Abstract
With the development of internet technology, more two-sided market platforms, e.g., Tabao, Amazon and Lending Club, have emerged, and it is worth exploring the role that these two-sided market platforms can play in better serving users. This paper explores the impacts of platforms on participants’ trading strategies in the two-sided market, taking the online loan market as an example. Based on the management strategies of online lending platforms, we divided them into two categories: active online lending platforms and inactive online lending platforms. Evolutionary game theory and numerical simulation were employed to investigate the influences of these two types of platforms on the trading strategies of lenders and borrowers. We found that active and appropriate management measures taken by active online lending platforms can steer lenders and borrowers towards adopting win-win trading strategies, thus attracting more high-quality borrowers and corresponding investors. These results imply that a platform with two-sided market characteristics plays a crucial role in coordinating and guiding participants on both sides, and active management measures adopted by the platform can promote the benign operation of the two-sided market.
Keywords:
internet finance; evolutionary game; participant behavior; trading strategy; two-sided market MSC:
91-10
1. Introduction
A two-sided market can be defined as a market in which two or more different sets of agents interact through a platform, and agents’ actions on one side directly affect the profit or utility of agents on the other side of the market [1,2]. The importance of two-sided markets in the social economy is growing because of the advancement of internet technologies. Most of the existing internet platforms, such as Meituan.com, Taobao.com, Jingdong.com and online loan platforms, are considered as two-sided market platforms. How might these various bilateral market platforms better serve users? It is well-known that the market participation of buyers and sellers depends on their expectations of participation regarding the other side of the market, and two-sided platforms face a coordination problem in attracting both buyers and sellers. To solve this coordination problem, in this paper, we mainly focus on how these platforms influence the trading strategies of participants in two-sided markets by applying the evolutionary game approach to a case study of the online lending market.
Online lending platforms overcome the time and space constraints of traditional lending, enabling direct transactions between individuals through an internet platform. Online loan platforms mainly provide lending services for individuals and SMEs, effectively alleviating their financing difficulties [3]. As a hub connecting borrowers and investors, the online lending platform can transmit information to both parties and enable them to make trading decisions based on the information and management measures provided by the platform. Borrowers seek to minimize the cost of borrowing, while investors pursue robust capital appreciation. Since both borrowers and lenders are subject to bounded rationality in online lending platforms, their trading decisions may be affected by their own abilities [4], peers, borrowers’ behaviors [5,6,7,8] and the network effects of two-sided markets, such as network externalities [9]. At the same time, the impacts of risk management measures taken by the online loan platform on the trading strategies of borrowers and lenders cannot be ignored if one is to solve the coordination problem. However, there are few pertinent studies in the literature regarding such effects.
Several branches of the literature on two-sided markets yield additional insights. Trabucchi et al. [10] presented an overview of the dynamics governing value mechanisms within a platform through the theoretical lens of the business model using two prominent cases of multisided platforms. Other researchers have focused on network externalities, network effects and multiproduct pricing [11]. For example, Rochet and Tirole emphasized the importance of the relative price elasticity of demand on the two sides of the platform for determining pricing structures [1,12]. Most analyses apply to specific industries: payment systems [13,14,15], internet-related intermediation [16,17,18], software and video games [19,20,21] and media markets [22]. Lin et al. presented service and pricing strategies for both monopolistic and duopolistic platforms [23]. Jullien [24] and Rochet and Tirole [13] proposed useful roadmaps, while other researchers, including Wei and Lin [25], Gao et al. [26] and Liu et al. [27], discussed the online lending market as a two-sided market. However, as noted earlier, studies exploring how to promote coordination in two-sided markets are scarce [28,29,30,31,32]. On the other hand, evolutionary game approaches have been applied to many aspects of markets, such as option pricing [33], organizational behavior [34] and environmental problems [35,36,37]. Liu and Xia [38] proposed an evolutionary-behavior-forecasting model for online participants based on the risk preference behaviors of lenders and the credit choices of borrowers. Since the two-sided market platform and its participants are both subject to bounded rationality, the evolutionary game model is an effective method for analyzing the platform’s strategy for coordinating participants’ trading behaviors.
In this paper, taking the Chinese online lending market as the context, we divide online loan platforms into two categories: active and inactive online loan platforms. Active online lending platforms refer to platforms that take active management measures, such as punitive measures against defaulting borrowers and measures to provide investors with certain security deposits or additional information. In contrast, inactive online lending platforms refer to platforms that do not take any proper management measures. The evolutionary game approach is then applied to explore how different platforms affect the trading (game) strategies of lenders and borrowers, respectively. The results of the study indicate that when the online lending platform actively provides investors with security deposits and sufficient information and takes appropriate punitive actions against borrowers, it can effectively alleviate the information asymmetry problem and increase the probability of investors adopting learning strategies, whereby they gather and learn information to identify high-quality borrowers and thus feel confident to invest. Moreover, these risk management measures implemented by the online lending platform can also increase the probability of borrowers adopting non-default strategies. The results of our further numerical analysis suggest that when an active online lending platform adopts appropriate default penalties for borrowers and charges investors lower fees for information services, it will exert influences in restraining and guiding the trading behavior of participants so that the set of evolutionary strategies of borrowers and lenders will reach the optimal equilibrium (learning, non-default), thus enabling the sound and stable development of the online lending platform.
The innovations of this paper are mainly reflected in the following three aspects: First, in terms of research methods, evolutionary game theory starts with bounded rational individuals [39,40], which compensates for the deficient assumption in general game theory that the participants are completely rational [41]. Moreover, since the trading strategy is difficult to quantify, to address the limitations of the empirical method, it can be supplemented with the evolutionary game method. Second, the existing studies using the evolutionary game approach for an online lending market typically focus on game behavior between online lending platforms and policy regulation, as exemplified by the research of Zhang et al. [42] and Liu et al. [43], which analyzed the game process between behavior on online lending platforms and regulatory strategies through the evolutionary game model. Yu et al. [44] constructed a game analysis model between platforms and regulators to improve the regulatory supervision system. Although Liu and Xia [38] examined game behavior between borrowers and investors, they did not consider the moderating role of online lending platforms in the trading strategies of participants. At present, studies on online lending markets defined as two-sided markets have mainly focused on exploring their network externalities, and Qiu et al. [9] empirically investigated cross-network externalities and self-network externalities among users on the Prosper platform and the price elasticity of lending and borrowing parties in regard to the platform transaction fees. In this paper, we explore the impacts of active and inactive two-sided market platforms on the evolutionary game strategies of participants, systematically analyze the factors that affect the game process between the participating parties and emphasize the importance of the risk management measures adopted by the active platform. Finally, we draw the conclusion that the platform, as a hub connecting the two parties in the two-sided market, plays crucial coordinating and guiding roles. Appropriate management measures adopted by the platform can effectively guide and restrain the trading behavior of both participants and facilitate the development of win-win trading strategies. The findings of this study provide inspiration and guidance for the sound operation of two-sided markets and offer effective solutions to issues resulting from the platform’s mismanagement.
The remainder of this paper is organized as follows: Section 2 discusses the evolutionary game model constructed to analyze the impacts of inactive and active online lending platforms on the trading strategies of lenders and borrowers, respectively. Section 3 concerns the validation of the results of the model through simulation analysis. Section 4 provides the discussion, and Section 5 is the conclusion.
2. Model
Evolutionary game theory originates from biological evolution theory, which is based on the finite rationality of game participants and combines game theory analysis with dynamic evolutionary process analysis. As the game parties are bounded rational, they must refine their strategies through continuous learning and imitation to reach the game equilibrium state and eventually establish a stable strategy called an “evolutionary stable strategy set”. In this section, we analyze the evolutionary game process of the trading strategies of both parties under the effect of the two-sided market platform (online loan platform) using the evolutionary game approach. The structure of this section is organized as follows: Section 2.1 introduces the variables used in the paper, while Section 2.2 and Section 2.3 present the evolutionary game models of the active and inactive online lending platforms, respectively, and analyze their effects on the trading strategies of borrowers and investors.
2.1. Variables
In order to explore the evolutionary game stabilization strategies of lenders and borrowers, we categorized online lending platforms into active platforms (platforms that perform active managerial activities, such as taking punitive measures against defaulting borrowers and guaranteeing that investors receive specific deposits, along with offering additional information) and inactive platforms (platforms that do not take active measures). Regardless of the platform, investors’ strategies can be divided into two types, learning and non-learning, depending on whether or not they make investment decisions by learning from others’ transactions and gathering information about borrowers. The probability of investors choosing the learning strategy is , while the probability of adopting a non-learning strategy is . There are also two types of borrower strategies: non-default and default. We use to represent the probability of borrowers choosing a non-default strategy, while denotes the probability of borrowers adopting a default strategy. The other variables are described in Table 1.
Table 1.
Variable Description.
The following section provides a detailed analysis of the evolutionary game model and its set of evolutionary game stabilization strategies when the online lending platform is active and inactive. In the subsequent analysis, we hypothesize that the non-learning investors do not impersonate the learning investors and . The security deposit is provided by a third-party guarantee platform.
2.2. Evolutionary Game Model of the Inactive Online Lending Platform and an Analysis of Its Strategy
Inactive online loan platforms are those that neither offer guarantees nor provide any information about borrowers and impose no penalties on the defaulting party. The payoff matrix of investors and borrowers on inactive online lending platforms is illustrated in Table 2.
Table 2.
The payoff matrix of investors and borrowers on inactive online lending platforms.
Based on the payoff matrix, the expected return perception functions of the investors can be expressed as:
Then, the replicator dynamics equation of the investors (a replicator dynamics equation is a dynamic differential equation describing the frequency with which a particular strategy is adopted by a species in a population) [40,41] can be derived as:
Similarly, we formulate the expected return perception functions of the borrowers as:
Thus, the replicators dynamic equation of the borrowers is:
Furthermore, let . Thus, there are five evolutionary equilibrium points derived from the above equations: , where ; .
Subsequently, we analyze the stability of the evolutionary equilibrium point. According to the approach proposed by Friedman, it is known that since the system of differential equations describes the dynamic game process, the stability of the evolutionary equilibrium points and the evolutionary stability point (ESS) can be derived from the local stability analysis of the Jacobian matrix of the dynamic system. Therefore, based on Equations (4) and (8), the Jacobian matrix of the inactive online lending platform can be expressed as:
When the equilibrium point satisfies , it then becomes the evolutionary stable state of the evolutionary dynamic process (ESS), which corresponds to the evolutionary stable strategy. Therefore, the determinant and trace of the Jacobian matrix of each evolutionary equilibrium point are calculated as shown in Table 3. We define as polynomial (1) and as polynomial (2), and both are greater than 0, representing the difference between the revenue obtained by borrowers choosing the default strategy and those choosing the non-default strategy when the investors decide whether or not to learn, respectively. Let be polynomial (3) and be polynomial (4), which denote the difference in return obtained by investors choosing the learning strategy and those choosing the non-learning strategy, respectively, when borrowers choose either the default or non-default strategy. Since , polynomial (1) is always less than zero, which implies that the benefit gained by the borrowers from choosing the non-default strategy is always less than that gained from defaulting when the investors choose the non-learning strategy. Meanwhile, polynomial (2) is greater than zero, in which case the benefit gained by the borrowers from choosing the non-default strategy is always greater than that gained from the default strategy when the investors adopt the learning strategy; therefore, borrowers will choose the non-default strategy only if the investors adopt the learning strategy. Polynomial (3) and polynomial (4) are greater than 0, which indicates that the payoff gained by the investors from choosing the learning strategy will always be higher than that gained from choosing the non-learning strategy, regardless of which strategy the borrowers adopt, where .
Table 3.
The value and trace of the Jacobian matrix at each evolutionary equilibrium point for inactive online lending platforms.
Based on the Jacobian matrix of the dynamic system, the results of the evolutionary equilibrium point analysis are shown in Table 4.
Table 4.
Evolutionary equilibrium point analysis for inactive online lending platforms.
In real online lending platforms, most investors do not invest large amounts of money (https://www.weiyangx.com/210765.html, accessed on 2 June 2022); thus, they believe that it is not worth spending much time or effort in gathering and learning information, and generally, they invest with the herd. In this way, not only is the speed with which bids are filled accelerated, but good and bad bids are also both financed without screening, and the platforms take no punitive measures for the defaulted bids, which eventually leads to the results of the model analyzed here. As shown in Scenario I and Scenario II in Table 4, since the cost of learning is too large for the investors, the return of choosing the learning strategy is always less than that of choosing the non-learning strategy. Moreover, borrowers’ decision-making behavior hinges on the strategy of the investors; thus, the final evolutionary result will be the strategy set (non-learning, default). Above all, both investors and borrowers are bounded rational, and they will only adjust the market according to their gains and losses. If the online lending platform does not take proactive measures to guide lenders and borrowers, in the long run, the evolutionary stable strategy will ultimately turn into a (non-learning, default) type, thus paralyzing the entire online lending market. The evolutionary game phases for Scenarios I and II are shown in Figure 1.
Figure 1.
Evolutionary game phase diagrams for inactive online lending platforms. (a) Scenario I; (b) Scenario II.
2.3. Evolutionary Game Model of the Active Online Lending Platform and an Analysis of Its Strategy
An active online lending platform will provide investors with a security deposit against the default of a certain amount to minimize their loss. It will take corresponding punitive measures to prevent the default rate of the borrowers from rising; meanwhile, the platform will also provide investors with more information while charging less information fees to reduce the effect of the moral hazard caused by information asymmetry. The payoff matrix is shown in Table 5.
Table 5.
The payoff matrix of investors and borrowers on active online lending platforms.
The perception equations of the investors for the expected return derived from the payoff matrix can be expressed as follows:
Then, we apply the replicator dynamics equation for the investors as:
According to the payoff matrix shown in Table 5, the expected return of the borrowers can be defined by the following equations:
The replicator dynamics equation of the borrowers can be written as:
Next, if , , there will be five evolutionary equilibrium points: , where .
Similarly, we have the Jacobian matrix (18) of the active online lending platform, and the value and trace of the Jacobian matrix at each evolutionary equilibrium point are derived as shown in Table 6. Let be polynomial and be polynomial , which represent the difference in return for the non-learning and learning strategies adopted by investors, respectively, when the borrowers choose to default or not. Then, we define polynomial as and polynomial as to indicate the difference between the return of the borrowers’ strategies when the investors decide whether or not to learn. When the polynomials and are both greater than 0, the revenue from the learning strategy will be higher for the investors regardless of which strategy the borrowers adopt. When the polynomials and are both greater than 0, in this case, the borrowers will receive a higher return if they do not default, regardless of which strategy the investors prefer. In this case, .
Table 6.
The value and trace of the Jacobian matrix at each evolutionary equilibrium point for active online lending platform.
According to the method of local stability analysis of the Jacobian matrix, the results of the stability analysis of the equilibrium point are shown in Table 7.
Table 7.
Evolutionary equilibrium point analysis for active online lending platforms.
In general, people are more prudent and cautious about accepting a novelty in the beginning, meaning that, combined with some positive guidance measures adopted by the platform, the trading strategies of the borrowers and lenders will always be (learning, non-default). As the results of the model analysis, Scenarios I, II and III are shown in Table 7, which indicates that, on the one hand, the return of investors adopting the learning strategy is always higher than that of the non-learning strategy, regardless of which strategy the borrowers adopt. On the other hand, the benefit gained by borrowers from choosing the non-default strategy is always greater than that gained from choosing the default strategy; thus, the final evolutionary stable strategy set of the system is (learning, non-default). The evolutionary game phase diagrams of the three scenarios discussed above are shown in Figure 2.
Figure 2.
Evolutionary game phase diagrams for active online lending platforms. (a) Scenario I; (b) Scenario II; (c) Scenario III.
In addition, participants are bounded rational and refine their trading strategies based on their gains and losses. If the platform takes inappropriate management measures, the following three situations may occur: (1) The platform charges defaulted borrowers with large default penalties but fails to take appropriate measures in order to reduce the cost of gathering information for investors. This leads to a situation where borrowers do not default but the cost of gathering information is prohibitive, and the amount invested is not worth the time or effort required to learn the information. Thus, Scenarios IV and V will arise, as shown in Table 7. Regardless of whether or not the investors choose the learning strategy, the benefit of borrowers adopting the non-default strategy is always greater than that of borrowers choosing the default strategy. From the investor’s perspective, the cost of learning is too high, and the benefit of choosing the learning strategy may not be greater than that of choosing the non-learning strategy. Therefore, the evolutionary stable strategy set will be (non-learning, non-default). (2) The platform actively reduces information fees to alleviate information asymmetry, but the penalty for defaulted borrowing is less severe. This leads to Scenarios VI and VII, as shown in Table 7, where the payoff of borrowers adopting the default strategy is always greater than the payoff of choosing the non-default strategy, regardless of which strategy the investors prefer ((2)′ < 0, (4)′ < 0 indicate that borrowers will always choose the default strategy). On the other hand, regardless of which strategy is chosen by the borrowers, since the cost of learning is relatively small, the benefit gained by the investors from choosing the learning strategy is always greater than that gained from choosing the non-learning strategy; thus, the final evolutionary stable strategy set is (learning, default). (3) The management measures adopted by the platform neither reduce the information asymmetry by lowering the information fee nor impose sufficient penalties on defaulted borrowers, thus resulting in Scenarios VIII and IX, as shown in Table 7. In this case, borrowers who choose the default strategy will obtain a higher return. Moreover, when borrowers choose to default, the investors will obtain more benefits if they adopt the non-learning strategy; thus, the final evolutionary strategy set will be (non-learning, default). The dynamic evolutionary diagrams of the above six scenarios are shown in Figure 3 and Figure 4.
Figure 3.
Evolutionary game phase diagrams for active online lending platforms. (a) Scenario I; (b) Scenario II; (c) Scenario III; (d) Scenario IV.
Figure 4.
Evolutionary game phase diagrams for active online lending platforms. (a) Scenario I. (b) Scenario II. (c) Scenario III.
Finally, we discuss scenario X ((1)′ < 0, (2)′ < 0; (3)′ > 0, (4)′ > 0), as shown in Table 7, where the points are ESS points, and both strategy sets, (non-learning, default) and (learning, non-default), have the potential to be the evolutionary stable strategy set for the system. As shown in Figure 4c, the point is a saddle point (saddle point (SP) is a critical point in the differential equation that is stable along one orientation and unstable in the other, namely, the threshold of orientation stability or instability), and this saddle point and points , constitute the polyline ADB, which is a critical line required for the system to converge into different evolutionary stable states. This critical line divides the graph into four regions. When the initial state lies in the regions OAD and OBD, the evolutionary game converges to the point , where the possibilities of borrowers choosing a default strategy and of investors choosing a non-learning strategy both increase, which means that a vicious circle is formed, and the trading behavior disappears; thus, the online lending platform will not be able to effectively operate. When the initial state is in the region’s CAD and CBD, the evolutionary game converges to the point , where the probabilities of borrowers choosing a non-default strategy and of investors choosing a learning strategy both become larger, which prompts a virtuous cycle of trading. In Scenario X, the outcome of the system is not only associated with the probability of the initial strategy being chosen by the participating parties, but is also related to the value of the saddle point and the strength of the management measures adopted by the online lending platform. The area of the region OADB can be expressed as , where the smaller are, the smaller the area of the region OADB will be, while a larger area of the region CADB indicates higher probabilities of the borrowers choosing the non-default strategy and of investors choosing the learning strategy. That is, the value of the saddle point (the polyline ADB formed by the saddle point and the points , constitute the critical line where the system converges into different states) is inversely proportional to the area of CADB. Compared with the inactive online lending platform, some management strategies adopted by the active online lending platform play certain roles in guiding and restraining the transaction decision-making behavior of investors and borrowers, thus causing the behavior of borrowers and lenders to shift towards the optimal evolutionary stable strategy set (learning, non-default).
Therefore, in the long run, the adoption of active and appropriate management measures by the online lending platform can reduce the platform’s instability caused by the opportunistic behavior of both parties. Moreover, the evolutionary process of the system is so complicated that the final evolutionary outcome cannot be determined if one only takes one factor into consideration. Scenario III, shown in Figure 4c, is the most common in reality. If both borrowers and lenders can avoid speculative behavior in the beginning and make positive transaction decisions, and if the online lending platform takes active and appropriate management measures, the possibility that the trading strategies of participants engaged in the platform will evolve into (learning, not defaulting) strategies will become higher, thus contributing to the healthy development of the entire online lending platform. Based on the above theoretical analysis, we put forward the following hypotheses:
Hypothesis 1 (H1).
A suitable choice for the two-sided market is to adopt a punishment for reducing the borrower’s default.
Hypothesis 2 (H2).
A suitable information management strategy and effective compensation will support lenders in learning information and identifying high-quality borrowers.
3. Simulation Analysis of Evolutionary Models
The above evolutionary game model analysis demonstrates that active and appropriate management measures adopted by active online lending platforms can promote non-speculative trading decision behaviors among borrowers and lenders. Here, we simulate the evolutionary processes of the system with function ode45 and the function plot in MATLAB 2017, and replicator dynamic equations are solved. To facilitate the calculation of the investment amount, information fee and other indicators, we took one hundred as the unit for the simulation. In addition, for the convenience of formulating a description, we assumed that the lending is successful regardless of whether or not the borrowers raise all the required funds.
Firstly, we analyzed the inactive online lending platform, the parameter values of which are shown in Table 8. The dynamic evolutionary process of the system is presented in Figure 5. The x-axis represents the time, while the y-axis represents the probability of choosing learning and not defaulting (the axis in Figure 6, Figure 7 and Figure 8 are the same explanation). As shown in Figure 5, the inactive online lending platform does not play a role in guiding or restraining borrowers and lenders; thus, its participants negatively trade, and the final evolutionary result is that the possibility of investors adopting the strategy of not collecting and learning information becomes higher, while the possibility of borrowers choosing the default strategy becomes higher. In the long term, the platform will bend to the growing pressure of repayments and eventually become a problematic platform as a result of mismanagement.
Table 8.
Initial parameter values (inactive lending platform).
Figure 5.
The dynamic evolutionary processes of inactive online lending platforms.
Figure 6.
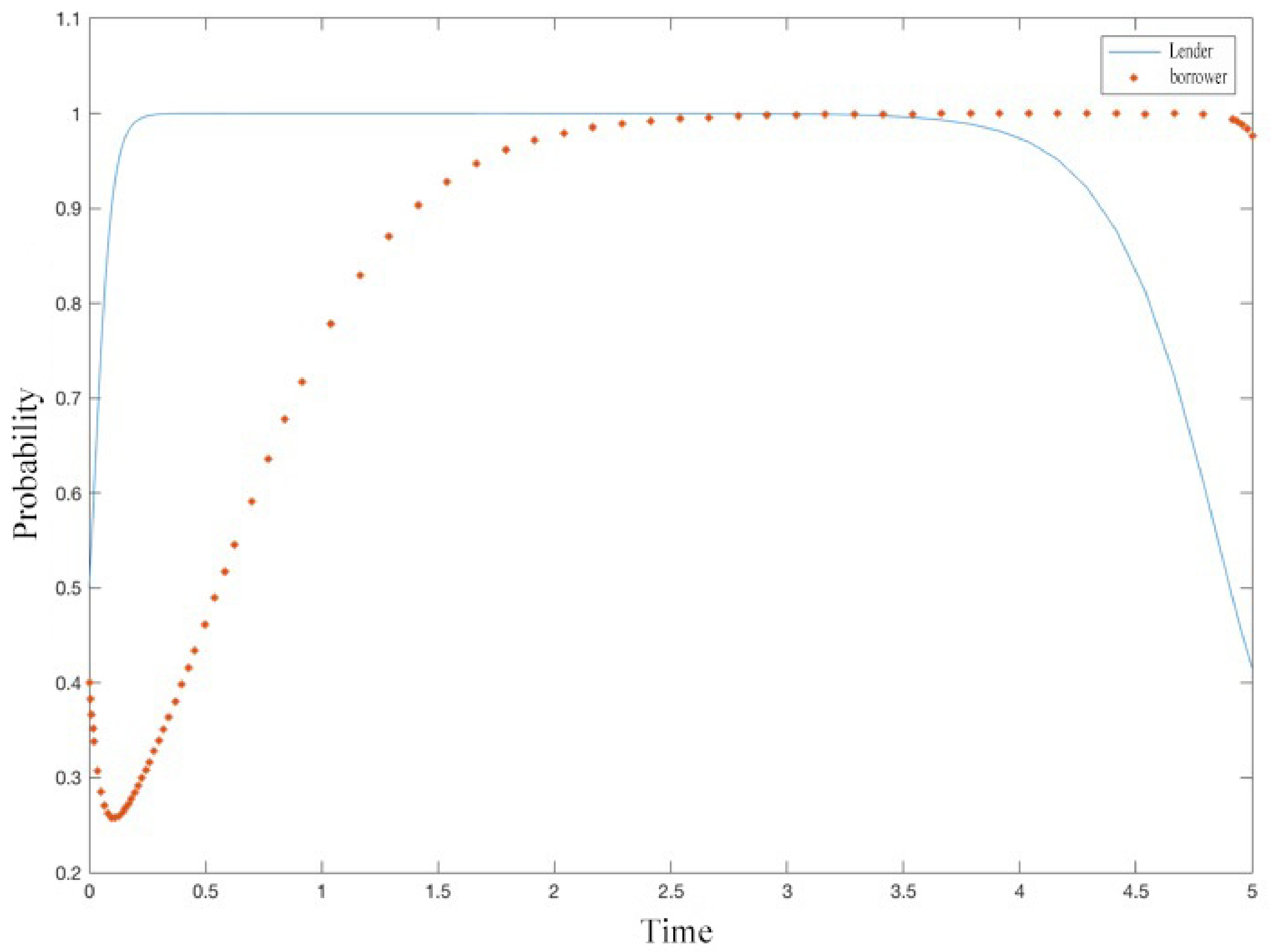
The dynamic evolutionary process of the active online lending platform when it charges investors higher information fees.
Figure 7.
The dynamic evolutionary processes of the active online lending platform with small penalties for defaulting.
Figure 8.
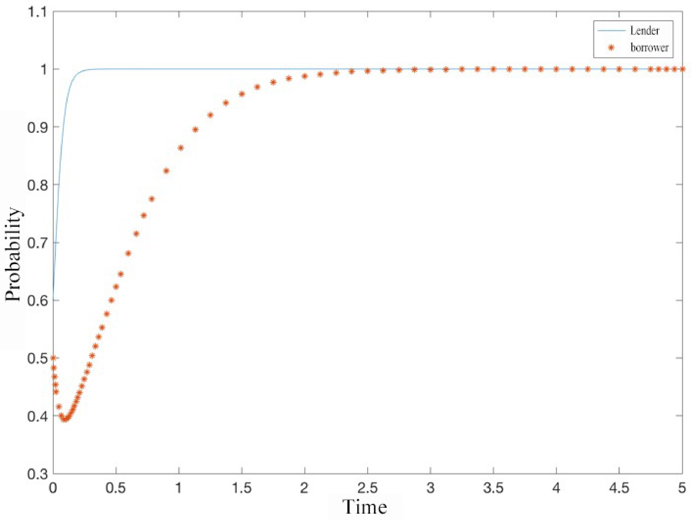
The dynamical evolutionary processes of the active online lending platform with proper management measures.
The following analysis concerns the active online lending platform. If the active online lending platform imposes a substantial default penalty on borrowers and charges investors a higher fee for information (the investor incurs a considerable sunk cost), as shown in Table 9, the situation displayed in Figure 6 will occur. From the perspective of investors, since the cost of collecting and learning information is relatively high, they will choose a learning strategy when first entering the market; however, with the increase in the cost of learning over time, investors will become less likely to adopt a learning strategy. The probability of borrowers choosing a non-default strategy increases when the default penalty becomes larger. However, when investors choose a non-learning strategy, invariably, the borrowers may also take the plunge and try to determine whether the payoff to be gained from defaulting is higher. In addition, if the online lending platform imposes a minor default penalty on borrowers while charging investors a smaller information fee, according to the parameters shown in Table 10, the situation displayed in Figure 7 will occur. Since the cost of learning is lower for investors (the sunk cost is also lower), they always adopt a learning strategy; as the penalties for borrower default are relatively small, the possibility of borrowers choosing a default strategy is elevated. In the long run, both scenarios mentioned above are detrimental to the development of the online lending platform. In the first scenario, investors always choose the non-learning strategy, with various types of borrowers involved. Once the benefit from defaulting becomes greater than that from not defaulting, most borrowers will adopt the default strategy, as shown in Figure 6, indicating that the possibility of borrowers choosing a non-default strategy declines in the later period. In the second case, if investors always select the strategy of learning and borrowers always choose the strategy of defaulting, this will eventually lead to a situation where the borrowers are unable to borrow. Therefore, both situations mentioned above will cause the active online lending platform to become problematic in the end. It can be seen that only if the active online lending platform takes appropriate management measures, adopts moderate default penalties for borrowers and charges lower information fees for investors, according to the parameters shown in Table 11, it will be able to restrain and guide the trading behavior of participants so that both borrowers and lenders can adopt positive transaction strategies. This means that the investors proactively gather and learn information about the borrowers as well as the platform so as to invest in high-quality borrowers on reliable platforms. In addition, the borrowers become less likely to adopt default strategies due to the imposition of default penalties and the improved ability of the learning investors to identify borrowers with a high default probability, as shown in Figure 8. The simulation results are consistent with the model analysis results, which demonstrate that active online lending platforms can only promote the healthy and stable development of the online lending market and even the whole industry if they adopt appropriate management measures.
Table 9.
Initial parameter values (when the active online platform charges investors higher information fees).
Table 10.
Parameter values (when the active online lending platform imposes fewer penalties on defaulting).
Table 11.
Parameter values (when the active online lending platform adopts proper management measures).
4. Discussion
We used the evolutionary game theory to explore the impacts of platforms on participants’ trading strategies in the two-sided market. Although the existing studies focused on the game process between behavior on online lending platforms and regulatory strategies [42,43,44], exploring their network externalities [9] and examining the game behavior between borrowers and investors, they did not consider the moderating role of online lending platforms in the trading strategies of participants. In this paper, we explored the evolutionary game strategies of participants in the two-sided market, analyzed the game process between the participating parties and emphasized the importance of the risk management measures adopted by the active platform. The platform adopting active and appropriate management measures can play crucial roles in guiding and restraining the trading behavior of both participants and facilitating the development of win-win trading strategies.
Furthermore, the following management suggestions are proposed to address the coordination problem for participants in two-sided markets. First, by implementing effective punishment mechanisms, one can effectively reduce the probability of borrower default and promote benign borrowing behavior. A suitable choice for a two-sided market is to adopt punishments for reducing the borrower’s default, but it is not necessary to excessively punish the borrower, since punishment is a negative incentive that may decrease borrower enthusiasm. Second, the two-sided market platform offers specific forms of compensation to investors who experience losses. In the two-sided market, effective compensation encourages more lender participation. Finally, to solve the coordination problem, the two-sided market provides lenders with as much information as possible and charges lower information fees; thus, it will encourage lenders to collect and analyze more information. A suitable information management strategy will support lenders in identifying high-quality borrowers and reducing the default rates of two-sided market platforms.
This study contributes to the literature by shedding light on the crucial issue of the coordination of participants in two-sided markets, but has several limitations that point to future research directions. The impact of competition between similar two-sided market platforms on participants is also worth considering. In addition, our study showed that the two-sided market platforms promote coordination between participants by constructing and simulating an evolutionary game model. Future empirical studies would help to verify our conclusions.
5. Conclusions
Compared with the existing studies, in this paper, we studied the impacts of two-sided market platforms on the trading strategies of both participants. Using online lending platforms as representative of two-sided markets, evolutionary game theory was employed to explore the game evolution process of the trading strategies of both participants on active and inactive online lending platforms, respectively. Furthermore, the numerical simulations were conducted to investigate which management measures adopted by the platform can steer the trading strategies of lenders and borrowers in a win-win direction. The results demonstrate that when the online lending platform is inactive, the trading tactics of borrowers and lenders are more likely to evolve into a (no learning, default) type, which ultimately causes the collapse of the platform. When the online lending platform imposes penalties of an inappropriate amount on defaults and charges high information fees, it will also fail to lead the trading strategies of borrowers and lenders in a win-win direction. Only when the online lending platform adopts appropriate, active and effective management measures with explicit rewards and punishments (for example, by imposing moderate penalties on borrowers who default, offering specific types of compensation to investors who experience losses, providing investors with as much information as possible and charging them lower information fees) can the trading strategies of both parties reach a stable strategy set (learning, not defaulting); thus, the platform can regulate the trading behavior of lenders and borrowers and provide a reliable and stable trading environment for the participants.
In summary, as a pivot linking participants on both sides, the two-sided platform not only offers a trading venue for the participants, but also affects their trading behaviors. Accordingly, the platform should adopt active and appropriate management measures to regulate the behavior of its participants and refrain from phenomena such as malicious competition. In this way, it can attract more participants to join the platform and guide the trading strategies of both parties in a win-win direction, thus enabling the safe operation of the whole market.
Author Contributions
Conceptualization, Y.Z.; Methodology, Y.Z.; Software, Y.Z.; Formal analysis, Y.Z.; Data curation, Y.Z.; Writing—original draft, S.Z.; Writing—review & editing, S.Z.; Supervision, S.Z. All authors have read and agreed to the published version of the manuscript.
Funding
This research was funded by [Hebei Education Department] grant number [SQ2022008].
Data Availability Statement
No new data were created or analyzed in this study. Data sharing is not applicable to this article.
Conflicts of Interest
The authors declare no conflict of interest.
References
- Rochet, J.C.; Tirole, J. Two-sided markets: A progress report. Rand J. Econ. 2006, 37, 645–667. [Google Scholar] [CrossRef]
- Armstrong, M. Competition in two-sided markets. Rand J. Econ. 2006, 37, 668–691. [Google Scholar] [CrossRef]
- Li, Q.Y. A study on internet finance helping relieve SMEs financing constraints. Account. Learn. 2017, 24, 128–139. [Google Scholar]
- Zhao, Y.; Zhang, W.; Li, Y.; Xiong, X. Does irrational lead to higher returns? Evidence from the Chinese P2P lending market. Financ. Res. Lett. 2021, 39, 101608. [Google Scholar] [CrossRef]
- Liao, L.; Li, M.R.; Wang, Z.W. Learning by observing: Information discovery and herding behavior in P2P lending market. J. Tsinghua Univ. (Philos. Soc. Sci.) 2015, 1, 156–165. [Google Scholar]
- Zhang, J.; Liu, P. Rational Herding in Microloan Markets. Manag. Sci. 2012, 58, 892–912. [Google Scholar] [CrossRef]
- Lin, M.F.; Prabhala, N.R.; Viswanathan, S. Judging borrowers by the company they keep: Friendship networks and information asymmetry in online peer-to-peer lending. Manag. Sci. 2013, 59, 17–35. [Google Scholar] [CrossRef]
- Liao, L.; Xiang, J.; Wang, Z.W. Wisdom of crowds from P2P lending investor. Chin. J. Manag. Sci. 2018, 26, 30–40. [Google Scholar]
- Qiu, J.X.; Nie, F.Q.; Tong, M. Two-sided characteristics of the third-party electronic market: Evidence from online peer-to-peer lending marketplace. J. Manag. Sci. China 2016, 19, 47–59. [Google Scholar]
- Trabucchi, D.; Buganza, T.; Verganti, R. Quantity or quality? Value creation in two-sided platforms. Technol. Anal. Strateg. Manag. 2021, 33, 162–175. [Google Scholar] [CrossRef]
- Guillermo, P. A new trading algorithm with financial applications. Quant. Financ. Econ. 2020, 4, 596–607. [Google Scholar]
- Rochet, J.C.; Tirole, J. Platform competition in two-sided markets. J. Eur. Econ. Assoc. 2003, 4, 990–1029. [Google Scholar] [CrossRef]
- Vana, P.; Lambrecht, A.; Bertini, M. Cashback is cash forward: Delaying a discount to entice future spending. J. Mark. Res. 2018, 55, 852–868. [Google Scholar] [CrossRef]
- Kaiser, U.; Wright, J. Price structure in two-sided markets: Evidence from the magazine industry. Int. J. Ind. Organ. 2006, 24, 1–28. [Google Scholar] [CrossRef]
- Rysman, M. Competition between networks: A study of the market for yellow pages. Rev. Econ. Stud. 2004, 71, 483–512. [Google Scholar] [CrossRef]
- Reimers, I.; Xie, C. Do coupons expand or cannibalize revenue? Evidence from an e-Market. Manag. Sci. 2019, 65, 286–300. [Google Scholar] [CrossRef]
- Rysman, M. An empirical analysis of payment card usage. J. Ind. Econ. 2007, 55, 1–36. [Google Scholar] [CrossRef]
- Li, S.; Liu, Y.; Bandyopadhyay, S. Network effects in online two-sided market platforms: A research note. Decis. Support Syst. 2010, 49, 245–249. [Google Scholar] [CrossRef]
- Hagiu, A. Pricing and commitment by two-sided platforms. RAND J. Econ. 2006, 37, 720–737. [Google Scholar] [CrossRef]
- Parker, G.G.; Van, M.W. Two-sided network effects: A theory of information product design. Manag. Sci. 2005, 51, 1494–1504. [Google Scholar] [CrossRef]
- Gallaugher, J.M.; Wang, Y.M. Understanding network effects in software markets: Evidence from web server pricing. MIS Q. 2002, 26, 303–327. [Google Scholar] [CrossRef]
- Reisinger, M.; Ressner, L.; Schmidtke, R. Two-sided markets with pecuniary and participation externalities. J. Ind. Econ. 2009, 57, 32–57. [Google Scholar] [CrossRef]
- Lin, X.; Chen, C.; Lin, Z. Pricing and service strategies for two-sided platforms. J. Syst. Sci. Syst. Eng. 2019, 28, 299–316. [Google Scholar] [CrossRef]
- Jullien, B. Two-sided markets and electronic intermediaries. CESifo Econ. Stud. 2005, 51, 233–260. [Google Scholar] [CrossRef]
- Wei, Z.; Lin, M. Market mechanisms in online peer-to-peer lending. Manag. Sci. 2017, 63, 4236–4257. [Google Scholar] [CrossRef]
- Gao, G.X.; Fan, Z.P.; Fang, X.; Yun, F.L. Optimal Stackelberg strategies for financing a supply chain through online peer-to-peer lending. Eur. J. Oper. Res. 2018, 267, 585–597. [Google Scholar] [CrossRef]
- Liu, H.; Qiao, H.; Wang, S.; Li, Y.; Sliwinski, R.; Artalejo, J.; Bilaut, J.C.; Dyson, R.; Peccati, L. Platform competition in peer-to-peer lending considering risk control ability. Eur. J. Oper. Res. 2019, 274, 280–290. [Google Scholar] [CrossRef]
- Hagiu, A.; Spulber, A. First-Party content and coordination in two-sided markets. Manag. Sci. 2013, 59, 933–949. [Google Scholar] [CrossRef]
- Dinerstein, M.; Einav, L.; Levin, J.; Sundaresan, N. Consumer price search and platform design in internet commerce. Am. Econ. Rev. 2018, 108, 1820–1859. [Google Scholar] [CrossRef]
- Jung, Q.; Kim, B.; Park, M.; Straub, D.W. Innovation and policy support for two-sided market platforms: Can government policy makers and executives optimize both societal value and profits? Inf. Syst. Res. 2019, 30, 1037–1050. [Google Scholar] [CrossRef]
- Zhu, X.; Yang, C.; Liu, K.; Zhang, R.; Jiang, Q. Cooperation and decision making in a two-sided market motivated by the externality of a third-party social media platform. Ann. Oper. Res. 2022, 316, 117–142. [Google Scholar] [CrossRef]
- Zhao, Y.; Shi, B. Incentive and Coordination in the Two-sided market: Evidence from the P2P lending market. Discret. Dyn. Nat. Soc. 2021, 2021, 9240374. [Google Scholar] [CrossRef]
- Elżbieta, R.M. Real options bargaining games. Quant. Financ. Econ. 2019, 3, 624–644. [Google Scholar]
- Song, F.; Hu, X.; Li, J.; Watson, M.A. Altruistic punishment, status conflict, and knowledge sharing in the workplace: An evolutionary game model. Discret. Dyn. Nat. Soc. 2021, 2021, 551625. [Google Scholar] [CrossRef]
- Wang, X.; Zhang, Z.; Guo, Z.; Su, C.; Sun, L.H. Energy structure transformation in the context of carbon neutralization: Evolutionary game analysis based on inclusive development of coal and clean energy. J. Clean. Prod. 2023, 398, 136626. [Google Scholar] [CrossRef]
- Zhang, L.; Song, Y.; Zhang, M.; Wu, W. Evolutionary game analysis of strategic interaction of environmental regulation among local governments. Environ. Dev. 2023, 45, 100793. [Google Scholar] [CrossRef]
- Zhang, Y.; Wang, S.; Yao, J.; Tong, R. The impact of behavior safety management system on coal mine work safety: A system dynamics model of quadripartite evolutionary game. Resour. Policy 2023, 82, 103497. [Google Scholar] [CrossRef]
- Liu, W.; Xia, L.Q. An evolutionary behavior forecasting model for online lenders and borrowers in Peer-to-Peer lending. Asia-Pac. J. Oper. Res. 2017, 34, 1740008. [Google Scholar] [CrossRef]
- Friedman, D. Evolutionary games in economics. Econometrica 1991, 59, 637–666. [Google Scholar] [CrossRef]
- Friedman, D. On economic applications of evolutionary game theory. J. Evol. Econ. 1998, 8, 15–43. [Google Scholar] [CrossRef]
- Simon, H.A. A behavioral model of rational choice. Q. J. Econ. 1955, 69, 99–118. [Google Scholar] [CrossRef]
- Zhang, C.X.; Cai, Y.H.; Liu, C. Pricing strategy of P2P online lending platforms for competitive conditions. J. Tsinghua Univ. (Sci. Technol.) 2015, 55, 470–474. [Google Scholar]
- Liu, W.; Xia, L.Q.; Wang, Y.L. Analysis on the behavior of internet finance platform and regulation strategy under dynamic punishment mechanism based on the evolutionary game theory. Syst. Eng. Theory Pract. 2017, 37, 1113–1122. [Google Scholar]
- Yu, L.; Kang, C.H.; Wang, L. Study on internet financial supervision game: A case study of the P2P net loan mode. Nankai Econ. Stud. 2015, 5, 126–139. [Google Scholar]
Disclaimer/Publisher’s Note: The statements, opinions and data contained in all publications are solely those of the individual author(s) and contributor(s) and not of MDPI and/or the editor(s). MDPI and/or the editor(s) disclaim responsibility for any injury to people or property resulting from any ideas, methods, instructions or products referred to in the content. |
© 2023 by the authors. Licensee MDPI, Basel, Switzerland. This article is an open access article distributed under the terms and conditions of the Creative Commons Attribution (CC BY) license (https://creativecommons.org/licenses/by/4.0/).







