Abstract
Much effort has recently been expended in developing efficient models that can depict the true picture for COVID-19 mortality data and help scientists choose the best-fit models. As a result, this research intends to provide a new G family for both theoretical and practical scientists that solves the concerns typically encountered in both normal and non-normal random events. The new-G distribution family is able to generate efficient continuous univariate and skewed models that may outperform the baseline model. The analytic properties of the new-G family and its sub-model are investigated and described, as well as a theoretical framework. The parameters were estimated using a classical approach along with an extensive simulation study to assess the behaviour of the parameters. The efficiency of the new-G family is discussed using one of its sub-models on COVID-19 mortality data sets.
Keywords:
power function distribution; Rényi entropy; hazard rate function; Bonferroni and Lorenz curves; inference; COVID-19 MSC:
60E05
1. Introduction
Lifetime models are important for representing simple to complicated random occurrences, especially in the physical and natural sciences. In the statistical literature, many probability distributions are used to describe business failure data and are implemented in a diverse range of scenarios. Because of their established superiority in a number of contexts, gamma, lognormal, and Weibull distributions play an essential role. The one-parameter lifetime model, power function distribution (PFD), that occurs in several scientific disciplines and is a special case of uniform distribution. On the other side, the interest in the closed-form feature of PFD has grown and increased the curiosity of authors. Consequently, various generalizations and extensions have been previously established. For this, we urge the readers to look at the practices of Dallas [1], Saran and Pandey [2], Zaka et al. [3], Tahir et al. [4], Haq et al. [5], Okorie et al. [6], Hassan and Assar [7], and Meniconi and Barry [8], among others.
In several fields, actual data have been carefully modelled using a variety of classical distributions. To increase these distributions’ flexibility and goodness of fit, however, there is often an obvious need for extended versions of them. As a consequence, generated families (G families) are established by modifying the baseline distribution by one or more additional shape parameters. Some of the well-known families recently developed by notable authors include: the Marshall–Olkin family generated by [9], QRTM by [10], Beta generated by [11], Gamma generated by [12], Kumaraswamy generated by [13], T-X family generated by [14], Weibull generated by [15], Type-I-Half-Logistic generated by [16], Topp–Leone generated by [17], and new power class by [18], to mention a few. Readers who are interested in learning more about the COVID-19 mortality and the analysis are encouraged to refer to the work of Al-Babtain et al. [19], Liu et al. [20], Nagy et al. [21], Hossam et al. [22], Riad et al. [23], Alsuhabi et al. [24], and Meriem et al. [25].
In this scientific article, we are motivated to develop a simple and easy-to-understand new-G family that better depicts the complex nature of COVID-19 mortality events and assists scientists in selecting the most appropriate model. The flexible and attractive features of pdf and hrf are suitable for modelling an increasing, decreasing, upside-down bathtub-shaped failure rate and a wide range of data along with the events that are particularly associated with the COVID-19 pandemic issues in order to improve the characteristics of the baseline (parent) model and improve fit to data.
The present study is structured as follows. Section 2 presents some useful structural properties of the new family. Section 3 describes the analytical expressions and provides a graphical illustration of a new PFD. Section 4 estimates the parameters using classical techniques. Section 5 briefly illustrates the parameter behaviours based on an extensive simulation study. Section 6 describes the application of the proposed new-PFD to the COVID-19 mortality rate data along with a comparison with other well-known competitors. A summary and conclusions are stated in Section 7, and last, future recommendations are illustrated in Section 8.
2. The New Family of Distributions
New sub-models and corresponding baseline models see (Table 1)
Table 1.
New sub-models and corresponding baseline models.
Definition 1.
If X ~ new-G () with scale ( > 0) and vector space (), the cdf () of the new-G is presented as follows:
Definition 2.
If X ~ new-G () with scale ( > 0) and vector space (), the pdf () of the new-G is presented as follows:
Definition 3.
If X ~ new-G () with scale ( > 0) and vector space (), the survival function (s) of the new-G is presented as follows:
Definition 4.
If X ~ new-G () with scale ( > 0) and vector space (), the hazard rate function (hr) of the new-G is presented as follows:
Definition 5.
If X ~ new-G () with scale ( > 0) and vector space (), r-th moments about origin (say) is presented as follows:
It would be more precise to say that is
First incomplete moments (), which might be more helpful in the discussion of Bonferroni and Lorenz curves, could be more conveniently derived with the assistance of . Hence, can be presented as follows:
where , , , , and
It is important to keep in mind that the integrals may be computed numerically for the baseline models.
2.1. Asymptotics
The asymptotic for new-G () cdf, pdf, sf, and hrf at and are, respectively, presented as follows:
2.2. Useful Representation
Mixture representation (MR) is very common and useful to discuss complex type characteristics of pdf and cdf. The cdf of new-G in terms of MR
and pdf are, respectively, presented as follows:
2.3. Order Statistics (OS)
Suppose are (iid) independent and identically distributed, random variables (RVs) from the new-G family of distributions. The pdf of the j-th OS is presented by
One can easily determine the pdf of the j-th OS by placing the pertaining information into (1) and (2).
2.4. Entropy
This section gives a brief demonstration of the Rényi entropy measure (RE), the Tsallis entropy measure (TE), as well as the Havrda and Charvat entropy measure (HCE), all of which are formally derived in Section 2.4.1, Section 2.4.2 and Section 2.4.3, respectively.
2.4.1. Rényi Entropy
If X ~ new-G () with scale and vector space the of the new-G is defined as follows:
By solving (2) in terms of as
As we know all that in (6)
Hence, we consider the term as common, and we get the simplified form of as
Now simplify,
and
and substitute (8) into (7), we get
Hence, we get the final form of the when (9) is placed into (5):
2.4.2. Tsallis Entropy
If X ~ new-G () with scale and vector space , the of the new-G is defined as follows:
Hence, we get the final form of the when (9) is placed into (10):
2.4.3. Havrda and Charvat Entropy
If X ~ new-G () with scale and vector space , the of the new-G is defined as follows:
Hence, we get the final form of the when (9) is placed into (11):
where
2.5. Inference
Let ~ new-G () with scale and vector space , then the log-likelihood from a random sample of size n is given by
The ML estimator can be derived by maximizing the or solving the nonlinear likelihood equations simultaneously by differentiating (12). The partial derivative of is provided in the following form for both and , respectively:
where and
3. Mathematical Characteristics of Sub-Model
The PFD, which has cdf and pdf , is a well-known simple function with powerful characteristics, and is consider for detailed discussion in this section. The cdf, pdf, sf, and hrf of the new-PFD can be illustrated, respectively, as follows:
3.1. Useful Representation
The MR, which is developed for pdf of the new-PFD, will be very useful for deriving moments and other characteristics. The analytical expression of the MR is presented as follows:
3.2. Moments and Related Measures
Theorem 1.
If X ~ new-PFD () with and M , r-th moments about origin (say) is presented as follows:
Proof.
The is denoted by
By substituting the analytical expression from (17), we get
The last expression of can be expressed as follows:
Here, we explore all possible shapes that the new-PFD may have for different combinations of parameters. Figure 1 shows all of the pdf curves that are possible and Figure 2 presents the flexible shapes that clearly depict the increasing and bathtub-shaped curves of hrf.
Figure 1.
PDF plots for different parameter combinations.
Figure 2.
HRF plots for different parameter combinations.
By applying simple mathematics to the last expression, we get the final analytical expression of the r-th moments about the origin of the new-PFD and it is presented as follows:
□
Corollary 1.
By placing r = 1,2,3,4,-v, and −1 in (18), we get the 1st four moments (say ), negative moments (say ), harmonic mean (say ), and variance () of the new-PFD and the analytical expressions are, respectively, presented as follows:
It is worth noting that ; and Furthermore, the coefficient of skewness and coefficient of kurtosis is easily determined by and respectively.
Theorem 2.
If X ~ new-PFD () with and M , the moment generating function (say ) is presented as follows:
Proof.
The is denoted by
By following (17),
We can write . Hence, by following (17), of the new-PFD is derived after applying a few mathematical steps, and the analytical expression of can be presented as follows:
□
Theorem 3.
If X ~ new-PFD () with and M , the characteristic function (say ) is presented as follows:
Proof.
The is denoted by
By following (17),
We can write . Hence, by following (17), of the new-PFD is derived after applying a few mathematical steps, and the analytical expression of can be presented as follows:
□
Theorem 4.
If X ~ new-PFD () with and M , the Millan transformation (say ) is presented as follows:
Proof.
The is denoted by
By following (17),
We can describe of the new-PFD after applying a few mathematical steps, and the analytical expression of can be presented as follows:
□
Theorem 5.
If X ~ new-PFD () with and M , the harmonic mean (say ) is presented as follows:
Proof.
The is denoted by
By following (17),
We can describe of the new-PFD after applying a few mathematical steps, and the analytical expression of can be presented as follows:
□
Theorem 6.
If X ~ new-PFD () with and M , the p-th incomplete moment (say ) is presented as follows:
Proof.
The is denoted by
By following (17),
We can describe of the new-PFD after applying a few mathematical steps, and the analytical expression of can be presented as follows:
□
Corollary 2.
By placing p = 1 in (last expression), we get the 1st incomplete moment (say ) of the new-PFD and the analytical expression is presented as follows:
It is worth noting that the Bonferroni and Lorenz curves have major implementation in and they are well-defined as and , respectively. There are many applications for these curves in fields such as economics, demography, insurance, engineering, and medicine. Mean residual life and mean waiting time (see Section 3.3.1) are two further examples of contexts in which the first incomplete instant is useful.
Theorem 7.
If X ~ new-PFD () with and M , the vitality function (say ) is presented as follows:
Proof.
The is denoted by
By following (17),
We can describe of the new-PFD after applying a few mathematical steps, and the analytical expression of can be presented as follows:
□
Theorem 8.
If X ~ new-PFD () with and M , conditional moments (say ) are presented as follows:
Proof.
The is denoted by
By following (17),
We can describe of the new-PFD after applying a few mathematical steps, and the analytical expression of can be presented as follows:
□
3.3. Residuals and Related Measures
Residual function (say RL) and reverse RL of the new-PFD is described as and , respectively. The analytical expressions are, respectively, presented as follows:
3.3.1. Mean Residual and Mean Inactivity Time
Mean RL and mean inactivity time (MIT) of the new-PFD are described as: and , respectively, and are presented as follows:
3.4. Entropy
This section gives a brief demonstration of the Rényi entropy measure (RE), the Tsallis entropy measure (TE), as well as the Havrda and Charvat entropy measure (HCE), all of which are formally derived in Section 3.4.1, Section 3.4.2 and Section 3.4.3, respectively.
3.4.1. Rényi Entropy
If X ~ new-G () with scale and vector space the of the new-PFD is defined as follows:
We get the simplified form of by solving (6) in terms of
Hence, the final form of is obtained when (20) is placed into (19)
3.4.2. Tsallis Entropy
If X ~ new-PFD () with scale and vector space , the of the new-PFD is defined as follows:
Hence, we get the final form of when (20) is placed into (21)
3.4.3. Havrda and Charvat Entropy
If X ~ new-G () with scale and vector space , the of the new-G is defined as follows:
Hence, we get the final form of when (20) is placed into (22)
where It should be noted that any software, such as R or Mathematica, can easily perform its numerical analysis.
3.5. Order Statistics (OS)
Suppose be (iid) independent, identically distributed, random variables (RVs) from the new-G family of distributions. The pdf and cdf of the j-th OS are, respectively, presented by
and
where It is worth noting that the minimum and maximum OS pdf are obtained by substituting in n = 0 and n = 1, respectively.
4. Inference
This section briefly illustrates the performance of our estimation methods as presented in (Section 4.1, Section 4.2, Section 4.3, Section 4.4, Section 4.5 and Section 4.6). For this, cdf (5) is considered our baseline model.
4.1. Maximum Likelihood Estimation Method (MLE)
Let ~ new-PFD () with scale and shape parameters, then the log-likelihood from a random sample x1, x2, x3, …, xn of size n from (6), is given by
The partial derivative of is provided in the following form for both and , respectively:
where and .
4.2. Anderson–Darling Estimation Method (ADE-M)
Let ~ new-PFD () with scale and shape parameter, then the estimators of our proposed family is obtained by the Anderson–Darling estimation by minimizing the following expression:
4.3. Cram’er–Von Mises Estimation Method (CVME-M)
Let ~ new-PFD () with scale and shape parameter, then the estimators of our proposed family is obtained by the Cram´er–von Mises estimation by minimizing the following expression:
4.4. Least Squares Estimation Method (LSE-M)
Let ~ new-PFD () with scale and shape parameter, then the estimators of our proposed family is obtained by the least-squares estimation by minimizing the following expression:
4.5. Weighted Least-Squares Estimation Method (WLSE-M)
Let ~ new-PFD () with scale and shape parameter, then the estimators of our proposed family is obtained by the weighted least-squares estimation by minimizing the following expression:
4.6. Maximum Product of Spacings Estimation Method (MPSE-M)
Let ~ new-PFD () with scale and shape parameter, then the estimators of our proposed family is obtained by the maximum product of the spacings estimation by maximizing the following expression:
5. Simulation Study
The simulation work is one of the most vital components of any kind of paper. The purpose of this part is to investigate the performance of the estimation techniques that have been presented in order to estimate the parameters of the new-PFD utilizing the results of thorough simulations. We used different sample sizes along with different values of parameters, as we can see in Table 2, Table 3, Table 4 and Table 5. We observed that the average absolute biases (), mean square errors (MSEs), and mean relative errors (MREs) decreased as the sample size increased for all parameter values. Now, we can conclude that all estimates have the consistency property and all estimation methods performed well. This simulation study is based on the following algorithm:
Table 2.
The simulated BIAS, MSE, and MRE values for ( = 0.5, = 1.5).
Table 3.
The simulated BIAS, MSE, and MRE values for ( = 0.75, = 0.5).
Table 4.
The simulated BIAS, MSE, and MRE values for ( = 2.5, = 0.75).
Table 5.
The simulated BIAS, MSE, and MRE values for ( = 1.5, = 2.5).
- We set the beginning values for the parameters of our suggested model.
- From our suggested model, we have produced random data sets using the inverse of cdf.
- Use several estimate techniques to find estimators for our proposed model.
- Calculate the bias, MSE, and MRE for each estimator using each estimating technique.
- Repeat steps 1 through 4, 500 times.
6. Analysis of COVID-19 Data
The new-PFD and well-known competitors were statistically analysed using the COVID-19 data.
The first data set describes 76-day COVID-19 mortality rates in the United Kingdom (15 April to 30 June 2020). The second data set describes the daily death toll in Europe as specified in the COVID-19 data (1 March to 30 March). The third data set describes the daily death toll in China as specified in the COVID-19 data (23 January to 28 January). The fourth data set describes the mortality rates from COVID-19 data for the United Kingdom for 24 days (15 October to 7 November 2020). The fifth data set describes the mortality rates from COVID-19 data for Nepal (23 January 2020 to 24 December 2020). The sixth data set describes the mortality rates from COVID-19 data for the Netherlands for 30 days (31 March 2020 to 30 April 2020). The seventh data set describes the mortality rates from COVID-19 data for Italy for a period of 59 days (27 February 2020 to 27 April 2020).
Table 6, Table 7, Table 8, Table 9, Table 10, Table 11 and Table 12 present estimates and fitted measures for all COVID-19 mortality datasets. The definition of a better model fit is quite straightforward: when the model is used, the model is considered to be a better fit if the minimum results (see Table 6, Table 7, Table 8, Table 9, Table 10, Table 11 and Table 12) of Akaike information criterion (AIC), Cramer-von Mises (CVM), Anderson Darling (AD), sum of square (SS), and Kolmogorov–Smirnov (KS) (with a high p-value of KS) are met. The acknowledged statistical measures are defined as follows:
where k is the number of parameters being used and LL is the log-likelihood of the models being used.
Table 6.
Estimates and Fitted Measures for United Kingdom Mortality Rate.
Table 7.
Estimates and Fitted Measures for Europe Mortality Rate.
Table 8.
Estimates and Fitted Measures for China Mortality Rate.
Table 9.
Estimates and Fitted Measures for United Kingdom Mortality Rate.
Table 10.
Estimates and Fitted Measures for Nepal Mortality Rate.
Table 11.
Estimates and Fitted Measures for Netherlands Mortality Rate.
Table 12.
Estimates and Fitted Measures for Italy Mortality Rate.
When compared to well-known models such as Tr-PF by Haq et al. [5], Kum-PF by Moniem [26], OGE-PF by Tahir et al. [27], PF-I and NG-PF by Hassan and Nassr [28], ZTP-PF by Okorie et al. [29], and MOE-PF by Okorie et al. [30], the proposed new-PFD better fits the COVID-19 mortality rates in the United Kingdom, Europe, China, the United Kingdom, Nepal, the Netherlands, and Italy. All these data sets are publicly accessible on the official website [https://covid19.who.int/] (15 December 2022) and are provided in Appendix A. The required calculations were carried out via the R programme.
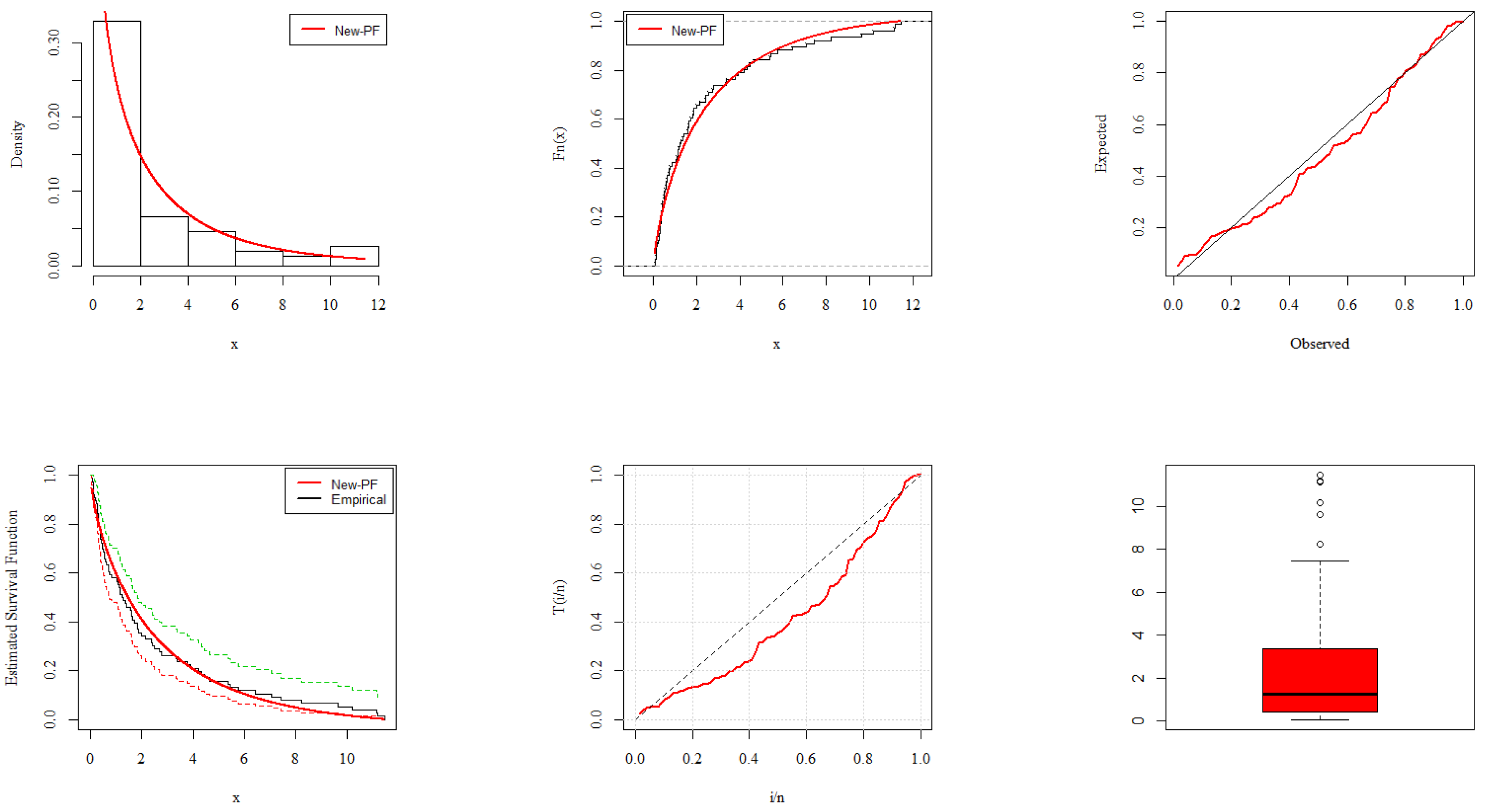
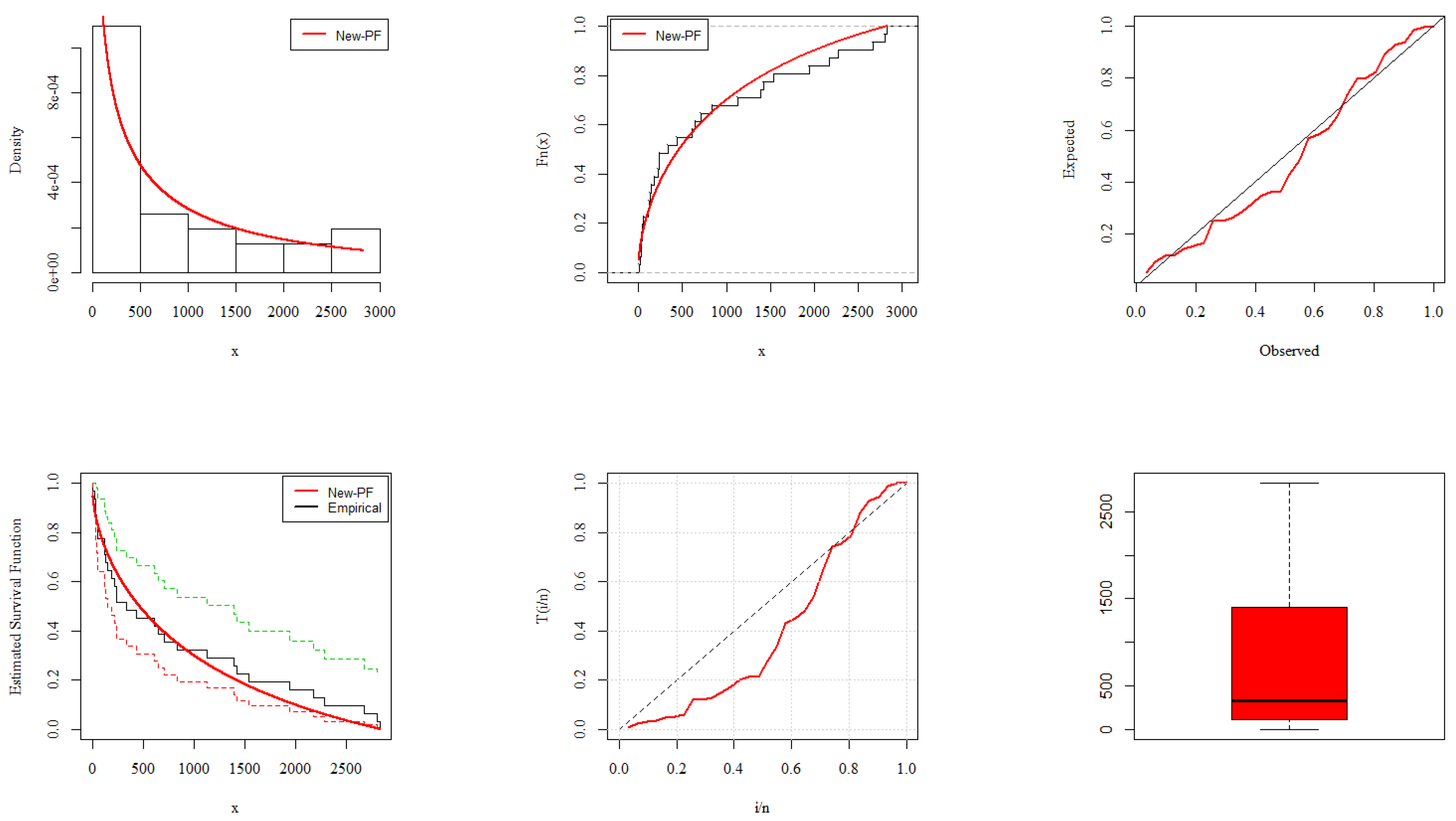
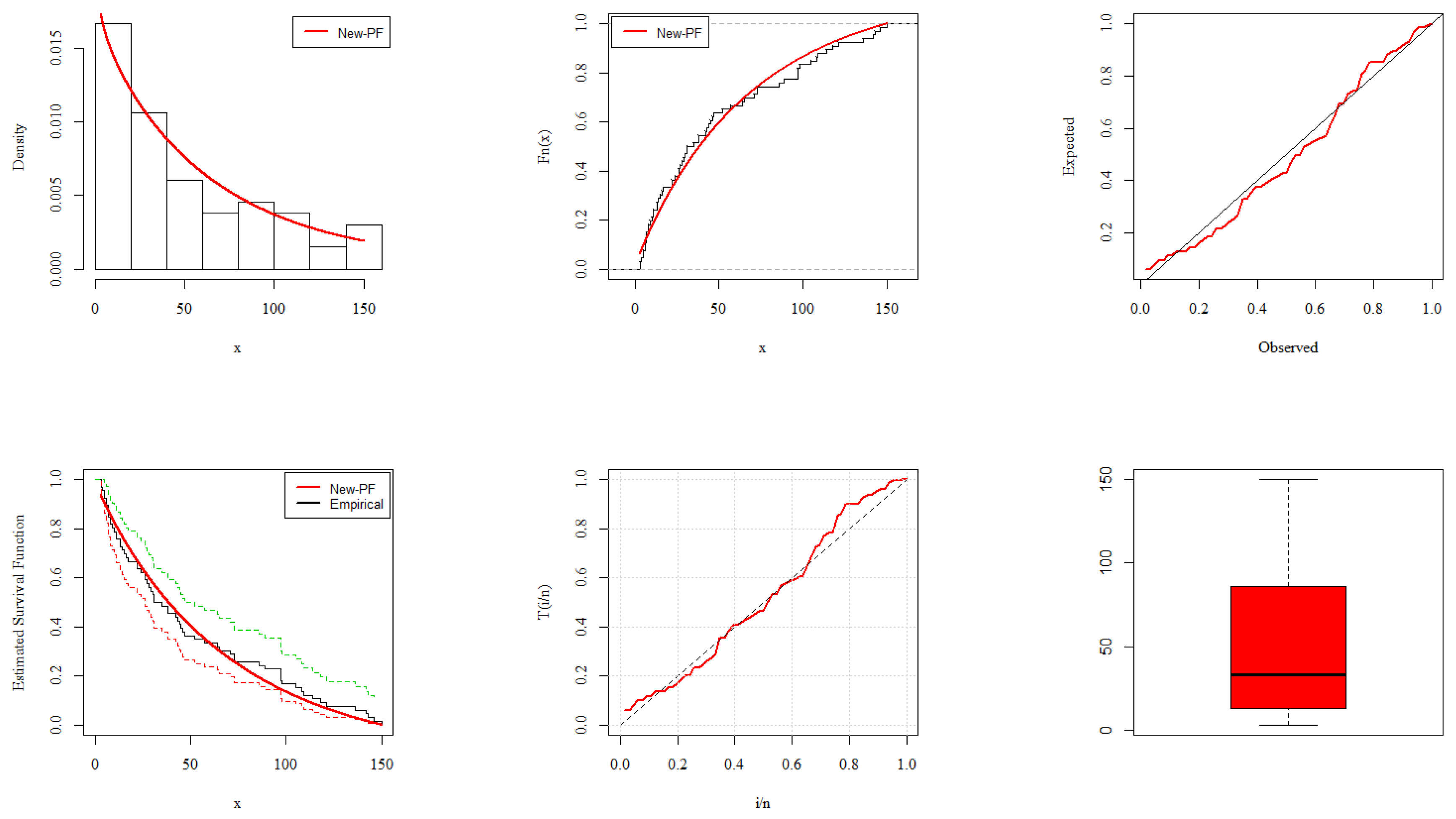
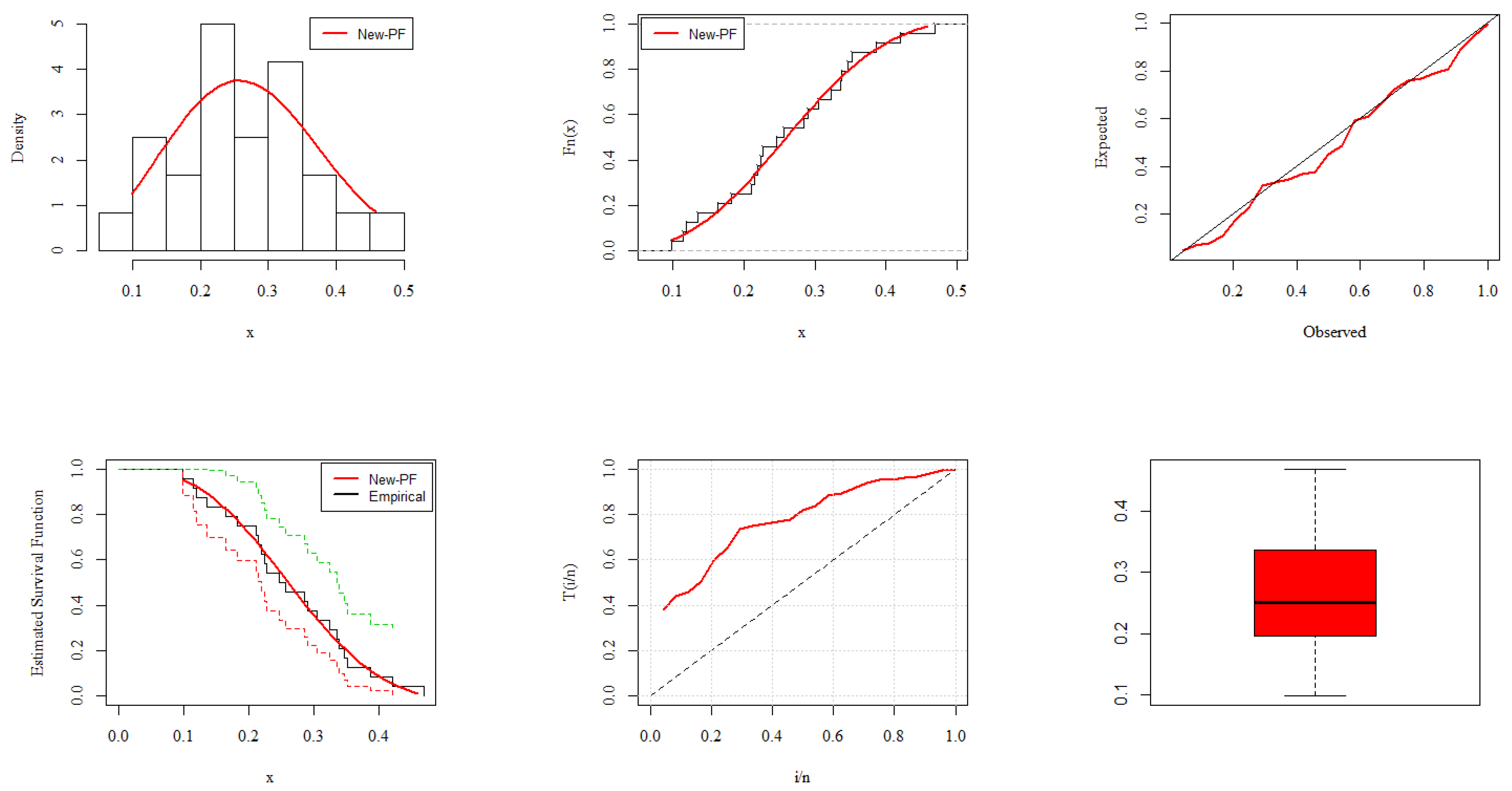
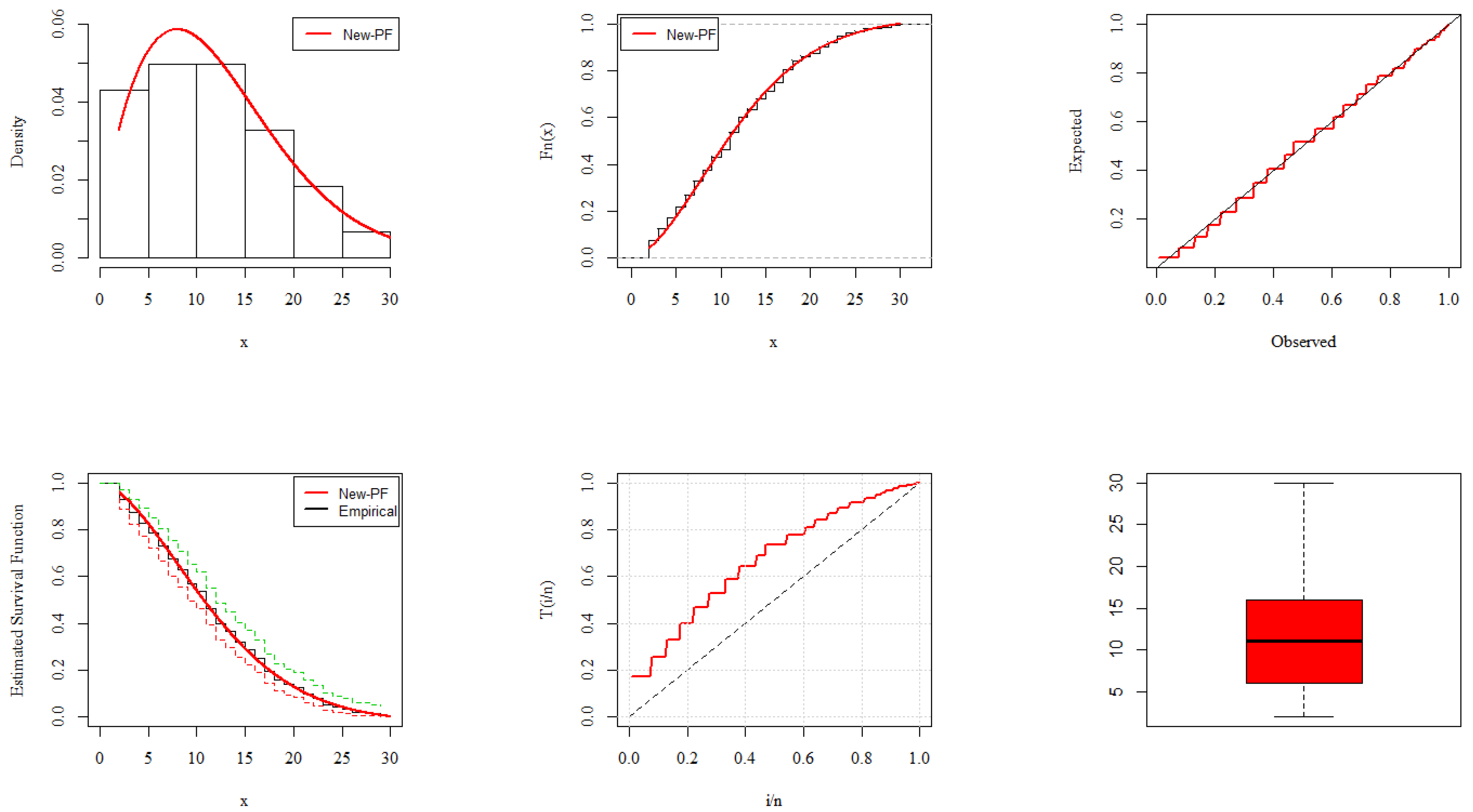
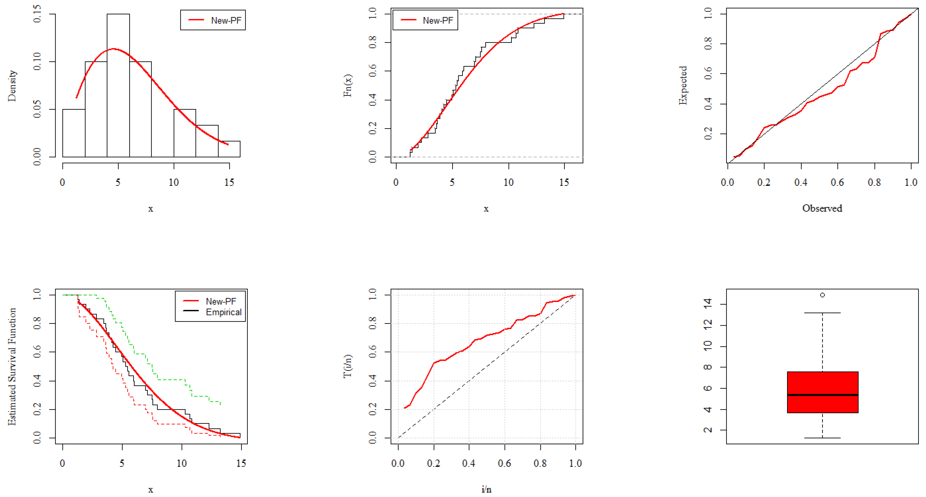
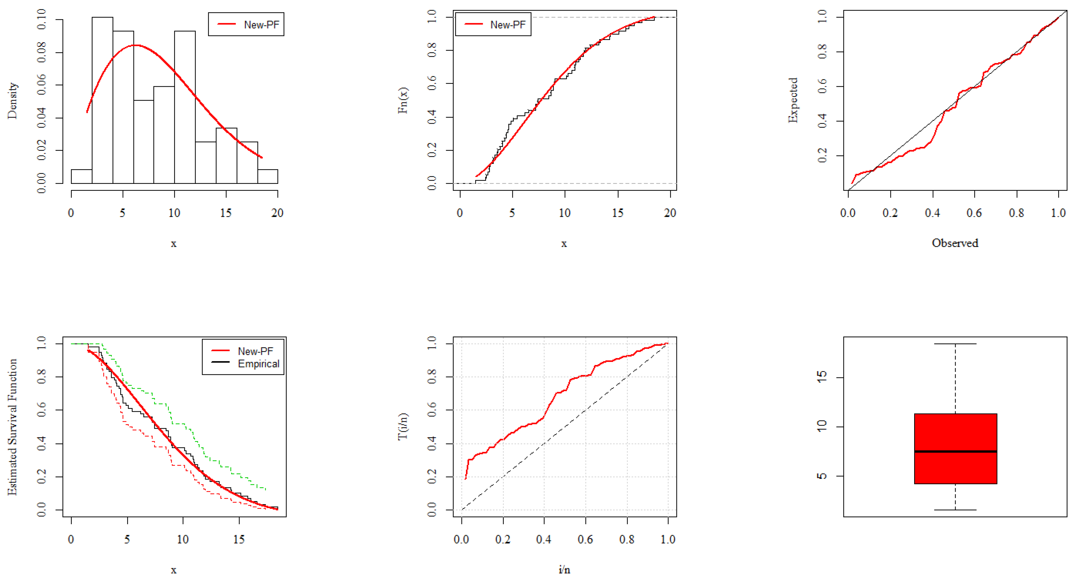
The following are some of the outcomes. Based on the findings shown in Table 6, Table 7, Table 8, Table 9, Table 10, Table 11 and Table 12, we are able to draw the conclusion that the new-PFD is superior to all of its rivals. It is clear that the new-PFD is preferable since it had the lowest K-S values and the greatest p-values. In addition, Figure 3, Figure 4, Figure 5, Figure 6, Figure 7, Figure 8 and Figure 9 exhibit fitted versions of the pdf, cdf, PP, sf, TTT, and box plots for the new-PFD for each of the seven COVID-19 mortality data sets, respectively. These figures pertain to the new-PFD.
Figure 3.
Fitted Curves For United Kingdom Mortality Rate (15 April to 30 June 2020).
Figure 4.
Fitted Curves For Europe Mortality Rate (1 March to 30 March).
Figure 5.
Fitted Curves For China Mortality Rate (23 January to 28 January).
Figure 6.
Fitted Curves For United Kingdom Mortality Rate (15 October to 7 November 2020).
Figure 7.
Fitted Curves for Nepal Mortality Rate (23 January 2020 to 24 December 2020).
Figure 8.
Fitted Curves for Netherland Mortality Rate (31 March 2020 to 30 April 2020).
Figure 9.
Fitted Curves for Italy Mortality Rate (27 February 2020 to 27 April 2020).
7. Summary and Conclusions
We came up with the idea for a completely new, continuously generated (G) family that is better and more versatile, and we called it the new-G family of distributions. Its mathematical properties, such as cdf, pdf, sf, hrf, asymptotic, OS, and related measures of entropy, have been thoroughly discussed. We investigate every conceivable form that the new-PFD pdf and hrf may have for a variety of parameter combinations, which allows for a greater degree of flexibility in the way it models COVID-19 mortality data. The increasing, decreasing, and bathtub-shaped behaviour of the pdf and hrf of the new-PFD are all represented by flexible forms in a simple and concise manner. In addition, using a full sample as a foundation, we generated random samples to use in our simulation study. From Table 2, Table 3, Table 4 and Table 5, we were able to draw the conclusion that all estimates have the consistency property and all estimation methods performed well. We also performed an analysis on the COVID-19 mortality data related to United Kingdom, Europe, China, Nepal, Netherlands, and Italy, in order to determine the advantages that the proposed new-PFD model has over some of its rivals. Our findings indicate that the new-PFD is a better fit for the data than the distributions that were used in the competing models. In addition to this, we drew the fitted pdf, cdf, PP, and sf plots for the new-PFD for each of the seven COVID-19 mortality data sets, in corresponding order.
We consider that better results can be achieved in COVID-19 mortality data set analysis through the use of the new family because it is more flexible and better able to model the complex patterns of spread and variation in the data. The new family has several characteristics that make them well-suited for modelling COVID-19 mortality data, such as the ability to model heavy tails, skewness, and multimodality, which are often observed in COVID-19 mortality data sets. Additionally, the new family is able to capture the dynamic nature of the spread of the virus, which is critical for understanding the effectiveness of containment measures. These are the reasons why the new family is considered a better model for COVID-19 mortality data set analysis.
8. Future Recommendations
We would be glad to let the researchers have a chance to find out more about what we are doing. Thus, to avoid a lengthy wait for mortality, we suggest instead addressing the proposed study on the censored sample of COVID-19 infections. Furthermore, we want to include it into other regression models to forecast future rates of infection and death across many nations, and to expand upon the proposed work to develop a time series model for the most common diseases. Furthermore, the new family can be used to estimate the probability of large outbreaks and predict the future spread of the virus.
Author Contributions
Methodology, A.S.A.; Validation, M.M.A.E.-R.; Investigation, A.S.A.; Resources, M.M.A.E.-R. All authors have read and agreed to the published version of the manuscript.
Funding
This research received no external funding.
Data Availability Statement
All data exists in the paper with references.
Conflicts of Interest
There are no conflict of interest for any of the authors.
Appendix A
The following data is discussed in the numerical study.
- Application I: United Kingdom COVID-19 Mortality Rate
0.0587, 0.0863, 0.1165, 0.1247, 0.1277, 0.1303, 0.1652, 0.2079, 0.2395, 0.2751, 0.2845, 0.2992, 0.3188, 0.3317, 0.3446, 0.3553, 0.3622, 0.3926, 0.3926, 0.4110, 0.4633, 0.4690, 0.4954, 0.5139, 0.5696, 0.5837, 0.6197, 0.6365, 0.7096, 0.7193, 0.7444, 0.8590, 1.0438, 1.0602, 1.1305, 1.1468, 1.1533, 1.2260, 1.2707, 1.3423, 1.4149, 1.5709, 1.6017, 1.6083, 1.6324, 1.6998, 1.8164, 1.8392, 1.8721, 1.9844, 2.1360, 2.3987, 2.4153, 2.5225, 2.7087, 2.7946, 3.3609, 3.3715, 3.7840, 3.9042, 4.1969, 4.3451, 4.4627, 4.6477, 5.3664, 5.4500, 5.7522, 6.4241, 7.0657, 7.4456, 8.2307, 9.6315, 10.1870, 11.1429, 11.2019, 11.4584.
- Application II: Europe COVID-19 Mortality Rate
6, 18, 29, 28, 47, 55, 40, 150, 129, 184, 236, 237, 336, 219, 612, 434, 648, 706, 838, 1129, 1421, 118, 116, 1393, 1540, 1941, 2175, 2278, 2824, 2803, 2667.
- Application III: China COVID-19 Mortality Rate
8, 16, 15, 24, 26, 26, 38, 43, 46, 45, 57, 64, 65, 73, 73, 86, 89, 97, 108, 97, 146, 121, 143, 142, 105, 98, 136, 114, 118, 109, 97, 150, 71, 52, 29, 44, 47, 35, 42, 31, 38, 31, 30, 28, 27, 22, 17, 22, 11, 7, 13, 10, 14, 13, 11, 8, 3, 7, 6, 9, 7, 4, 6, 5, 3, 5.
- Application IV: United Kingdom COVID-19 Mortality Rate
0.2240, 0.2189, 0.2105, 0.2266, 0.0987, 0.1147, 0.3353, 0.2563, 0.2466, 0.2847, 0.2150, 0.1821, 0.1200, 0.4206, 0.3456, 0.3045, 0.2903, 0.3377, 0.1639, 0.1350, 0.3866, 0.4678, 0.3515, 0.3232.
- Application V: Nepal COVID-19 Mortality Rate
2, 2, 2, 2, 2, 2, 3, 2, 3, 3, 4, 2, 5, 5, 3, 2, 4, 4, 8, 4, 4, 3, 2, 3, 7, 6, 6, 11, 9, 3, 8, 7, 11, 8, 12, 12, 14, 7, 11, 12, 6, 14, 9, 9, 11, 6, 6, 5, 5, 14, 9, 15, 11, 8, 4, 7, 11, 10, 16, 2, 7, 17, 6, 8, 10, 4, 10, 7, 11, 11, 8, 7, 19, 9, 15, 12, 10, 14, 22, 9, 18, 12, 19, 21, 12, 12, 18, 8, 26, 21, 17, 13, 5, 15, 14, 11, 17, 16, 17, 23, 24, 20, 30, 18, 18, 17, 21, 18, 22, 26, 15, 13, 13, 6, 9, 17, 12, 17, 22, 7, 16, 16, 24, 28, 23, 23,19, 25, 29, 21, 9, 13, 16, 10, 17, 20, 23, 14, 12, 11, 15, 9, 18, 14, 13, 6, 16, 12, 11, 7, 3, 5, 5.
- Application VI: Netherland COVID-19 Mortality Rate
14.918, 10.656, 12.274, 10.289, 10.832, 7.099, 5.928, 13.211, 7.968, 7.584, 5.555, 6.027, 4.097, 3.611, 4.960, 7.498, 6.940, 5.307, 5.048, 2.857, 2.254, 5.431, 4.462, 3.883, 3.461, 3.647, 1.974, 1.273, 1.416, 4.235.
- Application VII: Italy COVID-19 Mortality Rate
4.571, 7.201, 3.606, 8.479, 11.410, 8.961, 10.919, 10.908, 6.503, 18.474, 11.010, 17.337, 16.561, 13.226, 15.137, 8.697, 15.787, 13.333, 11.822, 14.242, 11.273, 14.330, 16.046, 11.950, 10.282, 11.775, 10.138, 9.037, 12.396, 10.644, 8.646, 8.905, 8.906, 7.407, 7.445, 7.214, 6.194, 4.640, 5.452, 5.073, 4.416, 4.859, 4.408, 4.639, 3.148, 4.040, 4.253, 4.011, 3.564, 3.827, 3.134, 2.780, 2.881, 3.341, 2.686, 2.814, 2.508, 2.450, 1.518.
References
- Dallas, A.C. Characterizing the Pareto and power distributions. Ann. Math. Stat. 1976, 28, 491–497. [Google Scholar] [CrossRef]
- Saran, J.; Pandey, A. Estimation of parameters of power function distribution and its characterization by the kth record values. Statistica. 2004, 14, 523–536. [Google Scholar]
- Zaka, A.; Akhter, A.S.; Jabeen, R. The new reflected power function distribution: Theory, simulation & application. AIMS Math. 2020, 5, 5031–5054. [Google Scholar]
- Tahir, M.H.; Alizadeh, M.; Mansoor, M.; Cordeiro, G.M.; Zubair, M. The Weibull-power function distribution with applications. Hacet. J. Math. Stat. 2016, 45, 245–265. [Google Scholar] [CrossRef]
- Ahsan-ul-Haq, M.; Butt, N.S.; Usman, R.M.; Fattah, A.A. Transmuted power function distribution. Gazi Univ. J. Sci. 2016, 29, 177–185. [Google Scholar]
- Okorie, I.E.; Akpanta, A.C.; Ohakwe, J.; Chikezie, D.C. The modified power function distribution. Cogent Math. 2017, 4, 1319592. [Google Scholar] [CrossRef]
- Hassan, A.S.; Assar, S.M. A new class of power function distribution: Properties and applications. Ann. Data Sci. 2021, 8, 205–225. [Google Scholar] [CrossRef]
- Meniconi, M.; Barry, D. The power function distribution: A useful and simple distribution to assess electrical component reliability. Microelectron. Reliab. 1996, 36, 1207–1212. [Google Scholar] [CrossRef]
- Marshall, A.W.; Olkin, I. A new method for adding a parameter to a family of distributions with application to the exponential and Weibull families. Biometrika 1997, 84, 641–652. [Google Scholar] [CrossRef]
- Shaw, W.T.; Buckley, I.R. Alchemy of Probability Distributions: Beyond Gram-Charlier and Cornish-Fisher Expansions, and Skewed-kurtotic Normal Distribution from a Rank Transmutation Map. arXiv 2009, arXiv:0901.0434. [Google Scholar]
- Eugene, N.; Lee, C.; Famoye, F. Beta-normal distribution and its applications. Commun. Stat.-Theory Methods 2002, 31, 497–512. [Google Scholar] [CrossRef]
- Pourreza, H.; Jamkhaneh, E.B.; Deiri, E. A family of Gamma-generated distributions: Statistical properties and applications. Stat. Methods Med. Res. 2021, 30, 1850–1873. [Google Scholar] [CrossRef]
- Cordeiro, G.M.; de Castro, M. A new family of generalized distributions. J. Stat. Comput. Simul. 2011, 81, 883–898. [Google Scholar] [CrossRef]
- Alzaatreh, A.; Lee, C.; Famoye, F. A new method for generating families of continuous distributions. Metron 2013, 71, 63–79. [Google Scholar] [CrossRef]
- Bourguignon, M.; Silva, R.B.; Cordeiro, G.M. The Weibull-G family of probability distributions. Data Sci. J. 2014, 12, 53–68. [Google Scholar] [CrossRef]
- Cordeiro, G.M.; Alizadeh, M.; Diniz Marinho, P.R. The type I half-logistic family of distributions. J. Stat. Comput. Simul. 2016, 86, 707–728. [Google Scholar] [CrossRef]
- Al-Shomrani, A.; Arif, O.; Shawky, A.; Hanif, S.; Shahbaz, M.Q. Topp–Leone family of distributions: Some properties and application. Pak. J. Stat. Oper. Res. 2016, 12, 443–451. [Google Scholar] [CrossRef]
- Al Mutairi, A.; Iqbal, M.Z.; Arshad, M.Z.; Afify, A.Z. A New Class of the Power Function Distribution: Theory and Inference with an Application to Engineering Data. J. Math. 2022, 2022, 1206254. [Google Scholar] [CrossRef]
- Al-Babtain, A.A.; Gemeay, A.M.; Afify, A.Z. Estimation methods for the discrete Poisson-Lindley and discrete Lindley distributions with actuarial measures and applications in medicine. J. King Saud Univ. Sci. 2021, 33, 101224. [Google Scholar] [CrossRef]
- Liu, X.; Ahmad, Z.; Gemeay, A.M.; Abdulrahman, A.T.; Hafez, E.H.; Khalil, N. Modeling the survival times of the COVID-19 patients with a new statistical model: A case study from China. PLoS ONE 2021, 16, e0254999. [Google Scholar] [CrossRef] [PubMed]
- Nagy, M.; Almetwally, E.M.; Gemeay, A.M.; Mohammed, H.S.; Jawa, T.M.; Sayed-Ahmed, N.; Muse, A.H. The new novel discrete distribution with application on covid-19 mortality numbers in Kingdom of Saudi Arabia and Latvia. Complexity 2021, 2021, 7192833. [Google Scholar] [CrossRef]
- Hossam, E.; Abdulrahman, A.T.; Gemeay, A.M.; Alshammari, N.; Alshawarbeh, E.; Mashaqbah, N.K. A novel extension of Gumbel distribution: Statistical inference with covid-19 application. Alex. Eng. J. 2022, 61, 8823–8842. [Google Scholar] [CrossRef]
- Riad, F.H.; Alruwaili, B.; Gemeay, A.M.; Hussam, E. Statistical modeling for COVID-19 virus spread in Kingdom of Saudi Arabia and Netherlands. Alex. Eng. J. 2022, 61, 9849–9866. [Google Scholar] [CrossRef]
- Alsuhabi, H.; Alkhairy, I.; Almetwally, E.M.; Almongy, H.M.; Gemeay, A.M.; Hafez, E.H.; Aldallal, R.A.; Sabry, M. A superior extension for the Lomax distribution with application to Covid-19 infections real data. Alex. Eng. J. 2022, 61, 11077–11090. [Google Scholar] [CrossRef]
- Meriem, B.; Gemeay, A.M.; Almetwally, E.M.; Halim, Z.; Alshawarbeh, E.; Abdulrahman, A.T.; Abd El-Raouf, M.M.; Hussam, E. The Power XLindley Distribution: Statistical Inference, Fuzzy Reliability, and COVID-19 Application. J. Funct. Spaces 2022, 2022, 9094078. [Google Scholar] [CrossRef]
- Abdul-Moniem, I.B. The Kumaraswamy power function distribution. J. Stat. Appl. Pro. 2017, 6, 81–90. [Google Scholar] [CrossRef]
- Tahir, M.H.; Cordeiro, G.M.; Alizadeh, M.; Mansoor, M.; Zubair, M.; Hamedani, G.G. The odd generalized exponential family of distributions with applications. JSDA 2015, 2, 1–28. [Google Scholar] [CrossRef]
- Hassan, A.S.; Nassr, S.G. A new generalization of power function distribution: Properties and estimation based on censored samples. Thail. Stat. 2020, 18, 215–234. [Google Scholar]
- Okorie, I.E.; Akpanta, A.C.; Ohakwe, J.; Chikezie, D.C.; Onyemachi, C.U.; Rastogi, M.K. Zero-truncated Poisson-power function distribution. Ann. Data Sci. 2021, 8, 107–129. [Google Scholar] [CrossRef]
- Okorie, I.E.; Akpanta, A.C.; Ohakwe, J. Marshall-Olkin extended power function distribution. FJPS 2017, 5, 16–29. [Google Scholar]
Disclaimer/Publisher’s Note: The statements, opinions and data contained in all publications are solely those of the individual author(s) and contributor(s) and not of MDPI and/or the editor(s). MDPI and/or the editor(s) disclaim responsibility for any injury to people or property resulting from any ideas, methods, instructions or products referred to in the content. |
© 2023 by the authors. Licensee MDPI, Basel, Switzerland. This article is an open access article distributed under the terms and conditions of the Creative Commons Attribution (CC BY) license (https://creativecommons.org/licenses/by/4.0/).








