A Fuzzy Design for a Sliding Mode Observer-Based Control Scheme of Takagi-Sugeno Markov Jump Systems under Imperfect Premise Matching with Bio-Economic and Industrial Applications
Abstract
:1. Introduction, Notations, and Outline
1.1. Bibliographical Review
1.2. Abbreviations and Notations
1.3. Objective and Outline
- (i)
- To propose a general model of fuzzy descriptor systems with Markov jump switching, uncertainties, external disturbance, and unknown premise variables.
- (ii)
- To design a novel SMO technique for reconstructing the unmeasured state variables using the imperfect premise matching approach combined with the non-PDC control scheme, and to then design two sliding surfaces that drive with the estimated and error trajectories for guaranteeing the stability of the closed-loop system.
- (iii)
- To show that the system is admissible with an performance level by developing a linear matrix inequality (LMI) criterion, guaranteeing robustness of the control scheme against uncertainties, and designing controller and observer gains in one step.
- (iv)
- To synthesize new adaptive sliding mode control laws for the error and SMO system ensuring the reachability of the pre-designed sliding surfaces.
2. Preliminaries and Problem Statement
2.1. The Model
2.2. Assumptions and Resulting Model
- (A1)
- The external disturbance is bounded and satisfies , where is an unknown positive real constant.
- (A2)
- Matched non-linearity functions are bounded and satisfy , where is an unknown positive real constant.
2.3. Problem Statement
- (i)
- The reachability of the sliding surfaces is ensured.
- (ii)
- The sliding motions are stochastically admissible with performance, that is, under a zero initial condition, , for all 0 .
3. Main Results
3.1. Sliding Mode Observer Design under Imperfect Premise Matching
3.2. Switching Manifolds Design
3.3. and Admissibility Analysis
3.4. Sliding Mode Dynamics Synthesis
3.5. Adaptive SMC Law Design
4. Numerical Applications
4.1. Computational Framework and Algorithm
| Algorithm 1 Procedure design |
|
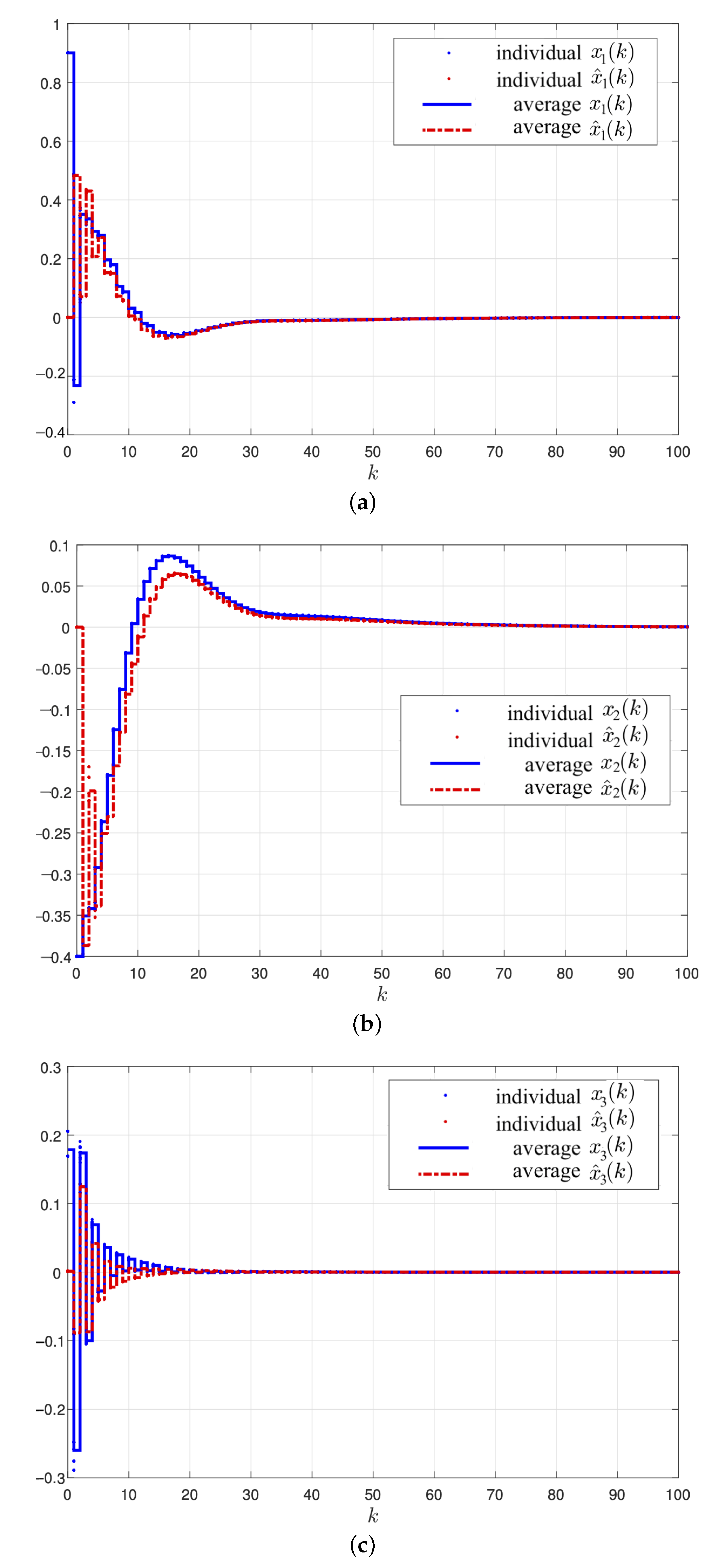
4.2. Bio-Economic System
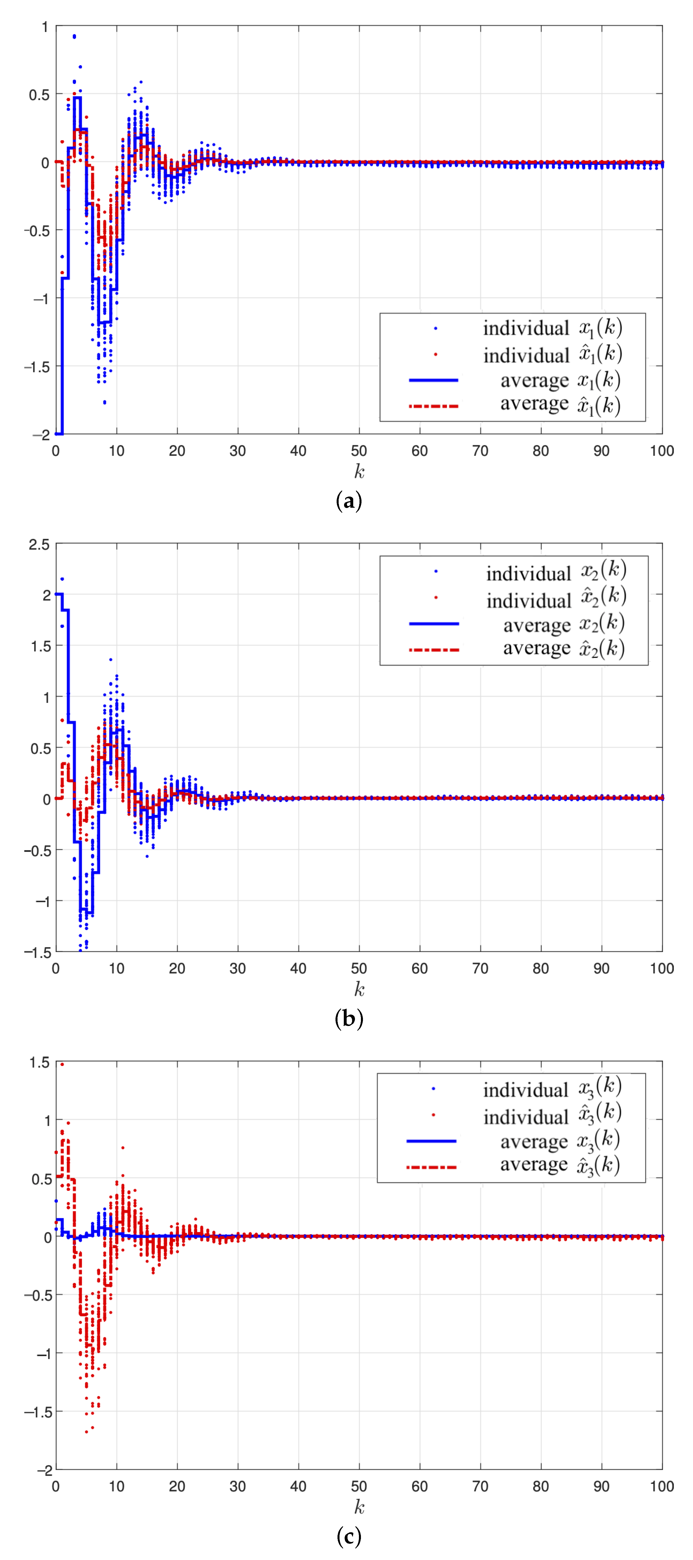
4.3. A Tunnel Diode Circuit
5. Discussion, Conclusions, Limitations, and Future Work
5.1. Comparative Discussion
- In [48], a method was presented to design an observer-based controller for fuzzy descriptors with partially measured states. However, in our approach, the problem is tackled in a more general way, since it allows us to design a sliding mode observer when the system is subject to constraints related to Markov jump switching and matched uncertainties. Indeed, we believe that the described approach in [48] does not achieve a satisfactory performance under the previous mentioned constraints.
- As discussed in [49], a non-PDC approach cannot be applied to discrete-time fuzzy descriptor systems with model specifications related to unmeasurable premise variables and imperfect membership functions. Nevertheless, in our work, these specifications are considered in the approach designed in the present study. Here, we believe that a numerical comparative study will not provide additional conclusion to the superiority of our scheme regarding the controller defined in [49].
- In [50,51], it was solved the problem of observer-based and reduced-order robust sliding mode control schemes in the continuous time domain. Nonetheless, this controller cannot be implemented in discrete-time fuzzy descriptor systems with uncertainties, whose discrete time domain was considered in our proposal. Both time domains are different, so a comparative study with our method is not viable.
5.2. Concluding Remarks
5.3. Limitations
5.4. Future Work
Author Contributions
Funding
Data Availability Statement
Acknowledgments
Conflicts of Interest
References
- Zadeh, L.A.; Aliev, R.A. Fuzzy Logic Theory and Applications; World Scientific Publishing: Singapore, 2018. [Google Scholar]
- Takagi, T.; Sugeno, M. Fuzzy identification of systems and its application to modelling and control. IEEE Trans. Syst. Man Cybern. Syst. 1985, 15, 116–132. [Google Scholar] [CrossRef]
- Du, P.; Pan, Y.; Li, H.; Lam, H. Non-singular finite-time event-triggered fuzzy control for large-scale nonlinear systems. IEEE Trans. Fuzzy Syst. 2021, 29, 2088–2099. [Google Scholar] [CrossRef]
- Pan, Y.; Du, P.; Xue, H.; Lam, H. Singularity-free fixed-time fuzzy control for robotic systems with user-defined performance. IEEE Trans. Fuzzy Syst. 2021, 29, 2388–2398. [Google Scholar] [CrossRef]
- Latrech, C.; Kchaou, M.; Guéguen, H. Networked non-fragile H∞ static output feedback control design for vehicle dynamics stability: A descriptor approach. Eur. J. Control 2018, 40, 13–26. [Google Scholar] [CrossRef]
- Su, X.; Shi, P.; Wu, L.; Song, Y.D. A novel approach to filter design for TS fuzzy discrete-time systems with time-varying delay. IEEE Trans. Fuzzy Syst. 2012, 20, 1114–1129. [Google Scholar]
- Zhang, X.M.; Han, Q.L.; Ge, X. A novel finite-sum inequality-based method for robust H∞ control of uncertain discrete-time Takagi-Sugeno fuzzy systems with interval-like time-varying delays. IEEE Trans. Cybern. 2018, 48, 2569–2582. [Google Scholar] [CrossRef] [PubMed]
- Yang, M.; Peng, C.; Li, G.; Wang, Y.; Ma, S. Event-triggered H∞ control for active semi-vehicle suspension system with communication constraints. Inf. Sci. 2019, 486, 101–113. [Google Scholar] [CrossRef]
- Peng, C.; Ma, S.; Xie, X. Observer-based non-PDC control for networked TS fuzzy systems with an event-triggered communication. IEEE Trans. Cybern. 2017, 47, 2279–2287. [Google Scholar] [CrossRef]
- Ma, S.; Peng, C.; Zhang, J.; Xie, X. Imperfect premise matching controller design for TS fuzzy systems under network environments. Appl. Soft Comput. 2017, 52, 805–811. [Google Scholar] [CrossRef]
- Dhandapani, P.B.; Thippan, J.; Martin-Barreiro, C.; Leiva, V.; Chesneau, C. Numerical solutions of a differential system considering a pure hybrid fuzzy neutral delay theory. Electronics 2022, 11, 1478. [Google Scholar] [CrossRef]
- Dai, L. Singular Control Systems; Springer: New York, NY, USA, 1989. [Google Scholar]
- Kchaou, M. Robust H∞ observer-based control for a class of (TS) fuzzy descriptor systems with time-varying delay. Int. J. Fuzzy Syst. 2017, 19, 909–924. [Google Scholar] [CrossRef]
- Chen, J.; Lin, C.; Chen, B.; Wang, Q. Mixed H∞ and passive control for singular systems with time delay via static output feedback. Appl. Math. Comput. 2017, 293, 244–253. [Google Scholar] [CrossRef]
- Ma, Y.; Yang, P.; Zhang, Q. Robust H∞ control for uncertain singular discrete TS fuzzy time-delay systems with actuator saturation. J. Frankl. Inst. 2016, 13, 3290–3311. [Google Scholar] [CrossRef]
- Jerbi, H.; Kchaou, M.; Boudjemline, A.; Regaieg, M.A.; Ben Aoun, S.; Kouzou, A.L. H∞ and passive fuzzy control for non-linear descriptor systems with time-varying delay and sensor faults. Mathematics 2021, 9, 2203. [Google Scholar] [CrossRef]
- Feng, Z.; Shi, P. Admissibilization of singular interval-valued fuzzy systems. IEEE Trans. Fuzzy Syst. 2016, 25, 1765–1776. [Google Scholar] [CrossRef]
- Zhang, Q.; Qiao, L.; Zhu, B.; Zhang, H. Dissipativity analysis and synthesis for a class of TS fuzzy descriptor systems. IEEE Trans. Syst. Man Cybern. Syst. 2017, 47, 1774–1784. [Google Scholar] [CrossRef]
- Zhu, B.; Zhang, J.; Zhang, Q.; Zhang, D. Dissipative control for T-S fuzzy descriptor systems with actuator saturation and disturbances. J. Frankl. Inst. 2016, 353, 4950–4978. [Google Scholar] [CrossRef]
- Dang, Q.; Vermeiren, L.; Dequidt, A.; Dambrine, M. LMI approach for robust stabilization of Takagi–Sugeno descriptor systems with input saturation. IMA J. Math. Control Inf. 2017, 35, 1103–1114. [Google Scholar] [CrossRef]
- Minjie, Z.; Yujie, Z.; Shenhua, Y.; Lina, L. Sampled-data control for nonlinear singular systems based on a Takagi-Sugeno fuzzy model. Trans. Inst. Meas. Control 2018, 40, 4027–4036. [Google Scholar] [CrossRef]
- Su, Z.; Ai, J.; Zhang, Q.; Xiong, N. An improved robust finite-time dissipative control for uncertain fuzzy descriptor systems with disturbance. Int. J. Syst. Sci. 2017, 48, 1581–1596. [Google Scholar] [CrossRef]
- Qi, W.; Park, J.H.; Zong, G.; Cao, J.; Cheng, J. Filter for positive stochastic nonlinear switching systems with phase-type semi-Markov parameters and application. IEEE Trans. Syst. Man Cybern. Syst. 2022, 52, 2225–2236. [Google Scholar] [CrossRef]
- Ma, Y.; Jia, X.; Zhang, Q. Robust finite-time non-fragile memory H∞ control for discrete-time singular Markovian jumping systems subject to actuator saturation. J. Frankl. Inst. 2017, 354, 8256–8282. [Google Scholar] [CrossRef]
- Cheng, J.; Park, J.H.; Zhao, X.; Karimi, H.R.; Cao, J. Quantized nonstationary filtering of networked Markov switching RSNSS: A multiple hierarchical structure strategy. IEEE Trans. Autom. Control 2020, 65, 4816–4823. [Google Scholar] [CrossRef]
- Qi, W.; Zong, G.; Zheng, W.X. Adaptive event-triggered SMC for stochastic switching systems with semi-Markov process and application to boost converter circuit model. IEEE Trans. Circuits Syst. I 2021, 68, 786–796. [Google Scholar] [CrossRef]
- Cheng, J.; Park, J.H.; Cao, J.; Qi, W. A hidden mode observation approach to finite-time SOFC of Markovian switching systems with quantization. Nonlinear Dyn. 2020, 100, 509–521. [Google Scholar] [CrossRef]
- Edwards, C.; Spurgeon, S. Sliding Mode Control: Theory and Applications; CRC Press: Boca Raton, FL, USA, 1998. [Google Scholar]
- Jiang, B.; Gao, C.; Xie, J. Passivity based sliding mode control of uncertain singular Markovian jump systems with time-varying delay and nonlinear perturbations. Appl. Math. Comput. 2015, 271, 187–200. [Google Scholar] [CrossRef]
- Khooban, M.H.; Niknam, T.; Blaabjerg, F.; Dehghani, M. Free chattering hybrid sliding mode control for a class of non-linear systems: Electric vehicles as a case study. IET Sci. Meas. Technol. 2016, 10, 776–785. [Google Scholar] [CrossRef]
- Nguyen, T.; Liao, T.; Yan, J. Improved adaptive sliding mode control for a class of uncertain nonlinear systems subjected to input nonlinearity via fuzzy neural networks. Math. Probl. Eng. 2015, 2015, 351524. [Google Scholar] [CrossRef]
- Wang, Y.; Fei, J. Adaptive sliding mode control for PMSM position regulation system. Int. J. Innov. Comput. Inf. Control 2015, 11, 881–891. [Google Scholar]
- Kchaou, M.; Gassara, H.; El-Hajjaji, A. Adaptive sliding mode control for fuzzy singular systems with time delay and input nonlinearity. Int. J. Adapt. Control Signal Process. 2018, 32, 464–479. [Google Scholar] [CrossRef]
- Han, Y.; Kao, Y.; Gao, C. Robust sliding mode control for uncertain discrete singular systems with time-varying delays and external disturbances. Automatica 2017, 75, 210–216. [Google Scholar] [CrossRef]
- Charfeddine, S.; Alharbi, H.; Jerbi, H.; Kchaou, M.; Abbassi, R.; Leiva, V. A stochastic optimization algorithm to enhance controllers of photovoltaic systems. Mathematics 2022, 10, 2128. [Google Scholar] [CrossRef]
- Kchaou, M.; El-Hajjaji, A. Resilient H∞ sliding mode control for discrete-time descriptor fuzzy systems with multiple time delays. Int. J. Syst. Sci. 2017, 48, 288–3014. [Google Scholar] [CrossRef]
- Chu, X.; Li, M. H∞ non-fragile observer-based dynamic event-triggered sliding mode control for nonlinear networked systems with sensor saturation and dead-zone input. ISA Trans. 2019, 94, 93–107. [Google Scholar] [CrossRef] [PubMed]
- Li, R.; Zhang, Q. Robust H∞ sliding mode observer design for a class of Takagi-Sugeno fuzzy descriptor systems with time-varying delay. Appl. Math. Comput. 2018, 337, 158–178. [Google Scholar] [CrossRef]
- Li, Y.; Kao, B.; Park, J.; Kao, Y.; Meng, B. Observer-based mode-independent integral sliding mode controller design for phase-type semi-Markov jump singular systems. Int. J. Robust Nonlinear Control 2019, 29, 5213–5226. [Google Scholar] [CrossRef]
- Li, H.; Shi, P.; Yao, D.; Wu, L. Observer-based adaptive sliding mode control for nonlinear Markovian jump systems. Automatica 2016, 64, 133–142. [Google Scholar] [CrossRef]
- Liu, Z.; Zhu, Q.; Zhao, L.; Yu, J.; Gao, C. A new result on observer-based sliding mode control design for a class of uncertain Itô stochastic delay systems. J. Frankl. Inst. 2017, 354, 8200–8216. [Google Scholar] [CrossRef]
- Peterson, I. A stabilization algorithm for a class uncertain linear systems. Syst. Control Lett. 1987, 8, 351–357. [Google Scholar] [CrossRef]
- Li, Z.M.; Chang, X.H.; Park, J.H. Quantized static output feedback fuzzy tracking control for discrete-time nonlinear networked systems with asynchronous event-triggered constraints. IEEE Trans. Syst. Man Cybern. Syst. 2021, 51, 3820–3831. [Google Scholar] [CrossRef]
- MOSEK ApS. The MOSEK Optimization Toolbox for Matlab Manual; Version 9.0; MathWorks: Natick, MA, USA, 2019. [Google Scholar]
- Li, J.; Zhang, Q.; Yan, X.G.; Spurgeon, S.K. Integral sliding mode control for Markovian jump T-S fuzzy descriptor systems based on the super-twisting algorithm. IET Control Theory Appl. 2017, 11, 1134–1143. [Google Scholar] [CrossRef]
- Li, L.; Zhang, Q.; Zhu, B. Fuzzy stochastic optimal guaranteed cost control of bio-economic singular Markovian jump systems. IEEE Trans. Cybern. 2015, 45, 2512–2521. [Google Scholar] [CrossRef] [PubMed]
- Mu, Y.; Zhang, H.; Su, H.; Ren, H. Unknown input observer synthesis for discrete-time TS fuzzy singular systems with application to actuator fault estimation. Nonlinear Dyn. 2020, 100, 3399–3412. [Google Scholar] [CrossRef]
- Chang, W.J.; Tsai, M.H.; Pen, C.L. Observer-based fuzzy controller design for nonlinear discrete-time singular systems via proportional derivative feedback scheme. Appl. Sci. 2021, 11, 2833. [Google Scholar] [CrossRef]
- Qiao, L.; Li, L.; Lu, Y. Parallel and nonparallel distributed compensation controller design for T-S fuzzy discrete singular systems with distinct difference item matrices. IEEE Access 2021, 9, 87475–87483. [Google Scholar] [CrossRef]
- Wei, Z.; Ma, Y. Robust H∞ observer-based sliding mode control for uncertain Takagi-Sugeno fuzzy descriptor systems with unmeasurable premise variables and time-varying delay. Inf. Sci. 2021, 566, 239–261. [Google Scholar] [CrossRef]
- Zhang, J.; Zhu, F.; Karimi, H.R.; Wang, F. Observer-based sliding mode control for T-S fuzzy descriptor systems with time delay. IEEE Trans. Fuzzy Syst. 2019, 27, 2009–2023. [Google Scholar] [CrossRef]
- Tian, Z.; Fong, S. Survey of meta-heuristic algorithms for deep learning training. In Optimization Algorithms; Baskan, O., Ed.; IntechOpen: London, UK, 2016; Chapter 9. [Google Scholar]
- Chaouch, H.; Charfeddine, S.; Ben Aoun, S.; Jerbi, H.; Leiva, V. Multiscale monitoring using machine learning methods: New methodology and an industrial application to a photovoltaic system. Mathematics 2022, 10, 890. [Google Scholar] [CrossRef]
- Yang, G.; Yao, J.; Ullah, N. Neuroadaptive control of saturated nonlinear systems with disturbance compensation. ISA Trans. 2022, 122, 49–62. [Google Scholar] [CrossRef]
- Yang, G.; Yao, J.; Dong, Z. Neuroadaptive learning algorithm for constrained nonlinear systems with disturbance rejection. Int. J. Robust Nonlinear Control 2022, 32, 6127–6147. [Google Scholar] [CrossRef]








| Symbol | Abbreviation/Acronym/Notation |
|---|---|
| set of the positive integer numbers | |
| set of the real numbers | |
| n | dimension of the Euclidean space |
| real matrix | |
| real symmetric positive definite matrix | |
| norm of the matrix | |
| transpose of the matrix | |
| ∗ | term that is induced by symmetry of a matrix |
| ⊗ | Kronecker product |
| the maximal eigenvalue of a matrix | |
| mathematical expectation | |
| sat | saturation function |
| transition probability from states p to q | |
| r | number of if-then rules |
| discrete-time Markov process | |
| premise variable j | |
| s | number of premise variables |
| fuzzy set i of | |
| grade of membership of to | |
| normalized membership | |
| bounded non-linear function i | |
| output error | |
| convex combination h | |
| convex combination | |
| DSMC | discrete-time sliding mode control |
| LMI | linear matrix inequalities |
| MJS | Markov jump systems |
| N/A | not applicable or not available |
| SMC | sliding mode control |
| SMO | sliding mode observer |
| TS | Takagi–Sugeno |
| Mode p | |
|---|---|
| 1 | 0.01 |
| 3 | 0.05 |
Publisher’s Note: MDPI stays neutral with regard to jurisdictional claims in published maps and institutional affiliations. |
© 2022 by the authors. Licensee MDPI, Basel, Switzerland. This article is an open access article distributed under the terms and conditions of the Creative Commons Attribution (CC BY) license (https://creativecommons.org/licenses/by/4.0/).
Share and Cite
Alshammari, O.; Kchaou, M.; Jerbi, H.; Ben Aoun, S.; Leiva, V. A Fuzzy Design for a Sliding Mode Observer-Based Control Scheme of Takagi-Sugeno Markov Jump Systems under Imperfect Premise Matching with Bio-Economic and Industrial Applications. Mathematics 2022, 10, 3309. https://doi.org/10.3390/math10183309
Alshammari O, Kchaou M, Jerbi H, Ben Aoun S, Leiva V. A Fuzzy Design for a Sliding Mode Observer-Based Control Scheme of Takagi-Sugeno Markov Jump Systems under Imperfect Premise Matching with Bio-Economic and Industrial Applications. Mathematics. 2022; 10(18):3309. https://doi.org/10.3390/math10183309
Chicago/Turabian StyleAlshammari, Obaid, Mourad Kchaou, Houssem Jerbi, Sondess Ben Aoun, and Víctor Leiva. 2022. "A Fuzzy Design for a Sliding Mode Observer-Based Control Scheme of Takagi-Sugeno Markov Jump Systems under Imperfect Premise Matching with Bio-Economic and Industrial Applications" Mathematics 10, no. 18: 3309. https://doi.org/10.3390/math10183309
APA StyleAlshammari, O., Kchaou, M., Jerbi, H., Ben Aoun, S., & Leiva, V. (2022). A Fuzzy Design for a Sliding Mode Observer-Based Control Scheme of Takagi-Sugeno Markov Jump Systems under Imperfect Premise Matching with Bio-Economic and Industrial Applications. Mathematics, 10(18), 3309. https://doi.org/10.3390/math10183309

