You are currently viewing a new version of our website. To view the old version click .
Languages
  • Article
  • Open Access

29 October 2024

Phonetic Diversity vs. Sociolinguistic and Phonological Patterning of R in Québec French

and
1
Institute for Language and Communication, Louvain University, F.R.S.-FNRS, 1348 Louvain-la-Neuve, Belgium
2
ATILF, UMR 7118, Department of Language Sciences, Faculty of Human and Social Sciences, Université de Lorraine/CNRS, 54000 Nancy, France
*
Authors to whom correspondence should be addressed.
These authors contributed equally to this work.
This article belongs to the Special Issue Phonetic and Phonological Complexity in Romance Languages

Abstract

In this study, we investigate the multifaceted realizations of the /R/ consonant in Québec French (QF) by combining sociolinguistic and phonological approaches. First, from a sociophonetic point of view, we utilize a mixed-effects multinomial logistic regression model to analyze the impact of various variables on the distribution of /R/ variants. Our analysis of location, birth year and gender reveals that each variable and its interactions significantly influence the distribution of /R/ variants. We identify three distinct speaker groups based on their preferences for these variants: those favoring apical variants, those using uvular trills, and those employing neither apical nor uvular trills (mostly using fricatives and their approximantized or vocalized variants). From a phonological point of view, we show that the use of the /R/ variants among the three groups correlates with syllabic position, with weaker variants displayed in so-called “weakening” contexts, such as coda and intervocalic onset. Our results thus show that the apparent diversity of /R/ realizations in QF actually follows a pattern from both a sociolinguistic and a formal phonological point of view.

1. Introduction

The rhotic phoneme /R/1 is famous for displaying a large variety of phonetic realizations both across (; ; , among others) and within languages (see, e.g., () on Dutch, () on German, () on American English, etc.). Romance languages are not exempt from such variation. A study on Catalan () shows that the apical tap and trill are phonemically distinct intervocalically but in complementary distribution elsewhere, and differ from one another not only in number of taps (and, subsequently, in duration), but also in degree of dorsopalatal contact and F2 values and ranges. Moreover, although this distinction holds across three Catalan dialects, there are also dialect-dependent articulatory differences for each rhotic class, and the nature and extent of the differences also depend on syllabic position. Several studies on Brazilian Portuguese (; ; ; ; ) also show that the phonemes /ɾ, ʁ/ display a variety of realizations: [ɾ] and [ʁ], but also [ɻ], [ɹ], [χ], and even [x], [ɤ], [ɦ] and [h]. In Metropolitan French, /R/ is realized as a voiceless fricative [χ] or as its voiced counterpart [ʁ], sometimes also as a less constricted, voiced approximant (), and it is frequently deleted, especially in consonant-rhotic (or CR) clusters ().
All these studies show the versatility of /R/, and yet, the rhotics have also been shown to form a natural class ()—although the definition of that class is extensively debated (see () for a review)—and to behave phonotactically in a unified manner (), thus advocating for the phonological unity of rhotics. Rhotics, therefore, appear to be challenging for phoneticians and phonologists alike, as their large phonetic diversity often correlates, counter-intuitively, with phonological unity: Languages with several /R/ allophones are common, while languages with two rhotic phonemes opposing each other in all positions in the word are extremely rare ().
One language perfectly demonstrating this double behavior of /R/ is Québec French (henceforth QF). As will be shown in the next section (Section 2), 20th century QF has indeed been shown to display no less than nine pronunciation variants. However, past literature, both in sociophonetics (developed in Section 2.2) and diachronic accounts of Romance phonology (developed in Section 2.3), have led us to posit that this large array of variation is not in free distribution but rather driven by both sociolinguistic and phonological parameters.
The present paper has two goals. First, we aim to describe the distribution of /R/ variants in a Romance language that shows great variation in this regard and yet seems to have been less studied than others. Second, we aim to show that this apparent complexity in phonetic realizations is actually doubly coherent—both from a sociolinguistic and from a formal diachronic point of view. To that extent, we observe the data from the PFC corpus, as described in Section 4. We then present a detailed picture of the sociophonetic distribution of /R/ across the location of the speakers, age, and gender in Section 5.1 and Section 5.2, and of the phonological patterns that can be established from taking syllabic constituency into account in Section 5.3. We finally conclude and discuss the results in Section 6.

2. Background

2.1. Québec French

QF is the main variety of French spoken in North America. In Canada, most of the native speakers of French are indeed found in the province of Québec (eastern part of Canada on the map in Figure 1), which represents 23.2% of Canada’s population. Among them, 79%, i.e., 6,377,085 out of 8,066,560 inhabitants, are identified as native speakers of French in the last survey published by the “Institut de la statistique du Québec” about Francophonie ().2
Figure 1. Simplified map of North America (from the Canada Maps website3 showing Canada and its political provinces, with Québec in light orange in the eastern part of the country.
According to a demographic study conducted by Laval University (), in the last decade, 97% of the population of Québec was concentrated in 20% of the territory, out of which 80% are in the cities of Sept-Îles and Montréal (in the West zone of the map from Figure 2). However, historically, the population was mainly distributed along the shores of the Saint-Laurent river, which has led to the terminology Eastern vs. Western Québec French or Eastern vs. Western Laurentian French in sociolinguistic studies (see (), for instance). The third main group of French speakers is that of Acadian speakers, who live in the far east of Québec (at the border with New Brunswick) and are considered belonging to a different regiolect (see (), among others). The distribution of these dialects can be seen on the map in Figure 2.
Figure 2. Simplified map of Québec dividing the province into the Laurentian vs. Acadian regions and the East vs. the West of Laurentia.
As stated above, QF perfectly demonstrates how /R/ can display an unstable behavior even within one and the same language. Previous works on French spoken all over Québec describe the realization of QF /R/ as either apical or dorsal, both co-occurring as allophones (; ; , ). The articulation mode is also reported to vary (fricatives, trills, approximants, etc.) resulting in up to nine variants of /R/ in QF (including deletion) (), ranging from an apical tap [ɾ] or trill [ɼ] and a uvular trill [ʀ] to a voiceless fricative [χ] and its voiced counterpart [ʁ], to an approximant-like [ɹ] and a vocalized variant [ɚ], and even an occasional retroflex [ɻ]. Our claim is that these variants are not randomly distributed, but that their distribution can be motivated by extralinguistic (or social) factors (see Section 2.2) as well as phonological factors (see Section 2.3).

2.2. Extralinguistic Factors of Phonetic Variation

By extralinguistic factors, we refer to the social characteristics of the speakers that may influence their pronunciation. Since Labov’s early work in Martha’s Vineyard (), it has been widely acknowledged that factors such as place of residence (; ; ; , ; ), date of birth or age (; ; ), gender (; ; ; ; ) or social class (; ) have a significant impact on phonetic variation.4
/R/ is not exempt from such extralinguistically driven variation. Recent sociophonetic studies on the articulation of Glasgow English rhotics show that post-vocalic /R/ tends to be realized more weakly in working class speech, and even more so in male working class speech, thereby demonstrating an effect of both gender and social class (; ). () also demonstrate the importance of /R/ pronunciation in the perceptual identification of Scottish English. These studies highlight the interaction between gender, social class, and regional/dialectal origin on the realization of /R/.
Most analyses on French rhotics, however, are either accounts of the historical changes from the 17th century onwards, or work on regional variations in the place of articulation of /R/. In France, the apico-alveolar /R/ was indeed dropped in the mid-17th century and replaced by the dorso-velar rhotic adopted by high society in Paris (; ; ). This pronunciation shift began with the aristocracy and, within a century, the uvular fricative /R/ gained popularity among speakers from Paris and was adopted as the norm in standard Parisian French. The historical evolution of French rhotics is thus also embedded in sociophonetic variation. Additionally, works by () and () investigate the dialectal variation of French rhotics, with insights on Southern France, French-speaking African countries, and Québec (Canada). Their findings mostly rely on the observation of the different regions: French speakers from Southwestern France typically use voiceless fricatives, speakers from French-speaking Africa an apical tap (; ) and Montréal QF speakers, known for their apical and uvular trills, heading towards frication or even vocalization in coda position (; ; ; ). More recently, studies on France () and Belgium French () confirm the results of past impressionistic studies by showing differences in the aerodynamic properties of /R/ variants.
Regarding French spoken in Québec specifically, studies point to a social stratification in the use of apical /R/ () and indicate changes in progress led by the working class. As summarized by (), the use of these variants varies across speakers depending on their region (the apical variants [ɾ, r] being a marker of Western QF, and uvular fricatives [ʁ, χ] of Eastern QF), and also their age (younger speakers displaying close to no apical variants), thus making /R/ a sociolinguistic marker evolving over time (tending towards the disappearance of the apical variant).

2.3. Phonological Factors of Phonetic Variation

Nowadays, in Montréal, speakers are heading in the direction of frication, thus progressively losing their apical and uvular trills and demonstrating rhotic vocalization in coda position (; ; ; ). Studies have also shed light on the importance of the phonological context (; , ), as the sociophonetic changes in the realization of /R/ mentioned in Section 2.2 only emerge in the post-vocalic position. This also echoes the fact that, in Metropolitan French as well, /R/ can be realized as an approximantized rhotic in coda position ().
This is not a surprising observation as post-vocalic—i.e., coda—positions have been shown to be leniting positions, particularly in Romance languages (). Typically, in the evolution from Latin into French, for instance, consonants at the beginning of a syllable, i.e., pre-vocalic (or onset) consonants, have been maintained, as in (1), while consonants at the end of a syllable, i.e., post-vocalic (or coda) consonants, have undergone weakening, sometimes to the point of utter deletion, as in (2). This weakening phenomenon is what is commonly referred to as “lenition”, and a “lenited” variant refers to a pronunciation variant that can be found on the historical path from the preceding pronunciation variant to deletion.
Lat . / p / Fr . / p / : # _ V   =   Lat .   p orta     Fr .   p orte    door
Lat . / p / Fr . / / : V _ C   =   Lat.   ru p ta     Fr.   route    road
In sum, diachronically, change will be visible first in coda positions, and sometimes extend to onset positions only later. This brings us to hypothesize that, at a given time, the distribution of pronunciation variants such as that of /R/ in QF will not be equal among onsets and codas.

3. Hypotheses and Predictions

Given the literature exposed in Section 2.2 and Section 2.3, we posit several hypotheses.
First, regarding extralinguistic factors, we posit that geographical location, age and gender5 influence the choice of the pronunciation variant.
Regarding the influence of the location of residence, given that Western QF displays a preference for apical pronunciations and Eastern QF for uvular ones (), we hypothesize that the region where speakers have resided most of their lives will impact their realizations of the rhotic.
Regarding age, since we suggest that weaker variants such as fricativized, approximantized, or vocalized /R/, follow the patterns found in the diachronic evolution of Romance languages, it naturally ensues that older speakers would favor conservative pronunciations of French /R/ such as taps or trills, while younger speakers would be more likely to use lenited variants such as fricatives, approximantized or vocalized rhotics.
Regarding the effect of gender, two competing hypotheses are possible: According to the gender paradox (), either the change is still in its early stages and variation still largely unconscious, and women would be prone to display more innovative (in our case, lenited) variants, or the change is already ongoing, and women would be more conservative. Given that the birth dates observed in this paper range from the 1920s to the 1990s, it is hypothesized that older women, who acquired French when /R/ had not yet shifted in pronunciation, would realize more lenited variants than their male counterparts, while younger women, who learned French at a time when speakers may have been more aware of the variation in /R/ realizations, would be inclined to produce less lenited variants than their male counterparts.
Then, regarding the linguistic factors, we follow () and predict that the phonological context of /R/, i.e., its position with regard to syllabic constituency, will affect the rates of each /R/ variant. In particular, we hypothesize that so-called weak positions, i.e., in word-internal or word-final coda positions, would display more lenited variants of /R/, such as approximantized, vocalized or deleted variants, while strong positions, such as word-initial and word-internal onsets, would display less lenited variants.

4. Materials and Methods

4.1. Corpus

Our data stem from the PFC corpus as it was in 2019. PFC stands for Phonologie du Français Contemporain ()—in English: “phonology of contemporary French”—, a research program consisting of a data collection protocol specifically designed to bring out commonly discussed variation patterns in French phonology. This protocol has been used by professionals to gather uniform and comparable data from numerous varieties of French around the globe (see, for instance, ()). For each speaker, the city of residence, age and gender are annotated. The protocol comprises, for each speaker, a free discussion, a guided interview, the reading of a text and the reading of two word lists6.
For the present study, we use a subset of the PFC-Québec corpus (), i.e., the data gathered in Québec between 2000 and 2015. The original corpus covered 32 locations. However, we rule out the data from incomplete list readings or from illiterate speakers to ensure that phonetic variation is not due to hesitation. Thus, only 29 locations are taken into account for this paper. Among them, 13 are Western Laurentian, 13 Eastern Laurentian, and 3 Acadian, as can be seen on the map in Figure 3.
Figure 3. Map of Québec indicating the 29 locations included in the corpus. In orange are the 26 Laurentian locations and in green are the 3 Acadian locations.
We also rule out the data from a few so-called “categorical” speakers, who displayed 100% or close to 100%7 of one of the /R/ variants in order to observe intra- as well as inter-speaker variation. The total number of speakers is thus 396, among which 206 are women and 190 are men8, born between 1921 and 1999, with a mean birth year of 1966 (sd = 20). The protocol states that for each location, two young speakers (between 15 and 30 years old), two middle-aged speakers (between 30 and 60 years old) and two elderly speakers (more than 60 and up to 85–90 years old) should be recorded, so the ages were fairly distributed in all locations.
Table 1 displays a thorough presentation of our speakers.
Table 1. Summary of the distribution of speakers as a function of gender, birth year and geographical location (Zone).
For this analysis, we focused on the list readings, with both lists amounting to a total of 304 items per speaker. The total count of test items thus amounted to 120,384 words.

4.2. Coding

Among the 120,384 tokens from the word lists in PFC-Québec, 58,083 occurrences of /R/ could be found. They were manually coded by a trained phonetician9 with the intended purpose to differentiate the 9 variants of /R/ displayed by QF speakers. The segmentation and coding of each /R/ token was decided based on the auditory identification of the recordings and the visual observation of the spectrograms and oscillograms generated by Praat (). Our method is thus the same as the one used by (), which proved to be relevant and efficient for French.
The choice of the variant10 was made according to both the perception of the annotator and a set of acoustic and visual features:
  • Apical tap [ɾ] or trill [ɼ]11: Perceived as apical + 1 to 3 flappings in the spectrogram.
  • Uvular trill [ʀ]: Perceived as uvular + 2 to 3 flappings in the spectrogram.
  • Voiceless fricative [χ]: Friction noise and no F0 or voicing bar in the spectrogram.
  • Voiced fricative [ʁ]: Friction noise in the spectrogram and F0 detected + voicing bar.
  • Retroflex [ɻ]: Perceived as a retroflex + formants in the spectrogram.
  • Approximant variant [ɹ]: Perceived as glide-like, formants in the spectrogram.
  • Vocalized variant [ɚ]: Perceived as schwa-like, very stable formants in the spectrogram.
  • Deleted: No visible trace of a phone in the spectrogram.
Figure 4 summarizes the resulting count of tokens per /R/ types.
Figure 4. Counts and rates of all /R/ tokens per type of variant registered in the corpus. The vertical axis gives the count in absolute units, the % above each bar gives its proportion in the whole corpus.
For the purpose of our analysis, the phonological contexts in which each phone appears is also automatically coded. One of the 6 contexts listed below (by order of positional strength ()) is attributed to each token depending on its position in the word:
  • Word-initial onset: #_V (e.g., rouge /Ruʒ/, “red”);
  • Part of an onset CR-cluster: C_V (e.g., bras /bRɒ/, “arm”);
  • Intervocalic onset12: V_V (e.g., bureau /byRo/, “office”);
  • Word-internal coda: V_C (e.g., verdit /vɛRdi/, “turns green”);
  • Word-final coda: V_# (e.g., dur /dyR/, “hard”);
  • Part of a coda CR-cluster: C_# (e.g., quatre /katR/, “four”).
Table 2 provides an overview of lexical items corresponding to each syllabic position. The list of words containing /R/ in our data can be found in the Appendix A.
Table 2. Words containing /R/ in the PFC lists ordered as a function of syllabic position of /R/ and number of syllables in the word.

4.3. Data

Since the retroflex variant appears in only 21 tokens in a reduced number of word-forms13, we exclude it from the analyses. Moreover, since word-final clusters are almost exclusively /tR/ clusters, and since /TR/14 clusters famously give rise to /R/ deletion in French (, for instance), thus biasing the results towards simplified clusters15, they are not included in the final data set either. Finally, the subset used in this study consists of 55,672 /R/ tokens.
The remaining variants are grouped into 4 categories according to strength of /R/ (; ; ), i.e., from the furthest away to that closest to deletion in terms of diachronic evolution: Apical (apical trills [ɼ] and taps [ɾ]), Uvular (uvular trills [ʀ]), Fricatives ([ʁ] and [χ]), and Lenited ([ɹ], [ɚ] and non-realized). Counts are given in Table 3.
Table 3. Distribution of variants for QF /R/ according to syllabic position. The rates in blue are the rates of each variant in the given position, the rates in green are the rates of each variant across positions. The numbers in black are the counts of each variant in each position.

4.4. Speaker Grouping

To investigate the realization of /R/ in more depth, we combine the (so to speak) “agnostic” sociolinguistic analyses from Section 5.1—which provide results regarding the realizations of the various /R/ variants as a function of socio-demographic variables (geographical location, age and gender)—with a so-called “linguistically informed”, post hoc analysis of the speaker’s socio-demographic characteristics as a function of their realizations of /R/—the results of which are developed in Section 5.2.
The observations made on the speakers’ linguistic profiles as a function of their “pronunciation preferences” indeed allow us to divide them into three types of speakers. The ones we call “Apical speakers”, using more than 5% apical variants (who happen to use no uvular trills whatsoever, n = 60), can be opposed to the speakers with a back variant of /R/. These “back” speakers can in turn be divided into the so-called “Uvular speakers”, using more than 5% uvular trills (who use very small amounts of apicals, n = 49), and the “Fricative speakers”, using less than 5% (both apical and uvular) trills and display mostly dorsal fricatives and lenified variants (n = 287).
Figure 5 summarizes the counts of each type of /R/ displayed by Apical, Uvular and Fricative speakers.
Figure 5. Distribution of /R/ types displayed by Apical, Uvular, and Fricative speakers.
We thus build on ()’s two-way division between “front” and “back” speakers, but we take it further and propose a three-way division that can be summed up by the tree displayed in Figure 6.16
Figure 6. Three-way division of pronunciation profiles.
We further use this three-way distinction for the phonological analysis of the distribution of /R/ variants according to syllable position in Section 5.3. Merging Uvular and Fricative speakers into one Back macro-category would have yielded similar results: This methodological choice was merely made to provide more fine-grained and clear-cut observations.

4.5. Statistical Analysis

Mixed-effects multinomial logistic regression models (multinom function from the nnet R package (; )) allow us to assess the significance of the effects of all the tested variables and their interactions. The formulas are as follows:
For the analysis of the seven different variants of /R/ commented below in Section 5.1.1, Section 5.1.2 and Section 5.1.3 on all data, as well as in Section 5.3.1 on the subset of Fricative speakers, in Section 5.3.2 on the subset of Uvular speakers and in Section 5.3.3 on the subset of Apical speakers:
R_type ∼ Zone * BirthYear * Gender * PhonologicalContext + (1|Speaker)
For the analysis of the three different Speaker groups commented below in Section 5.2:
SpeakerGroup ∼ Zone * BirthYear * Gender + (1|Speaker)
With Zone, BirthYear, Gender, and PhonologicalContext as fixed effects and the Speaker as a random effect, the Speaker|Word random intercepts and slopes could not be computed as some speakers made reading mistakes (e.g., read peindrai, Eng. “(I) will paint” instead of prendrai, Eng. “(I) will take”). In this model, Zone is a three-level (West, East, Acadia) categorical variable, BirthYear is a continuous variable (ranging from 1921 to 1999), Gender is a two-level (female, male) categorical variable, and PhonologicalContext is a five-level (#_V, C_V, V_V, V_C, V_#) categorical variable.
We built the models shown above and compared them with similar models ( + / each variable and interaction). These comparisons were carried out using two methods: Comparing AIC17 values and likelihood ratio test (LRT) (see, for example, ()). For each of our models, we compared different model structures (changing the fixed effects but not the random effects), ranging from the most complex to the simplest (see the recommendations ()).
The reported effect sizes (McFadden’s R 2 ) are calculated using the pR2 command from the pscl package (). We will only mention in the text the marginal values (linked to the variation explained by the fixed effects).
Eventually, we computed post hoc tests (Tukey’s HSD) to be able to report two-by-two comparisons of each level of our independent variable (IV) of interest.

5. Results

In this paper, we show the numerous realizations of /R/ in QF pattern in a coherent way on two levels—sociolinguistically and phonologically.
Each independent variable (Zone, BirthYear, Gender, and PhonologicalContext) as well as all their interactions have a significant effect on the speaker’s choice of /R/ type (p < 0.01). For the sake of transparency, the model presented above is the most parsimonious one. Thus, the reader is informed that the results presented below are much more complex than they appear and that all variables deeply interact. However, to preserve the readability and clarity of our remarks, we focus on the simple effect of each independent variable.
The effect size measures show a marginal R 2 of 0.28, so the fixed effects in our model explain about 28% of the variation in the choice of the variant. Most of this variation is due to the phonological context ( R 2 = 0.15 ), since the three social factors (Zone, BirthYear, Gender) represent 14% ( R 2 = 0.138 ) of the variation in the choice of the /R/ variant. We expect that a large proportion of the variation that is not explained by our model is to be found in speaker-dependent variation and other sociolinguistic variables (such as level of education, social class, etc.) and linguistic variables (such as word frequency or part-of-speech).
In each of the following subsections, we will provide statistical results first, and then observe these results on the raw data (with the exception of Figure 7 that was computed on the model’s results).
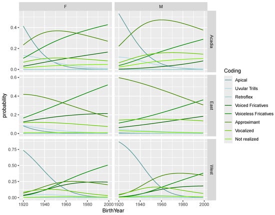
Figure 7. Illustration of the model’s calculated probabilities for the three-way interaction between Zone, BirthYear and Gender (note that the West is not displayed on the same scale as the East and Acadia).

5.1. Sociolinguistic Patterns of R

The distribution of the variants is multifactorial, yet clear patterns emerge from the observation of location, age and gender. In this subsection, we review the effect of geographical location (Section 5.1.1), birth year (Section 5.1.2), and gender (Section 5.1.3) on the display rate of each variant of /R/ identified in the corpus.
Again, the model shows that Zone, BirthYear, and Gender all have a significant effect on the type of /R/. Table 4 summarizes the results of a multinomial mixed model where the response is the R_type (type of R), and the independent variables are Zone, BirthYear, Gender, and PhonologicalContext. The model includes both each simple effect and every interaction between the independent variables.
Table 4. Results of the multinomial mixed-effects model for the effect of Zone (West, East, Acadia), BirthYear, Gender and PhonologicalContext on the realized type of R.
Figure 7 allows us to visualize the three-way interaction of the social variables detailed in Table 4.
For instance, if we consider the age*gender interaction on the use of apicals in each zone of Québec, Figure 7 shows that both older males and older females from Western Québec display more apical variants of /R/ (up to 80%) than both older and younger males and females from the eastern part of the province (max. 10%) and/or Acadia (max. 45%) It also shows that in both Western Québec and Acadia, males display more apicals than females, but in Eastern Québec, the older female speakers are the ones displaying more apicals than all males (and also than younger females).

5.1.1. The Effect of the Speakers’ Place of Residence

First, we investigate the effect of the speakers’ place of living on their use of the different variants of /R/. Since our statistical models show that the broad Zone (East vs. West) has a significant effect only on the apical /R/ variants (p < 0.001 vs. p > 0.1 for other two-way comparisons— R 2 = 0.052 ), we focus here on this variant.
The model shows that the rate of apical /R/ is indeed significantly higher in the western part of Québec (p < 0.001). Our results thus align with the previous literature (). The eastern part has slightly more approximant variants, but this difference is not significant.
Figure 8 shows a map of the entire province of Québec. On this map are indicated the living places of the recorded speakers and the percentages of apical /R/ registered in these places. It can be clearly seen that apical /R/ is used in the West, while close to no apicals are found in the East (with the exception of one point in Acadia).
Figure 8. Map of Québec pointing to locations included in the corpus and showing the percentage of apical realizations of /R/ displayed by speakers belonging to each location.

5.1.2. The Effect of Speakers’ Birth Year

Our statistical model shows that BirthYear also has a significant effect on the preferred type of /R/ (p < 0.001, R 2 = 0.068).
Figure 9, computed on raw data, gives an overview of the proportion of each type of /R/ found for each birth decade. It shows that speakers using apical /R/ (in dark blue) were mostly born before the end of the 1960s. Although dorsals are used simultaneously by speakers born from 1920 to 1950, they seem to be widely favored over apicals by speakers born after 1960.
Figure 9. Distribution of /R/ variants among the different generations (decade by decade as a function of speakers’ birth year).
When confronting apical taps/trills to dorsal fricatives, it can be seen that apicals are used exclusively by people born before the 1970s, while the uvular fricatives were less produced in the 1930s18 and progressively gained ground in the speech of people born around the 1950s.

5.1.3. The Effect of the Speakers’ Gender

Finally, regarding gender, our statistical models show that it has a significant effect on the preferred type of /R/ (p < 0.001, R 2 = 0.018 ). Post hoc tests show that, although no significant difference between genders is available to report for apical /R/, men have a significantly higher rate of approximantized, vocalized and unrealized /R/ variants than women (p < 0.001 for all pairwise comparisons), while women display significantly more fricatives (p < 0.001), as can be seen in Figure 10. This could indicate that women are less prone to lenite /R/ completely, which is in line with previous research regarding the effect of gender on segmental reduction () and on possible ongoing sound changes (, ).
Figure 10. Distribution of /R/ variants among female (left) and male (right) speakers.
As hypothesized in Section 3, the interaction between Gender and BirthYear is also significant (p < 0.001, see Table 4). As can be seen in Figure 11, women seem to have mostly used fricatives earlier than men—which would partially support our original hypothesis that women tend to display more lenited19 variants than men in earlier stages of the language, but less in later stages. However, this observation does not extend to approximantized, vocalized and non-realized variants: This may be explained by the fact that the fricatives are the dominant realization for /R/ in Parisian French, which may have been seen as a prestigious variant which women would aspire to imitate earlier than men for sociological reasons. While the overall pattern visible in Figure 10 supports the idea that women hypo-articulate less than men20, our explanation for the prevalence of fricatives in female speech would go against our initial hypothesis that innovative variants are more used by women than by men when they are not yet “socially charged”.
Figure 11. Distribution of /R/ variants among female (left) and male (right) speakers as a function of BirthYear.

5.2. Social Characteristics Among “Pronunciation Profiles”

As explained in Section 4.4, we now wish to assess not only how social variables correlate with the pronunciation of /R/ in an “agnostic” manner, but also present how the “pronunciation profile” of speakers patterns with social variables. This will be particularly useful in investigating the role of the syllabic context in the following Section 5.3. To that extent, we divide speakers into three groups: To the traditional front–back opposition, we add a second trill vs. non-trill opposition, thus resulting in a three-way partition between speakers using apical trills (n = 60), speakers using uvular trills (n = 49), and speakers using no trills (n = 287). Figure 12 recalls Figure 5 by summarizing the counts of each type of /R/ displayed by Apical, Uvular and Fricative speakers.
Figure 12. Distribution of /R/ variants displayed by Apical, Uvular and Fricative speakers.
Table 5 summarizes the results of a multinomial mixed model where the response is the group of speakers, and the independent variables are Zone, BirthYear and Gender. The model includes both each simple effect and every interaction between the three IVs, as well as the Speaker as a random effect. As stated above, a McFadden’s R 2 is computed. The R 2 is 0.59, indicating that the model explains about 60% of the variation observed between the three speaker groups. When PhonologicalContext is added to the mutinomial model, this IV as well as all its interactions with the three social IVs are significant (p > 0.001), and McFadden’s R 2 goes up to 0.62.
Table 5. Results of the multinomial mixed-effects model for the effect of Zone, BirthYear and Gender on the three speaker groups (Apical, Uvular, Fricative).
Results indicate that all the social characteristics of our speakers have an effect on the group to which they belong, which allows us to validate the proposed three-way partition of speakers.
Although we cannot present here every result for the pairwise post hoc tests (Tukey’s HSD) on each IV and its interactions, we can summarize these results as follows:
  • Apical speakers belong significantly more to the western part of Québec, whereas Fricative speakers belong more to the east and far east, i.e., Acadia (p < 0.001), and more to the east than to the far east/Acadia (p < 0.001).
  • Uvular speakers belong slightly more to the Acadian part of Québec (p < 0.05).
  • Apical and Uvular (i.e., Trill) speakers are significantly older (born earlier) than Fricative (or “non-Trill”) speakers (p < 0.001).
  • More men than women belong to the Fricative group and more women belong to the Apical group (p < 0.001).
  • In the Apical group, women are older than (i.e., born before) men. The same goes for the Fricative group (p < 0.001 for both).
As shown in Figure 13, computed on raw data, the broad location (mostly East vs. West) patterns with place of articulation (Apical vs. Dorsal where dorsal means both uvular and fricative variants, i.e., Front vs. Back). Apical speakers indeed statistically originate more from the western part of Québec (p < 0.001, R 2 = 0.2 ).
Figure 13. Proportion of Eastern (redish shades) and Western (green) speakers in each speaker group.
Figure 14 shows that Front (Apical) speakers are mostly born between the 1920s and the 1960s (with 37.6% born in the 1930s) and are thus generally older than Back speakers. Among Back speakers, Uvular speakers are also older than Fricative speakers, with the former group comprising 17.2% of speakers born after the 1970s, and the latter group comprising 64.6% in the same age range.
Figure 14. Proportion of speakers born in each decade (from the 1920s in white to the 1990s in dark purple) in each speaker group.
Finally, as can be seen in Figure 15, computed on raw data, gender alone is not such a relevant feature for the speakers’ grouping, since the percentages of women and men are about the same in each speaker group ( R 2 = 0.007 ).
Figure 15. Proportions of women (coral) and men (blue) in each speaker group.
However, grouping speakers into “pronunciation profiles” allows us to highlight some interesting tendencies. For instance, in the group using one of the most conservative variants, i.e., the apical trill/tap, it can be seen in Figure 16 that women born around the end of the 1920s use proportionally more lenited (approximantized, vocalized and deleted) variants than women born later, and most women born during the 1940s use proportionally more lenited variants than women born in the 1950s or—to a lesser degree—in the 1960s. This particular focus allows us to support the Gender Paradox proposed by (), at least to some extent.
Figure 16. Proportions of lenited (approximantized, vocalized and non-realized) variants produced by women from the Apical speaker group depending on their birth year (colors allow to roughly distinguish decades).

5.3. Phonological Patterns of R

As shown in previous studies (; ; , ; ; ; ; ; ), the realization of /R/ variants may depend, language-internally, on the position of /R/ in the syllable. In the following, we display the rate of each variant in word-initial onset position (#_V as in Fr. rouge /Ruʒ/, Eng. “red”), in intervocalic onset position (V_V as in Fr. bureau /byRo/, Eng. “office”) and in coda position, either word-internal (V_C as in Fr. verdit /vɛRdi/, Eng. “turns green”) or word-final (V_# as in Fr. dur /dyR/, Eng. “hard”), and show how /R/ in QF indeed not only patterns with socio-demographic variables, but also with internal parameters such as syllabic constituency.
Following past research on lenition (), a well-known diachronical process whereby a segment weakens over time until deletion, we suggest that the phoneme’s position in the syllable may play a role in the distribution of the variants of /R/ in Québec French. Since lenition is a positional phenomenon, it is expected that so-called “strong” positions, such as the onset position, will favor the use of “strong” /R/ variants, such as the apical or uvular trills, while the so-called “weak” positions will favor the use of weaker variants of /R/ as listed in Section 4.2 and repeated in (3) for convenience:
ɾ , ɼ , ʀ > χ , ʁ > ɹ > ɚ >
In the present data, no occurrences of word-internal non-intervocalic onset /R/ (C_V as in Malraux /malRo/) are to be found: All Rs following a consonant are second members of a CR-cluster. However, since CR-clusters have a particular phonological behavior (; ), we will not take them into account for the present study on syllabic constituency, which thus focuses on 35,646 tokens of /R/.
As shown in Section 5.1, the combination of sociolinguistic factors allows us to identify three groups of speakers: Apical speakers (n = 60), Uvular speakers (n = 49), and Fricative speakers (n = 287). In the following, we present the results regarding /R/ realization as a function of syllabic constituency separately for each group of speakers. To ease the reader into our logic, we will first present the results for the speakers with the least variants, i.e., Fricative speakers (who produce no trills, either apical or uvular), then for the Uvular speakers, and finally, for the Apical speakers.

5.3.1. Fricative Speakers

In this subsection, we present the results for the speakers with the least /R/ variants (which is also the largest group, n = 287), i.e., speakers with the voiced and voiceless fricatives [ʁ] and [χ] respectively, as well as the approximant and vocalic variants [ɹ] and [ɚ] respectively, and finally, the deleted variant. The model shows a significant effect of the PhonologicalContext (p < 0.001), with a McFadden’s R 2 of 0.032. The p-values that we report below are values obtained through Tukey’s HSD post hoc tests.
As can be seen in Figure 17, the intervocalic context is the one favoring lenition the most, with 67.6% lenited variants (p < 0.001 for all two-way comparisons computed by Tukey’s HSD post hoc tests). The second context favoring lenited variants is the coda position, both word-finally (57.0%) and word-internally (47.2%). These ratios are significantly different from the “strong” context, i.e., the word-initial onset, which displays only 40.0% lenited variants (p < 0.01 for V_# vs. #_V and V_C vs. #_V; same post hoc tests as above).
Figure 17. Proportions of each /R/ variant in each syllabic position for Fricative speakers.
Since the coda position and, to some extent, the intervocalic one, are the positions expected to favor lenition, the speakers of this variety of QF seem to exhibit the expected pattern, i.e., strong variants of /R/ in strong syllabic positions, and weak variants in weak positions.

5.3.2. Uvular Speakers

In this subsection, we present the results for the speakers using the uvular trill [ʀ] (n = 49). These speakers rarely use the apical tap or trill, but do use the voiced and voiceless fricatives [ʁ] and [χ] respectively, as well as the approximant and vocalic variants [ɹ] and [ɚ], and finally the deleted variant. The model shows a significant effect of the PhonologicalContext (p < 0.001), with a McFadden’s R 2 of 0.022. The reported p-values below are obtained through Tukey’s HSD post hoc tests.
As we can see in Figure 18, for the so-called Uvular speakers, lenited variants are mostly used in word-final coda position (68.3%), then intervocalic (56.9%; p < 0.01) and internal coda positions (51.7%; p < 0.05), which again differ significantly from the ratio of lenited variants in the strong word-initial onset position (26.8%; p < 0.01). Thus, again, lenited variants of /R/ are found mostly in positions expected to favor lenition.
Figure 18. Proportions of each /R/ type in each syllabic position for Uvular speakers.
Additionally, it can be seen that the variant which is decreasingly produced as the context becomes weaker is the uvular trill, not the fricative. This could mean that the “strongest” /R/ variant in this variety is the uvular trill, and then the uvular fricative, thus echoing the scales of /R/ strength proposed for other languages in past research (; ).

5.3.3. Apical Speakers

In this last subsection, we present the results for the speakers using the apical variants, either tapped [ɾ] or trilled [ɼ]. These speakers (n = 60) display no uvular trill variant [ʀ] at all, and use rather small amounts of voiced and voiceless fricatives [ʁ] and [χ] but more approximantized [ɹ], vocalic [ɚ] and deleted variants. The model shows a significant effect of the PhonologicalContext (p < 0.001), with a McFadden’s R 2 of 0.027. The p-values reported below are values obtained through Tukey’s HSD post hoc tests.
As can be seen in Figure 19, for the so-called “Apical speakers”, the two coda contexts, both word-final and word-internal, display more lenited variants than the strong word-initial onset position ( Δ = 58.1% and 21.8%, respectively; p < 0.01 for both V_# vs. #_V and V_C vs. #_V).
Figure 19. Proportion of each /R/ type in each syllabic position for Apical speakers.
Thus, for this last group as well, lenited variants are mostly used in leniting contexts. Moreover, the strongest variant for these speakers is the apical one, which again confirms past proposals of /R/ strength (; ).

6. Discussion

In this paper, we tackle the variety of possible realizations of /R/ in Québec French (QF), that has no less than nine variants. We examine the complex patterns of /R/ realizations in QF using a combination of sociolinguistic and phonological analyses. We employ a mixed-effects multinomial logistic regression model to assess the significance of several variables and their interactions in influencing the distribution of /R/ variants.
Our findings reveal that while the distribution of these variants is multifactorial, we can discern clear patterns by considering location, age and gender on the one hand, and syllabic constituency on the other.
Sociolinguistically, when investigating the impact of location, birth year and gender on the rates of the different /R/ variants, our statistical analysis shows that all variables and their interactions significantly influence the ratio of tokens per type. Regarding the role of speakers’ place of residence in shaping their use of various /R/ variants, our analysis reveals distinct patterns within the province of Québec, confirming a split between Western and Eastern Québec in terms of the presence or absence, respectively, of apical variants of /R/. Ultimately, our study allows us to categorize QF speakers into three distinct groups based on their “pronunciation preferences”. These groups consist of Apical speakers, Uvular speakers, and Fricative speakers, with varying preferences for different /R/ variants. While, contrary to our expectations, gender does not significantly impact speakers’ grouping, the influence of birth year and broad location (west–east) is visible, with birth year being a crucial factor in the evolution of /R/ realization.
Regarding internal, phonological factors, we highlight a clear pattern of /R/ lenition in all three speaker groups: In each group, the “strongest” variants, as evidenced by previous studies both in acoustic () and diachronic terms (), are mostly displayed in “strong” syllabic positions (), i.e., in the word-initial position, while the weakest variants are mostly displayed in weakening syllabic contexts, i.e., in the coda or intervocalic position. The fact that the pattern in synchrony mirrors the effect of age on the use of the strong variants, which tend to disappear, allows us to suggest that QF /R/ is currently undergoing lenition.
In conclusion, our research demonstrates that the realization of /R/ in QF is influenced by a combination of sociolinguistic and phonological factors. With only four variables (location, gender and age of the speakers and syllabic position of /R/), ∼30% of the distribution can be predicted. However, these results should be considered with caution, given that the present study also exhibits two main shortcomings. The first limitation that should be taken into account is that the data used in this study stem from list readings exclusively. The effects identified here cannot be extended to other speech styles such as text reading or even conversation. However, the fact that effects of location, birth year, gender and syllabic position can be found even in a speaking style known to be more formal and uniform across speakers (REF) is a promising indicator that our variables also play a role, maybe even a greater one, in other speech styles. The second limitation is that the identification of the R variants was performed by only one annotator. Although this methodological choice was made consciously to reproduce past studies and avoid too much inter-annotator mismatches that would have made the data even more difficult to analyze, it would nonetheless be interesting to test whether the effects of our variables hold across other annotations.
Future investigations will therefore extend the annotation of R variants to the other recordings of the PFC-Québec corpus, i.e., the text readings, the guided interviews and the free discussions. This annotation will ideally be conducted by two or more annotators, to allow for a measure of the inter-annotator agreement. Finally, we plan on improving the present model by including other social variables (such as social class or level of education of the speakers, or the urban vs. rural nature of their residence), as well as other phonological variables (such as the neighboring phonemes or the prosodic weight of the syllable containing /R/), or more general linguistic variables (such as part-of-speech or word frequency). Our hypothesis is that including these variables in the model could improve its explainability, which may then exceed 30%.
The apparent diversity of /R/ variants thus seems submitted to clear, although complex, language-external and language-internal patterns. Our results also highlight that this variability reflects ongoing changes in the language. These findings thus provide valuable insights into the complex interplay of variables affecting linguistic variation and change.

Author Contributions

Conceptualization, M.H. and M.L.; methodology, M.L.; validation, M.H. and M.L.; formal analysis, M.H.; data curation, M.L.; writing—original draft preparation, M.H. and M.L.; writing—review and editing, M.H. and M.L.; visualization, M.L. and M.H. All authors have read and agreed to the published version of the manuscript.

Funding

This research was funded by the SNF (grant number P500PH_211162, PI: Mélanie Lancien, mentored by Jane Stuart-Smith, U. of Glasgow) and the F.R.S.-FNRS (PPaDisM, PI: Mathilde Hutin).

Data Availability Statement

Data spreadsheets as well as every script used in this paper are available from the authors on request. The raw audio data are available partly on PFC’s website (https://public.projet-pfc.net/, accessed on 28 July 2024).

Acknowledgments

The authors would like to thank the two reviewers who evaluated this work and shared valuable insights. All mistakes are our own.

Conflicts of Interest

The authors declare no conflicts of interest. The funders had no role in the design of the study; in the collection, analyses, or interpretation of data; in the writing of the manuscript; or in the decision to publish the results.

Correction Statement

This article has been republished with a minor correction to the reference "Lancien and Côté 2021". This change does not affect the scientific content of the article.

Abbreviations

The following abbreviations are used in this manuscript:
QFQuébec French
IVIndependent Variable
#_VWord-initial onset
C_VSecond member of a word-initial onset cluster
V_VIntervocalic onset
V_CWord-internal coda
V_#Word-final coda
CRConsonant-rhotic cluster
TRObstruant-rhotic cluster

Appendix A

Figure A1. Three-way division of pronunciation profiles primarily based on manner of articulation rather than the traditional distinction based primarily on place of articulation.
Table A1. Full list of the words containing /R/ read by the speakers and analyzed in this paper.
Table A1. Full list of the words containing /R/ read by the speakers and analyzed in this paper.
févriercreusehomardpêcheurratiosurtabernacle
arbrecreuxfermejurependriezrationtiers
arrêtecroisfêtardlézardpendrionsrauquetiré
autruchecuillèrefêterezlibérépèrereculertirer
avoircuréfêteriezlibérerpiastresrefusetoundra
baignoirefeutrelibrepoiresrégiontouristetrente
beurredéchiréfiltrerlierresportreinetrente-trois
boiredéchirerforerlierrepoudreRéjeantrop
boulevarddécorerfrançaismaîtrepourrireliertrouer
bouleverserdehorsfrisemettrepourriereliureturban
bourgognedémarrefrisermeurtrepourtantreluireUkraine
bourrudémarrerfroidmillionnaireprendriezrenduverdit
brindémarresfructoseministreprendrionsrennevert
brinsdépartfuretmystèrespréparerhinocérosverte
bronzédévoresgaremystèrepréparerrichevictoire
bronzéedévoregarernéronpresserocVictor
brouettedévorergéréneutreprêtrerôtivinaigre
brundiregérernoirprintempsrougevire
bruniedoréGilbertnourriprofesseurrouxvoir
bulgaredurgirafeombreprotégésauteriez
bureauécoeurergirafesomerprotégersérie
cadavreempruntegrandorchestrepurséries
chercherencadrergravepairequatrièmeserre
convaincreencastrergravéparfaiteraisinserré
courtétirergraverpartraisonserrer
courteétrillergrispâtisserierassirop
crainteex-marigrisâtrepâtissièreratsoirée
crayonextraordinaireguitarepécheurrâteausouris

Notes

1
Throughout the paper, we use a capital R to note the rhotic of French without posing an underlying representation. This notation is not the same as the one for the uvular trill ʀ, and is merely a way to refer to some sort of rhotic archiphoneme.
2
3
4
Interactional factors such as spontaneity () or formality of the conversation (, , , , ), identity of the interlocutor (, ; ), or their way of speaking (), the state of mind or cognitive load that the speaker is experiencing while speaking (), etc., also impact pronunciation. However, the present study focuses on read, isolated words in a monologual setting: These interactional factors are thus not taken into account in this literature review.
5
Given the structure of the data, it is unfortunately impossible to analyze the effect of social class on the realization of /R/ in QF.
6
The exact protocol can be found on the project’s webpage: https://public.projet-pfc.net (accessed on 28 July 2024).
7
The acceptability threshold to identify non-categorical speakers is arbitrarily set at a maximum of 95% of a given /R/ variant. So-called categorical speakers are not taken into account because 95% to 100% realizations of one and the same /R/ variant would have distorted the statistical analyses, in particular for the observation of syllabic position.
8
It should be noted that gender, in this corpus, was inferred by the investigators who recorded the data. Therefore, this categorization is mainly based on the gender performed by speakers and assessed by the investigators.
9
Since single transcribers have been shown to be internally consistent in the segmentation and identification of /R/ () while multiple annotators may display at best 49% agreement (), we contend that it is neither necessary to provide a second segmentation nor an inter-annotator agreement for this study. This methodological choice is in line with several other studies on /R/ in Scottish English (; ) or in several varieties of French (; ; ; ; ; ; ; ; ).
10
Note that the variants listed here are ordered from the acoustically (), articulatorily () and diachronically (; ) strongest variant to the weakest. The resulting scale can be considered to be the following: ɾ, ɼ, ʀ > χ, ʁ > ɹ > ɚ > ∅.
11
Apical taps and trills are usually confused and merged as a single “apical” macro-category in classical studies on Québec French; Thus, we confuse them in this paper but will address the possibility of the tap being a lenited variant of the trill in further analyses.
12
In French, /R/ is almost never an internal non-intervocalic onset since sequences of an obstruent followed by /R/ usually result in a so-called muta cum liquida, or CR-cluster.
13
Eighteen out of the twenty-one tokens with a retroflex are to be found in the word “curry” that was imported from Tamil via English.
14
Here, T refers to any kind of obstruent and is to be differentiated from t, which refers either to the alveolar stop phoneme /t/ or the alveolar stop phone [t].
15
In France French, /TR/ clusters in word-final position can be realized in full in connected speech, especially if the following sound is a vowel, either a lexical one at the beginning of the following vowel-initial word, or an epenthetic one inserted before the following consonant-initial word. However, the liquid in word-final obstruent-liquid clusters in Parisian French connected speech has been reported to be deleted in 42.9% of cases (), and up to ∼60% when the liquid is an R (). In Québec French from Trois-Rivières, R in word-final CR-clusters is deleted in ∼25% of cases in read speech to ∼75% in conversation, even formal ().
16
Note that another possible way to conceptualize this three-way distinction could be to distinguish Trill from Non-Trill speakers, and then divide Trill speakers into Front and Back, as in Figure A1. The exact shape of the tree (i.e., the logic behind the three-way division) is trivial for the subject at hand.
17
The Akaike Information Criterion, abbreviated AIC, is an index of model quality. A low AIC value indicates a more parsimonious model.
18
Speakers born in the 1920s produce a surprising 34.7% of uvular fricatives. This result may be due to unbalanced data (only 10 speakers were born in the 1920s, which is hardly representative), or to sociological reasons (older speakers may be more sensitive to the prestige of some variants, and since so-called Standard French was massively used in the official media (; ) until very recently, they would sometimes produce them as well).
19
The uvular fricatives are lenited/innovative variants compared to the apical and uvular trills.
20
As will be presented in Section 5.2, in the Apical group, older women do tend to produce more lenited variants than their younger counterparts, which is counter-intuitive from a diachronic point of view and can be better accounted for by the Gender Paradox ().

References

  1. Adda-Decker, Martine, and Lori Lamel. 2005. Do speech recognizers prefer female speakers? Paper presented at Interspeech, Lisbon, Portugal, September 4–8; pp. 2205–8. [Google Scholar]
  2. Arnold, Aron. 2015. La voix genrée, entre idéologies et pratiques—Une étude sociophonétique. Ph.D. thesis, Sorbonne Paris Cité, Paris, France. [Google Scholar]
  3. Avanzi, Mathieu, Sandra Schwab, Pauline Dubosson, and Jean-Philippe Goldman. 2012. La prosodie de quelques variétés de français parlées en Suisse romande. In La variation prosodique régionale en français. Bruxelles: De Boeck/Duculot, pp. 89–118. [Google Scholar]
  4. Balcom, Patricia, Louise Beaulieu, Gary R. Butler, Wladyslaw Cichocki, and Ruth King. 2008. The Linguistic Study of Acadian French. Canadian Journal of Linguistics/Revue Canadienne de Linguistique 53: 1–5. [Google Scholar] [CrossRef]
  5. Bigot, Davy, and Robert A. Papen. 2013. Sur la «norme» du français oral au Québec (et au Canada en général). Langage & Société 4: 115–32. [Google Scholar]
  6. Boersma, Paul. 2015. Praat: Doing Phonetics by Computer Version 5.2. 03. Available online: http://www.praat.org/ (accessed on 28 July 2024).
  7. Brand, Sophie, and Mirjam Ernestus. 2021. Reduction of word-final obstruent-liquid-schwa clusters in Parisian French. Corpus Linguistics and Linguistic Theory 17: 249–85. [Google Scholar] [CrossRef]
  8. Byrd, Dani. 1994. Relations of sex and dialect to reduction. Speech Communication 15: 39–54. [Google Scholar] [CrossRef]
  9. Chabot, Alex. 2019. What’s wrong with being a rhotic? Glossa: A Journal of General Linguistics 4: 38. [Google Scholar] [CrossRef]
  10. Clermont, Jean, and Henrietta Cedergren. 1979. Les “R” de ma mère sont perdus dans l’air. In Le Français Parlé: Études Socio-Linguistiques. Edmonton: Linguistic Research, pp. 13–28. [Google Scholar]
  11. Côté, Marie-Hélène. 2014. Le projet PFC et la géophonologie du français laurentien. Nanterre: Presses Universitaires de Paris Ouest, pp. 173–98. [Google Scholar]
  12. Cristófaro Silva, Thaïs. 1998. Fonética e fonologia do português. Sao Paulo: Editora Contexto. [Google Scholar]
  13. Delattre, Pierre, and Donald C. Freeman. 1968. A dialect study or American R’s by X-Ray motion picture. Linguistics 6: 29–68. [Google Scholar] [CrossRef]
  14. Dell, François. 1995. Consonant clusters and phonological syllables in French. Lingua 95: 5–26. [Google Scholar] [CrossRef]
  15. Demolin, Didier. 2001. Some phonetic and phonological observations concerning/R/in Belgian French. Etudes & Travaux-Institut des Langues Vivantes et de Phonétique, 63–73. [Google Scholar]
  16. Deshaies-Lafontaine, Denise. 1974. A Socio-Phonetic Study of a Quebec French Community: Trois-Rivières. Ph.D. thesis, UCL (University College London), London, UK. [Google Scholar]
  17. Duponchel, Laurent. 1979. Le français en Côte d’Ivoire, au Dahomey et au Togo. In Le français hors de France. Directed by A. Valdman. Paris: Honoré Champion, pp. 385–417. [Google Scholar]
  18. Durand, Jacques, Bernard Laks, and Chantal Lyche. 2002. La Phonologie du français contemporain (PFC): Usages, variétés et structure. Germany: Günther Narr Verlag Tübingen, pp. 93–106. [Google Scholar]
  19. Fletcher, Annalise R., Megan J. McAuliffe, Kaitlin L. Lansford, and Julie M. Liss. 2015. The relationship between speech segment duration and vowel centralization in a group of older speakers. The Journal of the Acoustical Society of America 138: 2132–39. [Google Scholar] [CrossRef]
  20. Fox, Robert Allen, and Ewa Jacewicz. 2009. Cross-dialectal variation in formant dynamics of American English vowels. The Journal of the Acoustical Society of America 126: 2603–18. [Google Scholar] [CrossRef]
  21. Gendrot, Cédric, Barbara Kühnert, and Didier Demolin. 2015. Aerodynamic, articulatory and acoustic realization of French /ʁ/. Paper presented at ICPhS-15, Glasgow, UK, August 10–14; pp. 1863–66. [Google Scholar]
  22. Gess, Randall, Chantal Lyche, and Trudel Meisenburg. 2012. Phonological Variation in French: Illustrations from Three Continents. Studies in Language Variation. Amsterdam: John Benjamins Publishing Company. [Google Scholar]
  23. Giles, Howard, Nikolas Coupland, and Justine Coupland, eds. 1991. Accommodation theory: Communication, context, and consequence. In Contexts of Accommodation: Developments in Applied Sociolinguistics. Cambridge: Cambridge University Press, pp. 1–68. [Google Scholar]
  24. Goelzer, Abigail. 2005. Variations in French Phonetics, Phonology, Morphology, and Syntax on the Island of Jersey. Technical Report, LSO Working Papers in Linguistics 5. In WIGL 3. Madison: University of Wisconsin, pp. 51–66. [Google Scholar]
  25. Howson, Phil, and Alexei Kochetov. 2018. Gestural Lenition of Rhotics Captures Variation in Brazilian Portuguese. Paper presented at Interspeech, Hyderabad, India, September 2–6; pp. 182–86. [Google Scholar] [CrossRef]
  26. Hutin, Mathilde, Adèle Jatteau, Ioana Vasilescu, Lori Lamel, and Martine Adda-Decker. 2020a. Le schwa final en français standard est-il un “lubrifiant phonétique ”? Actes du 7e Congrès Mondial de Linguistique Française 78: 09004. [Google Scholar] [CrossRef]
  27. Hutin, Mathilde, Adèle Jatteau, Ioana Vasilescu, Lori Lamel, and Martine Adda-Decker. 2020b. Lénition et fortition des occlusives en coda finale dans deux langues romanes: Le français et le roumain (Lenition and fortition of word-final stops in two Romance languages: French and Romanian). In Proceedings of the Actes de la 6e conférence conjointe Journées d’Études sur la Parole (JEP, 33e édition), Traitement Automatique des Langues Naturelles (TALN, 27e édition), Rencontre des Étudiants Chercheurs en Informatique pour le Traitement Automatique des Langues (RÉCITAL, 22e édition). Volume 1: Journées d’Études sur la Parole. Nancy: ATALA et AFCP, pp. 289–98. [Google Scholar]
  28. Hutin, Mathilde, Adèle Jatteau, Ioana Vasilescu, Lori Lamel, and Martine Adda-Decker. 2020c. Ongoing Phonologization of Word-Final Voicing Alternations in Two Romance Languages: Romanian and French. Paper presented at Interspeech 2020 (Rank A), Shanghai, China, October 25–29; pp. 4138–42. [Google Scholar] [CrossRef]
  29. Hutin, Mathilde, Adèle Jatteau, Ioana Vasilescu, Lori Lamel, and Martine Adda-Decker. 2021. A corpus-based study of the distribution of word-final schwa in Standard French and what it teaches us about its phonological status. Isogloss, Open Journal of Romance Linguistics 7: 1–27. [Google Scholar] [CrossRef]
  30. Hutin, Mathilde, Martine Adda-Decker, Lori Lamel, and Ioana Vasilescu. 2022. When Phonetics Meets Morphology: Intervocalic Voicing Within and Across Words in Romance Languages. Paper presented at Interspeech 2022 (Rank A), Incheon, Republic of Korea, September 18–22; pp. 3438–42. [Google Scholar] [CrossRef]
  31. Hutin, Mathilde, Oana Niculescu, Ioana Vasilescu, Lori Lamel, and Martine Adda-Decker. 2020. Lenition and Fortition of Stop Codas in Romanian. In Proceedings of the 1st Joint Workshop on Spoken Language Technologies for Under-resourced languages and Collaboration and Computing for Under-Resourced Languages, SLTU-CCURL@LREC, Marseille, France, May. Edited by Dorothee Beermann, Laurent Besacier, Sakriani Sakti and Claudia Soria. Paris: European Language Resources Association, pp. 226–34. [Google Scholar]
  32. Jacewicz, Ewa, and Robert Allen Fox. 2013. Cross-dialectal differences in dynamic formant patterns in American English vowels. In Vowel Inherent Spectral Change. Edited by Geoffrey Stewart Morrison and Peter F. Assmann. Berlin and Heidelberg: Springer, pp. 177–98. [Google Scholar]
  33. Jacewicz, Ewa, Robert Allen Fox, and Joseph Salmons. 2007. Vowel space areas across dialects and gender. Paper presented at 16th International Congress of Phonetic Sciences, ICPhS 2007, Saarbrüken, Germany, August 6–10; pp. 1465–68. [Google Scholar]
  34. Jacewicz, Ewa, Robert Allen Fox, Caitlin O’Neill, and Joseph Salmons. 2009. Articulation rate across dialect, age, and gender. Language Variation and Change 21: 233. [Google Scholar] [CrossRef] [PubMed]
  35. Jackman, Simon, Alex Tahk, Achim Zeileis, Christina Maimone, Jim Fearon, Zoe Meers, Maintainer Simon Jackman, and MASS Imports. 2015. Package ‘pscl’ Political Science Computational Laboratory. vol. 18. Available online: https://cran.r-project.org/web/packages/pscl/index.html (accessed on 18 October 2024).
  36. Kalashnikova, Natalia, Mathilde Hutin, Ioana Vasilescu, and Laurence Devillers. 2023a. Do We Speak to Robots Looking Like Humans As We Speak to Humans? A Study of Pitch in French Human-Machine and Human-Human Interactions. In Proceedings of the International Conference on Multimodal Interaction. New York: Association for Computing Machinery, ICMI ’23 Companion. pp. 141–45. [Google Scholar] [CrossRef]
  37. Kalashnikova, Natalia, Mathilde Hutin, Ioana Vasilescu, and Laurence Devillers. 2023b. The Effect of Human-Likeliness in French Robot-Directed Speech: A Study of Speech Rate and Fluency. In Proceedings of the Text, Speech, and Dialogue. Edited by Kamil Ekštein, František Pártl and Miloslav Konopík. Cham: Springer Nature, pp. 249–57. [Google Scholar] [CrossRef]
  38. Khawaja, M. Asif, Fang Chen, and Nadine Marcus. 2014. Measuring Cognitive Load Using Linguistic Features: Implications for Usability Evaluation and Adaptive Interaction Design. International Journal of Human–Computer Interaction 30: 343–68. [Google Scholar] [CrossRef]
  39. Kirkham, Sam. 2015. Intersectionality and the social meanings of variation: Class, ethnicity, and social practice. Language in Society 44: 629–52. [Google Scholar] [CrossRef]
  40. Labov, William. 1966. The Social Stratification of English in New York City. Washington, DC: Center for Applied Linguistics. [Google Scholar]
  41. Labov, William. 1990. The intersection of sex and social class in the course of linguistic change. Language Variation and Change 2: 205–54. [Google Scholar] [CrossRef]
  42. Labov, William. 2001. Principles of Linguistic Change, Volume 2: Social Factors. Oxford: Blackwell. [Google Scholar]
  43. Ladefoged, Peter, and Ian Maddieson. 1996. The Sounds of the World’s Languages. Blackwell: Phonological Theory. [Google Scholar]
  44. Lancien, Mélanie. 2021. Le rôle de la réduction phonétique dans I’expression de la proximité sociale: Étude acoustique des voyelles orales du français québécois dans différentes situations de communication. Ph.D. thesis, Université de Lausanne (Suisse), Lausanne, Switzerland. [Google Scholar]
  45. Lancien, Mélanie, and Marie-Hélène Côté. 2021. More on the transition from apical to dorsal /R/ in Quebec. Paper presented at R-atics’7, International Congress on Rhotic Sounds, Lausanne, Switzerland, November 18–19. [Google Scholar]
  46. Lancien, Mélanie, Mathilde Hutin, Martine Adda-Decker, Ioana Vasilescu, and Jane Stuart-Smith. 2023. /R/-Lenition in Quebec French: Evidence from the Distribution of 9 Allophones in Large Corpora. Paper presented at XXth International Congress of Phonetic Sciences: ICPhS 2023, Prague, Czech Republic, August 7–11; pp. 2089–93. [Google Scholar]
  47. Lawson, Eleanor, and Jane Stuart-Smith. 2021. Lenition and fortition of/r/in utterance-final position, an ultrasound tongue imaging study of lingual gesture timing in spontaneous speech. Journal of Phonetics 86: 101053. [Google Scholar] [CrossRef]
  48. Lawson, Eleanor, James M. Scobbie, and Jane Stuart-Smith. 2011. The social stratification of tongue shape for postvocalic/r/in scottish english1. Journal of Sociolinguistics 15: 256–68. [Google Scholar] [CrossRef]
  49. Lawson, Eleanor, Jane Stuart-Smith, and James M. Scobbie. 2008. Articulatory Insights into Language Variation and Change: Preliminary Findings from an Ultrasound Study of Derhoticization in Scottish English. Working Papers in Linguistics. Philadelphia: University of Pennsylvania. [Google Scholar]
  50. Lindau, Mona. 1980. The story of /r/. The Journal of the Acoustical Society of America 67: S27. [Google Scholar] [CrossRef]
  51. Little, Sarah. 2012. A Sociophonetic Study of the Metropolitan French [R]: Linguistic Factors Determining Rhotic Variation. Senior Honors Thesis. Ohio: Ohio State University. [Google Scholar]
  52. Magnuson, Thomas J. 2007. The story of/r/in two vocal tracts. Paper presented at 16th International Congress of Phonetic Sciences, Saarbrücken, Germany, August 6–10; pp. 1193–96. [Google Scholar]
  53. Manessy, Gabriel, and Paul Wald. 1984. Le français en Afrique Noire tel qu’on le parle, tel qu’on le dit. Persée-Portail des Revues Scientifiques en SHS. Paris: Publications de l’Institut de Recherches Interethniques et Interculturelles (IDERIC), Centre d’Etude des Plurilinguismes, Editions L’Harmattan. vol. 1. [Google Scholar]
  54. Nikièma, Emmanuel. 1999. Government-Licensing and Consonant Cluster Simplification in Quebec French. Canadian Journal of Linguistics/Revue canadienne de linguistique 44: 327–57. [Google Scholar] [CrossRef]
  55. Presnukhiva, Yulia. 2016. Indicateurs de suivi de la situation linguistique au Québec. Portraits démolinguistiques 1996–2011. Montréal: Office québécois de la Langue Française. [Google Scholar]
  56. R Core Team. 2018. R: A Language and Environment for Statistical Computing. Vienna: R Foundation for Statistical Computing. [Google Scholar]
  57. Recasens, Daniel, and Aina Espinosa. 2007. Phonetic Typology and Positional Allophones for Alveolar Rhotics in Catalan. Phonetica 64: 1–28. [Google Scholar] [CrossRef] [PubMed]
  58. Rennicke, Iiris. 2015. Variation and Change in the Rhotics of Brazilian Portuguese. Ph.D. thesis, University of Helsinki, Helsinki, Finland. [Google Scholar]
  59. Ripley, Brian, William Venables, and Maintainer Brian Ripley. 2016. Package ‘nnet’. R Package Version 7: 700. [Google Scholar]
  60. Rochette, Claude E., Édith Bédard, and Pierre Georgeault. 1984. La langue des animateurs de la radio et de la télévision francophones au Québec: Une analyse phonétique, l’aspect oral de la langue des animateurs de la radio et de la télévision francophones de Montréal. Québec: Conseil de la langue française. [Google Scholar]
  61. Sankoff, Gillian, and Hélène Blondeau. 2007. Language change across the lifespan: /r/ in Montreal French. Language, 560–88. [Google Scholar]
  62. Santerre, Laurent. 1979. Les (r) montréalais en régression rapide. In Les français régionaux du Québec, Numéro spécial de Protée VII (2). Edited by Lisa Lavoie. Chicoutimi: Université du Québec, pp. 117–32. [Google Scholar]
  63. Santerre, Laurent. 1982. Des [r] montréalais imprévisibles et inouïs. Revue Québecoise de Linguistique 12: 77–96. [Google Scholar] [CrossRef]
  64. Schwab, Sandra, and Mathieu Avanzi. 2015. Regional variation and articulation rate in French. Journal of Phonetics 48: 96–105. [Google Scholar] [CrossRef]
  65. Sebregts, Koen. 2015. The Sociophonetics and Phonology of Dutch r. Ph.D. thesis, Utrecht University, Utrecht, The Netherlands. [Google Scholar]
  66. Ségéral, Philippe, and Tobias Scheer. 2008. Positional factors in lenition and fortition. In Lenition & fortition. Edited by Joaquim Brandão de Carvalho, Tobias Scheer and Philippe Ségéral. Berlin: Mouton de Gruyter, pp. 131–72. [Google Scholar]
  67. Silva, Adelaide H. P. 2003. Towards a dynamical representation for gradient allophony of Brazilian Portuguese rhotics. Paper presented at ICPhS-15, Glasgow, UK, August 10–14; pp. 1863–66. [Google Scholar]
  68. Silva, Adelaide H. P., and Eleonora C. Albano. 1999. Brazilian Portuguese rhotics and the phonetics/phonology boundary. Paper presented at ICPhS-14, San Francisco, CA, USA, August 1–7; pp. 2211–14. [Google Scholar]
  69. Smith, Bruce L., Jan Wasowicz, and Judy Preston. 1987. Temporal characteristics of the speech of normal elderly adults. Journal of Speech, Language, and Hearing Research 30: 522–29. [Google Scholar] [CrossRef]
  70. Solé, Maria-Josep. 2002. Aerodynamic characteristics of trills and phonological patterning. Journal of Phonetics 30: 655–88. [Google Scholar] [CrossRef]
  71. Straka, Georges. 1979. Les sons et les mots: Choix d’études de phonétique et de linguistique. [Google Scholar]
  72. Stuart-Smith, Jane. 2007. A sociophonetic investigation of postvocalic /r/ in Glaswegian adolescents. Paper presented at 16th International Congress of Phonetic Sciences, Saarbrücken, Germany, August 6–10; pp. 1307–10. [Google Scholar]
  73. Tousignant, Claude, David Sankoff, and Laurent Santerre. 1989. New results on Montreal French/r. Language Change and Variation 52: 85. [Google Scholar]
  74. Tranel, Bernard. 1987. The Sounds of French: An Introduction. Cambridge: Cambridge University Press. [Google Scholar]
  75. ULaval. n.d. La situation démolinguistique du Québec. Available online: https://www.axl.cefan.ulaval.ca/amnord/Quebec-2demo.htm (accessed on 28 July 2024).
  76. Verreault, Claude, and Thomas Lavoie. 1999. «La langue de nos gens» du Père Laurent Tremblay: Une première synthèse sur la variation géolinguistique du français parlé au Québec au début des années 1940. In Langues et Linguistique. Québec: Université Laval, vol. 25, pp. 145–212. [Google Scholar]
  77. Walker, Douglas C. 1984. The Pronunciation of Canadian French. Ottawa: University of Ottawa Press. [Google Scholar]
  78. Walsh Dickey, Laura. 1997. The Phonology of Liquids. Ph.D. thesis, University of Massachusetts, Amherst, MA, USA. [Google Scholar]
  79. Webb, Eric Russell. 2002. From r to ɾ via z and l: Rethinking the History of French/r. New Mexico: High Desert Linguistics Society Albuquerque, p. 55. [Google Scholar]
  80. Webb, Eric Russell. 2009. Minimalism and French /R/: Phonological representations in phonetically based phonology. Journal of French Language Studies 19: 87–115. [Google Scholar] [CrossRef]
  81. Whiteside, Sandra P. 1996. Temporal-based acoustic-phonetic patterns in read speech: Some evidence for speaker sex differences. Journal of the International Phonetic Association 26: 23–40. [Google Scholar] [CrossRef]
  82. Wiese, Richard. 2003. The unity and variation of (German)/r. Zeitschrift für Dialektologie und Linguistik, 25–43. [Google Scholar]
  83. Wiese, Richard. 2011. The Representation of Rhotics. In The Blackwell Companion to Phonology. Hoboken: John Wiley & Sons, Ltd., chap. 30. pp. 1–19. [Google Scholar] [CrossRef]
  84. Wu, Yaru. 2018. Etude de la réduction segmentale en francais parlé à travers différents styles: Apports des grands corpus et du traitement automatique de la parole à l’étude du schwa, du R et des réductions à segments multiples. Ph.D. thesis, Université Sorbonne-Nouvelle, Paris, France. [Google Scholar]
  85. Wu, Yaru, and Martine Adda-Decker. 2021. Distribution and deletion of /R/ in fluent speech. Studii de Lingvistica 11: 39–53. [Google Scholar]
  86. Zuur, Alain, Elena N. Ieno, Neil Walker, Anatoly A. Saveliev, and Graham M. Smith. 2009. Mixed Effects Models and Extensions in Ecology with R. Berlin and Heidelberg: Springer Science & Business Media. [Google Scholar]
Disclaimer/Publisher’s Note: The statements, opinions and data contained in all publications are solely those of the individual author(s) and contributor(s) and not of MDPI and/or the editor(s). MDPI and/or the editor(s) disclaim responsibility for any injury to people or property resulting from any ideas, methods, instructions or products referred to in the content.

Article Metrics

Citations

Article Access Statistics

Multiple requests from the same IP address are counted as one view.