Abstract
The current research study is focusing on the investigation of the physical effects of thermal radiation on heat and mass transfer of a nanofluid located around a sphere. The configuration is investigated by solving the partial differential equations governing the phenomenon. By using suitable non-dimensional variables, the governing set of partial differential equations is transformed into a dimensionless form. For numerical simulation, the attained set of dimensionless partial differential equations is discretized by using the finite difference method. The effects of the governing parameters, such as the Brownian motion parameter, the thermophoresis parameter, the radiation parameter, the Prandtl number, and the Schmidt number on the velocity field, temperature distribution, and mass concentration, are presented graphically. Moreover, the impacts of these physical parameters on the skin friction coefficient, the Nusselt number, and the Sherwood number are displayed in the form of tables. Numerical outcomes reflect that the effects of the radiation parameter, thermophoresis parameter, and the Brownian motion parameter intensify the profiles of velocity, temperature, and concentration at different circumferential positions on the sphere.
Keywords:
finite difference method; thermal radiation; nanofluid; heat transfer; sphere; plume region; partial differential equations MSC:
65L12
1. Introduction
Nanotechnology is a key component of the industrial technological revolution of the twenty-first century, and it has become the interest of several researchers and engineers. Several industries, including petrochemical, textile, chemical, food processing, air conditioning, renewable energies, microelectronic cooling, etc., are facing the problem of high energy consumption in the thermal processes. Due to their enhanced thermophysical properties, the use of nanofluids is one of the non-destructive solutions that allows for the improvement in heat transfer performances. When nano-sized particles are suspended into a base fluid, the engineered suspension is termed ‘nanofluid’. The nanoparticles used to prepare the nanofluid are commonly made up of carbon nanotubes, oxides, metals, and carboids. The commonly used base fluids are ethylene glycol, water, and oil.
By dispersing metallic nanoparticles in traditional heat transfer fluids, Choi and Eastman [1] invented a new class of heat transfer fluids. The resulting nanofluids offered the opportunity of improving the heat transfer due to their enhanced thermal conductivities compared to conventional fluids. Brownian diffusion and thermophoresis are significant slip mechanisms in nanofluids. Buongiorno [2] created a two-component, four-equation, nonhomogeneous equilibrium model for heat, momentum, and mass transfer in nanofluids based on this discovery. The unexpected increases in the heat transfer coefficient cannot be explained by nanoparticle dispersion, according to a nondimensional examination of the equations. An electrically conducting incompressible nanofluid fluid flowing across a porous rotating disc in the presence of an externally imposed uniform vertical magnetic field was the subject of the study of Rashidi et al. [3]. This research has potential for nuclear propulsion space vehicles as well as spinning magnetohydrodynamic (MHD) energy producers for novel space systems and thermal conversion techniques. The concept of a three-dimensional flow of viscous nanofluid in the presence of partial slip and thermal radiation effects was introduced by Hayat et al. [4]. The flow is caused by a stretching porous surface. Alumina was chosen as the nanoparticle and water as the base fluid. In their research, fluid conducts electricity when a magnetic field is applied. The effects of non-linear heat radiation, slip conditions, and sheet stretching linearly on the phenomena of three-dimensional MHD nanofluid flow have been investigated. The radiative heat transfer of a nanofluid flow caused by the stretching and shrinking of a surface has been considered by Pal et al. [5]. The authors also studied the influences of dissipation and magnetics. Bioconvection heat transfer and radiative magneto-hydrodynamic nanofluid flow with a homogenous, heterogeneous chemical reaction past paraboloid geometry was the focus of the work of Makinde et al. [6]. Ahmad and Nadeem [7] studied the mechanism of hybrid nanofluid stagnation point flow produced by a rotating disk while considering the impact of an applied magnetic field. The discussion of the phenomenon of the natural convective flow of nanofluids in a plume-region was documented by Ashraf et al. [8]. Khan et al. [9] examined the effects of heat generation and applied magnetic field on nanofluid-free convection at several circumferential points of the sphere and in the plume-region in [9]. Effects of Hall currents, activation energy and chemical reaction around a rotating cone are taken into discussion by Ahmad and Nadeem [10].
The convective heat transfer combined with thermal radiation effects has been and is still the interest of the research community due to its various applications in industry and engineering, such as boilers, rocket engines, the cooling of the nuclear reactors, and thermal insulation. Hossain and Thakkar [11] explored the model of convective flow over the vertical plate kept at uniform temperature by considering radiation influence. Damseh [12] performed a numerical analysis on the magnetohydrodynamic-mixed convective flow over an isothermal surface immersed in a porous medium. Zehamatkesh [13] presented a study on the thermal radiation’s impact on free convective flow through a permeable enclosure. Mondal et al. [14] investigated the radiative convective flow across a vertical plate immersed in a porous media. Muhammad et al. [15] considered micropolar fluid flows past a porous moving surface situated in a spongy medium while being affected by heat generation, magnetic fields, radiation, and chemical reactions. Bhattacharyya et al. [16] examined the micropolar fluid flow with radiation effects over a stretching sheet. Pal et al. [17] were interested in the micropolar fluid’s stagnation point flow when radiation and a magnetic field were present. Moradi et al. [18] examined the mixed convection flow down the sloped surface with the influence of radiation. Sheikholeslami et al. [19] paid their attention to the energy transport mechanism, in nanofluid-filled semi-annulus in the presence of a magnetic field. Hussain et al. [20] reported the effects of radiation and transpiration on the boundary layer flow of a micropolar fluid past stretching sheet. The boundary layer flow over an exponentially stretched sheet with transpiration, radiation, and slip condition effects were explored by Mukhopadhyay et al. [21]. The thermally stratified radiative flow of third-grade fluid flow over a stretching surface was examined by Hayat et al. [22]. Parkesy et al. [23] studied the influence of radiation on transient magnetohydrodynamic micropolar fluid flow between porous vertical channels with imposed third-kind boundary conditions. According to Uddin et al. [24], the magnetohydrodynamic heat transport in a micropolar fluid past a wedge with a hall and ion slip current is affected by thermal radiation, heat generation, and absorption. The stagnation point flow of nanofluid with magnetohydrodynamic and radiation effects over a stretching sheet with velocity and thermal slip influences were proposed by Haq et al. [25]. Mohammad et al. [26] considered the mixed convection flow of micropolar fluid caused by an unsteady stretching sheet with viscous dissipation effects. A magnetohydrodynamic non-Darcian convective flow over a stretching sheet in micropolar fluid under the impact of solar rays was discussed by Mohammd et al. [27]. The discussion on radiation effects combined with variable density on magnetohydrodynamic Sakiadis flow was conducted by Abbas et al. [28]. Ashraf et al. [29] studied numerically the periodic-mixed convective flow along a sphere at different points of the surface. Ahmad et al. [30] studied the effects of the catalytic chemical reaction modification on the mixed convective flow along a curved surface. Spherical geometries exist in several industrial and engineering applications. By considering various fluid parameters, thermophoretic and Brownian motion effects, convective heat transport along the surface of a sphere and other geometries has been thoroughly anticipated in Refs. [31,32,33,34,35,36,37,38,39,40,41,42,43].
From the above-mentioned introduction and literature survey, it is shown that an enormous amount of research on nanofluids using the single-phase model and two-phase model have been documented due to the practical applications of nanofluids. Different geometries along with diverse physical characteristics of the fluids were considered to study the physical behavior of nanofluids, as in Refs. [1,2,3,4]. However, from the best of our knowledge, the study focusing on the two-phase model (Buongiorno model) through a sphere and in the created plume-region above the sphere due to the eruption of fluid has not been discussed before the present work. In the current work, linear thermal radiation effects of optically dense gray nanofluid are discussed. To obtain accurate solutions, an efficient numerical technique based on finite difference method is efficiently utilized. The outcomes of the pertinent parameters appeared in the model are portrayed in graphs and tables and are discussed with physical interpretations.
2. Flow Analysis for Region-I
The studied configuration consists of a two-dimensional, steady, viscous, and incompressible nanofluid flow around the sphere and in the plume-region. The plume-region is established just above the sphere due to eruption fluid. The thermal radiation effects along with thermophoresis and Brownian motion effects are considered in the following model. The base fluid is water and due to radiative heat flux, it is considered to be optically dense gray. The surface of the sphere is maintained at the temperature that is higher than the ambient temperature . The mass concentration on the surface of the sphere is and this concentration is higher than the concentration in the free stream region . The axes and are taken toward and normal to the direction of flow, respectively, as presented in Figure 1. The velocity components are designated by , and , respectively. Three regions make up the flow’s schematic diagram: region-I is the spherical boundary layer, region-II is the eruption region, and region-III is the plume region. Following [1,2,3,4,8,9], the governing equations are as follows:
Figure 1.
Coordinate system and flow configuration.
Law of conservation of mass (Equation of continuity),
Boundary layer form of momentum equation
Boundary layer form of energy equation
Boundary layer form of mass concentration equation
Boundary conditions
The equation of continuity (Equation (1)) is also called the law of conservation of the mass; it describes that the amount of mass entering per unit area is equal to the amount of mass leaving per unit area. Alternatively, we can say that mass remains conserved. The momentum equation (Equation (2)) is also called the approximate form of the boundary layer Navier–Stokes equation. It has derived from Newton’s second law of motion. This equation describes the motion of the fluid. Equation (3) corresponds to the energy equation—it is also called the law of conservation of energy, and it has derived from the first law thermodynamics. This equation states that the entire energy of the system remains conserved. Equation (4) is called mass concentration and the law conservation of concentration. Equation (5) represents the imposed boundary conditions for the current molded process. Here, and are the velocity components along and respectively. The variables are the radial distance from the symmetric axis to surface of the sphere. The designations and represent the kinematic viscosity with as fluid dynamic viscosity, gravitation acceleration, expansion coefficient due to temperature, and expansion coefficient due to concentration, respectively. Notations and denote thermal diffusivity with as the thermal conductivity of the fluid, Brownian movement coefficient, thermophoresis coefficient, density of the fluid, and specific heat at constant pressure, respectively. Symbols and denote heat capacity of the nanofluid, heat capacity of the base fluid, and the ratio between the heat capacities, respectively. The notation represents liquid and ambient temperatures, and represents liquid and ambient concentrations.
Using the Rosseland approximation [37,38,39] for radiation in an optically thick fluid, the radiative heat flux is simplified to:
where and designates the Stefan–Boltzmann constant and mean absorption coefficient, respectively. We assume that the temperature differences within the flow, such as the term , may be expressed as a linear function of temperature. Hence, expanding in a Taylor series about and neglecting higher-order terms, we obtain
In view of Equations (6) and (7), Equation (3) takes the following form:
where is the radiation parameter.
3. Solution Process
Now, in this section, we elaborate the entire solution procedure for the flow model presented in Equations (1)–(4) with boundary conditions given in Equation(5).
3.1. Dimensionless Variables
In the current study, the finite difference method is applied to the set of partial differential equations to determine the numerical solutions. Before the application of finite difference method, the model for the natural convection along the surface of the sphere and in the plume-region is made dimensionless (unit-free) by using the suitable dimensionless variables defined in the following Equation (9) used in Refs. [8,9]
where is the Grashoff number, is the modified Grashof number, is the dimensionless temperature function, is the dimensionless mass concentration, is the dimensionless horizontal axis and is the dimensionless vertical axis, is the radius of a sphere, is the non-dimensional horizontal velocity component, and is the non-dimensional velocity component. By using the dimensionless variables in Equation (9) into Equations (1)–(4) along with boundary condition (5), we have the following dimensionless governing equations:
Dimensionless form of conservation of mass equation
Dimensionless form of momentum equation
Dimensionless form of energy equation
Dimensionless form of momentum equation
Dimensionless form subjected boundary conditions,
Here, the physical parameter is the Prandtl number, is the Schmidt number, is the Brownian motion parameter, is the thermophoresis parameter, and is the radiation parameter.
Moreover, the skin friction coefficient, Nusselt number, and Sherwood number at the surface can be found as follows:
where:
By using Equation (9) into Equations (14) and (15), we have the following expressions:
3.2. Primitive Variable Formulation
To reduce the labor on the numerical algorithm for the finite difference method on FORTRAN Lahy-95, the dimensionless model presented in Equations (10)–(13) along with boundary conditions (14) is further transformed to a primitive form by using the following appropriate primitive variables formulation used by [8,9]:
After using Equation (20) into Equations (10)–(14), the following equations are attained:
The subjected conditions are:
The transformed model in primitive form is presented in Equations (21)–(24) along with the transformed boundary conditions given in Equation (25). The transformed boundary conditions are so smooth and have similar terms which make coding of the algorithm easy.
3.3. Computational Technique
A finite difference method is taken into use for numerical solutions of altered flow equations, as shown in Equations (21)–(24), with the boundary conditions shown in Equation (25). The -axis is used to apply the backward difference, while the -axis is used to apply the central difference. After the flow equations are discretized, the unknown discretized variables are identified. The finite difference approach is used to arrive at the solution of Equations (21)–(24) with problem conditions specified in Equation (25).The backward and center differences are applied in and directions, respectively. The following is a description of the solution process:
The following system of algebraic equations is created by incorporating Equations (26)–(28), Equations (21)–(24), and the boundary conditions specified in Equation (25).
The discretized form of continuity equation,
The discretized form of momentum equation,
The discretized form of energy equation,
The discretized form of mass concentration equation,
The subjected, discretized boundary conditions,
The approximate solutions determined with the finite difference method are discussed in detail in the forthcoming section. The convergence and mesh sensitivity analysis criterion are presented as follows to achieve accurate numerical solutions for the variables , and , respectively,
where . The computation is started at and then marches downstream implicitly. Here, we have taken the step size and , respectively.
4. Flow Analysis for Plume Region-III
The plume region is established just above the sphere due to eruption fluid from the boundary layer around the sphere. The thermal radiation effects along with thermophoresis and Brownian motion effects are considered in the following model. The base fluid for the making of nanofluids is water, and due to radiative heat flux, it is optically dens gray. The surface of the sphere is maintained by the temperature and its temperature is considered greater than the ambient temperature . The mass concentration on surface of the sphere is and this concentration is larger than the concentration in the free-stream region . The axes and are taken for the flow direction and normal to this flow, respectively; this coordinated system is highlighted in Figure 1. The velocity components corresponding to the flow direction and normal to this flow are designated by and , respectively. Three regions make up the flow’s schematic diagram: region-I is the spherical boundary layer, region-II is the eruption region, and region-III is the plume in Figure 1. Following [1,2,3,4,8,9], the fundamental flow equations are shown below:
The law of conservation of mass (equation of continuity),
Boundary layer form of momentum equation
Boundary layer form of energy equation
Boundary layer form of mass concentration equation
Molded conditions
The equation of continuity (Equation (34)) is also called the law of conservation of mass for plume region-III—it describes that the amount of mass entering per unit area is equal to the amount of mass leaving per unit area. Alternatively, we can say that mass remains conserved. The momentum equation (Equation (35)) is also called the approximate form of the boundary layer Navier–Stokes equation for plume region-III. It has derived from Newton’s second law of motion. This equation describes the motion of the fluid. Equation (36) is called the energy equation and the law of conservation of energy; it has derived from the first law thermodynamics for plume region-III. This equation states that the entire energy of the system remains conserved. Equation (37) is called mass concentration and is called the law conservation of concentration for plume region-III. Equation (38) represents the imposed boundary conditions for the current molded process for plume region-III. Here, and are the velocity components along and , respectively. The variable is the radial distance from the symmetric axis to the surface of the sphere. The designations and represent the kinematic viscosity with as fluid dynamic viscosity, gravitation acceleration, expansion coefficient due to temperature, and expansion coefficient due to concentration, respectively. Notations and denote thermal diffusivity with as the thermal conductivity of the fluid, Brownian movement coefficient, thermophoresis coefficient, density of the fluid, and specific heat at a constant pressure, respectively. Symbols and denote the heat capacity of the nanofluid, heat capacity of the base fluid, and the ratio between the heat capacities, respectively. The notation represents liquid and ambient temperatures, and represents liquid and ambient concentrations.
Using the Rosseland approximation for radiation in an optically thick fluid, [37,38,39] the radiative heat flux is simplified to:
where and designate the Stefan–Boltzmann constant and the mean absorption coefficient, respectively. We assume that the temperature differences within the flow, such as the term , may be expressed as a linear function of temperature. Hence, by expanding in a Taylor series about and neglecting higher-order terms, we obtain
In view of Equation (6) and (7), Equation (3) takes the following form:
where is the is the radiation parameter.
5. Solution Process
Now, in this section, we elaborate the entire solution procedure for the flow model presented in Equations (34)–(37) with the boundary conditions given in Equation(38).
5.1. Dimensionless Variables
In the current study, the finite difference method is applied on the system of partial differential equations to figure out the numerical solutions. Before the application of finite difference method, the model for the natural convection along the surface of the sphere and in the plume-region is made dimensionless (unit-free) by using the suitable dimensionless variables defined in the following Equation (39) used in Refs. [8,9]
where is the Grashoff number, is the changed Grashof number, is the dimensionless temperature function, is the dimensionless mass concentration, is the dimensionless horizontal axis and is the dimensionless vertical axis, is the radius of a sphere, is the non-dimensional horizontal velocity component, and is the non-dimensional velocity component. By using the dimensionless variables in Equation (42) into Equations (34)–(37) along with boundary condition (38), we have the following dimensionless governing equations:
Non-dimensional law of conservation of mass (equation of continuity),
Non-dimensional boundary layer form of the momentum equation
Non-dimensional boundary layer form of the energy equation
Non-dimensional boundary layer form of the mass concentration equation
Non-dimensional appropriate boundary conditions
Here, the physical parameters is the Prandtl number, is the Schmidt number, is the Brownian motion parameter, is the thermophoresis parameter, and is the radiation parameter.
Moreover, the skin friction coefficient, Nusselt number, and Sherwood number at the surface can be found as follows:
where:
By using Equation (42) into Equations (48)–(49), we have the following expressions:
5.2. Primitive Variable Formulation
To simplify the numerical algorithm for the finite difference method on FORTRAN Lahy-95, the dimensionless model presented in Equations (43)–(46) along with boundary conditions (47) is further transformed to a primitive form by using the following appropriate primitive variable formulation used by [8,9]:
By using the variables given in Equation (53) into Equations (43)–(46) along with the boundary conditions given in Equation(47), we have the following expressions:
Boundary conditions
The transformed model in primitive form is presented in Equations (54)–(57) along with the transformed boundary conditions given in Equation (58); the transformed boundary conditions are so smooth and have similar terms which make coding of the algorithm easy.
5.3. Computational Technique
A finite difference method is taken into use for the numerical solutions of altered flow equations, as shown in Equations (21)–(24), with the boundary conditions shown in Equation (25). The -axis is used to apply the backward difference, while the -axis is used to apply the central difference. After the flow equations are discretized, the unknown discretized variables are identified. The finite difference approach is used to arrive at the solution of Equations (54)–(57) with the problem conditions specified in Equation (58).The backward and center differences are applied in and directions, respectively. The following is a description of the solution process:
The following system of algebraic equations is created by incorporating Equations (59)–(61),Equations (54)–(57), and the boundary conditions specified in Equation (58).
Boundary conditions of the modeled problem
The approximate solutions determined with the finite difference method are discussed in detail in the forthcoming section. The convergence and mesh sensitivity analysis criterion are presented as follows to achieve accurate numerical solutions for the variables , and , respectively:
where . The computation is started at and then marches downstream implicitly. Here, we have taken the step size and , respectively.
6. Results and Discussion
The current section is dedicated to the results and discussion in relation to the flow model. The obtained numerical solutions issued from solving the governing equations, around the sphere in region-I and plume region-III, are displayed graphically and in tabular forms in subsequent subsections.
6.1. Analysis of Heat and Fluid Flow Characteristics around the Sphere
The solution of the problem is obtained by solving Equations (1)–(4) with their boundary conditions, as given in Equation (5). A finite difference technique has been applied in order to reach the solution. The study’s primary goal is to examine the effects of various flow model inputs, on the velocity profile , temperature distribution , and nanoparticle concentration . In addition, the quantitative results are presented in terms of skin friction coefficient , Nusselt , and the Sherwood number . The pertinent parameters of interest are the radiation parameter , the thermophoresis parameter , the Brownian motion , the Schmidt number Sc, and the Prandtl number Pr. Figure 2, Figure 3 and Figure 4 show the effect of varying the thermal radiation parameter on velocity profile , temperature distribution , and nanoparticle concentration , respectively. It is noticed that as is raised, velocity, temperature, and nanoparticle concentrations increase for all the considered positions around the surface of a sphere. The effects of N are included in order to increase the fluid flow domain temperature, as shown in the aforementioned graphs. Figure 2, Figure 3 and Figure 4 illustrate how an increase in N raises the fluid’s thermal conductivity and mean absorption efficiency. Both contribute to raising the temperature of the fluid flow domain. As the fluid’s temperature increases, the fluid thins out and the resistance between the layers increases. As a result, the velocity field is increased in accordance. It is worthy to note that the velocity profile is largest at point = 2.0 and that the velocity and concentration profiles are maximum at position = 3.0. The overall established trend is that the increase in N leads to an increase in and . Figure 5, Figure 6 and Figure 7 demonstrate the solutions for , and profiles, respectively, for different values of thermophoresis parameter in the sphere region. It is observed that all the variables become stronger when there is an increase in the magnitude of . In these figures, we can conclude that is maximum at position X = 2.0, while and are maximum at position X = 3.0 in the sphere region. The observed trends are physically true because the increment in is caused by the increase in temperature difference between the surface temperature and ambient temperature; the viscous force between the layers of the fluid weakens, causing velocity to become boosted and the temperature of the fluid to be enhanced. Figure 8, Figure 9 and Figure 10 show how the Brownian motion parameter affects velocity, temperature distribution, and nanoparticle concentration, respectively. All the variables increase against the increasing values of . This result is justified by the fact that an increment in is caused by an increase in nanoparticle concentration difference between the surface and ambient concentration, and viscous force is rescued, causing the increment in concentration. It can also be noticed that the contribution of is maximum at point X = 2.0 for and at X = 3.0 for and for Nb = 1.5. The effects of Sc on dynamical and thermal behaviors are presented in Figure 11, considering that the other parameters are constant. From the analysis of these figures, it can be concluded that increases due to the increase in the Brownian motion, and it reaches its maximum at point X = 0.1.
Figure 2.
Outcomes of radiation parameter on velocity distribution when and
Figure 3.
Outcomes of radiation parameter on temperature distribution when and .
Figure 4.
Outcomes of radiation parameter on mass concentration when and .
Figure 5.
Outcomes of thermophoresis parameter on velocity distribution when N = 0.5, Nb = 1.5, Pr = 7.0, and Sc = 10.0.
Figure 6.
Outcomes of thermophoresis parameter on temperature distribution when N = 0.5, Nb = 1.5, Pr = 7.0, and Sc = 10.0.
Figure 7.
Outcomes of thermophoresis parameter on mass concentration when N = 0.5, Nb = 1.5, Pr = 7.0, and Sc = 10.0.
Figure 8.
Outcomes of Brownian motion parameter on velocity distribution when , and
Figure 9.
Outcomes of Brownian motion parameter on temperature distribution when , and
Figure 10.
Outcomes of Brownian motion parameter on mass concentration when , and
Figure 11.
Outcomes of Schmidt number on mass concentration when = 1.5, and
Table 1, Table 2, Table 3, Table 4 and Table 5, illustrate the variations in the physical quantities: skin friction , the Nusselt number , and the Sherwood number for diverse values of the governing parameters. These results are evaluated at various locations on the surface of the sphere. Table 1 presents the results of , , and for various values of the Schmidt number at different points of the surface of the sphere. It is noticed that , , , and are higher at and lower at . On the other hand, and risefor but reduceat . Similarly, Table 2 depicts the effect of the Prandtl number on the evaluated physical properties. It has to be mentioned that the increase in causes the increase in , but reductions occur in and . In Table 3, the effects of on , , and are illustrated. Augmenting causes a decline in and an increase in and . Table 4 portrays the trend of the same properties for different values of . It can be seen that all the properties go down by increasing the values of . Table 5 presents the behavior of the skin of friction coefficient, Nusselt number, and Sherwood number for various values of . It is observed that each variable of interest increases against increasing values of .
Table 1.
Outcomes of the Schmidt number on (a) the skin friction coefficient , (b) Nusselt , and (c) the Sherwood number when and
Table 2.
Outcomes of the Prandtl number on (a) the skin friction coefficient , (b) Nusselt , and (c) the Sherwood number when and
Table 3.
Outcomes of the radiation parameter on (a) the skin friction coefficient , (b) Nusselt , and (c) the Sherwood number when and
Table 4.
Outcomes of the thermophoresis parameter on (a) the skin friction coefficient , (b) Nusselt , and (c) the Sherwood number when , and Pr = 7.0.
Table 5.
Outcomes of the Brownian motion parameter on (a) the skin friction coefficient , (b) Nusselt , and (c) the Sherwood number when and .
6.2. Physical Behavior of Material Properties in the Plume Region-III
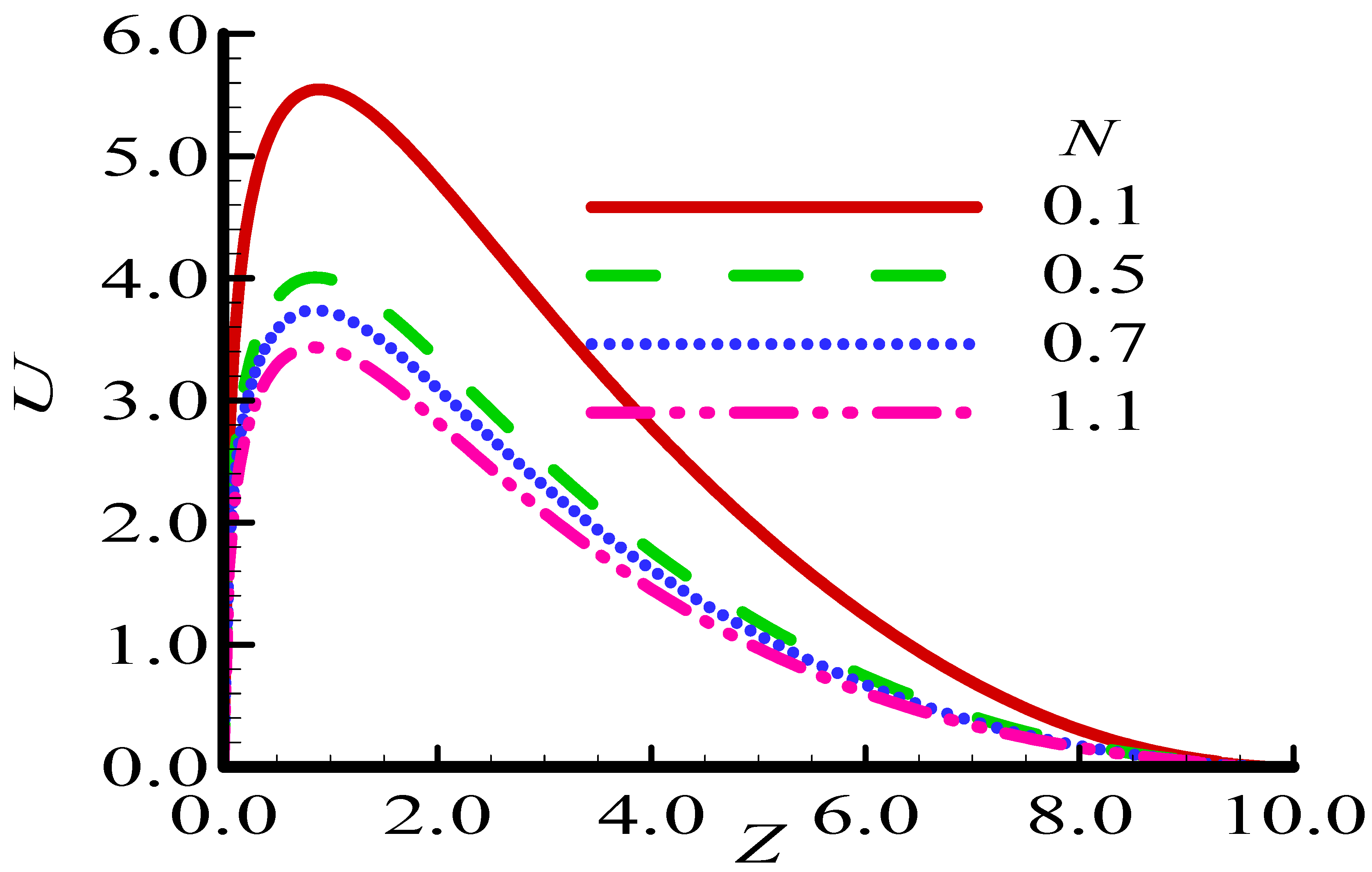
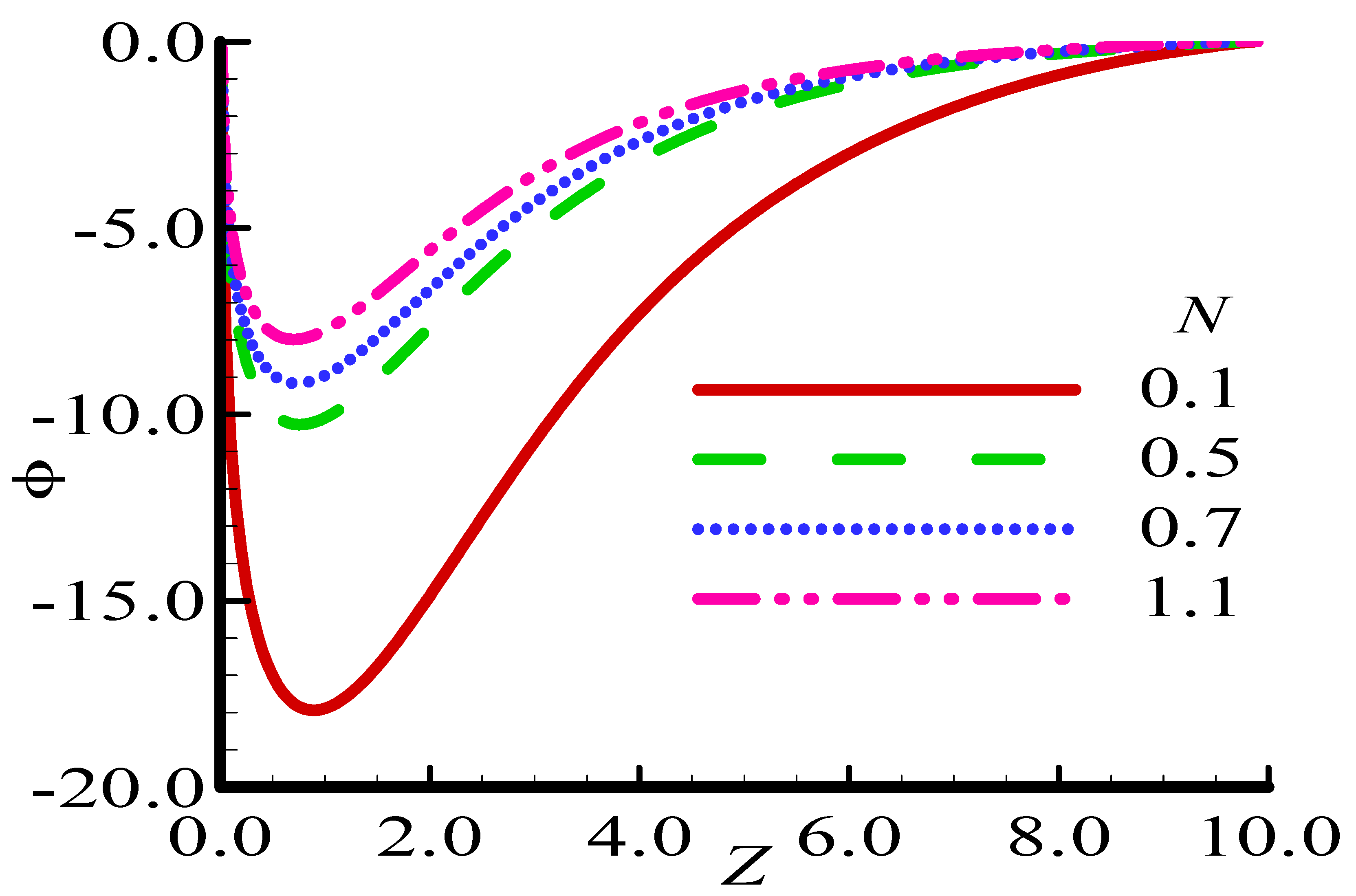
The objective of the present work is to investigate the nanofluid boundary layer flow around the sphere and the eruption of the fluid into the plume region-III, as seen in Figure 1. For this purpose, some assumptions are considered in the plume region, and the issued mathematical model is given in Equations (34)–(37) along with the specified boundary conditions (Equation (38)). After making necessary arrangements regarding the scaling of the variables, we transformed the coupled system of the partial differential equation into a convenient form for the integration. A numerical analysis of the thermofluid dynamics and nanoparticle motion characteristics is conducted by adopting the finite difference method, along with the Gaussian elimination algorithm to calculate the values of the unknown variables ,, and for different values of the radiation parameter . In Figure 12, Figure 13 and Figure 14, the effects of radiation on the fluid dynamics, thermal field, and nanoparticle motion are displayed. Fluid velocity , thermal field , and nanoparticle motion decreased drastically as the radiation parameter increased. This is because with the increase in , the fluid becomes grossly optically dense gray. On the other hand, the nanoparticle motion restored after retardation. Table 6 describes the behavior of different scaling parameters on the physical quantities of the skin friction coefficient , Nusselt , and the Sherwood number in plume region-III at the leading edge. We can see that all the properties decline when the value of increases.
Figure 12.
Outcomes of radiation parameter on velocity distribution , when , and .
Figure 13.
Outcomes of radiation parameter on temperature distribution when , and .
Figure 14.
Outcomes of radiation parameter on mass concentration when , and .
Table 6.
Outcomes of radiation parameter on (a) the skin friction coefficient , (b) Nusselt , and (c) the Sherwood number when , , and .
7. Conclusions
The current study analyzes the flow of nanofluid in a laminar boundary layer around a heated sphere inside a plume while thermal radiation is present. It can be concluded that the temperature distribution and mass concentration were improved when and were increased. It is also noticed that as and were increased, the skin friction became stronger, but an opposite trend was found for the increasing values of and . Tabular results showed that increasing the values of and resulted in an enhancement of the heat transfer rate. An opposite behavior was encountered when and were increased. The numerical results that corresponded with the nanoparticle concentration showed that as and were increased, an increasing trend in nanoparticle concentration was noticed. It is also interesting to mention that the increase in and led to a reduction in the above-discussed properties. In the plume region-III, it was noticed that increasing the values of caused a reducing trend in velocity and temperature fields, thus leading to a rising trend for the concentration. A decreasing trend was also found to occur for , , and the Sherwood number .
Author Contributions
Conceptualization, A.A. and M.A.; methodology, A.K.; software, A.A.; validation, A.H., K.G. and C.M.; formal analysis, L.K.; investigation, M.A.; resources, A.K.; data curation, M.A.; writing—original draft preparation, A.A., L.K, A.A and K.G; writing—review and editing, L.K, A.K., K.G and C.M.; visualization, A.H.; supervision, M.A.; project administration, K.G.; funding acquisition, K.G. All authors have read and agreed to the published version of the manuscript.
Funding
Princess Nourah bint Abdulrahman University Researchers Supporting Project number (PNURSP2023R41), Princess Nourah bint Abdulrahman University, Riyadh, Saudi Arabia.
Institutional Review Board Statement
Not applicable.
Informed Consent Statement
Not applicable.
Data Availability Statement
Not applicable.
Conflicts of Interest
The authors declare no conflict of interest.
Nomenclature
| Dimensionless velocity component in x direction | |
| Dimensionless velocity component in direction | |
| Dimensionless velocity component in direction in plume region | |
| Dimensionless axes along and normal to the surface of a sphere | |
| Dimensionless axes along and normal in the plume region | |
| Primitive variable for velocity component in direction | |
| Primitive variable for velocity component in direction | |
| Primitive variable for velocity component in direction in plume region | |
| Gravitational acceleration | |
| Fluid temperature in boundary layer | |
| Mass concentration in boundary layer | |
| Specific heat at constant pressure | |
| The radius of a sphere | |
| Dimensioned radial distance from the symmetric axis to the surface of a sphere | |
| Mass diffusion coefficient | |
| Grashof number | |
| Radiation parameter | |
| Thermophoresis parameter | |
| Brownian motion parameter | |
| Radiative heat flux | |
| Skin friction coefficient | |
| Nusselt number | |
| Sherwood number | |
| Greek Symbols | |
| Volumetric coefficient thermal expansion | |
| Volumetric coefficient concentration expansion | |
| Thermal diffusivity | |
| Dimensionless temperature | |
| Dimensionless mass concentration | |
| Dynamic viscosity | |
| Kinematic viscosity | |
| Fluid density | |
| Thermal conductivity | |
| Stefan–Boltzmann constant | |
| Mean absorption coefficient | |
| Subscripts | |
| Ambient conditions | |
| Wall conditions |
References
- Choi, S.U.; Eastman, J.A. Enhancing Thermal Conductivity of Fluids with nanoparticles; (No. ANL/MSD/CP-84938; CONF-951135-29); Argonne National Lab. (ANL): Argonne, IL, USA, 1995. [Google Scholar]
- Buongiorno, J. Convective Transport in Nanofluid. ASME J. Heat Transf. 2006, 128, 240–250. [Google Scholar] [CrossRef]
- Rashidi, M.M.; Abelman, S.; Mehr, N.F. Entropy generation in steady MHD flow due to a rotating porous disk in a nanofluid. Int. J. Heat Mass Trans. 2013, 62, 515–525. [Google Scholar] [CrossRef]
- Hayat, T.; Imtiaz, M.; Alsaedi, A.; Kutbi, M.A. MHD three-dimensional flow of nanofluid with velocity slip and nonlinear thermal radiation. J. Magn. Magn. Mater. 2015, 396, 31–37. [Google Scholar] [CrossRef]
- Pal, D.; Mandal, G.; Vajravelu, K. MHD convection–dissipation heat transfer over a non-linear stretching and shrinking sheets in nanofluids with thermal radiation. Int. J. Heat Mass Transf. 2013, 65, 481–490. [Google Scholar] [CrossRef]
- Makinde, O.D.; Animasaun, I.L. Bioconvection in MHD nanofluid flow with nonlinear thermal radiation and quartic auto-catalysis chemical reaction past an upper surface of a paraboloid of revolution. Int. J. Therm. Sci. 2016, 109, 159–171. [Google Scholar] [CrossRef]
- Ahmad, S.; Nadeem, S. Hybridized nanofluid with stagnation point past a rotating disk. Phys. Scr. 2020, 96, 025214. [Google Scholar] [CrossRef]
- Ashraf, M.; Khan, A.; Gorla, R.S.R. Natural convection boundary layer flow of nanofluids around different stations of the sphere and into the plume above the sphere. Heat Transf. Res. 2019, 48, 1127–1148. [Google Scholar] [CrossRef]
- Khan, A.; Ashraf, M.; Rashad, A.M.; Nabwey, H.A. Impact of Heat Generation on Magneto-Nanofluid Free Convection Flow about Sphere in the Plume Region. Mathematics 2020, 8, 2010. [Google Scholar] [CrossRef]
- Ahmad, S.; Nadeem, S. Analysis of activation energy and its impact on hybrid nanofluid in the presence of Hall and ion slip currents. Appl. Nanosci. 2020, 10, 5315–5330. [Google Scholar] [CrossRef]
- Hossain, M.A.; Takhar, H.S. Radiation effect on mixed convection along a vertical plate with uniform surface temperature. Heat Mass Transf. 1996, 31, 243–248. [Google Scholar] [CrossRef]
- Damseh, R.A. Magneto hydrodynamics-mixed convection from radiate vertical isothermal surface embedded in a saturated porous media. J. Appl. Mech. 2006, 73, 54–59. [Google Scholar] [CrossRef]
- Zahmatkesh, I. Influence of thermal radiation on free convection inside a porous enclosure. Emirat. J. Engin. Res. 2007, 12, 47–52. [Google Scholar]
- Pal, D.; Mondal, H. Radiation effects on combined convection over a vertical flat plate embedded in a porous medium of variable porosity. Meccanica 2008, 44, 133–144. [Google Scholar] [CrossRef]
- Mohamed, R.; Abo-Dahab, S. Influence of chemical reaction and thermal radiation on the heat and mass transfer in MHD micropolar flow over a vertical moving porous plate in a porous medium with heat generation. Int. J. Therm. Sci. 2009, 48, 1800–1813. [Google Scholar] [CrossRef]
- Bhattacharyya, K.; Mukhopadhyay, S.; Layek, G.C.; Pop, I. Effects of thermal radiation on micropolar fluid flow and heat transfer over a porous shrinking sheet. Int. J. Heat Mass Transf. 2012, 55, 2945–2952. [Google Scholar] [CrossRef]
- Pal, D.; Chatterjee, S. MHD mixed convection stagnation-point flow of a micropolar fluid in a porous medium towards a heated stretching sheet with thermal radiation. Math. Model. Anal. 2012, 17, 498–518. [Google Scholar] [CrossRef]
- Moradi, A.; Ahmadikia, H.; Hayat, T.; Alsaedi, A. On mixed convection–radiation interaction about an inclined plate through a porous medium. Int. J. Therm. Sci. 2013, 64, 129–136. [Google Scholar] [CrossRef]
- Sheikholeslami, M.; Gorji-Bandpy, M.; Ganji, D.D.G.-D. Numerical investigation of MHD effects on Al2O3–water nanofluid flow and heat transfer in a semi-annulus enclosure using LBM. Energy 2013, 60, 501–510. [Google Scholar] [CrossRef]
- Hussain, M.; Ashraf, M.; Nadeem, S.; Khan, M. Radiation effects on the thermal boundary layer flow of a micropolar fluid towards a permeable stretching sheet. J. Franklin. Inst. 2013, 350, 194–210. [Google Scholar] [CrossRef]
- Mukhopadhyay, S. Slip effects on MHD boundary layer flow over an exponentially stretching sheet with suction/blowing and thermal radiation. Ain Shams Eng. J. 2013, 4, 485–491. [Google Scholar] [CrossRef]
- Hayat, T.; Shehzad, S.A.; Qasim, M.; Asghar, S.; Alsaedi, A. Thermally Stratified Radiative Flow of Third Grade Fluid over a Stretching Surface. J. Thermophys. Heat Transf. 2014, 28, 155–161. [Google Scholar] [CrossRef]
- Prakash, D.; Muthtamilselvan, M. Effect of radiation on transient MHD flow of micropolar fluid between porous vertical channel with boundary conditions of the third kind. Ain Shams Eng. J. 2014, 5, 1277–1286. [Google Scholar] [CrossRef]
- Uddin, Z.; Kumar, M.; Harmand, S. Influence of thermal radiation and heat generation/absorption on MHD heat transfer flow of a micropolar fluid past a wedge considering hall and ion slip currents. Therm. Sci. 2014, 18, 489–502. [Google Scholar] [CrossRef]
- Haq, R.U.; Nadeem, S.; Khan, Z.H.; Akbar, N.S. Thermal radiation and slip effects on MHD stagnation point flow of nanofluid over a stretching sheet. Phys. E Low Dimens. Syst. Nanostruct. 2014, 65, 17–23. [Google Scholar] [CrossRef]
- El-Aziz, M.A. Mixed convection flow of a micropolar fluid from an unsteady stretching surface with viscous dissipation. J. Egypt. Math. Soc. 2013, 21, 385–394. [Google Scholar] [CrossRef]
- Mabood, F.; Ibrahim, S.; Rashidi, M.; Shadloo, M.; Lorenzini, G. Non-uniform heat source/sink and Soret effects on MHD non-Darcian convective flow past a stretching sheet in a micropolar fluid with radiation. Int. J. Heat Mass Transf. 2016, 93, 674–682. [Google Scholar] [CrossRef]
- Abbas, A.; Ijaz, I.; Ashraf, M.; Ahmad, H. Combined effects of variable density and thermal radiation on MHD Sakiadis flow. Case Stud. Therm. Eng. 2021, 28, 101640. [Google Scholar] [CrossRef]
- Ashraf, M.; Fatima, A.; Gorla, R. Periodic momentum and thermal boundary layer mixed convection flow around the surface of a sphere in the presence of viscous dissipation. Can. J. Phys. 2017, 95, 976–986. [Google Scholar] [CrossRef]
- Ahmad, U.; Ashraf, M.; Abbas, A.; Rashad, A.M.; Nabwey, H.A. Mixed convection flow along a curved surface in the presence of exothermic catalytic chemical reaction. Sci. Rep. 2021, 11, 12907. [Google Scholar] [CrossRef]
- Abbas, A.; Ashraf, M.; Chu, Y.-M.; Zia, S.; Khan, I.; Nisar, K.S. Computational Study of the Coupled Mechanism of Thermophoretic Transportation and Mixed Convection Flow around the Surface of a Sphere. Molecules 2020, 25, 2694. [Google Scholar] [CrossRef]
- Ashraf, M.; Abbas, A.; Zia, S.; Chu, Y.-M.; Khan, I.; Nisar, K.S. Computational Analysis of the Effect of Nano Particle Material Motion on Mixed Convection Flow in the Presence of Heat Generation and Absorption. Comput. Mater. Contin. 2020, 65, 1809–1823. [Google Scholar] [CrossRef]
- Ashraf, M.; Abbas, A.; Ali, A.; Shah, Z.; Alrabaiah, H.; Bonyah, E. Numerical simulation of the combined effects of thermophoretic motion and variable thermal conductivity on free convection heat transfer. AIP Adv. 2020, 10, 085005. [Google Scholar] [CrossRef]
- Abbas, A.; Ashraf, M.; Chamkha, A.J. Combined effects of thermal radiation and thermophoretic motion on mixed convection boundary layer flow. Alex. Eng. J. 2021, 60, 3243–3252. [Google Scholar] [CrossRef]
- Ashraf, M.; Abbas, A.; Oztop, H.F.; Nisar, K.S.; Khan, I. Computations of mixed convection slip flow around the surface of a sphere: Effects of thermophoretic transportation and viscous dissipation. Heat Transf. 2021, 50, 7349–7362. [Google Scholar] [CrossRef]
- Abbas, A.; Ashraf, M. Combined effects of variable viscosity and thermophoretic transportation on mixed convection flow around the surface of a sphere. Therm. Sci. 2021, 24, 4089–4101. [Google Scholar] [CrossRef]
- Cortell, R. A Numerical Tackling on Sakiadis Flow with Thermal Radiation. Chin. Phys. Lett. 2008, 25, 1340–1342. [Google Scholar] [CrossRef]
- Siegel, R.; Howell, J.R. Thermal Radiation: Heat Transfer, 3rd ed.; Hemisphere: Washington, DC, USA, 1992. [Google Scholar]
- Sparrow, E.M.; Cess, R.D. Radiation Heat Transfer; Hemisphere: Washington, DC, USA, 1978. [Google Scholar]
- Riahi, M.K.; Ali, M.; Addad, Y.; Abu-Nada, E. Combined Newton–Raphson and Streamlines-Upwind Petrov–Galerkin iterations for nanoparticles transport in buoyancy-driven flow. J. Eng. Math. 2022, 132, 22. [Google Scholar] [CrossRef]
- Durgaprasad, P.; Varma, S.V.K.; Hoque, M.M.; Raju, C.S.K. Combined effects of Brownian motion and thermophoresis parameters on three-dimensional (3D) Casson nanofluid flow across the porous layers slendering sheet in a suspension of graphene nanoparticles. Neural Comput. Appl. 2019, 31, 6275–6286. [Google Scholar] [CrossRef]
- Wakif, A.; Animasaun, I.; Narayana, P.S.; Sarojamma, G. Meta-analysis on thermo-migration of tiny/nano-sized particles in the motion of various fluids. Chin. J. Phys. 2020, 68, 293–307. [Google Scholar] [CrossRef]
- Amidu, M.A.; Addad, Y.; Riahi, M.K.; Abu-Nada, E. Numerical investigation of nanoparticles slip mechanisms impact on the natural convection heat transfer characteristics of nanofluids in an enclosure. Sci. Rep. 2021, 11, 15678. [Google Scholar] [CrossRef]
Disclaimer/Publisher’s Note: The statements, opinions and data contained in all publications are solely those of the individual author(s) and contributor(s) and not of MDPI and/or the editor(s). MDPI and/or the editor(s) disclaim responsibility for any injury to people or property resulting from any ideas, methods, instructions or products referred to in the content. |
© 2023 by the authors. Licensee MDPI, Basel, Switzerland. This article is an open access article distributed under the terms and conditions of the Creative Commons Attribution (CC BY) license (https://creativecommons.org/licenses/by/4.0/).













