Abstract
A multi-stage robust real-time economic dispatch model (MRRTD) for power systems is proposed in this paper. The MRRTD takes the dynamic form of multi-stage robust optimization as the framework to naturally simulate the operation of equipment that is temporally coupled, e.g., utility-level energy storage systems. For normal systems, the MRRTD can work directly in short time slots with a rolling horizon. For large-scale systems, the MRRTD expands the time-slot scale and generates optimal dispatch policies. With this guidance, the real-time dispatch decision can be swiftly made thereafter. In addition, a dynamic uncertainty set based on deep learning is proposed, which can dynamically refine the covering ability for probable occurred wind power scenarios. To efficiently solve the MRRTD, a novel fast robust dual dynamic programming method is employed. The effectiveness of the proposed model and solution algorithm, especially the improved scalability compared to several other dynamic economic dispatch methods, are demonstrated by simulation results from six benchmark test cases ranging from a modified IEEE 6-bus system to a 6495-bus system.
Keywords:
real-time economic dispatch; energy storage systems; wind power; robust optimization; dynamic uncertainty set; fast robust dual dynamic programming MSC:
90-10; 90-08; 90C90
1. Introduction
The ever-increasing integration of variable renewable energy has brought great challenges to the economic dispatch (ED) of power systems. Current studies on the ED coping with the uncertain renewable energy mainly are divided into two parts: day-ahead ED and intra-day real-time ED. Day-ahead ED mainly focuses on a day-ahead energy plan or power reserve [1,2,3]. It has enough time to model the entire day’s dispatch in detail based on the predicted information. For example, a chance-constrained day-ahead ED which co-optimizes the power reserve and the curtailment strategies of renewable energy is proposed in [4]. Ref [5] simulates day-ahead ED as a multi-stage process in order to ensure a sufficient day-ahead flexible reserve. In addition, to coordinate the integrated transmission and distribution systems, Ref. [6] conducts a two-stage robust day-ahead ED with a distributed framework. However, the same technique of day-ahead ED cannot be directly applied to intra-day real-time dispatch due to the complexity of computation.
In the literature, several methods have been reported that aim to reconcile the gap between solution quality and efficiency. The well-known and industry-practiced model is look-ahead economic dispatch (LAED). The key idea of LAED is to use a moving horizon to reduce the computational burden, which can be traced back to [7,8]. To solve the problem caused by the penetration of uncertain renewable energy, researchers combined LAED with the stochastic methodology. The two-stage stochastic LAED [9], chance-constrained LAEDs [10,11] and stochastic LAEDs combined with risk-constraints [12] have achieved good effects under different respective applied scenarios. Nevertheless, as described in [13], the probability distribution of renewable energy generation data in the stochastic methodology is difficult to acquire in practice. Robust optimization is another alternative method which ensures both the safety and economy by simulating the system operating under the worst-case scenario of renewable energy. In [14], the moving horizon framework of LAED is embedded to the second stage of the two-stage robust optimization, also called the adaptive robust optimization (ARO), which shows better results of classic LAED and stochastic LAED. In addition, robust LAEDs based on ARO or the data driven ARO are proposed in [15,16,17] to achieve more effective and robust solutions of real-time dispatch than LAED based on stochastic methodology.
However, ARO’s second-stage dispatch decisions are made with full knowledge of uncertain future parameters, making it anticipative and overestimating the unit’s adjustment capability [18,19]. Affine rules which convert the unit output to a linear function of the real wind power are extensively used to alleviate the anticipation issue of ARO [16,20,21]. However, the linear approximation of affine rules greatly decreases the quality of the dispatch solution [22]. Piecewise linearization decision procedures have been proposed by [23,24] to increase the optimality, but they are rarely used in the field of power system operation. The absence of a general and efficient algorithm that determines the number of segmentation for each decision variable prevents the procedure from being widely adopted [23].
The temporal decomposition, as proposed in [18,19,25], is another approach to overcome the anticipation issue of ARO. Box variables are incorporated into ARO in [19] to eliminate dynamic constraints. The resulting problem consists of a set of single-stage economic dispatch problems and thus avoids the anticipativity issue. Since the box variables only decompose the coupling between adjacent dispatch periods, the flexibility from equipments with global coupling, e.g., ESS, is overestimated. Accordingly, Lorca et al. [18,25] proposed to use the multi-stage equivalence of ARO and proved that non-anticipative dispatch decisons can be guaranteed. Nonetheless, they do not propose an appropriate mechanism for obtaining the global optimum, where the multi-stage problem is still solved using the approximation method of affine rules.
On the other hand, to find a way that can improve the flexibility of power systems, the multi-stage dynamic programming is introduced into ED [26]. Papavasiliou et al. [27] proposed to model the equipments with long-time coupling by using the stochastic dual dynamic programming method. The corresponding multi-stage stochastic dynamic economic dispatch model (MSED) incorporates ESS in a natural way. They enhance the flexibility of ESS-integrated power systems in the field of stochastic optimization by a multi-stage dynamic framework. Nevertheless, in the field of robust optimization, the largest obstacle in applying this multi-stage dynamic programming framework to ED is to find an efficient approach to solve the strongly NP-hard problem, not as the affine rules in [18,25] mentioned before.
The robust dual dynamic programming (RDDP) method [28], which is a robust counterpart of SDDP, is proposed in 2019 to obtain the global optimum of multi-stage robust optimization problems. However, because the approach utilized in the upper approximation of RDDP has exponential time complexity, it cannot be used to solve the short-term ED with more than 10 units [28,29]. In the authors’ previous work [30,31], the relaxed inner approximation (RIA) method is integrated to accelerate RDDP. The proposed fast robust dual dynamic programming (FRDDP) algorithm has been tested on the multi-stage ED problems. Test results indicate that FRDDP has strong scalability for large-scale systems and can efficiently administer robust solutions that are better than MSED [30]. However, in [26,27,30], the framework of multi-stage dynamic programming isn’t implemented to simulate a real-time ED, but a day-ahead off-line training process, which only utilizes the predicted information. Among them, the intra-day real-time ED runs based on the static operation strategy or policy. It can be reasonably assumed that if the multi-stage dynamic programming framework is directly applied to the real-time ED, it will achieve better results than the above strategy, which is due to the fact that the real-time information observed can directly participate in the process of dispatch decision making.
In the existing work of robust real-time ED, the uncertainty set are most conducted by the nearest predicted wind power [16,17], which does not make full use of the information of observed wind power. In [14], a dynamic uncertainty set is proposed to capture the highly dynamical and time-coupled variable renewable energy in ARO. This simple explicit formulation is less accurate and efficient than deep learning [32].
Fascinated by the rolling horizon structure in LAED which can reduce the computational burden and reserve the efficiency of dispatch decision in real-time ED, this paper proposes a novel model that introduces the multi-stage dynamic programming framework in robust form to the intra-day real-time ED with rolling horizon. The main contributions of this paper are fourfold:
- We propose a multi-stage robust real-time ED (MRRTD) model in this paper. It uses the rolling horizon to lessen the computational load. Compared to the ARO, it is non-anticipative and maximizes the flexibility of timing coupled equipment such as ESS during real-time dispatch.
- A policy guided real-time dispatch mode based on MRRTD with expanded time-slot scale is designed for large-scale systems to improve the scalability and industrial applicability of the proposed model.
- A dynamic uncertainty set is built using a long short-term memory network (DUS-LSTM), which is real-time updated by refining the most-recent predicted available wind power during the process of rolling dispatch.
- We employ a fast robust dual dynamic programming method to efficiently solve the MRRTD, where the forward pass and backward pass procedure are effectively embedded in the look-ahead scheme to realize the fast application of MRRTD in real-time dispatch.
2. Mathematical Formulation of MRRTD
The ED problem is formulated to minimize the electricity generation cost of the power grid, which consists of dispatchable generators (e.g., coal-fired thermal generator), partially dispatchable wind power generators and utility-grade ESS. Please check Section 5.1 for an example of such systems. As the speed and direction of the wind cannot be controlled by the system operator, the wind power generators are only partially dispatchable, i.e., their electricity output can only be reduced but not increased with respect to the available power from the wind. Unlike solar power and electric demands that show an obvious cyclic pattern, wind is highly volatile and unpredictable. The partial dispatchability and strong uncertainty from wind power generators pose a great challenge to the power dispatch process, since the supply and demand of electricity must be balanced at any time on every node. The proposed MRRTD aims to tackle this challenge by considering an explicit multi-stage dynamic model of the power dispatch process under the framework of robust optimization, which minimizes the system’s generation cost under the worst-case realization of the uncertain wind power. ESS is also considered to smoothen out the fluctuation from the uncertain wind power and to relieve the burden of redispatching slow generators such as coal-fired units.
2.1. Multi-Stage Robust Real-Time Economic Dispatch
During the process of MRRTD, the real-time dispatch decision at current time is implemented considering the decisions made under the worst-case wind power scenario in the subsequent stages. The probable fluctuation of the most recent predicted wind power within the range of horizon is modeled by an uncertain set . The problem at time is formulated as follows:
where and are the vectors of the observed available wind power and the dispatch decision at time , respectively. The constant matrix refers to the cost efficient.
Specifically, the operating cost is defined as (2). In particular, in stage , is added in the operating cost, which is the penalty of the gap between and .
The feasible region of the t-th-stage decision variables corresponds to the constraints formulated as follows:
The piecewise-linear technique is used to approximate the generation cost, which is shown by (3). The generation capacity of each unit is limited by constraint (4). Constraints (5) and (6) limit the dynamic ramping of units when the generator output is adjusted upwards and downwards. The available wind power is bounded by the box uncertainty set. (7) ensures that the consumed wind power will not exceed the available quantity. Constraints (8)–(10) preserve the stored energy of ESS within the state of charge (SOC) limits. (8) and (9) warrant that the charging and discharging of the ESS never outruns the SOC. (10) connects the SOC transition approximately by neglecting the slight difference between the efficiency coefficient and . Meanwhile, the SOC of the ESS is required to recover to its initial value in the final stage of the whole process of dispatch, shown as (11). Equation (12) guarantees the nodal power balance, and the capacity of power transmission in each line is limited by constraints (13)–(15).
Due to the approximated constraint (10), obtained by solving the t-th-stage problem is inaccurate. We formulate (16) to correct the SOC of ESS, which can be done in the interim between solving the problems for stage t and :
It means that the SOC is recalculated in the beginning of the next stage. (16) is seperated from the MRRTD formulation. The linearity of MRRTD remains untouched. Furthermore, the optimal gap and convergence problem introduced by (16) is examined in depth in the author’s prior work [30], demonstrating that this single-variable ESS modeling technique for multi-stage problem is sufficient for practical use.
2.2. Dynamic Transformation of MRRTD
The MRRTD problem (1) can be transformed into the dynamic programming framework, shown as (17)
where is called the worst-case value function, which encodes the total future cost caused by decision under the worst-case scenario in the whole rolling horizon. is defined as follows:
Equations (17) and (18) give a recursive definition of the original problem. For example, the economic dispatch problem at the -th stage can be written as follows:
In summary, the proposed the dynamic form of MRRTD at current time period can be expanded using the above recursion as follows:
3. Dynamic Uncertainty Set Based on LSTM
3.1. Process of Refining the Most-Recent Predicted Wind Power
The LSTM can be utilized as a sophisticated nonlinear cell with deep learning capabilities to build a broader deep neural network that can depict the action of long-term memory, which has strongly potential applicability of short wind power forecast [32,33]. The structure of the memory cell of the LSTM used in this paper is given as follows [33]:
where (21)–(23) defines the the input gate , forget gate and output gate , respectively. g refers to the sigmoid activation function. is the connection weight between two neurons. b is the deflection. is the current external input variable and is the previous internal hidden state. (24) describes the input transformation, where is an intermediate variable that represent the transformed input. (25) updates the current memory and (26) updates the current internal hidden state . A group of connected cells sets up a layer of the LSTM network. According to [33], the input layer, hidden layer and output layer are optimal when they consist of 300, 500 and 200 cells, respectively. The number of hidden layers is optimal at a value of three.
The whole process of training is completed in a rolling manner, where the window consisted of data to be trained drifts until the process is over. In each data window, both the historical observed available wind power data , which happens periods before the dispatch period and the historical predicted available wind power data are set as the input data of the LSTM. Correspondingly, the historical observed available wind power data at time is configured as the output data. The training process of LSTM is demonstrated in Figure 1.
Figure 1.
The training process of LSTM with data window rolling.
During the process of MRRTD, we use the observed available wind power and the trained LSTM network to refine the most recent predicted information. At current time , both the have-been-observed available wind power and the most recent predicted available wind power are fed into the trained LSTM, maintaining a consistent dimension of the input data as during the training process. Then, the output data , which is the refined predicted available wind power, can be obtained. To refine the most recently predicted available wind power , is pushed into the end of the input vector as , and so on, until the end period within the horizon of the MRRTD. Figure 2 visualizes the above process.
Figure 2.
The refining process on the predicted wind power at dispatch period .
3.2. Construction of DUS-LSTM
When the rolling horizon of MRRTD begins at the current time , the most recent predicted available wind power above in the dispatch period can be refined by the trained LSTM, which is aggregated as . Based on the refined information, the DUS-LSTM in this period of MRRTD is formulated as follows:
The dispatch solution’s conservativeness is adaptive by suitably shifting or shrinking the uncertainty set in (27). To put it another way, adjusting can strike a balance between operating cost-effectiveness and robustness.
On the one hand, the uncertainty set keeps updating through the process of refining the predicted wind power, unlike the traditional one that is static and always based on the day-ahead forecast information [16,27,30] or the inaccurate most recent hourly values predicted one by commercial predictor systems [17,18]. On the other hand, with the running of real-time dispatch, the refining gets more precise, owing to the fact that both the newest observed wind power and the also-updating most recent predicted one serve as the input of DUS-LSTM. It thus has higher accuracy and is more knowledgeable than the previously proposed method [14].
4. Solution Methodology and PGRTD
4.1. Fast Robust Dual Dynamic Programming
The complex nested multi-layer structure of MRRTD makes it a strongly NP-hard problem, which renders common decomposition techniques insufficient [28]. The intuition behind FRDDP is to bound the worst-case value function by constructing an upper and an lower approximate, and . Then, an iterative technique is applied to update the upper bound and lower bound , which can narrow the gap between , and .
During the procedure of iteration with the aim of updating and , the upper bound problem and lower bound problem are solved separately, which are called the upper and lower approximation and formulated as follows:
In the process of lower approximation, a new sample vector and the corresponding dual variables are utilized to construct a supporting hyperplane that lifts to approach from below in each iteration of FRDDP, which is similar to the technique of Benders decomposition.
In traditional RDDP, the inner approximation (IA) method is employed to construct by a convex hull above in the upper approximation, as shown in Figure 3a. However, in order to obtain a bound over the entire domain, all extreme points need to be enumerated. Since the number of all extreme points increases exponentially with the dimension of dispatch decision , IA will lead to an overly-complicated problem when the quantity of units is large. Compared to IA, we propose the relaxed inner approximation (RIA) method formulated as (30), which constructs an approximate convex hull as drawn in Figure 3b.
Figure 3.
Geometric implications of IA vs. RIA. The extreme points enumerated in IA method are represented by blue triangles in (a). Solid blue dots represent the sample points obtained from the previous iteration in both (a) and (b). The red star pentagons in (b) stand for candidate solutions. The U-shaped curve in black stands for the actual worst-case value function.
is coined by two parts: a convex combination of the sample points and a penalty term that attempts to minimize power imbalance. The idea is to attract the optimal solution in stage t into the convex space defined by validated sample points , indicated by the grey area in Figure 3b. A solution outside the convex space will be penalized by the product of the Euclidean distance between the solution point and closest sample point to it and the slope of the boundary line. See the red star pentagon at the upper left of Figure 3b. RIA siginificantly reduces the computational burden due to full enumeration of the extreme points of , thus outperforming IA in scalability.
The bi-level structure of (30) is usually reformulated into a single level either by strong-duality theorem or the Karush–Kuhn–Tucker condition. Nevertheless, the straightforward vertex enumeration is adopted in this papser. In this way, only two simple linear programming problems need to be solved since the multi-stage framework decouples the whole stages from each other.
The overall procedure of FRDDP embedded in the framework of MRRTD (MTD-FRDDP) can be summarized as two passes: the forward pass and the backward pass. The forward pass generates the worst-case parameter realizations and their associated sample points , while the backward pass updates the lower bound and upper bound along . MTD-FRDDP is summarized in Algorithm 1.
To further accelerate the speed of solution proceeds in MTD-FRDDP, two mechanisms are integrated into it.
- At the end of each iteration of MTD-FRDDP, a process of checking the maturity of each stage is implemented. More specifically, the non-convergence criterions are checked at the end of iteration k for . Then, we find the first and last immature stage and and set them as the new start stage of the forward pass and backward pass, respectively. That is, and are reset for the next iteration.
- The slope of boundary lines in Figure 3b are configured with a large number to boost the convergence of MTD-FRDDP, which can be referred to [30].
4.2. Policy-Guided Real-Time Dispatch Based on MRRTD
To deal with the scalability obstacle of MRRTD for large-scale systems, a policy-guided real-time dispatch mode (PGRTD) based on MRRTD is proposed. The core purpose of PGRTD is to not only preserve the efficiency of real-time calculation for large-scale systems in small time-slot scale, but also utilize the dynamic rolling framework with real-time observed information of MRRTD.
In PGRTD, the time-slot scale is expanded in MRRTD to first gain more sufficient computing time. Then, through the solution of MRRTD by MTD-FRDDP, the mature worst-case value functions connected to each stage are obtained, which are constrained by complicated information denoting the policies needed to be followed considering the worst-case influence in subsequent stages. After these, we can directly acquire the real-time dispatch decision in time along with solving (31) according to the real observed available wind power.
where is the mature worst-case value function obtained by solving MRRTD at dispatch period , and is the intra-dispatch period index included by the larger interval between and .
| Algorithm 1: MTD-FRDDP |
![]() |
Take the schematic in Figure 4 as an example. The dispatch slot of MRRTD is 1 h and the dispatch slot of PGRTD is 15 min. Suppose at time instance 0:00 the matured worst-case value function is available after solving MRRTD. Notice that is a known function representated by a set of hyperplanes. It maps a dispatch decision to a value that measures the decision’s quality by considering the worst-case realization of the uncertain wind power in the near future. In addition, the generation output level at the current time instance and the wind power output in the next 15 min are all observable quantities. By feeding , and into the PGRTD problem (31), the real-time dispatch decision for the future at 0:15 can be calculated. A similar procedure will be repeated at 0:15, 0:30 and 0:45. At 1:00, a new worst-case value function will be provided by MRRTD. Then, a new cycle of PGRTD rolling will be conducted. The whole process persists to the end of the dispath horizon at 24:00.
Figure 4.
The rolling procedure of PGRTD based on MRRTD.
5. Case Study
5.1. Case Specifications and Simulation Setup
The selection of systems for testing can be divided into two parts: normal systems involved in modified IEEE 6-Bus system (MI6B) and modified IEEE 300-Bus system (MI300B); and large-scale systems from 2000 to 6495 buses. Among them, the system load demand, aggregated available and each-period most-recent predicted wind power use the real data from EirGrid [34], whose value is adjusted according to the total capacity of system. Figure 5 shows the topology of MI6B. There are three dispatchable generator plants and three loads. One ESS and one wind farm are also added. The topology of MI300B is consistent with [35], where the parameters of conventional generators and proportion of each load remain unchanged. The detailed device parameters of MI6B and other parameters of MI300B are given in [36]. The large-scale systems for testing contain the modified PGLib Case2000, Case2316, Case4661, and Case6495 [37], in which the position of added wind farms and ESS and day-ahead UC plan are given in [36]. For each case, the aggregated capacity of wind farms is equally shared among each wind farm. The SOC limit of the ESS is set to be the mean value of the maximum output level of all dispatchable generators. The maximum charging and discharging rate of the ESS are set to be 60% of the SOC limit.
Figure 5.
Topology of the MI6B system.
All programms are coded in the Julia programming language with the help from the JuMP.jl package [38] for describing the mathematical optimization models. All problem instances are solved by Gurobi Optimizer 8.1.1 on a server with an Intel Xeon E5-2678 CPU and 64 Gigabytes of RAM.
We simulate the intra-day real-time ED in all the cases for 6 months via choosing simulation wind data from 00:00 1 July 2021 to 23:45 31 December 2021 of EirGrid. The training window , rolling horizon and convergence threshold are set in the proposed DUS-LSTM, MRRTD and MTD-FRDDP, respectively. Furthermore, the other four models are introduced in this section for comparison purposes.
- Classic LAED, where the rolling horizon is set as .
- MSED, which simulates the real-time dispatch following the decision policy obtained after solving the day-ahead offline-training process by SDDP [27].
- Multi-stage robust dynamic economic dispatch (MRED), which formulates the real-time dispatch as multi-single periods deterministic optimization along with the solution of day-ahead offline-training process [30].
- Multi-stage affine robust real-time economic dispatch (MARTD), which takes the same rolling framework of this paper but adopts the full affine rules in [18,25] to solve.
6. Results and Discussion
6.1. Comparison of Different Uncertainty Sets
In this section, MI6B is chosen as the system for testing to show the performance of MRRTD based on different uncertainty sets (US); three types of US of available wind power are contrasted as follows:
- US-1: A US based on the most-recent predicted available wind power , which is formulated as .
- US-2: A dynamic US updated by the time-sequence correlation theorem (TSC) proposed in [14], where the deviation is also .
- US-3: The DUS-LSTM proposed in this paper.
Three deviation parameters , and are configured as 15%, 20% and 25% in each US. In addition, the available and each-period most-recent predicted wind power data of the whole year in 2020 of EirGrid is applied to train the LSTM network in US-3. The results of the average operation cost for one day in the whole simulation process are shown in Table 1.
Table 1.
Comparison of different US applied in MRRTD.
It can be seen from Table 1 that the US-3 performs best under each . The reason is that it gives a more accurate interval to contain the probable wind scenarios in subsequent periods. Thus, an uncertainty set that better strikes the balance between operating cost-effectiveness and robustness is established based on the more effective formulation of US-3. The ability of different covering the future real-observed wind power are recorded in Table 2, where the average refined error between and the real wind power for one day are measured by root mean square error (RMSE).
Table 2.
Statistical covering percentage and predicted RMSE of different US.
Since the fluctuant region of US is shaped as a box interval based on the predicted available wind power, the ability of US to cover future real wind scenarios exactly depends the accuracy of utilized predicted technique. As shown in Table 2, the predicted results within the whole simulation of real-time dispatch in MRRTD using US-3 perform better. Specifically, the uncertainty interval and corresponded real-observed wind power with the rolling of MRRTD using US-2 and US-3 at the periods 1 and 26 of 8 December 2021 are plotted in Figure 6, in which is applied.
Figure 6.
Wind scenario covering ability in US-2 and US-3.
Being consistent with previous discussions, Figure 6 illustrates how US-3 covers future real wind scenarios better. The real wind power can be absolutely contained by US-3 but not by US-2.
6.2. Testing on IEEE Benchmark Systems
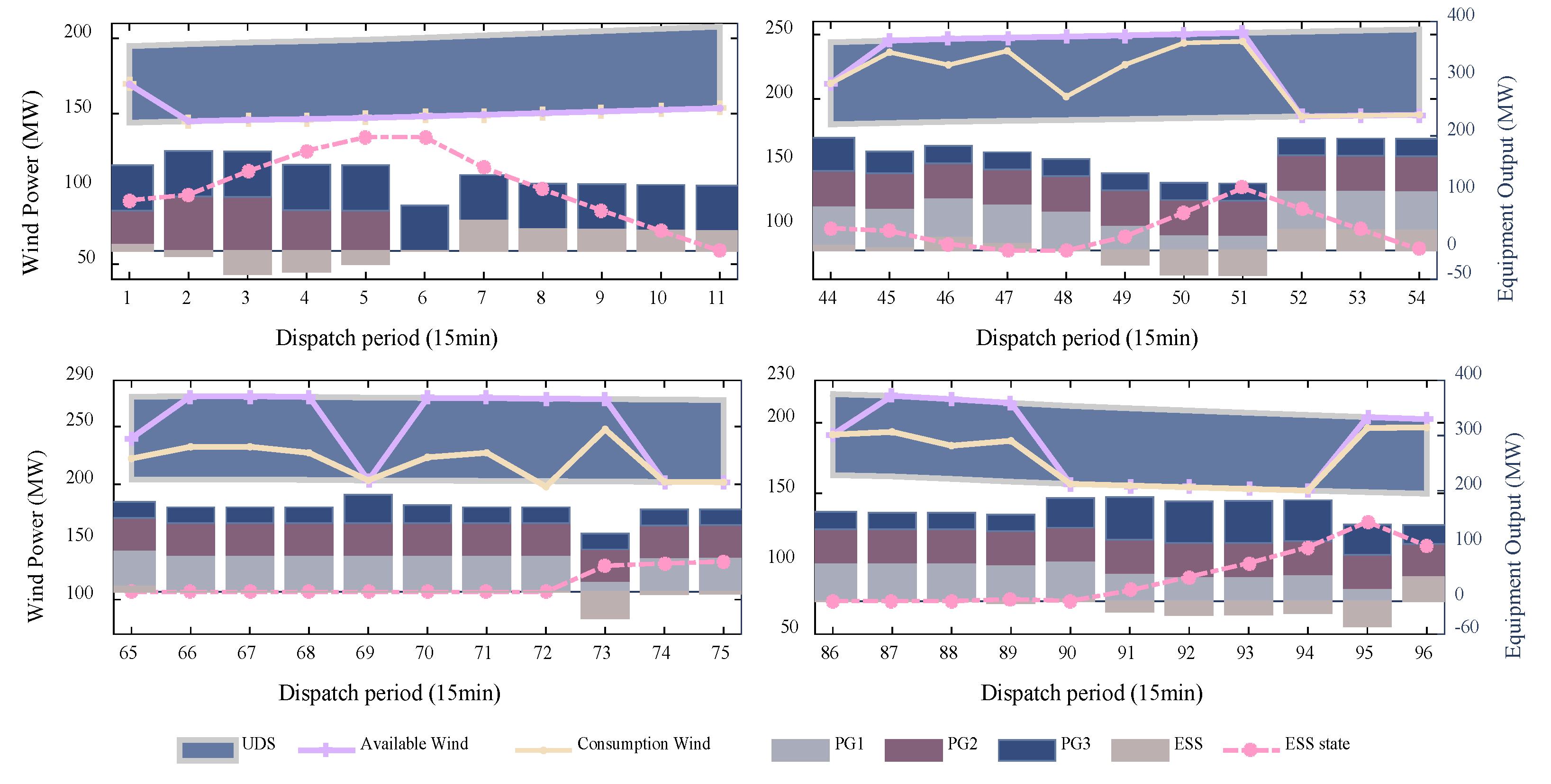
To examine the effectiveness of MRRTD on normal systems, MI6B and MI300B are chosen as the testing object, where is set as the deviation parameter. The optimal real-time dispatch decision on MI6B at period 1, 44, 65 and 86 of 8 December 2021 made by MRRTD under the worst-case scenario of subsequent dispatch periods within the rolling horizon is drawn in Figure 7.
Figure 7.
Wost-case wind scenarios and the corresponding dispatch decisions of MRRTD on MI6B.
It is clear that the worst-case wind power scenarios, the light purple colored lines, either go against the load or the dipatchable generators. The wind power in the calculated scenario is low when the load is high; it is high when the output level from the dispatchable generators are also high. In some cases, take periods 68–70 for example, the calculated wind power reaches the largest possible ramping event, falling off from the top to the bottom and bouncing up back to the top within the forecast error bounds. Since the ramping rate of the generators and charging/discharging rate of the ESS are all limited, wind curtailments occured. Nevertheless, the identified wind power scenarios show the effectiveness of the MRRTD model, which indeed detected the unfavorable cases for the system. In addition, system flexibility is improved by the ESS. Following the pink colored line, one can see that the ESS shaves the peak load and fills the valley load. It can also be checked that the SOC of the ESS is restored to the initial value at the end of the dispatch horizon. In summary, MRRTD’s positive contribution to the real-time dispatch flexibility has been demonstrated.
Furthermore, the LAED, MSED, MRED and MARTD introduced in Section 5.1 are compared with proposed MRRTD in practice. is set as the fluctuated interval of uncertainty available wind power for MRED and MARTD and 10 lattice and 100 samples per stage are adopted in MSED, as recommended by [27]. The average cost and calculated time consumption for a single day real-time ED during the whole 6-month process mentioned in A on MI6B and MI300B is shown in Table 3.
Table 3.
Performance of different models on IEEE benchmark systems.
It can be seen from Table 3 that modeling the uncertainty of wind power is necessary for real-time ED. The other models that use the stochastic or robust methodology to formulate the variable wind power obtain more economical solutions than the classic LAED. Since MSED cannot cover all the extreme scenarios with finite sampling, it introduces more cost when the wind scenarios are outside the sample than MRED, which sets a continuous interval to involve as many scenarios as possible. Although the MRED and MSED deserve the shortest calculation time due to the fact that they only solve T single periods deterministic optimization based on the day-ahead training computation, they do not make full use of the updating intra-day most-recent predicted information. In comparison, the MARTD earns a little better result than MRED on MI300B owing to the embedded intra-day framework which can make decisions following the most-recent predicted wind power. However, the affine rules utilized in MARTD make it so that it can only obtain the approximate optimal solution and increase the computational burden. The MRRTD overcomes the above obstacles and gains a both efficient and high-quality solution compard to the intra-day framework and effective solution technique MTD-FRDDP.
6.3. Testing on Large-Scale Systems
The scalability performance of the four introduced models, MRRTD and the proposed PGRTD based on MRRTD are compared in Table 4. In PGRTD, the expanded time-slot for MRRTD is configured as 1 h, and the real-time dispatch interval is every 15 min which remains the same as the other models for contrast. is also set as the deviation parameter of wind power.
Table 4.
Performance of different models on large-scale systems.
The large-scale application performance of compared models are basically consistent with the results in normal systems. It is worth mentioning that the per-period runtime of MARTD consumes up to over 6 min owing to the complicated full affine mechanism, which is not appropriate for real-time dispatch. Meanwhile, the proposed PGRTD and MRRTD have almost the same economic operation cost while the time consumption of MRRTD increases to over 1.5 min; yet, PGRTD remains within 3 s. Please be noted that each mature value function in PGRTD does not stand for a policy in this real-time point, but a short-term guidance for making dispatch decisions within this interval.
6.4. Simulation of MTD-FRDDP
The characteristics of MTD-FRDDP under different uncertainty parameters applied to the whole real-time ED process from 00:00 1 July 2021 to 23:45 31 December 2021 on MI300B are summarized in Figure 8.
Figure 8.
Characteristic probability density of iteration number and time consumption of MTD-FRDDP under different . , and are marked by pink, light green and dark green, respectively.
On the one hand, as shown in Figure 8a, the iteration number of MTD-FRDDP is similarly located in the region of 0–40 under different uncertainty parameters, which shows the stability of MTD-FRDDP to solve the same-size problem. On the other hand, the time consumption displayed in Figure 8b is mostly distributed between 0 s and 0.4 s, which demonstrates that the MTD-FRDDP algorithm stably has good enough speed for practical use. Additionally, we selected the iteration process of the No. 29 and No. 31 period in 8 December 2021 as a typical example to specifically simulate the convergence process of MTD-FRDDP drawn in Figure 9, which exemplifies the dynamic and effective convergence with the joint contribution of upper approximation and lower approximation designed in the proposed MTD-FRDDP.
Figure 9.
Convergence trajectories of MTD-FRDDP.
7. Conlusions
In this paper, the MRRTD is proposed to cope with the intra-day real-time ED problem. MRRTD utilizes the framework of rolling horizon to alleviate the calculation burden. In each period, a multi-stage dynamic robust optimization problem is solved in MRRTD, which overcomes the non-anticipative problem of ARO and maximizes the flexibility of time-sequence coupled equipment such as ESS. To enhance the scalability of MRRTD, a PGRTD mode is proposed, which shows great effectiveness in large-scale systems via testing. In addition, an embedded DUS based on deep learning is proposed to update the uncertainty set in real-time, showing better performance than the existing uncertainty set. A MTD-FRDDP algorithm is designed to tackle the strongly NP-hard problem caused by MRRTD, where two accelerating mechanisms are integrated to improve the applicability. Case studies confirm the enhanced scalability of the proposed model and solution methodology and indicate the potential for real-world application.
Tight, yet accurate, DUS contributes to both the computational efficiency and the solution quality of the proposed MRRTD model. As suggested by a recent work [39], type-3 fuzzy logic system (T3-FLS) is a promising generic mathematical tool for modeling uncertain phenomena. MRRTD with T3-FLS enhanced DUS is interesting for future work.
Author Contributions
Conceptualization, L.W. and H.X.; methodology, H.X., Y.S. and L.W.; software, H.X. and L.W.; validation, Y.S.; writing—original draft preparation, L.W. and H.X.; writing—review and editing, Y.S. and C.G.; supervision, C.G.; funding acquisition, C.G. All authors have read and agreed to the published version of the manuscript.
Funding
This research was funded by National Natural Science Foundation of China under grant (U22B2098) and State Grid Corporation of China under project (5100-202199285A-0-0-00) and project (52110418000T).
Data Availability Statement
Data available on request from the authors.
Conflicts of Interest
The authors declare no conflict of interest.
Abbreviations
The following abbreviations are used in this manuscript:
| ARO | Adaptive robust optimization |
| DUS | Dynamic uncertainty set |
| ED | Economic dispatch |
| ESS | Energy storage systems |
| FRDDP | Fast robust dual dynamic programming |
| LAED | Look-ahead economic dispatch |
| LSTM | Long short-term memory |
| MARTD | Multi-stage affine robust real-time economic dispatch |
| MRRTD | Multi-stage robust real-time economic dispatch |
| MSED | Multi-stage stochastic dynamic economic dispatch |
| PGRTD | Policy-guided real-time economic dispatch |
| RDDP | Robust dual dynamic programming |
| RIA | Relaxed inner approximiation |
| SOC | State of charge |
| TSC | Time-sequence correlation |
| US | Uncertainty set |
Nomenclature
| Parameters | |
| Length of the dispatch interval | |
| Length of the rolling window | |
| Marginal cost of generator g on segment k | |
| Wind curtailment penalty cost | |
| Load shedding penalty cost | |
| ESS SOC discrepansy penalty cost | |
| , | Upper/lower power limit of generator g |
| Commitment state of generator g | |
| , | Ramp-up/ramp-down rate limit of generator g |
| , | Charging/discharging efficiency of ESS e |
| Total capacity of ESS e | |
| , | Upper/lower limit on the SOC of ESS e |
| The initial SOC of ESS e | |
| , | Upper/lower limit of phase angle |
| Power flow limit of line | |
| Reactance of line | |
| Load demand at node d in period t | |
| The observed wind power from wind farm q in a past dispatch period t | |
| The forecast wind power from wind farm q in a future dispatch period t | |
| The observed wind power from wind farm q in the current dispatch period | |
| Index and Sets | |
| Feasible set of dispatch decision variables | |
| Uncertainty set of uncertain variables | |
| Index of generator cost curve segments | |
| Index of generators | |
| Index of wind farms | |
| Index of loads | |
| Index of ESS | |
| , | Sets of lines come from/to node h |
| Index of valid iterations/sampling points of the upper bound problem at dispatch | |
| period t | |
| Index of node in the power grid | |
| Index of dispatch interval | |
| Indicator of the current dispatch interval | |
| Decision Variables | |
| Power output of generator g in period t/on segment k | |
| Available wind power from wind farm q in period t | |
| Dispatched wind power from wind farm q in period t | |
| Load shedding of node d in period t | |
| Charging/discharging power of ESS e in period t | |
| State of charge of ESS e in period t | |
| Slack variables for ESS | |
| Phase angle of node h in period t | |
| Power flow from node h to node k in period t | |
| Coefficients of the convex combination of sample points in iteration s |
References
- Wang, X.; Liu, R.P.; Wang, X.; Hou, Y.; Bouffard, F. A Data-Driven Uncertainty Quantification Method for Stochastic Economic Dispatch. IEEE Trans. Power Syst. 2022, 37, 812–815. [Google Scholar] [CrossRef]
- Safdarian, F.; Kargarian, A. Temporal Decomposition-Based Stochastic Economic Dispatch for Smart Grid Energy Management. IEEE Trans. Smart Grid 2020, 11, 4544–4554. [Google Scholar] [CrossRef]
- Xu, S.; Wu, W. Tractable Reformulation of Two-Side Chance-Constrained Economic Dispatch. IEEE Trans. Power Syst. 2022, 37, 796–799. [Google Scholar] [CrossRef]
- Yang, Y.; Wu, W.; Wang, B.; Li, M. Chance-Constrained Economic Dispatch Considering Curtailment Strategy of Renewable Energy. IEEE Trans. Power Syst. 2021, 36, 5792–5802. [Google Scholar] [CrossRef]
- Lu, R.; Ding, T.; Qin, B.; Ma, J.; Fang, X.; Dong, Z. Multi-Stage Stochastic Programming to Joint Economic Dispatch for Energy and Reserve With Uncertain Renewable Energy. IEEE Trans. Sustain. Energy 2020, 11, 1140–1151. [Google Scholar] [CrossRef]
- Chen, Z.; Guo, C.; Dong, S.; Ding, Y.; Mao, H. Distributed Robust Dynamic Economic Dispatch of Integrated Transmission and Distribution Systems. IEEE Trans. Ind. Appl. 2021, 57, 4500–4512. [Google Scholar] [CrossRef]
- Bechert, T.E.; Kwatny, H.G. On the Optimal Dynamic Dispatch of Real Power. IEEE Trans. Power Appar. Syst. 1972, PAS-91, 889–898. [Google Scholar] [CrossRef]
- Ross, D.W.; Kim, S. Dynamic Economic Dispatch of Generation. IEEE Trans. Power Appar. Syst. 1980, PAS-99, 2060–2068. [Google Scholar] [CrossRef]
- Gu, Y.; Xie, L. Stochastic Look-Ahead Economic Dispatch With Variable Generation Resources. IEEE Trans. Power Syst. 2017, 32, 17–29. [Google Scholar] [CrossRef]
- Khorramdel, B.; Zare, A.; Chung, C.Y.; Gavriliadis, P. A Generic Convex Model for a Chance-Constrained Look-Ahead Economic Dispatch Problem Incorporating an Efficient Wind Power Distribution Modeling. IEEE Trans. Power Syst. 2020, 35, 873–886. [Google Scholar] [CrossRef]
- Tang, C.; Xu, J.; Sun, Y.; Liu, J.; Li, X.; Ke, D.; Yang, J.; Peng, X. Look-Ahead Economic Dispatch With Adjustable Confidence Interval Based on a Truncated Versatile Distribution Model for Wind Power. IEEE Trans. Power Syst. 2018, 33, 1755–1767. [Google Scholar] [CrossRef]
- Aliasghari, P.; Zamani-Gargari, M.; Mohammadi-Ivatloo, B. Look-Ahead Risk-Constrained Scheduling of Wind Power Integrated System with Compressed Air Energy Storage (CAES) Plant. Energy 2018, 160, 668–677. [Google Scholar] [CrossRef]
- Wang, Z.; Bian, Q.; Xin, H.; Gan, D. A Distributionally Robust Co-Ordinated Reserve Scheduling Model Considering CVaR-Based Wind Power Reserve Requirements. IEEE Trans. Sustain. Energy 2016, 7, 625–636. [Google Scholar] [CrossRef]
- Lorca, Á.; Sun, X.A. Adaptive Robust Optimization With Dynamic Uncertainty Sets for Multi-Period Economic Dispatch Under Significant Wind. IEEE Trans. Power Syst. 2015, 30, 1702–1713. [Google Scholar] [CrossRef]
- Zheng, W.; Li, Z.; Zhou, H. Efficient Robust Look-Ahead Dispatch Incorporating Critical Region Preparation in Gap Time. IEEE Trans. Power Syst. 2021, 36, 4840–4843. [Google Scholar] [CrossRef]
- Li, P.; Yu, D.; Yang, M.; Wang, J. Flexible Look-Ahead Dispatch Realized by Robust Optimization Considering CVaR of Wind Power. IEEE Trans. Power Syst. 2018, 33, 5330–5340. [Google Scholar] [CrossRef]
- Poolla, B.K.; Hota, A.R.; Bolognani, S.; Callaway, D.S.; Cherukuri, A. Wasserstein Distributionally Robust Look-Ahead Economic Dispatch. IEEE Trans. Power Syst. 2021, 36, 2010–2022. [Google Scholar] [CrossRef]
- Lorca, Á.; Sun, X.A.; Litvinov, E.; Zheng, T. Multistage Adaptive Robust Optimization for the Unit Commitment Problem. Oper. Res. 2016, 64, 32–51. [Google Scholar] [CrossRef]
- Cho, Y.; Ishizaki, T.; Ramdani, N.; Imura, J.i. Box-Based Temporal Decomposition of Multi-Period Economic Dispatch for Two-Stage Robust Unit Commitment. IEEE Trans. Power Syst. 2019, 34, 3109–3118. [Google Scholar] [CrossRef]
- Li, Z.; Wu, W.; Zhang, B.; Wang, B. Adjustable Robust Real-Time Power Dispatch With Large-Scale Wind Power Integration. IEEE Trans. Sustain. Energy 2015, 6, 357–368. [Google Scholar] [CrossRef]
- Ben-Tal, A.; Goryashko, A.; Guslitzer, E.; Nemirovski, A. Adjustable Robust Solutions of Uncertain Linear Programs. Math. Program. 2004, 99, 351–376. [Google Scholar] [CrossRef]
- Ben-Tal, A.; El Housni, O.; Goyal, V. A Tractable Approach for Designing Piecewise Affine Policies in Two-Stage Adjustable Robust Optimization. Math. Program. 2020, 182, 57–102. [Google Scholar] [CrossRef]
- Ardestani-Jaafari, A.; Delage, E. Robust Optimization of Sums of Piecewise Linear Functions with Application to Inventory Problems. Oper. Res. 2016, 64, 474–494. [Google Scholar] [CrossRef]
- Xu, G.; Hanasusanto, G.A. Improved Decision Rule Approximations for Multi-Stage Robust Optimization via Copositive Programming. arXiv 2021, arXiv:1808.06231. [Google Scholar] [CrossRef]
- Lorca, Á.; Sun, X.A. Multistage Robust Unit Commitment With Dynamic Uncertainty Sets and Energy Storage. IEEE Trans. Power Syst. 2017, 32, 1678–1688. [Google Scholar] [CrossRef]
- Zheng, Q.P.; Wang, J.; Liu, A.L. Stochastic Optimization for Unit Commitment—A Review. IEEE Trans. Power Syst. 2015, 30, 1913–1924. [Google Scholar] [CrossRef]
- Papavasiliou, A.; Mou, Y.; Cambier, L.; Scieur, D. Application of Stochastic Dual Dynamic Programming to the Real-Time Dispatch of Storage Under Renewable Supply Uncertainty. IEEE Trans. Sustain. Energy 2018, 9, 547–558. [Google Scholar] [CrossRef]
- Georghiou, A.; Tsoukalas, A.; Wiesemann, W. Robust Dual Dynamic Programming. Oper. Res. 2019, 67, 813–830. [Google Scholar] [CrossRef]
- Shi, Z.; Liang, H.; Huang, S.; Dinavahi, V. Multistage Robust Energy Management for Microgrids Considering Uncertainty. IET Gener. Transm. Distrib. 2019, 13, 1906–1913. [Google Scholar] [CrossRef]
- Shi, Y.; Dong, S.; Guo, C.; Chen, Z.; Wang, L. Enhancing the Flexibility of Storage Integrated Power System by Multi-Stage Robust Dispatch. IEEE Trans. Power Syst. 2021, 36, 2314–2322. [Google Scholar] [CrossRef]
- Xiong, H.; Shi, Y.; Chen, Z.; Guo, C.; Ding, Y. Multi-Stage Robust Dynamic Unit Commitment Based on Pre-Extended -Fast Robust Dual Dynamic Programming. IEEE Trans. Power Syst. 2023, 38, 2411–2422. [Google Scholar] [CrossRef]
- Ko, M.S.; Lee, K.; Kim, J.K.; Hong, C.W.; Dong, Z.Y.; Hur, K. Deep Concatenated Residual Network With Bidirectional LSTM for One-Hour-Ahead Wind Power Forecasting. IEEE Trans. Sustain. Energy 2021, 12, 1321–1335. [Google Scholar] [CrossRef]
- Qu, X.; Kang, X.; Zhang, C.; Jiang, S.; Ma, X. Short-Term Prediction of Wind Power Based on Deep Long Short-Term Memory. In Proceedings of the 2016 IEEE PES Asia-Pacific Power and Energy Engineering Conference (APPEEC), Xi’an, China, 25–28 October 2016; pp. 1148–1152. [Google Scholar] [CrossRef]
- EirGrid. EirGrid System Performance Data. Available online: https://www.eirgridgroup.com/how-the-grid-works/system-information/ (accessed on 15 May 2022).
- Department of Electrical Engineering, University of Washington Power Systems Test Cases. Available online: http://www.ee.washington.edu/research/pstca/ (accessed on 15 May 2022).
- MATPOWER test cases Case File of the Modified IEEE 300-Bus System. Available online: https://egriddata.org/dataset/ieee-300-bus-case (accessed on 15 May 2022).
- Babaeinejadsarookolaee, S.; Birchfield, A.; Christie, R.D.; Coffrin, C.; DeMarco, C.; Diao, R.; Ferris, M.; Fliscounakis, S.; Greene, S.; Huang, R.; et al. The Power Grid Library for Benchmarking AC Optimal Power Flow Algorithms. arXiv 2021, arXiv:1908.02788. [Google Scholar] [CrossRef]
- Dunning, I.; Huchette, J.; Lubin, M. JuMP: A Modeling Language for Mathematical Optimization. SIAM Rev. 2017, 59, 295–320. [Google Scholar] [CrossRef]
- Huang, H.; Xu, H.; Chen, F.; Zhang, C.; Mohammadzadeh, A. An Applied Type-3 Fuzzy Logic System: Practical Matlab Simulink and M-Files for Robotic, Control, and Modeling Applications. Symmetry 2023, 15, 475. [Google Scholar] [CrossRef]
Disclaimer/Publisher’s Note: The statements, opinions and data contained in all publications are solely those of the individual author(s) and contributor(s) and not of MDPI and/or the editor(s). MDPI and/or the editor(s) disclaim responsibility for any injury to people or property resulting from any ideas, methods, instructions or products referred to in the content. |
© 2023 by the authors. Licensee MDPI, Basel, Switzerland. This article is an open access article distributed under the terms and conditions of the Creative Commons Attribution (CC BY) license (https://creativecommons.org/licenses/by/4.0/).









