Abstract
In this paper, we study the creep phenomena for self-similar models of viscoelastic materials and derive a generalization of the Kelvin–Voigt model in the framework of fractal continuum calculus. Creep compliance for the Kelvin–Voigt model is extended to fractal manifolds through local fractal-continuum differential operators. Generalized fractal creep compliance is obtained, taking into account the intrinsic time and the fractal dimension of time-scale . The model obtained is validated with experimental data obtained for resin samples with the fractal structure of a Sierpinski carpet and experimental data on rock salt. Comparisons of the model predictions with the experimental data are presented as the curves of slow continuous deformations.
Keywords:
fractal creep; viscoelastic materials; fractal continuum derivative; Kelvin–Voigt creep equation; Hausdorff dimension; chemical dimension MSC:
26A33
1. Introduction
Fractal geometry deals with bodies whose geometrical shapes are very complicated [1], where their zigzag trajectories or discontinuities are difficult to describe, as they do not conform to the notions of integrability and differentiability in the conventional sense [2]: for example, coastlines, mountains, clouds, broccoli, and so on.
These bodies were defined by Mandelbrot [3] as fractals, which almost always have a fractional Hausdorff dimension that exceeds its topological dimension [4].
The Hausdorff dimension can be defined as a measure of the complexity or roughness of these kind of shapes and can be treated as the degree to which a set embedded in the Euclidean space fills it. The mathematical definition of a Hausdorff dimension was introduced by Besicovitch based on the works of Felix Hausdorff and Carathódory [5]; however, it is difficult to determine in real-life fractals. Therefore, in practice, the box-counting dimension [4], which is a numerical approximation of the Hausdorff dimension, is used. Some practical implications of the Hausdorff dimension of fractals in civil, hydrology and biomechanical engineering can be found in [6,7,8,9].
However, to characterize the fractal topology of a set and take into account its ramification, connectivity, lacunarity, and dynamic properties, it is necessary to consider some other fractal dimensional numbers [10]. It has been argued that the main topological features can be quantified by the following six independent dimensional numbers [11]: the topological dimension , the Hausdorff dimension , the topological Hausdorff dimension [12], the chemical dimension [13], the spectral dimension [14], the Hausdorff dimension of random walk [15], the shortest (minimal) path dimension between two randomly chosen points on a fractal [16], and the spatial degree of freedom dimension [17].
Different physical phenomena were studied in fractal materials, including the diffusion processes in the work of Golmankhaneh and Ochoa-Ontiveros [18] and fluid flow in [19] by Yang et al.; Konas et al. [20] investigated the correlation between the fractal dimension of the wood anatomy structure and impact energy; and Pan et al. [21] developed a fractal prediction model of dry friction of rough surfaces, to mention a few. In these studies, different fractional operators have been proposed [22,23,24] and efficiently used [25] to describe in detail many physical phenomena.
In this paper, we study the creep behavior, which is defined as the slow continuous deformation of a material under constant stress under the assumption that it can be well described when the set of dimensional numbers of the domain under study is determined.
Creep is a special issue of the time-dependent behavior of materials [26], which occurs under a constant stress [27]. It has become of great importance, especially for polymers. One of the most popular models to describe it is the conventional Kelvin–Voigt creep equation defined as [28]
where is the strain, is the magnitude of applied stress, E represents the elastic modulus of the material and is the coefficient of viscosity. Then, the creep strain can be obtained as
Different experimental studies (Rieth [29], Yang et al. [30], Farfan-Cabrera and Pascual-Francisco [31]) and numerical works [32,33] have been carried out on Euclidean samples to validate the Kelvin–Voigt model.
Moreover, the creep properties of a viscoelastic 3D-printed sample with a Sierpinski carpet structure have been experimentally studied by Pascual-Francisco et al. [34] utilizing standard calculus on samples with fractal geometry. It was found that the creep Poisson’s ratio decreases in the fractal samples, and their stiffness is reduced.
On the other hand, Zhang et al. [35], Ribeiro et al. [36] and Bouras and Vrcelj [37] proposed different extended creep models using fractional calculus. Likewise, Garra et al. [38] developed a new generic Lomnitz logarithmic creep law via Hadamard fractional calculus. Lastly, fractal approaches to characterize creep modulus and compliance were introduced by Cai et al. [39], Wang et al. [40] and Yin et al. [41] from the models of Hausdorff derivative proposed by Chen [42].
In the early years of this century, Carpinteri et al. [43,44] suggested the well-celebrated Carpinteri’s fractal consisting of the Cartesian product of a Cantor set and the Sierpinski carpet. It is an alternative model to describe the mechanical behavior in a virtual fractal continuum. After that, the concept of a fractal continuum using the approximation of non-differentiable functions defined on fractals by differentiable analytic envelopes was introduced by Tarasov [45]. Moreover, local and non-local methodologies of fractional calculus in continuum mechanics have been formulated by several authors: Carpinteri [46,47], Drapaca [48], Ostoja-Starzewski [49,50], Balankin [51,52,53], Sumelka [54], Tarasov [55,56], and Lazopoulos [57], to name a few. In particular, in this paper, the model introduced by Balankin and Elizarraraz [51,52], called fractal continuum calculus, -CC is applied. -CC takes into account the fractal geometry and the fractal topology through the different numbers of fractal dimensions or specific relations between them, which provide additional details in the description of physical phenomena that occur in the fractal under study.
Methodologies that use only the Hausdorff dimension sometimes can lead to very different solutions of the same problem for physical fractal domains. Considering additional fractal dimensional numbers (as in -CC), it is possible to avoid this risk, since in this case, the topological, metrological, morphological and topographic properties are taken into account. In Figure 1, an example of fractals having the same value of Hausdorff dimension with different connectivity, ramification and degrees of freedom is presented.
Figure 1.
Example of fractals with same Hausdorff dimension and different values of and .
A generalized formulation of the Kelvin–Voigt creep equation from ordinary to fractal calculus to depict the creep behavior in viscoelastic materials is developed in this work. In the analysis, six basic fractal dimensional numbers of fractal domain are determined so that the developed formulation includes its fractal topology.
The goodness and effectiveness of the suggested fractal model are demonstrated through a series of experimental creep tests carried out on samples with a fractal structure similar to the Sierpinski carpet, whose fractal dimensional numbers are known.
The manuscript is organized as follows: An overview of fractal continuum calculus is provided in Section 2. A fractal creep model developed using fractal continuum calculus is presented in Section 3. Section 4 is devoted to validating the fractal formulation obtained, comparing it with the experimental results. Section 5 presents the analysis and discussion of results. The paper finished with the conclusions in Section 6.
2. Fractal Continuum Calculus
A fractal set is not completely characterized by its Hausdorff (or box-counting) dimension. A more complete description of a fractal can be obtained using additional fractal dimensional numbers (see Table 1) that characterize the ramification, connectivity, harmonical and topological properties of matter.
Table 1.
Fractal dimensional numbers and scaling exponents.
Although the standard and fractional calculus remain suitable in many cases, fractal calculus provides a specialized mathematical framework developed for equations with fractal solutions.
In this regard, the fractal continuum calculus is an approach designed to describe the behavior of heterogeneous materials with fractal properties, which consists of the mapping of a fractal body from integer coordinates to the fractional coordinates as it is geometrically illustrated in Figure 2. If the fractal domain is path connected, it implies that , and the number of mutually orthogonal fractional coordinates is determined by the integer part of in the same way as the topological dimension d determines the number of mutually orthogonal Cartesian coordinates in a d-dimensional domain.
Figure 2.
Mapping of the classical Menger sponge into fractal continuum whose cross-section area dimension is equal to the Hausdorff dimension of a classical Sierpinski carpet; meanwhile, and the Hausdorff dimension of fractional coordinate of order , , is defined as .
In the -CC, the infinitesimal volume element is defined as , where and are the infinitesimal area elements on the intersection between and a two-dimensional plane normal to the k-axis and , respectively, is the density of admissible states in the plane of this intersection, and .
Then, the measure in is given by , , and [58].
The fractal continuum norm is given by , where , and the mapping of the integer coordinates to the fractal coordinates is defined as
here, ℓ is the lower cutoff of fractality, denotes the Hausdorff dimension in each fractal direction of order , and denotes the Hausdorff dimension of a cross-section of the fractal body (see the integer and fractal configurations sketched in Figure 2). The distance between two points is given by , where , and the fractal continuum gradient is defined as , where are basis vectors and
is the spatial fractal continuum derivative. The divergence operator is and the fractal continuum Laplacian in the integer space is defined as with .
On the other hand, the temporal fractal continuum derivative defined in the -CC approach is suggested by Balankin and Elizarraraz [52] as
where is the intrinsic time and is the intrinsic time exponent. In reference [17], the following relation was derived:
where is the number of effective spatial degrees of freedom of a random walker on the studied fractal.
The derivatives defined above can be calculated in the conventional sense and employed to generalize equations and formulations of material scale invariants from conventional to fractal calculus. This methodology was successfully utilized in several areas of science and technology by Balankin et al. [59], Balankin [60], Samayoa et al. [61,62,63] and Damián-Adame et al. [64].
However, there are several methodologies of fractal continua with different fractional differential operators whose functions are differentiable in a standard sense. So, the non-standard local derivatives in the fractal continuum framework can be expressed in terms of standard derivatives. In Table 2, some examples of alternative definitions of local fractional derivatives within the fractal continuum approach are shown.
Table 2.
Local fractional derivatives in fractal continuum approach.
3. Fractal Continuum Kelvin–Voigt Creep Model
Constitutive equation of Kelvin–Voigt creep in the mechanics of fractal continuum are obtained under the analogous assumptions like those obtained in conventional calculus (for details see [28]), where the fractal Kelvin–Voigt model can be expressed in terms of the temporal fractal continuum derivative using Equation (5), so we have
and the fractal Kelvin–Voigt model can be written according to the standard time derivatives using the proportionality constant as follows:
so, the creep strain is given by
where C is a real constant.
Note that Equation (7) reduces to the conventional Kelvin–Voigt creep equation when . Moreover, Equation (8) coincides with the standard creep strain described by Equation (2) when the constant C is defined as . Therefore, from Equation (8) and the above-mentioned observations, the fractal continuum creep strain can be obtained as
and the creep compliance of the fractal continuum Kelvin–Voigt model can be obtained as
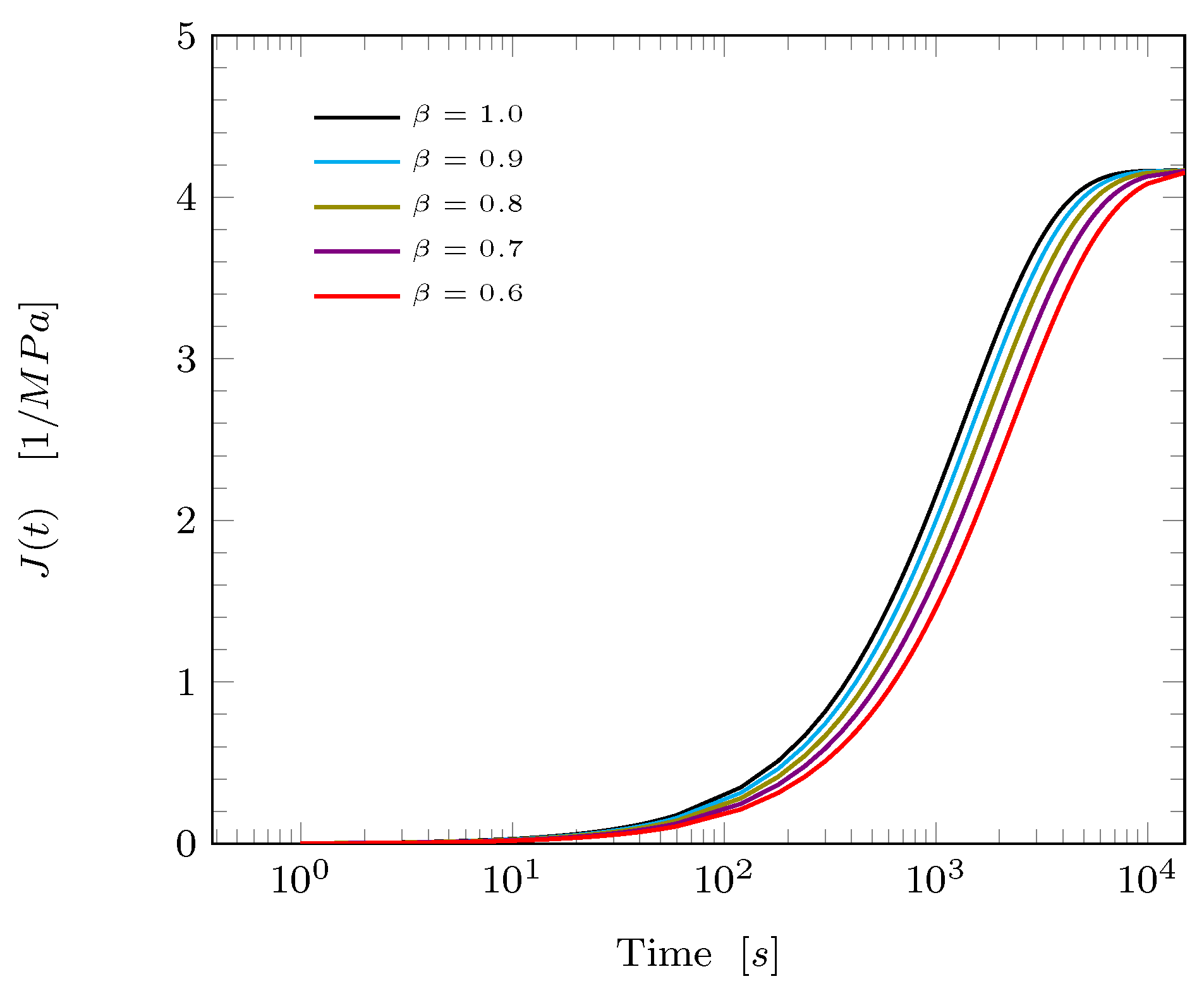
A mechanical picture of this relationship is presented in Figure 3, which predicts its behavior for different values of .
Figure 3.
Predictions from fractal creep compliance for several -values ().
The main result of this work is Equation (8), which is a generalized equation of the Kelvin–Voigt creep model in the fractal space–time continuum that considers the fractal topology of viscoelastic materials through the (intrinsic time) and (intrinsic time exponent) as well as the fractal continuum creep strain and fractal continuum creep compliance described by Equations (10) and (11), respectively.
4. Experimental Validation of Fractal Continuum Creep Model
The objective of this section is to experimentally validate the fractal continuum Kelvin–Voigt creep equations obtained in the previous section, for samples with the fractal structure of a classical Sierpinski carpet.
4.1. Sierpinski Carpet
The Sierpinski carpet is a self-similar fractal, and it is a two-dimensional version of the Cantor middle-ℓ set . Then, can be constructed by an iterative process from unit square . The initial square is divided into sub-squares of equal size, and the interior of sub-squares are removed. Iterating this process ad infinitum, is obtained, and its Hausdorff dimension is defined as [68]
where is the number of boxes covering the fractal mass of the Sierpinski carpet, and is the number of deleted boxes of the fractal mass. Note that is the size of the sub-squares, which are eliminated in the k-th iteration of the corresponding Sierpinski carpet.
The connectivity of a Sierpinki carpet is determined by its chemical dimension, which can be obtained by the scaling law . In the above-mentioned scaling law, denotes the number of -dimensional boxes of size needed to cover the fractal according to the scale invariance principle, where is measured with respect to the geodesic metric over the Sierpinski carpet. In this context, Cristea [69] proved that for the Sierpinski carpet, the chemical and Hausdorff dimensions are equal (), as its Euclidean and geodesic metrics are equivalent.
On the other hand, the density of Sierpinski carpet vibration modes scales with frequency as , where represents the spectral dimension determining scaling properties of the eigenvalues of the Laplacian defined on . Moreover, the spectral dimension of Sierpinki carpet can be computed as [70]
It is well known that for the Sierpinski carpet, its Hausdorff dimension is equal to its chemical dimension (), which implies that its fractal dimension of the shortest path is equal to one as [15].
In Table 3, the fractal dimensional numbers for a classical Sierpinski carpet are presented; meanwhile, in Figure 4, the experimental set up of samples with Sierpinski carpet configurations is presented.
Table 3.
Fractal dimensions characterizing Sierpinski carpet .
Figure 4.
Sample of Sierpinski carpet-like structure, (a) fifth iteration for , (b) self-similar part of the Sierpinski carpet with five squares of the third iteration, (c) tensile test on a dog bone sample of the constituent material, and (d) constituent material with fractal geometry.
4.2. Experimental Details
Resione F69 flexible resin [34] samples used for the validation of proposed model were fabricated with fractal geometry extracted from the Sierpinski carpet of the fifth iteration with the mechanical properties presented in Table 4. At least 10 samples were used in the experimental test.
Table 4.
Mechanical properties of fractal material.
All samples analyzed had the shape of rectangular cuboids of thickness mm with length mm along the -axis and a height of mm in the -axis direction. In Figure 4b, it can be seen that the designed sample is part of the fifth iteration of the basic Sierpinski carpet, constructed with 5 squares, and each one of them is of the third iteration. By the self-similarity properties, the fractal samples have the same Hausdorff dimension as the entire Sierpinski carpet.
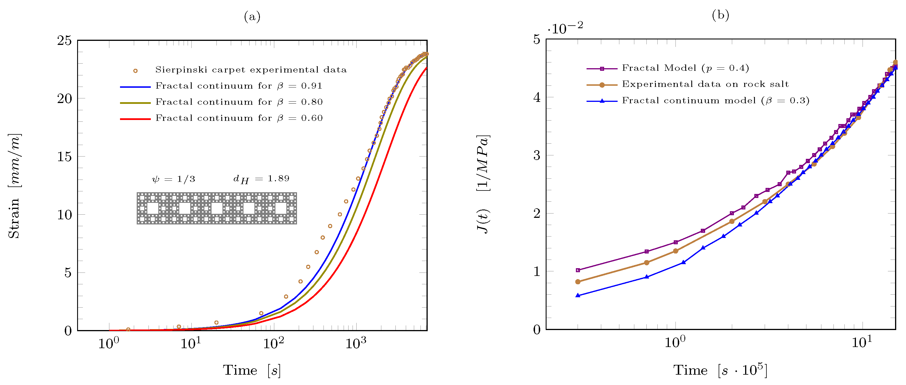
Figure 5a presents the graph of the experimental values of for the period of time up to 7200 s.
5. Theoretical and Experimental Results
Figure 3 shows curves for fractal continuum creep compliance with several values of . It is a straightforward matter to see that the value of is becoming lower as the fractal dimension of the time scale () decreases; however, all fractal creep compliances in Figure 5b converge for a large period of time ( s). Note that when , the creep compliance of the fractal continuum Kelvin–Voigt model reduces to standard form. The graph inset in Figure 3 displays a close up of the creep behavior for values of whose curves match with the results reported in Figure 3 in [39].
In Figure 5a, the fractal creep model prediction obtained from Equation (10) with (see Table 3) is presented, and it is in a very good agreement with the experimentally obtained data from the samples with the classic Sierpinski carpet structure.
In addition, theoretical analysis with the model suggested in this work was carried out for the experimental data of creep behavior in rock salt published by Cristescu [71] in order to show its efficiency and precision with alternative data to our study, which can be observed in Figure 5b. It can also be observed that the parameters p and for both the fractal [39] and fractal continuum Kelvin–Voigt models are very similar. It can be concluded that the parameter is an inherent property related to the fractal features of the material under study, as the order of the fractal continuum derivative is linked to Hausdorff, spectral and chemical dimensions as well as to the degrees of freedom of the fractal object.
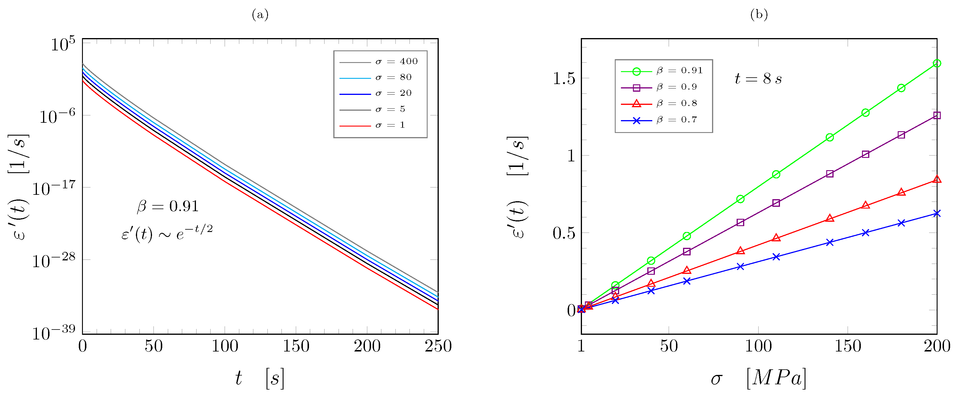
On the other hand, it was found that the fractal continuum creep strain rate
for different applied stresses has the same slope. A linear regression analysis employing the least squares method shows that with . Meanwhile, that increases linearly as increases (see Figure 6 for data). This behavior is consistent with the experimental and numerical results reported in Rieth [29] and [72], respectively.
Figure 6.
Fractal continuum creep strain rate as function of (a) time for and (b) applied stress for several values of .
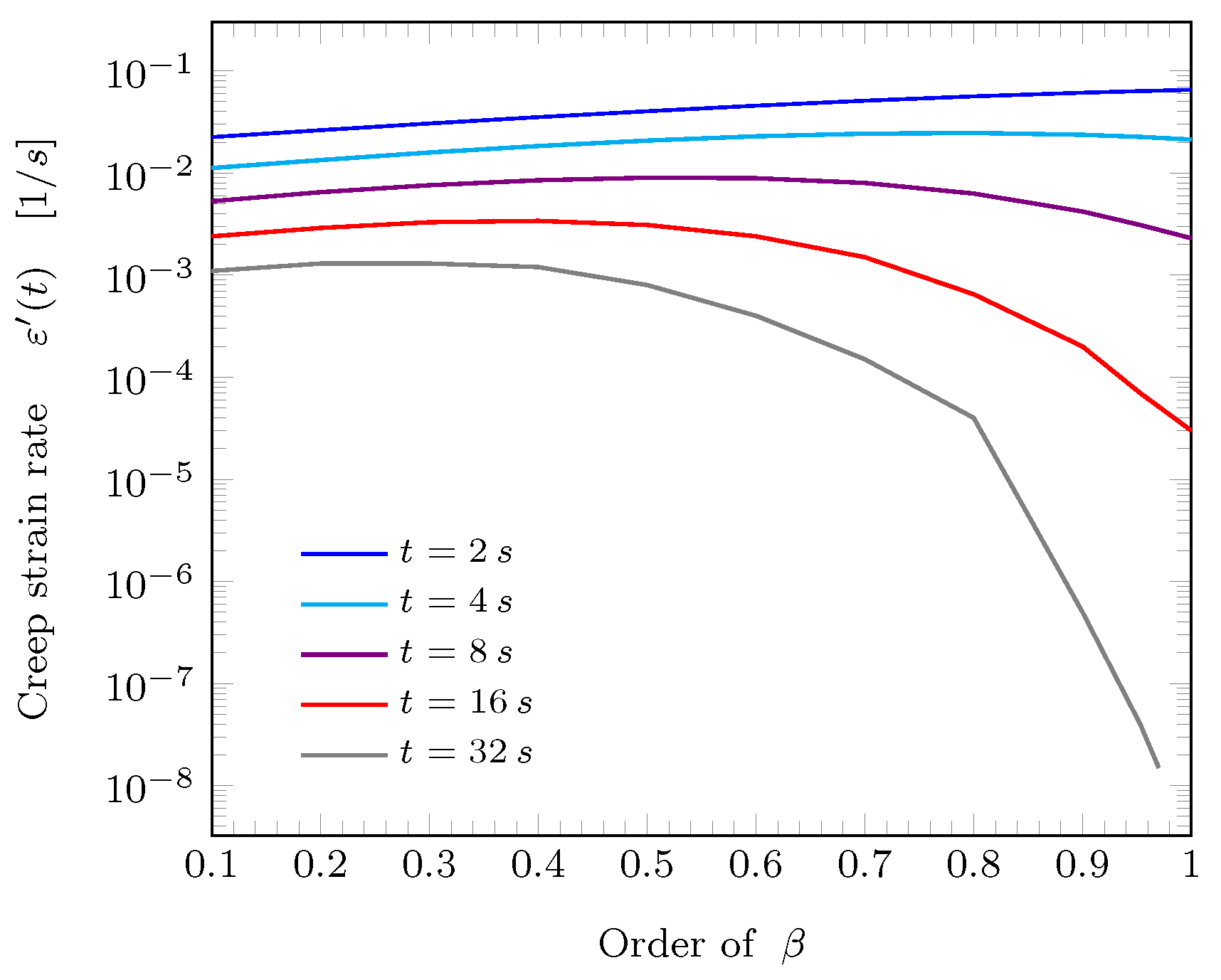
In Figure 7, a graph of as a function of is presented to study the influence of fractality on the fractal continuum creep strain rate along specific times. There is the initial instantaneous strain in Figure 7 that implies an increment in ; this phenomenon was extensively studied by Zhang et al. [35]. However, for s, the creep strain rate decreases as the order of increases. The last means that when the fractal material under study has more mass characterized by its , then its decreases, as it is observed in Figure 7.
Figure 7.
Creep strain rate as a function of the order of fractal dimension of time scale for several values of time.
The obtained model has a resemblance to the results acquired in models that incorporate fractional geometry. However, it includes the topology and fractal geometry through the different Hausdorff dimensions of the fractal materials under study. Moreover, it captures the material’s heterogeneity using the alpha parameter (which depends on its fractal geometry and topology) and its dynamical characteristics through the spectral dimension.
Consequently, the engineering implications of a generalized fractal continuum Kelvin–Voigt creep equation that extends the standard equation to fractal manifolds is able to describe the creep phenomena in viscoelastic materials that have non-classical characteristics, possess scale invariance and cannot be described using conventional calculus. It is worth noting that the proposed model contains the fractal parameter , which is an additional parameter not included in the preceding fractional models.
6. Conclusions
A fractal generalization of the standard Kelvin–Voigt creep model is obtained using the fractal continuum approach.
The concept of a fractal continuum Kelvin–Voigt creep solution is established, where the discontinuities in fractal domains are mapped to the continua domains in the fractal continuum space–time using local fractional differential operators and proportionality constants given in Equations (3) and (5) such that the creep phenomena can be described in complex and heterogeneous domains.
The slow continuous deformation given by Equation (10) is linked with the topology and fractal geometry of viscoelastic fractal materials with the scaling exponent , which depends on the Hausdorff dimension of the self-similar model of viscoelastic material and its chemical dimension. In the special case of , Equation (10) reduces to Equation (2), as it is shown in Figure 3.
The creep strain rate for the fractal continuum case is presented in Figure 6, where its behavior is shown. It was observed that if the order of increases, the decreases. The effects of the fractal geometry and topology of domain under study are obtained introducing the parameter , which depends on the Hausdorff, chemical and spectral dimensions.
The developed fractal creep model provides a good prediction for the creep strain behavior in viscoelastic materials with a self-similar structure. The model obtained is a generalized version of the standard Kelvin–Voigt creep model, which represents a particular case when .
Author Contributions
Writing—original draft preparation, D.S.; Writing—review and editing, E.R.d.L. and J.B.P.-F.; Conceptualization, A.K. and D.S.; Methodology, A.K. and I.H.; Software, E.R.d.L. and I.H.; Formal analysis, D.S. and A.K.; Visualization, J.B.P.-F.; Supervision, D.S. and A.K. All authors have read and agreed to the published version of the manuscript.
Funding
This work was supported by the Instituto Politécnico Nacional under the research SIP-IPN grants No. 20240111 and 20241354.
Data Availability Statement
All data are contained within the paper, and a report of any other data is not included.
Acknowledgments
We would like to thank Leonardo Cañamar for fruitful and clarifying discussions. One author (I. Hernández) wishes to thank the Conahcyt for the financial support during his doctoral studies in ESIME-Zacatenco, Instituto Politécnico Nacional, México D.F. 07738, México.
Conflicts of Interest
The authors declare no conflicts of interest.
References
- Liu, Y.; Shu, D.W.; Lu, H.; Lau, D.; Fu, Y.Q. 3D printable spatial fractal structures undergoing auxetic elasticity. Extrem. Mech. Lett. 2024, 66, 102112. [Google Scholar] [CrossRef]
- Golmankhaneh, A.K.; Jørgensen, P.E.; Schlichtinger, A. Einstein field equations extended to fractal manifolds: A fractal perspective. J. Geom. Phys. 2024, 196, 105081. [Google Scholar] [CrossRef]
- Mandelbrot, B. The Fractal Geometry of Nature; WH Freeman New York: New York, NY, USA, 1982. [Google Scholar]
- Falconer, K. Fractal Geometry: Mathematical Foundations and Applications; John Wiley and Sons, Ltd.: Chichester, UK, 2014. [Google Scholar]
- Besicovitch, A. Sets of Fractional Dimensions (IV): On Rational Approximation to Real Numbers. J. Lond. Math. Soc. 2019, s1–s9, 126–131. [Google Scholar] [CrossRef]
- Rostami, H.; Najafabadi, M.; Ganji, D. Analysis of Timoshenko beam with Koch snowflake cross-section and variable properties in different boundary conditions using finite element method. Adv. Mech. Eng. 2021, 13, 1–12. [Google Scholar] [CrossRef]
- Samayoa, D.; Mollinedo, H.; Jiménez-Bernal, J.; Gutiérrez-Torres, C. Effects of Hausdorff Dimension on the Static and Free Vibration Response of Beams with Koch Snowflake-like Cross Section. Fractal Fract. 2023, 7, 153. [Google Scholar] [CrossRef]
- Prieto-Vázquez, A.; Cuautle-Estrada, A.; Grave-Capistrán, M.; Ramírez, O.; Torres-SanMiguel, C. Fractal Analysis and FEM Assessment of Soft Tissue Affected by Fibrosis. Fractal Fract. 2023, 7, 661. [Google Scholar] [CrossRef]
- Maramathas, A.; Boudouvis, A. A “fractal” modification of Torricelli’s formula. Hydrogeol. J. 2009, 18, 311–316. [Google Scholar] [CrossRef]
- Balankin, A.S. Fractional space approach to studies of physical phenomena on fractals and in confined low-dimensional systems. Chaos Solitons Fractals 2020, 132, 109572. [Google Scholar] [CrossRef]
- Patino-Ortiz, J.; Patino-Ortiz, M.; Martínez-Cruz, M.A.; Balankin, A. A Brief Survey of Paradigmatic Fractals from a Topological Perspective. Fractal Fract. 2023, 7, 597. [Google Scholar] [CrossRef]
- Balka, R.; Buczolich, Z.; Elekes, M. A new fractal dimension: The topological Hausdorff dimension. Adv. Math. 2015, 274, 881–927. [Google Scholar] [CrossRef]
- Balankin, A.; Patino, J.; Patino, M. Inherent features of fractal sets and key attributes of fractal models. Fractals 2022, 30, 2250082. [Google Scholar] [CrossRef]
- Mosco, U. Invariant field metrics and dynamical scalings on fractals. Phys. Rev. Lett. 1997, 79, 4067–4070. [Google Scholar] [CrossRef]
- Havlin, S.; Ben-Avraham, D. Diffusion in disordered media. Phi 2002, 52, 187–292. [Google Scholar] [CrossRef]
- Bunde, A.; Havlin, S. A brief introduction to fractal geometry. In Fractals in Science; Bunde, A., Havlin, S., Eds.; Springer: New York, NY, USA, 1994; pp. 1–25. [Google Scholar]
- Balankin, A.S. Effective degrees of freedom of a random walk on a fractal. Phys. Rev. E 2015, 92, 062146. [Google Scholar] [CrossRef] [PubMed]
- Golmankhaneh, A.K.; Ochoa-Ontiveros, L. Fractal calculus approach to diffusion on fractal combs. Chaos Solitons Fractals 2023, 175, 114021. [Google Scholar] [CrossRef]
- Yang, S.; Wang, L.; Zhang, S. Conformable derivative: Application to non-Darcian flow in low-permeability porous media. Appl. Math. Lett. 2018, 79, 105–110. [Google Scholar] [CrossRef]
- Konas, P.; Buchar, J.; Severa, L. Study of the correlation between the fractal dimension of wood anatomy structure and impact energy. Eur. J. Mech.-A/Solids 2009, 248, 545–550. [Google Scholar] [CrossRef]
- Pan, W.; Li, X.; Wang, L.; Guo, N.; Mu, J. Anormal contact stiffness fractal prediction model of dry-friction rough surface and experimental verification. Eur. J. Mech.-A/Solids 2017, 66, 94–102. [Google Scholar] [CrossRef]
- Kukushkin, M.V. Spectral properties of fractional differentiation operators. Electron. J. Differ. Equ. 2018, 2018, 1–24. [Google Scholar]
- Kukushkin, M.V. Abstract Fractional Calculus for m-accretive Operators. Int. J. Appl. Math. 2021, 34, 1–41. [Google Scholar] [CrossRef]
- Sara, A.; Ajay, K.; Sunil, K.; Badr-Saad, T. Chaotic Behavior of financial dynamical system with generelized fractional operator. Fractals 2023, 31, 2340056. [Google Scholar] [CrossRef]
- Kukushkin, M.V. Cauchy Problem for an Abstract Evolution Equation of Fractional Order. Fractal Fract. 2023, 7, 111. [Google Scholar] [CrossRef]
- Ghorbanpour Arani, A.; Kolahchi, R.; Mosallaie Barzoki, A.; Loghman, A. The effect of time-dependent creep on electro-thermo-mechanical behaviors of piezoelectric sphere using Mendelson’s method. Eur. J. Mech.-A/Solids 2013, 37, 318–328. [Google Scholar] [CrossRef]
- Yao, H.; Zhao, Y.; Jia, X.S.J.; Xiang, Z. On the applicability of boundary condition based tensile creep model in prediction long-term creep strengths and lifetimes of engineering alloys. Eur. J. Mech.-A/Solids 2019, 73, 56–66. [Google Scholar] [CrossRef]
- Findley, W.; Lai, J.; Onaran, K. Creep and Relaxation of Nonlinear Viscoelastic Materials; Dover Publications: New York, NY, USA, 1976. [Google Scholar]
- Rieth, M. A comprising steady-state creep model for the austenitic AISI 316 L(N) steel. J. Nucl. Mater. 2007, 367–370, 915–919. [Google Scholar] [CrossRef]
- Yang, C.; Daemen, J.; Yin, J.H. Experimental investigation of creep behavior of salt rock. Int. J. Rock Mech. Min. Sci. 1999, 36, 233–242. [Google Scholar] [CrossRef]
- Farfan-Cabrera, L.; Pascual-Francisco, J. An Experimental Methodological Approach for Obtaining Viscoelastic Poisson’s Ratio of Elastomers from Creep Strain DIC-Based Measurements. Exp. Mech. 2022, 62, 287–297. [Google Scholar] [CrossRef]
- Peng, H.; Liu, Y.; Chen, H. Numerical schemes based on the stress compensation method framework for creep rupture assessment. Eur. J. Mech.-A/Solids 2020, 83, 104014. [Google Scholar] [CrossRef]
- Niccolini, G.; Rubino, A.; Carpinteri, A. Dimensional transitions in creeping materials due to nonlinearity and microstructural disorder. Chaos Solitons Fractals 2020, 141, 110345. [Google Scholar] [CrossRef]
- Pascual-Francisco, J.; Susarrey-Huerta, O.; Farfan-Cabrera, L.; Flores-Hernández, R. Creep Properties of a Viscoelastic 3D Printed Sierpinski Carpet-Based Fractal. Fractal Fract. 2023, 7, 568. [Google Scholar] [CrossRef]
- Zhang, Y.; Liu, X.; Yin, B.; Luo, W. A Nonlinear Fractional Viscoelastic-Plastic Creep Model of Asphalt Mixture. Polymers 2021, 13, 1278. [Google Scholar] [CrossRef] [PubMed]
- Ribeiro, J.G.T.; de Castro, J.T.P.; Meggiolaro, M.A. Modeling concrete and polymer creep using fractional calculus. J. Mater. Res. Technol. 2021, 12, 1184–1193. [Google Scholar] [CrossRef]
- Bouras, Y.; Vrcelj, Z. Fractional and fractal derivative-based creep models for concrete under constant and time-varying loading. Constr. Build. Mater. 2023, 367, 130324. [Google Scholar] [CrossRef]
- Garra, R.; Mainardi, F.; Spada, G. A generalization of the Lomnitz logarithmic creep law via Hadamard fractional calculus. Chaos Solitons Fractals 2017, 102, 333–338. [Google Scholar] [CrossRef]
- Cai, W.; Chen, W.; Xu, W. Characterizing the creep of viscoelastic materials by fractal derivative models. Int. J. Non-Linear Mech. 2016, 87, 58–63. [Google Scholar] [CrossRef]
- Wang, R.; Zhuo, Z.; Zhou, H.; Liu, J. A fractal derivative constitutive model for three stages in granite creep. Results Phys. 2017, 7, 2632–2638. [Google Scholar] [CrossRef]
- Yin, Q.; Dai, J.; Dai, G.; Gong, W.; Zhang, F.; Zhu, M. Study on Creep Behavior of Silty Clay Based on Fractal Derivative. Appl. Sci. 2022, 12, 8327. [Google Scholar] [CrossRef]
- Chen, W. Time-space fabric underlying anomalous diffusion. Chaos Soliton Fractals 2006, 28, 923–929. [Google Scholar] [CrossRef]
- Carpinteri, A.; Chiaia, B.; Cornetti, P. A fractal theory for the mechanics of elastic materials. Mater. Sci. Eng. A 2004, 365, 235–240. [Google Scholar] [CrossRef]
- Carpinteri, A.; Chiaia, B.; Cornetti, P. A disordered microstructure material model based on fractal geometry and fractional calculus. ZAMM · Z. Angew. Math. Mech 2004, 84, 128–135. [Google Scholar] [CrossRef]
- Tarasov, V.E. Continuous medium model for fractal media. Phys. Lett. A 2005, 336, 167–174. [Google Scholar] [CrossRef]
- Carpinteri, A.; Pietro, C.; Sapora, A.; Di Paola, M.; Massimiliano, Z. Fractional calculus in solid mechanics: Local versus non-local approach. Phys. Scr. 2009, 2009, 014003. [Google Scholar] [CrossRef]
- Sapora, A.; Cornetti, P.; Carpinteri, A. Wave propagation in nonlocal elastic continua modelled by a fractional calculus approach. Commun. Nonlinear Sci. Numer. Simul. 2013, 18, 63–74. [Google Scholar] [CrossRef]
- Drapaca, C.; Sivaloganathan, S. A Fractional Model of Continuum Mechanics. J. Elast. 2012, 107, 105–123. [Google Scholar] [CrossRef]
- Li, J.; Ostoja-Starzewski, M. Fractal solids, product measures and fractional wave equations. Proc. R. Soc. A Math. Phys. 2009, 465, 2521–2536. [Google Scholar] [CrossRef]
- Li, J.; Ostoja-Starzewski, M. Micropolar mechanics of product fractal media. Proc. R. Soc. A 2022, 478, 20210770. [Google Scholar] [CrossRef]
- Balankin, A.S.; Elizarraraz, B.E. Hydrodynamics of fractal continuum flow. Phys. Rev. E 2012, 85, 025302. [Google Scholar] [CrossRef]
- Balankin, A.S.; Elizarraraz, B.E. Map of fluid flow in fractal porous medium into fractal continuum flow. Phys. Rev. E 2012, 85, 056314. [Google Scholar] [CrossRef]
- Balankin, A.; Baltasar, M. Vector differential operators in a fractional dimensional space, on fractals, and in fractal continua. Chaos Solitons Fractals 2023, 168, 113203. [Google Scholar] [CrossRef]
- Sumelka, W. Thermoelasticity in the Framework of the Fractional Continuum Mechanics. J. Therm. Stresses 2014, 37, 678–706. [Google Scholar] [CrossRef]
- Tarasov, V.E. General Fractional Vector Calculus. Mathematics 2021, 9, 2816. [Google Scholar] [CrossRef]
- Tarasov, V.E. General Non-Local Continuum Mechanics: Derivation of Balance Equations. Mathematics 2022, 10, 1427. [Google Scholar] [CrossRef]
- Lazopoulos, K. Non-local continuum mechanics and fractional calculus. Mech. Res. Commun. 2006, 33, 753–757. [Google Scholar] [CrossRef]
- Balankin, A.S. A continuum framework for mechanics of fractal materials I: From fractional space to continuum with fractal metric. Eur. Phys. J. B 2015, 88, 90. [Google Scholar] [CrossRef]
- Balankin, A.S.; Mena, B.; Patino, J.; Morales, D. Electromagnetic fields in fractal continua. Phys. Lett. A 2013, 377, 783–788. [Google Scholar] [CrossRef]
- Balankin, A.S. A continuum framework for mechanics of fractal materials II: Elastic stress fields ahead of cracks in a fractal medium. Eur. Phys. J. B 2015, 88, 91. [Google Scholar] [CrossRef]
- Samayoa, D.; Damián, L.; Kriyvko, A. Map of bending problem for self-similar beams into fractal continuum using Euler-Bernoulli principle. Fractal Fract. 2022, 6, 230. [Google Scholar] [CrossRef]
- Samayoa, D.; Alcántara, A.; Mollinedo, H.; Barrera-Lao, F.; Torres-SanMighel, C. Fractal Continuum Mapping Applied to Timoshenko Beams. Mathematics 2023, 11, 3492. [Google Scholar] [CrossRef]
- Samayoa, D.; Alvarez-Romero, L.; Jiménez-Bernal, J.; Damián Adame, L.; Kryvko, A.; Gutiérrez-Torres, C. Torricelli’s Law in Fractal Space–Time Continuum. Mathematics 2024, 12, 2044. [Google Scholar] [CrossRef]
- Damián-Adame, L.; Gutiérrez-Torres, C.C.; Figueroa-Espinoza, B.; Barbosa-Saldaña, J.G.; Jiménez-Bernal, J.A. A Mechanical Picture of Fractal Darcy’s Law. Fractal Fract. 2023, 7, 639. [Google Scholar] [CrossRef]
- Kolwankar, K.; Gangal, A. Fractional differentiability of nowhere differentiable functions and dimension. Chaos 1996, 6, 505–513. [Google Scholar] [CrossRef] [PubMed]
- Chen, W.; Liang, Y. New methodologies in fractional and fractal derivatives modeling. Chaos Solitons Fractals 2017, 102, 72–77. [Google Scholar] [CrossRef]
- Anderson, R.; Ulness, D. Properties of the Katugampola fractional derivative with potential application in quantum mechanics. J. Math. Phys. 2015, 56, 063502. [Google Scholar] [CrossRef]
- Cristea, L.L.; Steinsky, B. Connected generalised Sierpinski carpets. Topol. Its Appl. 2010, 157, 1157–1162. [Google Scholar] [CrossRef]
- Cristea, L. A geometric property of the Sierpiński carpet. Quaest. Math. 2005, 28, 251–262. [Google Scholar] [CrossRef]
- Balankin, A.S. The topological Hausdorff dimension and transport properties of Sierpinski carpets. Phys. Lett. A 2017, 381, 2801–2808. [Google Scholar] [CrossRef]
- Cristescu, N. A general constitutive equation for transient and stationary creep of rock salt. Int. J. Rock Mech. Min. Sci. Geomech. Abstr. 1993, 30, 125–140. [Google Scholar] [CrossRef]
- Pineda León, E.; Samayoa Ochoa, D.; Rodríguez-Castellanos, A.; Aliabadi, M.; Avalos Gauna, E.; Olivera-Villaseñor, E. Creeping analysis with variable temperature applying the boundary element method. Eng. Anal. Bound. Elem. 2012, 36, 1715–1720. [Google Scholar] [CrossRef]
Disclaimer/Publisher’s Note: The statements, opinions and data contained in all publications are solely those of the individual author(s) and contributor(s) and not of MDPI and/or the editor(s). MDPI and/or the editor(s) disclaim responsibility for any injury to people or property resulting from any ideas, methods, instructions or products referred to in the content. |
© 2024 by the authors. Licensee MDPI, Basel, Switzerland. This article is an open access article distributed under the terms and conditions of the Creative Commons Attribution (CC BY) license (https://creativecommons.org/licenses/by/4.0/).






