Abstract
In this paper, a rumor-spreading model with Holling type III functional response was established. The existence of the equilibrium points was discussed. According to the Routh–Hurwitz criteria, the locally asymptotic stability of the equilibrium points was analyzed. The global stability of the equilibrium points was proven based on Lasalle’s invariance principle and generalized Bendixson–Dulac theorem. Numerical simulations were carried out to illustrate the impact of different parameters on the spread of rumors. When the stifling rate increases, or the predation capacity or the system coming rate decreases, the number of rumor-spreaders is reduced to extinction. The results provide theory, method and decision support for effectively controlling the spread of rumors.
MSC:
90B99
1. Introduction
Most rumors are not based on corresponding facts but fabricated and spread by certain means. They are kinds of false information that deviates from the truth or is widely spread as “truth” when the truth is temporarily missing, and the information has not been verified [1]. As an unfavorable social phenomenon, the spread of rumors hinders the healthy development of public opinions and affects the stability of society when it becomes serious [2,3]. With the wide use of social media, such as the open, convenient and efficient WeChat and Micro-blog, various kinds of rumors add to the pressure on the information supervision of major platforms and challenge public social security and crisis management. Therefore, how to effectively control the spread of rumors is not only a practical problem that needs to be solved by major platform managers, government departments and corporations but also one of the essential scientific issues to be studied in the fields of public social security, social governance and crisis management.
Allport and Postman believed that the spread of rumors is related to its importance and fuzziness and put forward the rumor intensity formula: , where represents the intensity of the spread of rumors, is the importance of rumors to the public and is the fuzziness of information [4]. In other words, the emergence of rumors is proportional to the importance and the fuzziness of events. The more important and the fuzzier the events are, the greater effect the rumors may exert. The two elements are indispensable to the formation of rumors. When one of them is zero, rumors cannot exist.
The spread of rumors is similar to the spread of infectious. In 1965, Daley and Kendall, based on the classical SIR epidemic model, first proposed the rumor propagation dynamics model, namely the DK model [5,6,7]. Murray developed the DK model and proposed a mathematical model to study rumors [8]. Maki and Thomson revised the propagation rules of the DK model in 1973 and proposed the MT model [9]. When a spreader meets another spreader, he only changes to an immune person when the spreader loses interest, while other spreaders are not affected. A rumor-spreading model with a latent period was proposed by Huo et al. The model assumes that a susceptible person first experiences a latent period after infection and then becomes a spreader or a stifler [10].
In recent years, the study of rumor propagation has experienced a variety of explorations. Some studies focus on the spreading of rumors online [11,12,13]. Based on the actual situation of the investor network, Yao and Gao et al. discussed a SE2IR rumor-spreading model with a hesitating mechanism [14]. Xu et al. researched an online rumor model with on scale-free networks considering psychological factors [15]. Liu et al. analyzed an SEIR rumor-spreading model on a heterogeneous network considering removing nodes [16]. According to the differences of individual behavior response in a complex network, Zhao et al. proposed a rumor-spreading model considering forgetting and remembering mechanisms in an inhomogeneous network [17]. Some scholars pay attention to the time delay of rumor propagation. In the epidemic model, time delays are often indicated immune period or latent period [18]. By considering the forgetting effect, Li et al. studied a rumor-spreading model with time delay [19]. By considering a saturated control function, li et al. established a time delay rumor-spreading model in emergencies [20,21].
Scholars have improved and studied the rumors spreading model from different perspectives. However, there are relatively few models referring to the interaction among species in mathematical ecology. The predator–prey model can be used to describe the interaction between two species. Holling proposes three kinds of functional response functions, which play an important role in predator–prey system [22,23]. Some scholars have studied the dynamics system with Holling type III functional response [24,25,26,27]. A rumor-spreading model with Holling-II functional response was established by Huo et al. [28]. The Holling type III functional response represents the predation capacity of vertebrates. is the maximum intake of the spread of rumors and is semi saturation constant.
This paper integrates it with Holling type III functional response in mathematical ecology to construct a new rumor-spreading model; theoretical analysis and numerical simulation of the dynamic behavior of the model was conducted, and the change in parameters on rumor spreading was discussed. The findings of this paper provide a theoretical basis for the government management departments to control the spread of rumors effectively.
2. Model Construction
In this paper, the individuals are subdivided into three groups: susceptible person , rumor-spreading person and stiflers . Rumor susceptible person is the rumor ignorant person, who has never heard rumors and has not received relevant science education, so he is easily affected by rumors. The rumor-spreading person , not only knows rumors but also spreads rumors to a susceptible person . Stiflers is the one who receives rumors but does not spread them.
Basic assumptions of the model:
- (1)
- is the coming rate of the susceptible person;
- (2)
- When the susceptible person meets the rumor-spreading person , they spread the rumor with Holling type III functional response and become the rumor-spreading person; is the capture rate of the rumor-spreading person and the maximum intake of the spread of rumors. is semi saturation constant;
- (3)
- The rumor-spreading person transits to the stiflers with probability ;
- (4)
- is the leaving rate of the population.
Based on the basic assumptions of the model, the rumor-spreading process with Holling type III functional response is shown in Figure 1:
Figure 1.
Structure of the rumor-spreading process with Holling type III functional response.
According to the above assumptions, the following mathematical model is established:
The model satisfies the initial condition:
Lemma 1.
Closed setis a positive invariant set of the model.
Proof.
Defining function , we have
that
we obtain
then
thus
Therefore, the closed set is a positive invariant set of the model, and the model is positive bounded. □
3. The Existence of Equilibrium Points
There are four equilibrium points in the model. The condition for the existence of the four equilibrium points are shown in Table 1:
Table 1.
The condition for the existence of the four equilibrium points.
4. Stability of the Equilibrium Points
The Jacobian matrix of the model is
4.1. Stability of the Equilibrium Point
The characteristic roots of the Jacobian matrix (2) for the equilibrium point is
Therefore, the rumor-free equilibrium point is locally asymptotically stable according to Routh–Hurwitz criteria.
Constructing Lyapunov function
obviously
and
Thus, the equilibrium point is global asymptotically stable according to Lasalle’s invariance principle.
4.2. Stability of the Equilibrium Point
The characteristic roots of the Jacobian matrix (2) for the equilibrium point is:
because , , , so .
Consequently, the equilibrium point is unstable based on the Routh–Hurwitz stability judgment.
4.3. Stability of the Equilibrium Point
Theorem 1.
The equilibrium pointis locally asymptotically stable if
Proof.
The characteristic roots of the Jacobian matrix (2) for the equilibrium point is:
when , if .
As a result, according to the Routh–Hurwitz stability judgment, the equilibrium point is locally asymptotically stable if . □
Considering the Lyapunov function
obviously
and
Hence, Lasalle’s invariance principle implies the equilibrium point is global asymptotically stable.
4.4. Stability of the Equilibrium Point
Theorem 2.
The equilibrium pointis locally asymptotically stable if
Proof.
By computing, the characteristic roots of the Jacobian matrix (2) for the equilibrium is
are the roots of the quadratic equation
among them, where
when , if , then, , .
According to the Routh–Hurwitz criteria, the interior equilibrium point is locally asymptotically stable if
□
Denote that is a closed set, obviously is a positively attractive invariant subset of . It was proved below that the model has no periodic solution. Let us first introduce the following Lemma 2.
Lemma 2 (Generalized Bendixson–Dulac Theorem).
Assumeis a Lipschitz continuous vector field, is boundary curve of smooth directional surface, it is closed, piecewise smooth. Ifis smooth in a neighborhood of, satisfy for all
on, and point onexists to satisfy
whereis the normal unit vector of the surface, then the direction ofandform a right-handed system andcannot be composed of the trajectories of the system [29].
Theorem 3.
The equilibrium pointis global asymptotically stable if
Proof.
Let , because , we gain,
Let , among of there, where
Obviously, we have . By calculating, we obtain
By taking the normal vector of the closed set , as the rotation of the vector is
so there is
by substituting the equilibrium point into the above Formula (8), we gain
Thus, there is
if
Based on Lemma 2, the system (1) has no periodic solution, homoclinic orbit and directional heteroclinic orbit in the closed set . Consequently, if
the equilibrium point is global asymptotically stable. □
5. Numerical Simulation
The above analysis indicates that if the parameters satisfy certain conditions, the three equilibrium points of the model are locally asymptotically stable and global asymptotically stable. We selected parameters values that satisfy the stability condition of the equilibrium points and conducted numerical simulation with MATLAB software so as to validate the theoretic analysis as well as analyze the influence of parameters , and in the model on rumor spreading.
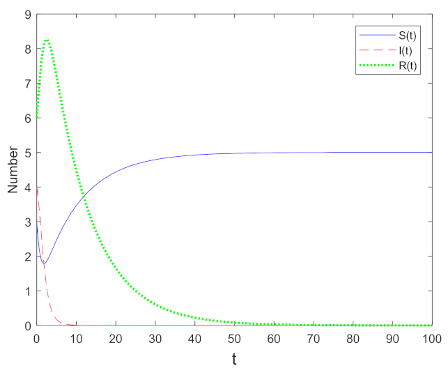
By taking parameters , , , , and using the fourth-order Runge–Kutta method, we established in Figure 2 that the model converges to the equilibrium point . No matter what the initial value of the individuals is in the initial state of the model, the number of susceptible people decreases rapidly first and then increases slowly and finally reaches a stable state, while the number of rumor-spreading persons decreases rapidly and reaches a balanced state. The number of stiflers increases rapidly, then decreases slowly and reaches a balanced state. In the end, there are only susceptible persons left in the model, and there are no rumor-spreading people and stiflers. Rumor-spreading persons will no longer exist, and the rumor will eventually disappear.
Figure 2.
The stability of the equilibrium point .
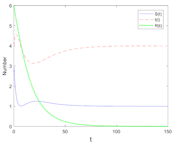
By taking parameters , , , and , we established in Figure 3 that the model converges to the equilibrium point . No matter what the initial value of the individuals is in the initial state of the model, the number of susceptible people decreases rapidly first and then increases slowly and finally reaches a stable state. The number of rumor-spreading people first rises rapidly, then declines rapidly, and then rises slowly to reach a balanced state. The stiflers descend rapidly and reach a balanced state. In the end, there are only susceptible people and rumor-spreading people, and there are no stiflers. Rumor-spreading people will always exist, and the rumors will not disappear.
Figure 3.
The stability of the equilibrium point .
By taking parameters , , , , , we establish in Figure 4 that the model converges to the equilibrium point . No matter what the initial value of the individuals is in the initial state of the model, the number of susceptible people decreases rapidly to reach a stable state. The number of rumor-spreading people drops rapidly and then increases slowly and reaches a balanced state. The number of stiflers increases rapidly, then decreases slowly and reaches a balanced state. Finally, susceptible persons, rumor-spreading people and stiflers will exist.
Figure 4.
The stability of the equilibrium point .
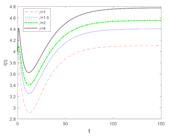
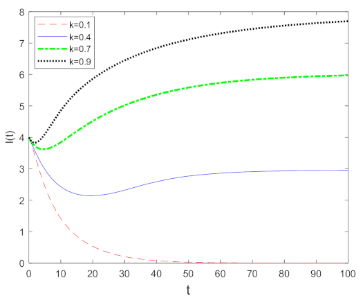
By taking parameters , , , , Figure 5 illustrates how the number of the rumor-spreading people changes over time with different predation capacities , such as and . From Figure 5, we can establish that when the predation capacity decreases, the number of rumor-spreading people decreases. Therefore reducing the predation capacity can control the spread of rumors. Popular science education refers to the use of various media to introduce natural science and social science knowledge to the general public in a simple way that is easy for the public to understand, accept and participate. Popular science education is a universal education of scientific knowledge, scientific spirit and scientific and technological achievements for the society, which is very conducive to the public’s innovative spirit and practical ability. In order to reduce the predation capacity , the public is required to quickly identify rumors under the role of popular science education so that the number of rumor-spreading people will be greatly reduced and will not harm society. Consequently, popular science education is the most fundamental means to eliminate rumors.
Figure 5.
Trends in the number of the rumor spreading with different values.
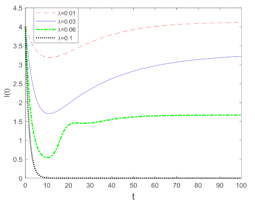
By taking parameters , , and , the plot in Figure 6 describes how the number of rumor-spreading people changes over time with different stifling rates , such as and . From Figure 6, we establish that when the stifling rate increases, the number of rumor-spreading people decreases and eventually disappears; thus, increasing the stifling rate can fundamentally inhibit the spread of rumors. Scientific knowledge includes space exploration, biology, scientific history, earth story, life science, scientific life, UFO, military science and technology, science fiction world, digital appliances, healthy diet and other knowledge.
Figure 6.
Trends in the number of the rumor spreading with different values.
In order to increase the stifling rate , we should generally improve the level of scientific knowledge of the public in society. This way, the public can clearly identify general rumors and not easily believe and spread them.
By taking parameters , , and , the plot in Figure 7 demonstrates how the number of the rumor-spreading people changes over time with different the system coming rates , such as , , and . From Figure 7, we can establish that when the system coming rate decreases, the number of rumor-spreading people decreases and eventually disappears. It shows that reducing the coming rate of the model can fundamentally restrain the spread of rumors. In order to reduce the coming rate , the government can take closed measures. If it is network communication, network blocking can be adopted. Network blocking refers to banning it from public communication on the network for someone or something in the whole network.
Figure 7.
Trends in the number of the rumor spreading with different values.
6. Case Analysis—Taking the Prime Minister of Brazil Infected New COVID-19 Incident as an Example
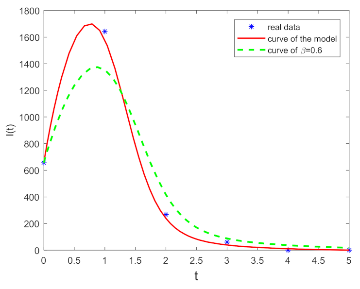
Since the outbreak of new COVID-19, rumors of the epidemic, epidemic prevention and the vaccine have given rise to many problems and even panic to people’s lives, which has caused material and spiritual losses to a certain extent, seriously affecting people’s lives, work and study, and even threatening social and political stability. On 12 March 2020, Fabio Wajngarten, the head of media affairs at the Brazilian presidential palace, diagnosed a new COVID-19. Wajngarten is an important member of the ruling team of Brazilian President Jair Bolsonarno. From 7 to 10 March, Wajngarten visited the United States with Brazilian President Bosonaro. After returning to Brazil on the morning of 11 March, Wajngarten showed symptoms of the new COVID-19 and accepted the COVID-19 test; the results were positive. On the same day, the presidential palace of Brazil announced the cancellation of Bosonaro’s domestic official trip on that day. Bosonaro also accepted the COVID-19 test.
On 13 March 2020, according to the Mirror, the COVID-19 test of Bosonaro was positive. Bosonaro became the first head of state who was diagnosed with COVID-19. The major media reprinted one after another and soon attracted wide public attention. We attempt to use the rumor data of the event on the “Zhiweishijian” website [30]. On 13 March, as soon as the news was released, such as through microblog and Wechat, online media immediately reprinted and the number of rumor links increased to 657. On 14 March, the number of rumor links reached the peak of 1642. After the release of official rumor refutation information, the number of rumor links amounted to 268 on 15 March and only 61 on 16 March. Then, the accident subsided. By taking parameters , , , and , the time series diagram of the model was drawn by using Matlab software. It can be seen from Figure 8 that the curve of the model is roughly the same as the trend of the rumor data. On the other hand, on the condition that the other parameters mentioned above remain unchanged if the predation capacity drops to 0.6, Figure 8 shows that the peak value of the rumor will greatly reduce. As COVID-19 is closely related to public health and safety, it draws great attention from the public. Shortly after the news was launched, the false information was on a sharp increase. With the release of official rumor refutation information, the rumors declined rapidly and eventually disappeared.
Figure 8.
Time series diagram of t-I based on the rumor data.
7. Conclusions
In this paper, a rumor-spreading model with Holling-III functional response was constructed. Individuals of the model are subdivided into three categories: the susceptible person , the rumor-spreading person and the stiflers . The existence of the equilibrium points was discussed. By using the Routh–Hurwitz criteria, the locally asymptotic stability of the equilibrium points was analyzed. The global stability of the equilibrium points was proved based on Lasalle’s invariance principle and generalized Bendixson–Dulac theorem. The correctness of the theoretical analysis is verified by numerical simulation. Parameter changes help to control the spread of rumors. By reducing the system coming rate or increasing the stifling rate , the number of rumor-spreaders is reduced to extinction. Reducing the predation capacity can not only control the spread of rumors but also reduce the peak value of the spread of rumors. The release of rumor refutation information has an important impact on the spread of rumors. The role of rumor refutation information in the spread of rumors needs to be further studied.
Author Contributions
Formal analysis, Y.W. and H.H.; methodology, L.H. Each author contributed equally and significantly in preparing and finalizing this paper. All authors have read and agreed to the published version of the manuscript.
Funding
This research received no external funding.
Data Availability Statement
Data Availability Statements in Section 6 at https://ef.zhiweidata.com/event/5a1e3663642a7a9e10030524/profileV2 (accessed on 10 December 2021).
Acknowledgments
This work is partially supported by the Project of Humanity and Social Science Foundation of Ministry of Education (19YJC790035), the Major Project of Humanity and Social Science in Zhejiang Universities (2021QN063), the Startup Foundation for Talents of Jiyang College of Zhejiang Agriculture and Forestry University (RQ2020D07).
Conflicts of Interest
The authors declare no conflict of interest.
References
- Galam, S. Modelling rumors: The no plane pentagon French hoax case. Physica A 2003, 320, 571–580. [Google Scholar] [CrossRef]
- Kosfeld, M. Rumors and markets. J. Math. Econ 2005, 41, 646–664. [Google Scholar] [CrossRef]
- Thomas, S.A. Lies, damn lies, and rumors: An Analysis of collective efficacy, rumors, and fear in the wake of Katrina. Soc. Spectr. 2007, 27, 679–703. [Google Scholar] [CrossRef]
- Allport, G.W.; Postman, L. The psychology of rumor. J. Clin. Psychol. 1947, 3, 247. [Google Scholar]
- Daley, D.J.; Kendall, D.G. Stochastic rumors. IMA 1965, 1, 42–55. [Google Scholar]
- Daley, D.J.; Gani, J. Epidemic Modelling: An Introduction; Cambridge University Pres: Cambridge, UK, 1999. [Google Scholar]
- Daley, D.J.; Kendall, D.G. Epidemics and rumors. Nature 1964, 204, 1118. [Google Scholar] [CrossRef] [PubMed]
- Murray, J.D. Mathematical Modelling in Epidemiology; Springer: Berlin, Germany, 1980. [Google Scholar]
- Maki, D.P.; Thompson, M. Mathematical Models and Application; Prentice-Hall: Engle-wood Cliffs, NJ, USA, 1973; Volume 5, pp. 75–81. [Google Scholar]
- Huo, L.A.; Lin, T.; Fan, C.; Liu, C.; Zhao, J. Optimal control of a rumor propagation model with latent period in emergency event. Adv. Differ. Equ. 2015, 2015, 54. [Google Scholar] [CrossRef]
- Moreno, Y.; Nekovee, M.; Pacheco, A. Dynamics of rumor spreading in complex networks. Phys. Rev. E. 2004, 69, 066130. [Google Scholar] [CrossRef]
- Zhou, J.; Liu, Z.; Li, B. Influence of network structure on rumor propagation. Phys. Lett. A 2007, 368, 458–463. [Google Scholar] [CrossRef]
- Ruan, Z.; Yu, B.; Shu, X.; Zhang, Q.; Xuan, Q. The impact of malicious nodes on the spreading of false information. Chaos 2020, 30, 083101. [Google Scholar] [CrossRef]
- Yao, H.X.; Gao, X.Y. SE2IR invest market rumor spreading model considering hesitating mechanism. J. Syst. Sci. Inf. 2019, 7, 54–69. [Google Scholar] [CrossRef]
- Xu, H.; Li, T.; Liu, X.; Liu, W.; Dong, J. Spreading dynamics of an online social rumor model with psychological factors on scale-free networks. Physica A 2019, 525, 234–246. [Google Scholar] [CrossRef]
- Liu, Q.M.; Li, T.; Sun, M.C. The analysis of an SEIR rumor propagation model on heterogeneous network. Physica A 2017, 469, 372–380. [Google Scholar] [CrossRef]
- Zhao, L.; Qiu, X.; Wang, X.; Wang, J. Rumor Spreading model considering forgetting and remembering mechanisms in inhomogeneous network. Physica A 2013, 392, 987–994. [Google Scholar] [CrossRef]
- Wei, C.; Chen, L. A delayed epidemic model with pulse vaccination. Discret. Dyn. Nat. Soc. 2008, 2008, 746951. [Google Scholar] [CrossRef]
- Li, T. SIRS rumors spreading model with time delay on scale-free network. J. Acad. Armored Force Eng. 2016, 2, 104–107. [Google Scholar]
- Li, C. A study on time-delay rumor propagation model with saturated control function. Adv. Differ. Equ. 2017, 2017, 255. [Google Scholar] [CrossRef]
- Li, C.; Ma, Z. Dynamics analysis of a delayed rumor propagation model in an emergency-affected environment. Discrete Dyn. Nat. Soc. 2015, 2015, 269561. [Google Scholar] [CrossRef]
- Holling, C.S. The components of predation as revealed by a study of small-mammal predation of the European pine sawfly. Can. Entomol. 1959, 91, 293–320. [Google Scholar] [CrossRef]
- Holling, C.S. The functional response of predators to prey density and its role in mimicry and populations. Mem. Entomol. Soc. Can. 1965, 45, 53–60. [Google Scholar] [CrossRef]
- Wang, J.; Pan, L. Qualitative analysis of a harvested predator-prey system with Holling-type III functional response incorporating a prey refuge. Adv. Differ. Equ. 2012, 2012, 96. [Google Scholar] [CrossRef]
- Jiang, Q.; Wang, J. Qualitative analysis of a harvested predator-prey system with Holling III functional response. Adv. Differ. Equ. 2013, 2013, 249. [Google Scholar] [CrossRef][Green Version]
- Li, S.; Liu, W. A delayed Holling type III functional response predator-prey system with impulsive perturbation on the prey. Adv. Differ. Equ. 2016, 2016, 42. [Google Scholar] [CrossRef][Green Version]
- Huang, Y.; Chen, F.; Zhong, L. Stability analysis of prey-predator model with Holling type III response function incorporating a prey refuge. Appl. Math. Comput. 2006, 182, 672–683. [Google Scholar] [CrossRef]
- Jiang, J.; Gong, S.; He, B. Dynamical behavior of a rumor transmission model with Holling-type II functional response in emergency event. Physica A 2016, 450, 228–240. [Google Scholar]
- Busenberg, S.; Van Driessche, P. Analysis of a disease transimission model in a population with varying size. J. Math. Biol. 1990, 28, 257–270. [Google Scholar] [CrossRef] [PubMed]
- Available online: https://ef.zhiweidata.com/event/5a1e3663642a7a9e10030524/profileV2 (accessed on 26 August 2021).
Publisher’s Note: MDPI stays neutral with regard to jurisdictional claims in published maps and institutional affiliations. |
© 2022 by the authors. Licensee MDPI, Basel, Switzerland. This article is an open access article distributed under the terms and conditions of the Creative Commons Attribution (CC BY) license (https://creativecommons.org/licenses/by/4.0/).







