Abstract
In this paper, we propose a nonlinear state feedback controller based on linear matrix inequality (LMI) for a class of nonlinear systems with parametric uncertainties and external disturbances. The primary goals of the proposed controller are to guarantee system stability and performance in the presence of system uncertainties and time-dependent disturbances. To meet the specified objectives, the LMI form is calculated as a hierarchical control structure. Using the Lyapunov stability function, the asymptotic stability of the nominal system obtained from the nonlinear state feedback is proven, and the LMI condition is attained. After applying the nonlinear state feedback controller, asymptotic stability conditions for the nominal system are constructed using the Lyapunov function, and the nonlinear state-feedback control mechanism is determined accordingly. Considering the external disturbance as input, the terms of the state matrices are substituted in the obtained LMI, and the LMI condition for a nominal system is achieved in the presence of disturbances. The asymptotic stability condition of the uncertain system in the presence of external disturbances is determined by adding uncertainties to the system. The proposed approach yields a simple control mechanism representing an independent of system order. The performance of the proposed approach was assessed using a simulation study of a ball and beam system.
Keywords:
state feedback stability; linear matrix inequality; parametric uncertainty; external disturbance; robust control MSC:
93B52; 93D15; 15-XX; 93D21; 93D09; 93Dxx; 62F35; 35F50; 93C10
1. Introduction
The prevalence of nonlinearities in dynamic systems makes control design challenging. This is further exacerbated when disturbances are added to the system. To date, various approaches have been developed and implemented to control and/or stabilize nonlinear disturbed systems [1,2,3,4,5]. Because system states are affected by disturbances and nonlinearities, errors emerge in dynamical systems, and disregarding their impact, may lead to extreme deterioration in system performance and even instability [6,7,8]. As a result, it is well-established that controlling nonlinear systems in the presence of disturbances has significant practical implications [9,10,11]. In recent years, there has been a noticeable increase in the focus on developing suitable control laws for nonlinear dynamical systems in the presence of parameter uncertainties [12,13,14]. Yu et al. [15] proposed a command-filtering backstepping control approach based on neural network approximation for nonlinear SISO systems with unknown disturbances. Using active disturbance rejection control, Ran et al. [16] investigated the stabilization problem of a class of nonlinear systems with actuator saturation. Celentano and Basin [17] proposed an approach to design robust controllers to track a reference signal with a small error norm for uncertain nonlinear systems with bounded disturbances. In [18], a robust controller was designed to maintain the states on a predefined sliding surface and guarantee the discrete time-reaching condition. In [19], by incorporating a linear feedback control technique, a dynamic feedback method, and an uncertainty and disturbance estimator (UDE)-based control approach, two UDE-based control methods were designed to stabilize fractional order systems with both model uncertainties and external disturbances.
The majority of the problems encountered by engineers in practical applications are subject some level of uncertainty due to inaccurate modeling, including robotic manipulators [20], non-holonomic plants [21], power systems [22], and flexible space configurations [23]. Thus, system uncertainties should always be considered when designing a control system for stability and performance. Over the years, significant research has been conducted on the implementation of robust nonlinear state-feedback control schemes that handle system uncertainties. One of the methods described is linear matrix inequality (LMI), which is a practical tool used in the analysis and design of control systems [24,25,26]. The LMI approach is a practical and powerful tool for dealing with system uncertainties, such as parametric [27] or unstructured uncertainties [28,29]. The use of state and output feedback control methods to achieve robust linear system stabilization was investigated in [30]. Uncertainty is a polytope studied in both continuous and discrete time systems. It proposes synthesis conditions that directly address the control gain as an optimization variable, in contrast to other LMI-based robust stabilization approaches. The LMI approach was used in [31] to solve the problem of static output feedback (SOF) stabilization for uncertain linear systems. This problem frequently results in the possibility of bilinear matrix inequality (BMI). As a result, it has been proposed to transform the BMI into a new LMI with a line search over a scalar variable using various technical lemmas, resulting in an improved and less conservative LMI condition with a line search over two scalar variables. The design of state and output feedback controllers for uncertain linear parameter varying (LPV) systems is considered to guarantee some desired bounds on and performances and satisfy some desired constraints on the location of closed-loop poles [32,33]. In [34], by using a quadratic Lyapunov function, adequate conditions for a state feed-back-based controller and an observer-based controller were proposed in the form of non-convex matrix inequalities that consider actuator saturation. Furthermore, undesirable inputs, such as disturbances, should be considered; Oh et al. [35] focused on reducing the impact of disturbances on specific applications in this manner. In [36,37,38,39], the authors focused on the design of robust controllers for linear systems with uncertainty and disturbance. These controllers considered stabilizing the plant for all conceivable parameter uncertainties, as well as providing a preferred reduction level for uncontrollable external disturbances. Nonlinearity, in addition to uncertainty and disturbance, is a challenge [40]. LMI conditions are presented for robust asymptotic stability of rational uncertain nonlinear systems. The uncertainties are modeled as polytope-bounded, real-time varying parameters, and the system vector field is a rational function of the states and uncertain parameters. A rational Lyapunov function of states and uncertain parameters provides enough LMI conditions for the asymptotic stability of the origin. LMI was used to stabilize uncertain nonlinear systems with Lipschitz nonlinearities in [41]. The proposed controller improves both transient and steady-state performance. A nonlinear function was optimized using a modified random search approach in the control law. For the stability criteria [42,43,44], the S-procedure can be used first, followed by the Schur complement and the matrix inversion lemma to convert BMIs into LMIs using these formulas and by implementing various mechatronics configurations. The control law described in [45] incorporates a new nonlinear function that optimized using a modified random search technique. Furthermore, Mobayen and Pujol-Vázquez [46] investigated the challenge of robust performance analyses for a category of nonlinear systems with exterior disturbances. Jennawasin et al. [47] introduced new variables that divide the system and Lyapunov matrices to avoid the limitations of conventional state-feedback techniques; thus, state-feedback controller parameterization is unrelated to Lyapunov matrices. Because the suggested design condition is bilinear in the choice variables, an iterative approach is also suggested. In [48], the input to state-stability Lyapunov functions was used to develop an LMI-framed linear-state variable feedback control scheme for MIMO Lipschitz nonlinear systems with bounded parameter uncertainty. The authors of [49,50] addressed the problem of observer-based robust control for nonlinear uncertain systems. Amini et al. [51] investigated the robust static output feedback problem for nonlinear systems with uncertainty. An output feedback controller architecture using LMI ensures pole-positioning and limitations. A one-sided Lipschitz nonlinear system was considered in [52], and LMI approaches were used to create state feedback, with static output feedback controllers as the suggested controllers ensure finite, time-bounded, closed-loop systems with a desired performance index.
The aforementioned articles proposed and implemented a wide range of LMI-based controllers to solve different problems. However, in addition to suffering from some drawbacks, most of the available controllers do not simultaneously address nonlinearities, uncertainties, and disturbances, often overlooking at least one of the noted objectives. For example, the work proposed in [30,31,32,33,34] satisfies the requirement of uncertain linear systems, whereas [35] considers nominal linear systems in the presence of disturbances. Uncertain nonlinear systems were investigated in [47,48,49,50]. Additionally, most of the above approaches make some assumptions and impose limitations on the system, such as Lipschitzian nonlinearities.
In this paper, we propose a simple and less restrictive LMI-based hierarchical control design procedure for nonlinear systems subject to disturbances and uncertainties. The main contributions of this work are as follows:
- Development of a simple and easy-to-implement nonlinear state feedback controller for a class of nonlinear and uncertain systems;
- Design of a hierarchical controller to ensure system stability and mitigate the effect of disturbances through Lyapunov stability theory; and
- Determination of the feedback gains and upper bound of of the transfer function using linear matrix inequalities.
The remainder of this paper is organized as follows. In Section 2, we introduce the problem definition and preliminaries. The proposed LMI-based state feedback control design is derived in Section 3. The effectiveness of the proposed approach is illustrated using a simulation study of a ball and beam system in Section 4. Finally, conclusions are presented in Section 5.
2. Problem Statement and Assumption
Consider the following uncertain nonlinear dynamical system with exerted disturbances:
where are the system states, outputs, nonlinear input control, and disturbance, respectively. The nominal matrices, , are constant known matrices with appropriate dimensions. Represents system uncertainties, are known matrices, and [53] is a matrix that contains the uncertain parameters and satisfies [53].
The following nonlinear state feedback control law is proposed:
where is the input controller for the linear system.
Assumption 1:
is a continuously differentiable function.
Remark 1:
For the non-square or rank deficientmatrix, instead of the formal inverse matrix, the pseudo-inverse will be used.
Remark 2:
For any scalar and real, the following inequality exists [53,54]:
where the matrices and are of consistent dimensions.
3. Stability and Robustness Analysis
First, consider the nominal dynamical system without disturbances, which is defined as:
With the transfer function of control input () to output () [55]:
According to inequality, as defined in [56]:
The aim is to design a robust controller to attenuate the effect of the inputs on the outputs, which means that the bounded term should be minimized.
Theorem 1.
Letbe provided in (6), and assume , where is an unknown positive parameter. If there exists a symmetric positive matrix (), such that the subsequent linear matrix inequalities hold:
then, the nominal dynamical system (5) is asymptotically stable.
Proof:
Suppose the system is controllable from the input to the states with ( is an unknown positive parameter), which is equivalent to or which can be expressed as:
The purpose is to represent the above robust condition in the form of LMI. Consider a scalar Lyapunov function in the form of:
Suppose the derivative of Lyapunov’s function holds in the following relation:
Integrating (11) yields:
or
Assuming:
As a consequence,
Because the function is greater than zero, Equation (9) is obtained. Therefore, if relation (11) is established, then relation (9) will also be proven. The following investigates under which conditions relationship (11) should be obtained.
When Equation (5) substitutes the derivative of (10), the result is:
Substituting the equation obtained from (16) into Equation (11) yields:
The right-hand side of (17) can be simplified as follows:
Then, Equation (17) is converted to the following matrix form:
If the matrix () is negative and definite, then relation (11) and, consequently, relation (9) will be established. Assuming is controllable, it can be shown that is also a necessary condition to fulfill Equation (9). Relation can be considered in the form of an LMI with the variable , where ; hence, if LMI has a solution, condition is met. Using Schur’s complement lemma [57], matrix results in:
If is unknown, by defining the new variable (), the problem is defined in the new LMI form:
Therefore, the nominal dynamical system (5) is asymptotically stable if the LMI (20) or (21) is feasible. □
In the second step, if the nonlinear controller (2) is added to the nominal dynamical system with disturbances (1), the following equation is achieved:
The purpose is to determine the gain () so that the closed-loop system in the presence of disturbances is stable, while minimizing the effect of input () on system output (). The transfer function of input to output is [55]:
Theorem 2.
Letbe provided in (23), and assume , where is a positive variable. If there exist symmetric positive matrices ( and ) with suitable dimensions such that the following linear matrix inequalities are satisfied:
then, the nominal dynamical system with disturbances (22) is asymptotically stable.
Proof:
Placing the state matrices of the dynamic system (22) in the LMI elements resulting from Equation (8) yields:
Using a congruence transformation, such as , and pre-post multiplying in Equation (25) yields:
That is,
where .
The case is recast as an LMI feasibility problem in the manner of (24); therefore, if there exist matrices and , the disturbed dynamical system (22) is asymptotically stable. □
The aforementioned theorems ensure the asymptotic stability of the nominal systems under both non-perturbation and perturbation conditions using the robust control approach. We will continue our investigation into the problem of robust state feedback control of nonlinear systems with parameter uncertainties in the following sections. Consider the nonlinear dynamical system (1), the transfer function of which is given below [55]:
According to input–output relationships defined in [56]:
The purpose is to implement a robust controller to attenuate the perturbations, while ensuring asymptotic stability of the dynamical system (1).
Theorem 3.
Letbe provided in (28), and assume , where is a positive variable. If there exists a scalar , a symmetric positive matrix (), and a matrix () with appropriate dimensions such that the following linear matrix inequalities are satisfied:
Proof:
Substituting the nonlinear controller (2) in Equation (1) yields the following closed-loop system:
The state matrices in Equation (32) are inserted in the LMI derived from Theorem 2. Therefore:
Separating the uncertain terms yields:
The uncertainty term of (34) can be expressed as [53]:
Remark 2 implies that:
By applying the Schur complement lemma [57]:
Finally, if the LMI defined in Theorem 3 has a solution, the system is asymptotically stable. □
4. Simulation Results
To evaluate the performance of the proposed approach, we applied it to a ball and beam system and compared the obtained dynamics to that of the system proposed in [1]. In a ball and beam configuration, the objective is typically to balance a ball in an unstable equilibrium position. As shown in Figure 1, the ball and beam configuration includes a rotating servo-motor actuator, a rotary beam, and sensors at the beam’s two ends. In this paper, we considers three scenarios. In the first scenario, we investigate the stability and controller design of a nominal nonlinear system with no disturbances using LMIs. Then, to overcome the system’s disturbances, a perturbed nonlinear system is studied in the second scenario, and an LMI-based controller is developed. The third scenario simultaneously considers nonlinearities, perturbations, and uncertainty terms. According to Figure 2, the ball position coordinate is the beam angle coordinate.
Figure 1.
Three-dimensional graphic of ball and beam system DS SolidWorks®, 2020 SP5.0 Premium x64.
Figure 2.
Two-dimensional graphic of a ball and beam system Microsoft Visio®, Pro 2019 v2005 Build 14026.20302 Retail.
To achieve kinetic energy, first, it is necessary to obtain the linear and angular velocities of the ball and beam.
Therefore, the angular velocity of the ball and beam is:
where is the ball radius. Consequently, the total kinetic and potential energy of the system are as follows:
where is the ball’s mass, and and are the moments of inertia of the ball and beam, respectively. By using the Lagrange relation:
The generalized coordinates of the system are and , yielding the following:
and the equation in direction is:
Therefore:
Finally, the equation can be expressed as follows:
where:
Therefore, the state equation of the system is:
The nonlinear term of the system in Equation (46) is extracted as follows:
Linearizing the system Equation (46) around the origin yields:
where . Eventually, using the obtained Equations (47) and (48), the dynamic equation of the system (44) can be converted to the form of relation (4). Then, the following equations are obtained after substituting the values in Table 1.
Table 1.
Physical parameter values for the ball and beam system.
The following mathematical analysis and proof of the stability and convergence properties of the proposed controller combined with the ball and beam system is presented. Consider the nominal Equation (49) without disturbances by replacing Equations (2) and (3) into system equations as follows:
The aim is to design a robust controller to reduce the effect of input on the output; in particular, the bounded term should be minimized. Suppose the system is controllable from the input to the states with the following relation [55,56]:
Then, consider a scalar Lyapunov function:
Based on Equation (51), suppose the derivative of the Lyapunov’s function holds in the following relation:
Integrating (53) yields:
Because the function is greater than zero, Equation (51) is obtained. Therefore, if relation (53) is established, then Equation (51) will also be proven. Substituting Equation (50) in and substituting in Equation (53) yields:
If the matrix () is negative and definite, then relation (53) and, consequently, relation (51) will be established. Assuming the pair is controllable, it can be shown that is also a necessary condition to fulfill Equation (51). The relation can be considered in the form of an LMI with the variable , where ; hence, if LMI has a solution, the condition is met. Using Schur’s complement lemma [57], the matrix results in:
If is unknown, by defining the new variable, , the problem is defined in the new LMI in the following form:
Therefore, the nominal dynamical system (50) is asymptotically stable if the LMI (56) or (57) is feasible. Next, by replacing the disturbances and uncertainties as inputs, such as (7), and implementing procedures (25) through (36), we can obtain relation (30), in which the system would be stable if the LMI has a solution.
4.1. Scenario 1: Nominal System
For the first scenario, a nominal system without any perturbations is considered. The initial condition is ; then, using MATLAB® YALMIP®, the variables will be obtained:
The simulation results are shown in the following figures. The main goal of the ball and beam system is to keep the ball in a specific position. As shown in Figure 3, the proposed approach achieves asymptotic stability for the system, and the nonlinear system’s states reach steady states after 2.8 s. Figure 4 shows that the proposed controller effort is bounded in both transient and steady states. Figure 1 depicts a comparison of the proposed approach and the method applied in [1], demonstrating that the proposed approach (illustrated using Theorem 1) has a faster response, particularly for output one.
Figure 3.
(a) State trajectoriy of a nominal nonlinear system (indicating the suggested approach’s stabilizing efficiency in comparison to the method applied in [1]). (b) State trajectoriy of a nominal nonlinear system (indicating the suggested approach’s stabilizing efficiency in comparison to the method applied in [1]). (c) State trajectory of a nominal nonlinear system (indicating the suggested approach’s stabilizing efficiency in comparison to the method applied in [1]). (d) State trajectory of a nominal nonlinear system (indicating the suggested approach’s stabilizing efficiency in comparison to the method applied in [1]).
Figure 4.
Controller effort of the suggested approach in comparison to the method applied in [1].
4.2. Scenario 2: Perturbed Nominal System
For the perturbed nominal system, the initial condition is considered as . Moreover, the applied disturbance type is , which varies over time; its related constants that affect the state derivatives and system outputs are: and , respectively. Using YALMIP®, the following variables will be obtained:
As illustrated in Figure 5 and Figure 6, the proposed approach (Theorem 2) yields adequate performance with acceptable disturbance reduction. Despite the perturbation, states and control efforts would remain constrained and reach a steady state around 3.25 s. Furthermore, when compared to method applied in [1], the ball position converges to the origin faster, achieving better performance.
Figure 5.
(a) State x1 trajectory of a perturbed nominal nonlinear system (indicating the suggested approach’s stabilizing efficiency in comparison to the method of Golestani et al., 2020, applied in [1]). (b) State x2 trajectory of a perturbed nominal nonlinear system (indicating the suggested approach’s stabilizing efficiency in comparison to the method of Golestani et al., 2020, applied in [1]). (c) State x3 trajectory of a perturbed nominal nonlinear system (indicating the suggested approach’s stabilizing efficiency in comparison to the method of Golestani et al., 2020, applied in [1]). (d) State x4 trajectory of a perturbed nominal nonlinear system (indicating the suggested approach’s stabilizing efficiency in comparison to the method of Golestani et al., 2020, applied in [1]).
Figure 6.
Control effort of suggested approach compared to the method of Golestani et al., 2020, applied in [1].
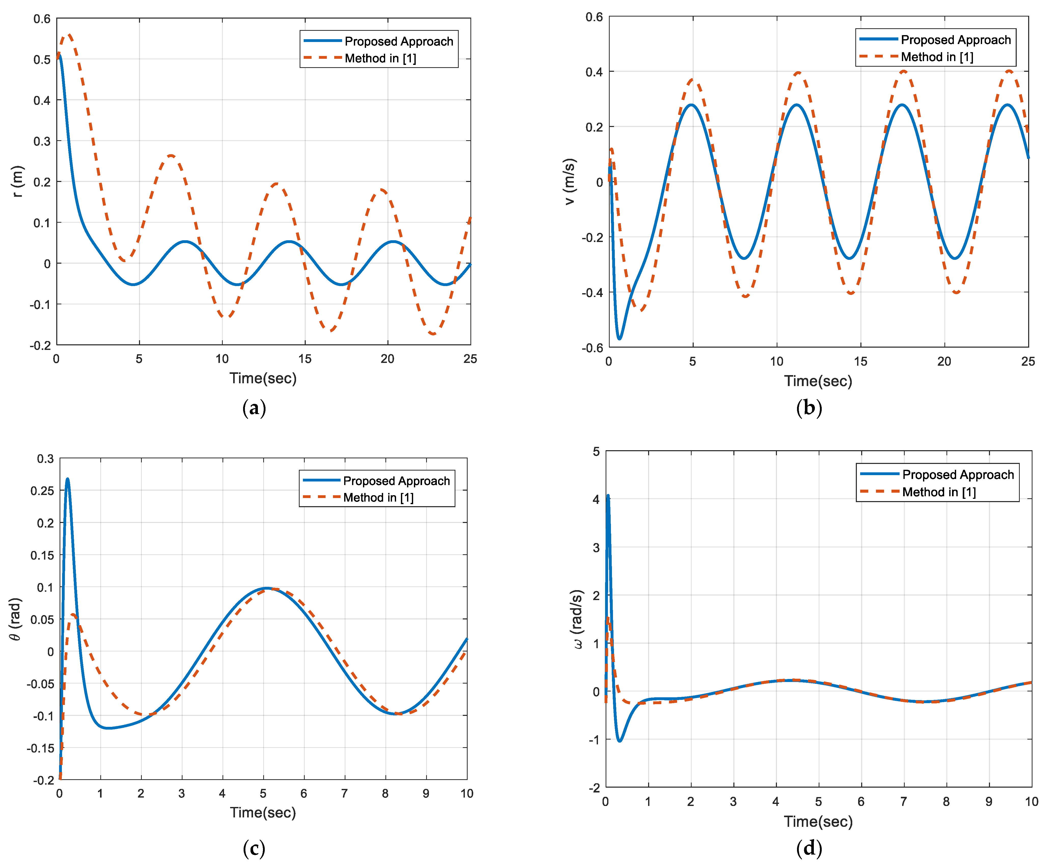
4.3. Scenario 3: Perturbed Uncertain System
To assess the robustness of the proposed control, we assume the ball and beam system as described, with an added uncertainty term of a magnitude of 10% in matrix A. Consider the following initial condition and constant matrices:
Using the YALMIP® solver, the LMI condition (30) is solved as:
The state trajectories and control effort in this case are depicted in Figure 7 and Figure 8, respectively.
Figure 7.
(a) State x1 trajectory of a perturbed and uncertain nonlinear system (indicating the suggested approach’s stabilizing efficiency in comparison to the method of Golestani et al., 2020, applied in [1]). (b) State x2 trajectory of a perturbed and uncertain nonlinear system (indicating the suggested approach’s stabilizing efficiency in comparison to the method of Golestani et al., 2020, applied in [1]). (c) State x3 trajectory of a perturbed and uncertain nonlinear system (indicating the suggested approach’s stabilizing efficiency in comparison to the method applied in [1]). (d) State x4 trajectory of a perturbed and uncertain nonlinear system (indicating the suggested approach’s stabilizing efficiency in comparison to the method of Golestani et al., 2020, applied in [1]).
Figure 8.
Controller effort of proposed technique in comparison with the method of Golestani et al., 2020 [1].
Figure 7 and Figure 8 show that the proposed approach performs adequately. The nonlinear system’s states and control efforts are always limited, and the provided controller reduces system disturbances to a reasonable extent. According to the results presented in Figure 7 and Figure 8, the proposed approach (Theorem 3) provides a faster and bounded answer with a lower amplitude of oscillations in steady states than the method presented in [1].
5. Conclusions
In this paper, we proposed an LMI-based nonlinear state feedback-stabilizing controller for a class of nonlinear systems with parametric uncertainties and external disturbances. The LMI stability criteria were first formulated for the nominal system; then, the disturbances and uncertainties were added. The LMI form was determined using the asymptotic stability criterion, and the nonlinear state-feedback control technique was determined. Among the advantages of the proposed approach are its low computational cost and its simple formulation, which is independent of the number of inputs and outputs in the system. The performance of the approach was assessed using a ball and beam system. The obtained results confirm the boundedness of the controller effort and states. Additionally, the proposed approach was shown to produce satisfactory results in the presence of varying disturbances. In steady state, the obtained results showed the ball reaching the origin in 3.6 s and oscillating with low amplitude. Our future work will focus on extending the proposed control approach by incorporating linear parametric variation (LPV) and input saturation.
Author Contributions
Conceptualization, M.C., M.T.V. and S.M.; formal analysis, S.M., A.F., M.C. and M.T.V.; funding acquisition, A.F.; investigation, S.M., M.C. and M.T.V.; methodology, M.C. and S.M.; writing—original draft, M.T.V. and S.M.; writing—review and editing and supervision, S.M., M.C., A.F. and M.T.V. All authors have read and agreed to the published version of the manuscript.
Funding
This research received no external funding.
Data Availability Statement
The data that support the findings of this study are available within the article.
Acknowledgments
The authors appreciate the respected reviewers, the associate editor, and the editor-in-chief for their invaluable time.
Conflicts of Interest
The authors declare no conflict of interest.
References
- Golestani, M.; Mobayen, S.; HosseinNia, S.H.; Shamaghdari, S.J.S. An LMI approach to nonlinear state-feedback stability of uncertain time-delay systems in the presence of Lipschitzian nonlinearities. Symmetry 2020, 12, 1883. [Google Scholar] [CrossRef]
- Xue, W.; Huang, Y. Performance analysis of 2-DOF tracking control for a class of nonlinear uncertain systems with discontinuous disturbances. Int. J. Robust Nonlinear Control. 2018, 28, 1456–1473. [Google Scholar] [CrossRef]
- Li, Y.; Ke, J.; Zeng, J. Tracking control for lower limb rehabilitation robots based on polynomial nonlinear uncertain models. Int. J. Robust Nonlinear Control. 2021, 31, 2186–2204. [Google Scholar] [CrossRef]
- Eshag, M.A.; Ma, L.; Sun, Y.; Zhang, K. Robust boundary vibration control of uncertain flexible robot manipulator with spatiotemporally-varying disturbance and boundary disturbance. Int. J. Control. Autom. Syst. 2021, 19, 788–798. [Google Scholar] [CrossRef]
- Ameri, A.; Molaei, A.; Khosravi, M.A.; Hassani, M. Control-based Tension Distribution Scheme for Fully-Constrained Cable-Driven Robots. EEE Trans. Ind. Electron. 2021, 69, 11383–11393. [Google Scholar] [CrossRef]
- Yao, X.; Zhang, L.; Zheng, W. Uncertain disturbance rejection and attenuation for semi-Markov jump systems with application to 2-degree-freedom robot arm. IEEE Trans. Circuits Syst. I Regul. Pap. 2021, 68, 3836–3845. [Google Scholar] [CrossRef]
- Gu, J.; Wang, H.; Li, W.; Niu, B. Adaptive State-Feedback Stabilization for Stochastic Nonlinear Systems with Time-Varying Powers and Unknown Covariance. Mathematics 2022, 10, 2873. [Google Scholar] [CrossRef]
- Mobayen, S.; Alattas, K.A.; Fekih, A.; El-Sousy, F.F.; Bakouri, M. Barrier function-based adaptive nonsingular sliding mode control of disturbed nonlinear systems: A linear matrix inequality approach. Chaos Solitons Fractals 2022, 157, 111918. [Google Scholar] [CrossRef]
- Belkhier, Y.; Achour, A. Passivity-based voltage controller for tidal energy conversion system with permanent magnet synchronous generator. Int. J. Control. Autom. 2021, 19, 988–998. [Google Scholar] [CrossRef]
- Wu, X.; Xu, K.; Lei, M.; He, X. Disturbance-Compensation-Based Continuous Sliding Mode Control for Overhead Cranes with Disturbances. IEEE Trans. Autom. Sci. Eng. 2020, 17, 2182–2189. [Google Scholar] [CrossRef]
- Mobayen, S.; Alattas, K.A.; Assawinchaichote, W. Adaptive continuous barrier function terminal sliding mode control technique for disturbed robotic manipulator. IEEE Trans. Circuits Syst. I Regul. Pap. 2021, 68, 4403–4412. [Google Scholar] [CrossRef]
- Belkhier, Y.; Shaw, R.N.; Bures, M.; Islam, M.R.; Bajaj, M.; Albalawi, F.; Alqurashi, A.; Ghoneim, S.S. Robust interconnection and damping assignment energy-based control for a permanent magnet synchronous motor using high order sliding mode approach and nonlinear observer. Energy Rep. 2022, 8, 1731–1740. [Google Scholar] [CrossRef]
- Dertimanis, V.K.; Chatzi, E.; Masri, S.F. On the active vibration control of nonlinear uncertain Structures. J. Appl. Comput. Mech. 2021, 7, 1183–1197. [Google Scholar]
- Belkhier, Y.; Achour, A.; Ullah, N.; Shaw, R.N.; Farooq, Z.; Ullah, A.; Alzaed, A.N. Intelligent Energy-Based Modified Super Twisting Algorithm and Factional Order PID Control for Performance Improvement of PMSG Dedicated to Tidal Power System. IEEE Access 2021, 9, 57414–57425. [Google Scholar] [CrossRef]
- Yu, J.; Chen, B.; Yu, H.; Lin, C.; Zhao, L. Neural networks-based command filtering control of nonlinear systems with uncertain disturbance. Inf. Sci. 2018, 426, 50–60. [Google Scholar] [CrossRef]
- Ran, M.; Wang, Q.; Dong, C.J.A. Stabilization of a class of nonlinear systems with actuator saturation via active disturbance rejection control. Automatica 2016, 63, 302–310. [Google Scholar] [CrossRef]
- Celentano, L.; Basin, M.V. An Approach to Design Robust Tracking Controllers for Nonlinear Uncertain Systems. IEEE Trans. Syst. Man Cybern. Syst. 2018, 50, 3010–3023. [Google Scholar] [CrossRef]
- He, S.; Lyu, W.; Liu, F. Robust H∞ sliding mode controller design of a class of time-delayed discrete conic-type nonlinear systems. IEEE Trans. Syst. Man Cybern. Syst. 2018, 51, 885–892. [Google Scholar] [CrossRef]
- Peng, R.; Jiang, C.; Guo, R. Stabilization of a Class of Fractional Order Systems with Both Uncertainty and Disturbance. IEEE Access 2021, 9, 42697–42706. [Google Scholar] [CrossRef]
- Xiao, B.; Yin, S. Exponential Tracking Control of Robotic Manipulators with Uncertain Dynamics and Kinematics. IEEE Trans. Ind. Inform. 2018, 15, 689–698. [Google Scholar] [CrossRef]
- Wu, Y.; Wang, Y. Asymptotic tracking control of uncertain nonholonomic wheeled mobile robot with actuator saturation and external disturbances. Neural Comput. Appl. 2020, 32, 8735–8745. [Google Scholar] [CrossRef]
- Wu, J.; Zhang, B.; Jiang, Y.; Bie, P.; Li, H. Chance-constrained stochastic congestion management of power systems considering uncertainty of wind power and demand side response. Int. J. Electr. Power Energy Syst. 2019, 107, 703–714. [Google Scholar] [CrossRef]
- Zhu, W.; Zong, Q.; Tian, B.; Liu, W. Disturbance Observer-Based Active Vibration Suppression and Attitude Control for Flexible Spacecraft. IEEE Trans. Syst. Man Cybern. Syst. 2020, 52, 893–901. [Google Scholar] [CrossRef]
- Mobayen, S.; Tchier, F. An LMI approach to adaptive robust tracker design for uncertain nonlinear systems with time-delays and input nonlinearities. Nonlinear Dyn. 2016, 85, 1965–1978. [Google Scholar] [CrossRef]
- Naseri, K.; Vu, M.T.; Mobayen, S.; Najafi, A.; Fekih, A. Design of Linear Matrix Inequality-Based Adaptive Barrier Global Sliding Mode Fault Tolerant Control for Uncertain Systems with Faulty Actuators. Mathematics 2022, 10, 2159. [Google Scholar] [CrossRef]
- Karami, H.; Mobayen, S.; Lashkari, M.; Bayat, F.; Chang, A. LMI-Observer-Based Stabilizer for Chaotic Systems in the Existence of a Nonlinear Function and Perturbation. Mathematics 2021, 9, 1128. [Google Scholar] [CrossRef]
- Cheng, S.; Li, L.; Liu, C.-Z.; Wu, X.; Fang, S.-N.; Yong, J.-W. Robust LMI-Based H-Infinite Controller Integrating AFS and DYC of Autonomous Vehicles with Parametric Uncertainties. IEEE Trans. Syst. Man Cybern. Syst. 2020, 51, 6901–6910. [Google Scholar] [CrossRef]
- Ngo, P.D.; Shin, Y.C. Modeling of unstructured uncertainties and robust controlling of nonlinear dynamic systems based on type-2 fuzzy basis function networks. Eng. Appl. Artif. Intell. 2016, 53, 74–85. [Google Scholar] [CrossRef]
- Jafari, M.; Mobayen, S.; Roth, H.; Bayat, F. Nonsingular terminal sliding mode control for micro-electro-mechanical gyroscope based on disturbance observer: Linear matrix inequality approach. J. Vib. Control 2022, 28, 1126–1134. [Google Scholar] [CrossRef]
- Felipe, A.; Oliveira, R.C. An LMI-based algorithm to compute robust stabilizing feedback gains directly as optimization variables. IEEE Trans. Autom. Control. 2020, 66, 4365–4370. [Google Scholar] [CrossRef]
- Gritli, H.; Zemouche, A.; Belghith, S. On LMI conditions to design robust static output feedback controller for continuous-time linear systems subject to norm-bounded uncertainties. Int. J. Syst. Sci. 2021, 52, 12–46. [Google Scholar] [CrossRef]
- Rotondo, D.; Nejjari, F.; Puig, V. Robust state-feedback control of uncertain LPV systems: An LMI-based approach. J. Frankl. Inst. 2014, 351, 2781–2803. [Google Scholar] [CrossRef]
- Behrouz, H.; Mohammadzaman, I.; Mohammadi, A. Robust static output feedback H2/H∞ control synthesis with pole placement constraints: An LMI approach. Int. J. Control. Autom. Syst. 2021, 19, 241–254. [Google Scholar] [CrossRef]
- Yu, J.; Yang, C.; Tang, X.; Wang, P. H∞ control for uncertain linear system over networks with Bernoulli data dropout and actuator saturation. ISA Trans. 2018, 74, 1–13. [Google Scholar] [CrossRef]
- Oh, K.-K.; Moore, K.L.; Ahn, H.-S. Disturbance Attenuation in a Consensus Network of Identical Linear Systems: An H∞ Approach. IEEE Trans. Autom. Control. 2014, 59, 2164–2169. [Google Scholar] [CrossRef]
- Fan, J.; Zhang, Y.; Zheng, Z. Observer-based reliable stabilization of uncertain linear systems subject to actuator faults, saturation, and bounded system disturbances. ISA Trans. 2013, 52, 730–737. [Google Scholar] [CrossRef]
- Ríos, H.; Mera, M.; Efimov, D.; Polyakov, A. Robust output-control for uncertain linear systems: Homogeneous differentiator-based observer approach. Int. J. Robust Nonlinear Control 2017, 27, 1895–1914. [Google Scholar] [CrossRef]
- Belov, A.A.; Andrianova, O.G. Robust Control Design for Suppressing Random Exogenous Disturbances in Parametrically Uncertain Linear Systems. Autom. Remote Control 2020, 81, 649–661. [Google Scholar] [CrossRef]
- Mahmoudi, M.; Safari, A. LMI based robust control design for multi-input–single-output DC/DC converter. Int. J. Dyn. Control 2019, 7, 379–387. [Google Scholar] [CrossRef]
- Trofino, A.; Dezuo, T. LMI stability conditions for uncertain rational nonlinear systems. Int. J. Robust Nonlinear Control 2014, 24, 3124–3169. [Google Scholar] [CrossRef]
- Mobayen, S. Optimal LMI-based state feedback stabilizer for uncertain nonlinear systems with time-Varying uncertainties and disturbances. Complexity 2016, 21, 356–362. [Google Scholar] [CrossRef]
- Gritli, H.; Belghith, S. Robust feedback control of the underactuated Inertia Wheel Inverted Pendulum under parametric uncertainties and subject to external disturbances: LMI formulation. J. Frankl. Inst. 2018, 355, 9150–9191. [Google Scholar] [CrossRef]
- Gritli, H.; Belghith, S. LMI-based synthesis of a robust saturated controller for an underactuated mechanical system subject to motion constraints. Eur. J. Control 2021, 57, 179–193. [Google Scholar] [CrossRef]
- Turki, F.; Gritli, H.; Belghith, S. An LMI-based design of a robust state-feedback control for the master-slave tracking of an impact mechanical oscillator with double-side rigid constraints and subject to bounded-parametric uncertainty. Commun. Nonlinear Sci. Numer. Simul. 2020, 82, 105020. [Google Scholar] [CrossRef]
- Mobayen, S. An LMI-based robust tracker for uncertain linear systems with multiple time-varying delays using optimal composite nonlinear feedback technique. Nonlinear Dyn. 2015, 80, 917–927. [Google Scholar] [CrossRef]
- Mobayen, S.; Pujol-Vázquez, G. A robust LMI approach on nonlinear feedback stabilization of continuous state-delay systems with Lipschitzian nonlinearities: Experimental validation. Iran. J. Sci. Technol. Trans. Mech. Eng. 2019, 43, 549–558. [Google Scholar] [CrossRef]
- Jennawasin, T.; Kawanishi, M.; Narikiyo, T.; Banjerdpongchai, D. Iterative LMI Approach to Robust State-feedback Control of Polynomial Systems with Bounded Actuators. Int. J. Control. Autom. Syst. 2019, 17, 847–856. [Google Scholar] [CrossRef]
- Mukherjee, A.; Sengupta, A.J.S. LMI-based robust tracking of a class of MIMO nonlinear systems. Sādhanā 2019, 44, 1–10. [Google Scholar] [CrossRef]
- Wang, Y.; Rajamani, R.; Zemouche, A. Sequential LMI approach for the design of a BMI-based robust observer state feedback controller with nonlinear uncertainties. Int. J. Robust Nonlinear Control 2018, 28, 1246–1260. [Google Scholar] [CrossRef]
- Tan, Y.; Xiong, M.; Du, D.; Fei, S. Observer-based robust control for fractional-order nonlinear uncertain systems with input saturation and measurement quantization. Nonlinear Anal. Hybrid Syst. 2019, 34, 45–57. [Google Scholar] [CrossRef]
- Amini, A.; Azarbahram, A.; Sojoodi, M. H∞ Consensus of nonlinear multi-agent systems using dynamic output feedback controller: An LMI approach. Nonlinear Dyn. 2016, 85, 1865–1886. [Google Scholar] [CrossRef]
- Song, J.; He, S. Robust finite-time H∞ control for one-sided Lipschitz nonlinear systems via state feedback and output feedback. J. Frankl. Inst. 2015, 352, 3250–3266. [Google Scholar] [CrossRef]
- Ibrir, S.; Diopt, S. Novel LMI conditions for observer-based stabilization of Lipschitzian nonlinear systems and uncertain linear systems in discrete-time. Appl. Math. Comput. 2008, 206, 579–588. [Google Scholar] [CrossRef]
- Duan, G.-R.; Yu, H.-H. LMIs in Control Systems: Analysis, Design and Applications; CRC Press: Boca Raton, FL, USA, 2013. [Google Scholar]
- Lin, F. Robust Control Design: An Optimal Control Approach; John Wiley & Sons: Hoboken, NJ, USA, 2007. [Google Scholar]
- Doyle, J.C.; Francis, B.A.; Tannenbaum, A.R. Feedback Control Theory; Courier Corporation: North Chelmsford, MA, USA, 2013. [Google Scholar]
- Boyd, S.; El Ghaoui, L.; Feron, E.; Balakrishnan, V. Linear Matrix Inequalities in System and Control Theory; SIAM: Philadelphia, PA, USA, 1994. [Google Scholar]
Publisher’s Note: MDPI stays neutral with regard to jurisdictional claims in published maps and institutional affiliations. |
© 2022 by the authors. Licensee MDPI, Basel, Switzerland. This article is an open access article distributed under the terms and conditions of the Creative Commons Attribution (CC BY) license (https://creativecommons.org/licenses/by/4.0/).







