparison of propeller performance by MRF and sliding mesh method. From the freestream condition, the average propulsion performance in the steady and unsteady calculations was confirmed with the same performance result with an error of less than 0.5%. Therefore, it was confirmed that the results of the sliding mesh method are compatible with MRF.
Table 2.
The specifications of the target propeller.
Figure 19 and Figure 20 show the wake for the advance ratio of 0.32 and 1.20 at the pitch angle of 34 degrees. The lower the advance ratio, the shorter the complete helical path of the tip vortex because of the greater instability of the wake vortex due to increased
Figure 19.
Propeller wake with an iso-surface of vorticity magnitude calculated by the RANS simulations, and wake panel calculated by the VLM at variable pitch angle = 34° and advanced ratio = 0.32.
Figure 20.
Propeller wake with an iso-surface of vorticity magnitude calculated by the RANS simulations, and wake panel calculated by the VLM at variable pitch angle = 34° and advanced ratio = 1.20.
Blade loading. Tip vortex instability was observed after 1 revolution due to operation at a very low pitch compared to the geometric pitch of the blade. At this time, in the wake comparison of VLM and RANS, it was confirmed that the blade tip vortex path overlapped well up to 1 rotation. Compared to J = 0.32, it was observed that the helical path of the tip vortex was well maintained at J = 1.20, which is a high advance ratio compared to J = 0.32, and it was confirmed that the wake structures of VLM and RANS were well matched (Figure 20). From the wake structure comparison, it was shown that the calculation of the flow field by the operation of the propeller was consistent.
4. Conclusions
In the current study, the propeller scale effect and prediction method were presented. The aerodynamic performance change according to the scale difference of the propeller was analyzed in the aerodynamic characteristics based on the Reynolds number. The scale effect was compared between the wind tunnel test model and the real model. In order to observe the aerodynamic phenomenon based on the differences in the Reynolds numbers, numerical calculations based on the VLM and RANS were performed. The numerical calculation methods presented in the study confirmed an accuracy below a 4% error in the thrust coefficient compared to the wind tunnel test results at the design point. From the VLM, which is a propeller-performance-calculation method based on the potential flow, which is based on non-viscous, non-rotational assumptions, it was possible to confirm the performance of the propeller in an ideal fluid that was not affected by stalls and to predict the propeller’s performance independent of the Reynolds number. From the RANS simulations, the propeller-performance change with respect to the Reynolds-number change was estimated. From the comparison of the blade surface pressure distribution, it was confirmed that the flow separation occurring on the blade’s surface in the low-advance-ratio section reduced the thrust and efficiency performances. The operation at a low Reynolds number reduced the maximum efficiency performance of the propeller compared to the ideal fluid condition, and presented the effect of slightly decreasing the position of the advance ratio generating maximum efficiency. The VLM can be used as the maximum boundary index of the propeller’s performance from the perspective of ideal fluid, and can thus be a method used for estimating the expected performance by boundary-layer-control methods. The RANS simulation was able to calculate the differences in performance due to scale and presented a predictive performance similar to that of the wind tunnel experiments. Although the experimental results obtained for the full-scale propeller should be dealt with in future studies, a method for estimating the performance according to the scale of the propeller was presented in the present study.
Author Contributions
Conceptualization, Y.-J.G. and J.-S.C.; methodology, Y.-J.G. and J.R.; software, Y.-J.G. and J.-H.B.; validation, Y.-J.G., J.-H.B., J.R. and J.-S.C.; formal analysis, Y.-J.G. and J.-S.C.; investigation, Y.-J.G. and J.R.; resources, J.-H.B. and J.-S.C.; data curation, Y.-J.G. and J.R.; writing—original draft preparation, Y.-J.G.; writing—review and editing, Y.-J.G., J.-H.B., J.R., J.-S.C. and C.-R.L.; visualization, Y.-J.G.; supervision, J.-S.C.; project administration, J.-S.C. and C.-R.L.; funding acquisition, J.-S.C. All authors have read and agreed to the published version of the manuscript.
Funding
This research was funded by the Agency for Defense Development; grant number UG180096JD.
Institutional Review Board Statement
Not applicable.
Informed Consent Statement
Not applicable.
Data Availability Statement
Not applicable.
Conflicts of Interest
The authors declare no conflict of interest.
Abbreviations
The following nomenclature is used in this manuscript:
| CFD | Computational fluid dynamics |
| FS | Full scale |
| MRF | Moving reference frame |
| MS | Model scale |
| RANS | Reynolds–Averaged Navier–Stokes |
| Re | Reynolds number |
| rpm | Revolutions per minute |
| VLM | Vortex lattice method |
Nomenclature
The following nomenclature is used in this manuscript:
| Slope of the linear section of the lift coefficient (-) | |
| Thrust coefficient of propeller (-) | |
| The torque coefficient of propeller (-) | |
| Drag (N) | |
| FQ | Force by torque (N) |
| η | The efficiency of propeller (-) |
| J | Advance ratio, (-) |
| L | Lift (N) |
| The rotational velocity (rad/s) | |
| R | Propeller radius (m) |
| r | Local radius (m) |
| T | Thrust (N) |
| Freestream velocity (m/s) | |
| y+ | Dimensionless wall distance (-) |
References
- Bauranov, A.; Rakas, J. Designing airspace for urban air mobility: A review of concepts and approaches. Prog. Aerosp. Sci. 2021, 125, 100726. [Google Scholar] [CrossRef]
- Brelje, B.J.; Martins, J.R.R.A. Electric, hybrid, and turboelectric fixed-wing aircraft: A review of concepts, models, and design approaches. Prog. Aerosp. Sci. 2019, 104, 1–19. [Google Scholar] [CrossRef]
- Gohardani, A.S.; Doulgeris, G.; Singh, R. Challenges of future aircraft propulsion: A review of distributed propulsion technology and its potential application for the all electric commercial aircraft. Prog. Aerosp. Sci. 2011, 47, 369–391. [Google Scholar] [CrossRef]
- He, C.; Jia, Y.; Ma, D. Optimization and Analysis of Hybrid Electric System for Distributed Propulsion Tilt-Wing UAV. IEEE Access 2020, 8, 224654–224667. [Google Scholar] [CrossRef]
- Rizzi, S.A.; Huff, D.L.; Boyd, D.D.; Bent, P.; Henderson, B.S.; Pascioni, K.A.; Sargent, D.C.; Josephson, D.L.; Marsan, M.; He, H.B.; et al. Urban Air Mobility Noise: Current Practice, Gaps, and Recommendations; NASA Langley Research Center: Hampton, VA, USA, 2020. [Google Scholar]
- Cole, J.A.; Maughmer, M.D.; Kinzel, M.; Bramesfeld, G. Higher-Order Free-Wake Method for Propeller–Wing Systems. J. Aircr. 2019, 56, 150–165. [Google Scholar] [CrossRef]
- Erhard, R.M.; Clarke, M.A.; Alonso, J.J. A Low-Cost Aero-Propulsive Analysis of Distributed Electric Propulsion Aircraft. In Proceedings of the AIAA Scitech 2021 Forum, Virtual Event, 11–15 and 19–21 January 2021. [Google Scholar]
- Clarke, M.A.; Erhard, R.M.; Smart, J.T.; Alonso, J. Aerodynamic Optimization of Wing-Mounted Propeller Configurations for Distributed Electric Propulsion Architectures. In Proceedings of the AIAA Aviation 2021 Forum, Virtual Event, 2–6 August 2021. [Google Scholar]
- Loureiro, E.V.; Oliveira, N.L.; Hallak, P.H.; Bastos, F.S.; Rocha, L.M.; Delmonte, R.G.P.; Lemonge, A.C.C. Evaluation of low fidelity and CFD methods for the aerodynamic performance of a small propeller. Aerosp. Sci. Technol. 2021, 108, 106402. [Google Scholar] [CrossRef]
- Bergmann, O.; Götten, F.; Braun, C.; Janser, F. Comparison and evaluation of blade element methods against RANS simulations and test data. CEAS Aeronaut. J. 2022, 13, 535–557. [Google Scholar] [CrossRef]
- Stokkermans, T.C.A.; van Arnhem, N.; Sinnige, T.; Veldhuis, L.L.M. Validation and Comparison of RANS Propeller Modeling Methods for Tip-Mounted Applications. AIAA J. 2019, 57, 566–580. [Google Scholar] [CrossRef]
- Aref, P.; Ghoreyshi, M.; Jirasek, A.; Satchell, M.J.; Bergeron, K. Computational Study of Propeller–Wing Aerodynamic Interaction. Aerospace 2018, 5, 79. [Google Scholar] [CrossRef]
- Bauer, M.; Wulff, D.; Friedrichs, J. Bürgernahes flugzeug: Testing technology for the high power propeller of a wind tunnel model. CEAS Aeronaut. J. 2016, 7, 225–239. [Google Scholar] [CrossRef]
- Czyż, Z.; Karpiński, P.; Skiba, K.; Wendeker, M. Wind Tunnel Performance Tests of the Propellers with Different Pitch for the Electric Propulsion System. Sensors 2021, 22, 2. [Google Scholar] [CrossRef]
- Arnhem, N.V.; Vries, R.; Sinnige, T.; Vos, R.; Eitelberg, G.; Veldhuis, L.L. Engineering Method to Estimate the Blade Loading of Propellers in Nonuniform Flow. AIAA J. 2020, 58, 5332–5346. [Google Scholar] [CrossRef]
- Li, Q.; Öztürk, K.; Sinnige, T.; Ragni, D.; Eitelberg, G.; Veldhuis, L.L.; Wang, Y. Design and Experimental Validation of Swirl-Recovery Vanes for Propeller Propulsion Systems. AIAA J. 2018, 56, 4719–4729. [Google Scholar] [CrossRef]
- Arnhem, N.v.; Vos, R.; Veldhuis, L.L. Aerodynamic Loads on an Aft-Mounted Propeller Induced by the Wing Wake. In Proceedings of the AIAA Scitech 2019 Forum, San Diego, CA, USA, 7–11 January 2019. [Google Scholar]
- Zanotti, A.; Algarotti, D. Aerodynamic interaction between tandem overlapping propellers in eVTOL airplane mode flight condition. Aerosp. Sci. Technol. 2022, 124, 107518. [Google Scholar] [CrossRef]
- Lenfers, C.; Janssen, R.F.; Beck, N.; Friedrichs, J.; Rezaeian, A. Experimental Investigation of the Propeller Design for future QUESTOL Aircraft in the BNF Project. In Proceedings of the 52nd Aerospace Sciences Meeting, National Harbor, MD, USA, 13–17 January 2014. [Google Scholar]
- Heinzen, S.B.; Hall, C.E., Jr.; Gopalarathnam, A. Development and Testing of a Passive Variable-Pitch Propeller. J. Aircr. 2015, 52, 748–763. [Google Scholar] [CrossRef]
- McCrink, M.H.; Gregory, J.W. Blade Element Momentum Modeling of Low-Reynolds Electric Propulsion Systems. J. Aircr. 2017, 54, 163–176. [Google Scholar] [CrossRef]
- Ol, M.; Zeune, C.; Logan, M. Analytical/Experimental Comparison for Small Electric Unmanned Air Vehicle Propellers. In Proceedings of the 26th AIAA Applied Aerodynamics Conference, Honolulu, HI, USA, 18–21 August 2008. [Google Scholar]
- García-Gutiérrez, A.; Gonzalo, J.; Domínguez, D.; López, D.; Escapa, A. Aerodynamic optimization of propellers for High Altitude Pseudo-Satellites. Aerosp. Sci. Technol. 2020, 96, 105562. [Google Scholar] [CrossRef]
- Deters, R.W.; Ananda Krishnan, G.K.; Selig, M.S. Reynolds Number Effects on the Performance of Small-Scale Propellers. In Proceedings of the 32nd AIAA Applied Aerodynamics Conference, Atlanta, GA, USA, 6–20 June 2014. [Google Scholar]
- Sun, S.; Wang, C.; Guo, C.; Zhang, Y.; Sun, C.; Liu, P. Numerical study of scale effect on the wake dynamics of a propeller. Ocean. Eng. 2020, 196, 106810. [Google Scholar] [CrossRef]
- Choi, J.-K.; Park, H.-G.; Kim, H.-T. A numerical study of scale effects on performance of a tractor type podded propeller. Int. J. Nav. Archit. Ocean Eng. 2014, 6, 380–391. [Google Scholar] [CrossRef]
- Kim, D.-H.; Chang, J.-W. Low-Reynolds-number effect on the aerodynamic characteristics of a pitching NACA0012 airfoil. Aerosp. Sci. Technol. 2014, 32, 162–168. [Google Scholar] [CrossRef]
- Wang, S.; Zhou, Y.; Alam, M.M.; Yang, H. Turbulent intensity and Reynolds number effects on an airfoil at low Reynolds numbers. Phys. Fluids 2014, 26, 115107. [Google Scholar] [CrossRef]
- Winslow, J.; Otsuka, H.; Govindarajan, B.; Chopra, I. Basic Understanding of Airfoil Characteristics at Low Reynolds Numbers. J. Aircr. 2018, 55, 1050–1061. [Google Scholar] [CrossRef]
- Selig, M.S.; McGranahan, B.D. Wind Tunnel Aerodynamic Tests of Six Airfoils for Use on Small Wind Turbines. ASME J. Sol. Energy Eng. 2004, 126, 986–1001. [Google Scholar] [CrossRef]
- Morgado, J.; Vizinho, R.; Silvestre, M.A.R.; Páscoa, J.C. XFOIL vs. CFD performance predictions for high lift low Reynolds number airfoils. Aerosp. Sci. Technol. 2016, 52, 207–214. [Google Scholar] [CrossRef]
- Kerwin, J.E.; Lee, C.S. Prediction of steady and unsteady marine propeller performance by numerical lifting surface theory. Soc. Nav. Arch. Mar. Eng. Trans. SNAME 1978, 86, 218–256. [Google Scholar]
- Lee, C.-S. Prediction of Steady and Unsteady Performance of Marine Propellers with or without Cavitation by Numerical Lifting Surface Theory. Ph.D. Thesis, M.I.T., Cambridge, MA, USA, 1979. [Google Scholar]
- Drela, M. XFOIL: An Analysis and Design System for Low Reynolds Number Airfoils, Low Reynolds Number Aerodynamics; Springer: Berlin/Heidelberg, Germany, 1989; pp. 1–12. [Google Scholar]
- Abbott, I.H.A.; Doenhoff, A.E. Theory of Wing Sections: Including a Summary of Airfoil Data; McGraw-Hill: New York, NY, USA, 1949. [Google Scholar]
- Musial, W.D.; Cromack, D.E. Influence of Reynolds Number on Performance Modeling of Horizontal Axis Wind Rotors. J. Sol. Energy Eng. 1988, 110, 139–144. [Google Scholar] [CrossRef]
- McCormick, B.W. Aerodynamics, Aeronautics, and Flight Mechanics, 2nd ed.; Wiley: New York, NY, USA, 1994. [Google Scholar]
Publisher’s Note: MDPI stays neutral with regard to jurisdictional claims in published maps and institutional affiliations. |
© 2022 by the authors. Licensee MDPI, Basel, Switzerland. This article is an open access article distributed under the terms and conditions of the Creative Commons Attribution (CC BY) license (https://creativecommons.org/licenses/by/4.0/).



















