You are currently viewing a new version of our website. To view the old version click .
Mathematics
  • Article
  • Open Access

18 February 2025

Modified Information Criterion for Testing Changes in the Inverse Gaussian Degradation Process

,
and
School of Science, Hebei University of Science and Technology, Shijiazhuang 050018, China
*
Author to whom correspondence should be addressed.
This article belongs to the Special Issue Reliability Analysis and Statistical Computing

Abstract

The Inverse Gaussian process is a useful stochastic process to model the monotonous degradation process of a certain component. Owing to the phenomenon that the degradation processes often exhibit multi-stage characteristics because of the internal degradation mechanisms and external environmental factors, a change-point Inverse Gaussian process is studied in this paper. A modified information criterion method is applied to illustrate the existence and estimate of the change point. A reliability function is derived based on the proposed method. The simulations are conducted to show the performance of the proposed method. As a result, the procedure outperforms the existing procedure with regard to test power and consistency. Finally, the procedure is applied to hydraulic piston pump data to demonstrate its practical application.

1. Introduction

Degradations of multiple display devices, including plasma display panels (PDPs), liquid crystal displays (LCDs) and light-emitting diodes (LEDs), experience a rapid period in the initial stage because of the presence of residual impurities. Then, the degradation rate slows down, exhibiting multi-stage characteristics. Manufactures and researchers leverage these characteristics to enhance the quality of their products and conduct further studies. With the progress in scientific, technological and manufacturing fields, products with high reliability are becoming more common. For highly reliable products, obtaining their failure times through life tests is often time-consuming. Additionally, the reliability of the products is influenced by degradation index. For instance, the PDP fails to operate well as the luminosity crosses a certain threshold. So, an alternative is to analyze degradation data measured by degradation test. The degradation data serve as a valuable source for acquiring reliability information because degradation measurements are available for each individual unit before it reaches failure. For instance, Hong et al. [] used the degradation data to analyze the reliability of organic coatings. Extensive research on degradation processes is categorized into two primary areas: general path models and stochastic process models [].
The general path model utilizes general paths to define degradation processes. The data acquired directly from experiment are organized sequentially in time, forming a linear sequence known as a degradation path. This method offers a streamlined approach for the analysis of degradation data. The concept of the degradation path model was first introduced by Lu and Meeker [], and is defined as follows:
Y ( t ) = Λ ( t ) + ϵ ,
where Λ ( t ) represents the true degradation path, which is a function of parameters. The term ϵ denotes the measurement error, which is commonly assumed to be normally distributed, i.e., ϵ N ( 0 , σ 2 ) . The general path model is allowed to fit various degradation path. Different expressions of Λ ( t ) are assumed in [,,,]. However, as mentioned in Lu et al. [], Λ ( t ) is assumed when there is enough knowledge that suggests a specific form for the path. If the expression of Λ ( t ) is inappropriate, it will cause errors in the follow-up reliability analysis.
Unlike general path models focusing on the degradation paths themselves, stochastic process-based models concentrate on the product or component and regard degradation observations as time-varying quantities. The main stochastic process used in such models includes the Wiener process, the Gamma process, and the Inverse Gaussian (IG) process. Numerous studies leverage stochastic process models to analyze degradation data. For instance, Ye et al. [] applied the Wiener process with measurement errors to model degradation data from hard disk drives and LEDs, demonstrating this new procedure is useful for accelerated degradation data analyses and fits the data well. Giorgio et al. [] proposed a perturbed gamma process to analyze the fatigue crack degradation data. Fang et al. [] utilized a multivariate IG process to assess system reliability.
Because of the internal factors and external environment, most degradation processes exhibit the characteristic of multiple stages. As mentioned in Liang et al. [], most current models focus on a single-stage model, which conflicts with reality, because the degradation rate of initial stage is often different from the second stage. Only considering the single-stage model may lead to inaccurate estimates of the reliability. Furthermore, a multi-stage model is necessary for manufacturers to determine the required duration of the burn-in process to reduce the initial rapid failure phase before products are shipped to customers. Wang et al. [] introduced a two-stage degradation model to forecast the remaining lifespan of lithium-ion batteries. In another study, Wang et al. [] utilized a multi-stage degradation model for systems based on degradation branching processes. Additional references for this approach are shown in [,,]. Given the multi-stage characteristic of the degradation process, there is a transition point in the degradation rate, commonly referred to as the change point. Consequently, the problem is transformed into identifying the change point. Many researchers focus on modeling degradation processes, often assuming the change point is already known. However, in reality, the actual location of the change point is unknown, making it crucial to estimate its location for precise predictions. There are two main approaches for addressing the change-point issue: the Bayesian method and the likelihood method, which we will subsequently detail.
Bae et al. [] conducted research on the two-stage degradation issue for PDPs, employing a regression model with a change point to fit the two-phase degradation paths and utilizing Bayesian approach to estimate the model parameters. In another study, Bae et al. [] tackled the degradation and reliability challenges of organic light-emitting diodes (OLEDs), utilizing linear and bi-exponential models to construct the model and resolve the model parameters through Bayesian approach. These two studies, which integrate the general path model with Bayesian method, show that the bi-exponential model is more precise in predictions, while the regression model offers more insights into the change point. For more precise predictions of component reliability, stochastic process models are considered. Wang et al. employed the change-point Wiener process [] and the change-point Wiener process with measurement error [] to model the degradation of OLEDs, calculating the parameters within a hierarchical Bayesian framework. Their proposed models showed the lowest mean square prediction error compared to other existing models and provided more stable results through Bayesian method. The Wiener process is favored for its ability to handle both monotonic and non-monotonic degradation patterns. However, for certain practical issues, the Gamma process and the IG process are more logical, as they are only able to address monotonic degradation patterns. Wang et al. [] applied the change-point Gamma process to the degradation of metal oxide semiconductor field effect transistors (MOSFETs) exposed to ionizing radiation. Zhuang et al. [] analyzed the degradation process of lithium-ion battery through two-phase reparameterized IG process to obtain the adaptive replacement policy. Both of the studies use Markov Chain Monte Carlo (MCMC) algorithm for parameter estimation and change-point location determination and obtain desired outcomes. The Bayesian approach excels in solving these types of problems. However, assigning appropriate priors to model coefficients is challenging, and the computation of the posterior is often time-consuming, especially when the number of parameters is large. As an alternative to the Bayesian approach, the maximum likelihood method is also used.
Bae and Kvam [] suggested employing the expectation maximization to estimate the parameters in a change-point regression model to describe the degradation process of PDPs. Kong et al. [] applied maximum likelihood method to detect change points in the Wiener degradation process. Ling et al. [] utilized a Gamma process to model the degradation of LEDs, with the stochastic EM algorithm being used to estimate the parameters. Liang et al. [] analyzed the reliability of lithium batteries through a two-phase IG process model, whose parameters were estimated by an approach combining maximum likelihood method with the Genetic Algorithm. Nevertheless, maximum likelihood method is only able to estimate but not detect the changes.
In summary, it is challenging for Bayesian method to provide proper priors, while maximum likelihood method only estimates but not detects the changes. MCMC algorithm, which is frequently used in Bayesian method, takes much time to calculate the posteriors, because the number of the parameters is doubled in the change-point problem. To solve the challenges associated with the Bayesian approach and maximum likelihood method, this paper introduces a novel approach for change-point detection with the assistance of Modified Information Criterion (MIC), which is able to detect the changes while estimating the changes. Additionally, MIC method does not need to consider priors. The rest of this paper is organized as follows. The change-point IG process is proposed in Section 2. Section 3 thoroughly introduces the test statistics of modified information criterion for the model, and studies the reliability function of the process. In Section 4, numeric simulation of the proposed method is conducted, which shows the effectiveness of the method. The proposed model is applied to hydraulic piston pump data to illustrate the availability in Section 5. Section 6 concludes the findings and future studies.

2. Changes in Inverse Gaussian Process

2.1. Inverse Gaussian Process

Suppose { Z ( t ; μ , η ) , t 0 } is the Inverse Gaussian process; it has the following properties:
(1) Z ( 0 ; μ , η ) = 0 with probability one;
(2) Z ( t ; μ , η ) has stationary independent increments, which are independent of the starting point;
(3) At the time interval ( t , t + Δ t ) , the degradation increment of the Z ( t + Δ t ; μ , η ) Z ( t ; μ , η ) I G ( μ [ Λ ( t + Δ t ) Λ ( t ) ] , η [ Λ ( t + Δ t ) Λ ( t ) ] 2 ) , where IG denotes Inverse Gaussian distribution, μ and η are two parameters which are greater than 0 and Λ ( t ) is an increasing function relied on time t with its initial value is 0, i.e., Λ ( 0 ) = 0 . A linear function (i.e., Λ ( t ) = t ) is adopted in this article for the reason that it aligns with the general practice [].
Hence, the probability density function (PDF) of the increment Z ( t + Δ t ; μ , η ) Z ( t ; μ , η ) is
f ( Δ z ; μ , η , Δ t ) = η Δ t 2 2 π Δ z 3 exp η Δ t 2 ( Δ z μ Δ t ) 2 2 Δ z ( μ Δ t ) 2 ,
and the cumulative distribution function (CDF) of the increment is
F ( Δ z ; μ , η , Δ t ) = Φ η Δ t 2 Δ z Δ z μ Δ t 1 + exp 2 η Δ t μ Φ η Δ t 2 Δ z Δ z μ Δ t + 1 ,
where Φ ( · ) stands for the CDF for standard Gaussian distribution.

2.2. Inverse Gaussian Process with Change Points

Since the degradation process of many components often exhibits two-phase patterns over the testing period [], directly using the theory in Section 2.1 to fit the degradation process would result in errors, which would have implications for evaluations of reliability. Therefore, we consider an IG process with change points. We only consider the two-stage model with a change point. Multi-stage degradation paths are able to be regarded as multiple two-stage paths linked together. For multi-stage degradation model, the binary segmentation method [] is applied to transform the multi-stage model into two-stage model.
The Inverse Gaussian degradation process is measured at n different observation points. Let t = ( t 1 , t 2 , , t n ) be n observation time points, and t 0 = 0 denote the initial observation time. Denote z = ( z 1 , z 2 , , z n ) , with n being the observation degradations at ( t 1 , t 2 , , t n ) , and z 0 = 0 is the initial degradation value. Therefore, the degradation increment can be expressed as Δ z j = z j z j 1 , where j = 1 , 2 , , n .
Suppose the degradation of the product owns two-stage characteristic, i.e., the degradation process is component of two distinct IG process, Z ( t , μ 1 , η 1 ) and Z ( t , μ 2 , η 2 ) . The degradation process is expressed as follows:
Z ( t ) = Z ( 0 ; μ 1 , η 1 ) + Z ( t ; μ 1 , η 1 ) , 0 < t t k , Z ( t k ; μ 1 , η 1 ) + Z ( t ; μ 2 , η 2 ) , t > t k ,
where t k is the observation time of the change; μ 1 and η 1 denote the mean and shape parameters of the first process, respectively; μ 2 and η 2 denote the mean and shape parameters of the second process, respectively; Z ( 0 ; μ 1 , η 1 ) represents for the initial degradation value of the product and Z ( t k ; μ 1 , η 1 ) represents for the amount of the degradation at change point t k .
We are interested in testing the following hypotheses:
H 0 : μ 1 = μ 2 = μ , η 1 = η 2 = η
versus
H 1 : μ 1 μ 2 , η 1 η 2 .

3. Modified Information Criterion for Inverse Gaussian Process

3.1. Maximum Likelihood Estimators

According to the distribution of the increments of the degradation, the parameters under the null and alternative hypothesis can be estimated by the maximum likelihood method.
The likelihood functions under null and alternative hypotheses are
L H 0 ( μ , η ) = j = 1 n [ η Δ t j 2 2 π Δ z j 3 exp ( η ( Δ z j μ Δ t j ) 2 2 Δ z j ) ] ,
L H 1 ( μ 1 , η 1 , μ 2 , η 2 ) = j = 1 k [ η 1 Δ t j 2 2 π Δ z j 3 exp ( η 1 ( Δ z j μ 1 Δ t j ) 2 2 Δ z j ) ] j = k + 1 n [ η 2 Δ t j 2 2 π Δ z j 3 exp ( η 2 ( Δ z j μ 2 Δ t j ) 2 2 Δ z j ) ] ,
respectively.
Based on Equations (4) and (5), the log-likelihood functions under H 0 and H 1 are
log L H 0 ( μ , η ) = j = 1 n [ 1 2 ln η + ln Δ t j 1 2 ln ( 2 π Δ z j 3 ) η ( Δ z j μ Δ t j ) 2 2 Δ z j ] ,
log L H 1 ( μ 1 , η 1 , μ 2 , η 2 ) = j = 1 k [ 1 2 ln η 1 + ln Δ t j 1 2 ln ( 2 π Δ z j 3 ) η 1 ( Δ z j μ 1 Δ t j ) 2 2 Δ z j ] + j = k + 1 n [ 1 2 ln η 2 + ln Δ t j 1 2 ln ( 2 π Δ z j 3 ) η 2 ( Δ z j μ 2 Δ t j ) 2 2 Δ z j ] .
respectively.
Thus, the maximum likelihood estimators (MLEs) of μ and η under H 0 are able to obtain by solving the following equations:
log L H 0 ( μ , η ) μ = j = 1 n η μ 2 ( Δ z j μ Δ t j ) = 0 ,
log L H 0 ( μ , η ) η = j = 1 n 1 2 ( 1 η ( Δ z j μ Δ t j ) 2 Δ z j ) = 0 .
Through simple algebra, we obtain
μ ^ = j = 1 n Δ z j j = 1 n Δ t j = z n t n , η ^ = n j = 1 n [ ( Δ z j μ ^ Δ t j ) 2 / Δ z j ] .
Similarly, under H 1 , the MLEs of μ 1 , μ 2 , η 1 , η 2 are
μ ^ 1 = j = 1 k Δ z j j = 1 k Δ t j = z k t k , η ^ 1 = k j = 1 k [ ( Δ z j μ ^ 1 Δ t j ) 2 / Δ z j ] ,
μ ^ 2 = j = k + 1 n Δ z j j = k + 1 n Δ t j = z n z k + 1 t n t k + 1 , η ^ 2 = n k j = k + 1 n [ ( Δ z j μ ^ 2 Δ t j ) 2 / Δ z j ] .
Detailed steps of the calculation are shown in Appendix A.

3.2. Modified Information Criterion

For the model selection, the Akaike Information Criterion (AIC) proposed by Akaike [] and the Schwartz Information Criterion (SIC) proposed by Schwartz [] are two common approaches. For the change-point problem, the null hypothesis is considered the model without change points, and the alternative hypothesis is the model with change points. Hence, the change-point problem is converted into a model selection problem. For such a model selection problem, the two criteria, AlC and SIC, are able to solve the problem seemly. However, if the change point appears at the beginning or the end of the process, either the former two parameters, μ ^ 1 and η ^ 1 , or the latter two parameters, μ ^ 2 and η ^ 2 , are redundant. In other words, the parameter k becomes undesirable as it approaches the values of 1 or n. To solve this problem, Chen et al. [] proposed a novel information criterion, modified information criterion (MIC), by modifying the complexity term under alternative hypothesis. Ref. [] shows that if a change is suspected at the early stage, stronger evidence is required to support the claim of such a change. Consequently, a larger penalty ought to be applied when k is near the beginning or the end of the process. More evidences are shown in [,].
Under the alternative hypothesis, we define
M I C ( k ) = 2 log L H 1 μ ^ 1 , η ^ 1 , μ ^ 2 , η ^ 2 + 4 + 2 k n 1 2 log n , 1 k < n ,
where μ ^ 1 , η ^ 1 , μ ^ 2 , η ^ 2 are the MLEs of the parameters under H 1 .
Similarly, under H 0 , we define
M I C ( n ) = 2 log L H 0 μ ^ , η ^ + 2 log n ,
where μ ^ , η ^ are the MLEs of the parameters under H 0 .
To investigate the asymptotic property of the MIC, Chen et al. [] also defined test statistic
S n = M I C ( n ) min 1 k < n M I C ( k ) + 2 log ( n ) .
By substituting Equations (11) and (12) into Equation (13), we obtain
S n = 2 log L H 0 μ ^ , η ^ + 2 log n min 1 k < n [ 2 log L H 1 μ ^ 1 , η ^ 1 , μ ^ 2 , η ^ 2 + 4 + 2 k n 1 2 log n ] + 2 log ( n ) = 2 log L H 0 μ ^ , η ^ min 1 k < n [ 2 log L H 1 μ ^ 1 , η ^ 1 , μ ^ 2 , η ^ 2 + 2 k n 1 2 log n ] .
Following [], under Wald conditions and regularity conditions, S n converges to χ 2 2 in distribution under H 0 as n . Wald conditions and regularity conditions are shown in Appendix B.
Due to the result being a limiting distribution rather than the precise distribution for a specified sample size n, it is necessary to simulate the empirical values c α , n for varying significance levels α and sample sizes n. If S n < c α , n , the null hypothesis is accepted, implying that there exists no change point. On the contrary, if S n > c α , n , the null hypothesis is rejected, indicating that there exists a change point. The estimation of change location is expressed as k ^ = arg min 1 k < n M I C ( k ) .
If there are more than one change point in the sequence, it is efficient to use binary segmentation procedure [], which transfers multiple change point detection into a series of sequential steps, with each step identifying at most one change, to detect and locate the changes. In detail, if the sample size of certain dataset is n and S n > c α , n , there exists a change. Assume the location of the change is k; then, the dataset is split into two subsequences, which are the former k data and the latter n k data. For each subsequence, detect whether there exists a change in the subsequence. Keep repeating the process until there are no more change points in every subsequence.

3.3. Reliability of the Change-Point Inverse Gaussian Process

As is known to all, reliability evaluation is an essential part of reliability analysis. Assume the failure threshold of the device is D. The lifetime of such device is T = inf { t | Z ( t ; μ , η ) > D } . Hence, the reliability function of the lifetime is
R T ( t ) = P { T t } = P { Z ( t ; μ , η ) D } .
For two-stage degradation process, assume the degradation measurements of the first and second stage at t are Z ( t ; μ 1 , η 1 ) and Z ( t ; μ 2 , η 2 ) . If 0 < t t k , the reliability function of the lifetime is
R T ( t ) = P { Z ( t ; μ 1 , η 1 ) Z ( 0 ; μ 1 , η 1 ) D } = F ( D ; μ 1 , η 1 , t ) .
When t > t k , the degradation amount is [ Z ( t k ; μ 1 , η 1 ) Z ( 0 ; μ 1 , η 1 ) ] + [ Z ( t ; μ 2 , η 2 ) Z ( t k ; μ 2 , η 2 ) ] , where Z ( t k ; μ 1 , η 1 ) Z ( 0 ; μ 1 , η 1 ) I G ( μ 1 t k , η 1 t k 2 ) and Z ( t ; μ 2 , η 2 ) Z ( t k ; μ 2 , η 2 ) I G ( μ 2 ( t t k ) , η 2 ( t t k ) 2 ) . They are independent of each other. With the assistance of convolution formula, the reliability function of the lifetime can be calculated as
R T ( t ) = P { [ Z ( t k ; μ 1 , η 1 ) Z ( 0 ; μ 1 , η 1 ) ] + [ Z ( t ; μ 2 , η 2 ) Z ( t k ; μ 2 , η 2 ) ] D } = 0 D 0 g f ( z ; μ 1 , η 1 , t k ) × f ( g z ; μ 2 , η 2 , t t k ) d z d g = 0 D f ( z ; μ 1 , η 1 , t k ) × F ( D z ; μ 2 , η 2 , t t k ) d z .
Corresponding calculation process of Equation (14) is shown in Appendix C. For degradation processes consist of more than two stages, the reliability function can be derived by repeating the use of convolution formula above.

4. Simulation

4.1. Power Comparison Between MIC and SIC

In this subsection, the performance of the proposed method by varying the values of parameters, sample sizes and change locations is illustrated. To show the advantages of the proposed method, power comparison between MIC with SIC is conducted. The test statistic T n for SIC is constructed as
T n = S I C ( n ) min 1 k < n S I C ( k ) + 2 log ( n ) ,
where S I C ( n ) under H 0 and S I C ( k ) under H 1 are given by
S I C ( n ) = 2 log L H 0 μ ^ , η ^ + 2 log n , S I C ( k ) = 2 log L H 1 μ ^ 1 , η ^ 1 , μ ^ 2 , η ^ 2 + 4 log n ,
respectively.
The parameters before the change are set to be ( μ 1 , η 1 ) = ( 0.5 , 1 ) ; after the change, parameters ( μ 2 , η 2 ) are set to be (1.5,3), (1,2), (1.5,2), and (1,1.5), respectively. A total of 1000 simulations are performed under each set of parameters, and the simulation results are shown in Table 1, Table 2 and Table 3. n denotes the sample size and k is for the change point location, which assumed to occur at the 25%, 50%, and 75% of the sample size.
Table 1. Power of the test, α = 0.01.
Table 2. Power of the test, α = 0.05.
Table 3. Power of the test, α = 0.10.
From Table 1, Table 2 and Table 3, it can be observed that as sample size increases, the powers of both procedures increase. Take the MIC method as an example; when ( μ 2 , η 2 ) = ( 1 , 1.5 ) , the change occurs in the middle of the data and α = 0.01 , as the sample size increases, the powers are 0.321, 0.863, 0.985, and 0.998, respectively. This indicates that the power enhances with a larger sample size. When the change point is located in the middle of the data rather than the beginning or the end, the power rises. For example, with n = 30 , ( μ 2 , η 2 ) = ( 1 , 1.5 ) and α = 0.05 , the powers for MIC method are 0.369, 0.616, 0.46, respectively. It implies that the power is higher when the change point is located in the middle of the data. The power is influenced by the differences between parameters before and after the change. For instance, when n = 30 and α = 0.05 , the powers for ( μ 2 , η 2 ) = ( 1 , 1.5 ) are 0.369, 0.616, 0.46. As the difference expands, i.e., ( μ 2 , η 2 ) = ( 1.5 , 3 ) , the powers increase to 0.952, 0.995, 0.954. This indicates that as parameters difference increases, the power rises. Furthermore, we notice that the MIC method outperforms the SIC method, which demonstrates that the MIC method is more effective in determining the presence or absence of changes in the data.

4.2. Consistency of Estimator k ^ Comparison

In this subsection, we investigate the consistency of change-point estimator with a similar method to the one shown in [,,,], and the result is shown in Table 4. The parameters before and after the change are ( μ 1 , η 1 ) = (0.5,1) and ( μ 2 , η 2 ) = (1,2), respectively. In total, 2000 repetitions are conducted and the significance level is 0.05. The difference between the estimated change location and the real location is set to 0, 1, 2 and 3.
Table 4. Consistency of estimator k ^ for MIC and SIC.
From Table 4, it can be seen that as the sample size becomes larger, the consistency rate is higher. For example, when n = 60 and k = 30 , P ( | k ^ k | 3 ) is 0.862209 and 0.858544 for MIC and SIC method, respectively. When n increases to 120, P ( | k ^ k | 3 ) is 0.8855 and 0.878. Moreover, in most cases, the MIC method outperforms SIC method for the reason that the probability of the MIC method is high.

5. Application

Hydraulic piston pumps serve as an essential part of an aircraft’s hydraulic system. They are used for flight posture adjustment, the braking system, and so on. Therefore, it is of great importance to study the degradation process of the pumps. The data set is taken from Ma et al. [], in which the return oil serves as the degradation index. Figure 1 shows the degradation data for the hydraulic piston pump from []. From Figure 1, we observe that the degradation process consists of three stages. During the first stage, the return oil volume rises very fast. After about 50 h, the degradation increases stably. In the last stage, after about 700 h, the volume rises rapidly again. In order to better analyze the reliability of the pump, it is necessary to detect and estimate the change first. The detection steps are as follows.
Figure 1. Degradation data of hydraulic piston pump.
Step 1. Consider the entirety of the data. The test statistics S n defined in Equation (13) is S n = 20.387 . The simulated critical value with a significance level of 0.05 is 14.20731. Obviously, the critical value is less than S n , which demonstrates that the null hypothesis is rejected, i.e., there exists a change through the data. Then, we need to estimate the change location k, i.e., estimate k by arg min 1 k < n M I C ( k ) . The values of M I C ( k ) are shown in Figure 2. From Figure 2, it is obvious that the location of minimum value of M I C ( k ) is 70, which indicates that the location of the change point is 70.
Figure 2. The value of M I C ( k ) for the whole data.
Step 2. Consider whether there exists another change in the subsequence. Consider the subsequence for k from 1 to 70. The value of S n is 37.521, which is greater than the simulated critical value of 15.79092. The result shows the null hypothesis is rejected, concluding that there exists a change in the subsequence. Figure 3 shows the corresponding values of M I C ( k ) of the subsequence. Similarly to Step 1, from Figure 3, the location of minimum value of M I C ( k ) is 4, which means the change occurs at the fourth location.
Figure 3. The value of M I C ( k ) for the subsequence.
Step 3. Similarly to the previous step, consider the subsequence for k from 1 to 4, 5 to 70 and 71 to 74. As a result, there exist no changes in these subsequences.
In summary, there are two change points in the hydraulic piston pump data, and the locations are 4 and 70. The corresponding time points are 31.25 h and 691.25 h. This is consistent with practice. The pump first experiences a run-in period, where the return oil volume increases rapidly. Then, the volume increase is slower because the pump starts a stable wear period. Finally, the pump enters a rapid wear period where the volume rapidly grows.
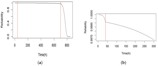
According to Section 3.3, the reliability of the hydraulic piston pump can be calculated. Figure 4 is the curve of the reliability function when the threshold is set to be 5. Figure 4a shows the reliability of the pump during its whole lifetime. To show the former part of the reliability more clearly, Figure 4b shows the reliability before 300 h. Compared to the second stage, the reliability decreases more rapidly during the first stage. During the third stage, reliability declines fastest among three stages, which is consistent with reality. As is shown in Figure 4a, the pump fail to operate properly after around 800 h.
Figure 4. (a) The reliability of the hydraulic piston pump. (b) The reliability of the hydraulic piston pump in the first 300 h. The red line represents the time that the first change occurs.
In reality, for a certain product, it degrades quickly at the beginning. In order to eliminate the initial phase of rapid degradation, manufactures typically implement a burn-in process before delivering the products to the customers. If the burn-in process is incomplete, the degradation path will drop sharply initially, leading to a shorter predicted lifespan than the actual expected failure time. To address this issue, extending the burn-in duration can effectively bypass the initial wear-in phase []. To establish an optimal burn-in strategy, we first need to estimate the change point location precisely.

6. Conclusions

In this paper, a change-point detection method based on modified information criterion in the context of the IG process is proposed. Compared to the method based on SIC, through the numerical simulations, the proposed approach is more effective in determining whether there exist change points in the data and more consist of estimating change-point locations. Finally, the procedure is employed to the hydraulic piston pump data and successfully locates the changes. We estimate the reliability of the pump before and after the change, respectively. The reliability of the pump decreases quickly in the initial stage, the reliability decreases stably in the second stage, and the reliability decreases rapidly again in the third stage. Hence, the pump needs to maintenance or replacement by a new one during the third stage to keep high in reliability.
However, our study recognizes the existence of potential areas for improvement. In particular, this work assumes change points only occur at the observation point. The reason for this assumption is that for some components, like the Li-ion battery [], the change occurs at the observation point. Therefore, we assume change points only occur at the observation point to simplify the derivation process. However, change points can also exist between observations. In this scenario, Bayesian method is a good alternative for it regards the change point as random. At the same time, Bayesian method can estimate the location of the change. This will be addressed in our future research.

Author Contributions

Conceptualization, X.C.; methodology, J.Q.; data curation, M.Z.; writing—original draft preparation, J.Q.; writing—review and editing, X.C. and M.Z.; supervision, X.C.; project funding acquisition, X.C. All authors have read and agreed to the published version of the manuscript.

Funding

This research was funded by the Natural Science Foundation of Hebei Province under Grant A2022208001, and the National Natural Science Foundation of China under Grant No. 12001155.

Data Availability Statement

Data are contained within the article.

Acknowledgments

We are grateful to the reviewers for their comprehensive review of this manuscript, as well as for their insightful comments and valuable suggestions that have significantly contributed to enhancing the quality of our work.

Conflicts of Interest

The authors declare no conflicts of interest.

Abbreviations

The following abbreviations are used in this manuscript:
PDPplasma display panel
LCDliquid crystal display
LEDlight-emitting diode
IGInverse Gaussian
OLEDorganic light-emitting diode
MOSFETmetal oxide semiconductor field-effect transistor
MCMCMarkov Chain Monte Carlo
CDFcumulative distribution function
MLEmaximum likelihood estimation
AICAkaike Information Criterion
SICSchwartz Information Criterion
MICModified Information Criterion

Appendix A. Calculation Process of Equations (8)–(10)

Since log L H 0 ( μ , η ) μ = j = 1 n η μ 2 Δ z j μ Δ t j = 0 , μ and η are two non-zero parameters, and the equation is transformed into j = 1 n Δ z j μ Δ t j = 0 . Through simple algebra, the estimate of μ is j = 1 n Δ z j j = 1 n Δ t j . Similarly, the estimate of η is n j = 1 n [ ( Δ z j μ ^ Δ t j ) 2 / Δ z j ] . Equation (8) is obtained. Similarly to estimating the parameters under H 0 , the MLEs of μ 1 , μ n , η 1 , η n can be derived as follows:
log L H 1 ( μ 1 , μ n , η 1 , η n ) μ 1 = j = 1 k 2 η 1 Δ z j μ 1 Δ t j Δ z j μ 1 2 2 Δ z j = j = 1 k η 1 μ 1 2 Δ z j μ 1 Δ t j = 0 ,
log L H 1 ( μ 1 , μ n , η 1 , η n ) μ 2 = j = k + 1 n 2 η 2 Δ z j μ 2 Δ t j Δ z j μ 2 2 2 Δ z j = j = k + 1 n η 2 μ 2 2 Δ z j μ 2 Δ t j = 0 ,
it implies that
μ ^ 1 = j = 1 k Δ z j j = 1 k Δ t j = j = 1 k Δ z j t k t 0 , μ ^ 2 = j = 1 + k n Δ z j j = k + 1 n Δ t j = j = k + 1 n Δ z j t n t k .
Through solving the equations
log L H 1 ( μ 1 , μ n , η 1 , η n ) η 1 = j = 1 k 1 2 η 1 Δ z j μ 1 Δ t j 2 2 Δ z j = j = 1 k 1 2 1 η 1 Δ z j μ 1 Δ t j 2 Δ z j = 0 ,
log L H 1 ( μ 1 , μ n , η 1 , η n ) η 2 = j = 1 + k n 1 2 η 2 Δ z j μ 2 Δ t j 2 2 Δ z j = j = 1 + k n 1 2 1 η 2 Δ z j μ 2 Δ t j 2 Δ z j = 0 ,
the estimators of η 1 , η 2 can be expressed as
η ^ 1 = k j = 1 k [ Δ z j μ 1 Δ t j 2 / Δ z j ] , η ^ 2 = n k j = 1 + k n [ Δ z j μ 2 Δ t j 2 / Δ z j ] .

Appendix B. Wald Conditions and Regular Conditions

Appendix B.1. Wald Conditions

W1. The distribution of X is either discrete for all θ , or absolutely continuous for all θ .
W2. For sufficiently small ρ and for sufficiently large δ , the expected values are
E log sup | θ θ | < ρ f ( X ; θ ) 2 < , E log sup | θ θ | > δ f ( X ; θ ) 2 < .
W3. The density function f ( X ; θ ) is continuous in θ for every x.
W4. If θ 1 θ 2 , then F ( X ; θ 1 ) F ( X ; θ 2 ) for at least one x, where F ( X ; θ ) is the cumulative distribution function corresponding to the density function f ( X ; θ ) .
W5. lim θ f ( x ; θ ) = 0 for all x.
W6. The parameter space Θ is a closed subset of the two-dimensional Cartesian space.
W7. f ( x ; θ , ρ ) = sup | θ θ | < ρ f ( X ; θ ) is a measurable function of x for any fixed θ and ρ .

Appendix B.2. Regular Conditions

R1. For each θ Θ , the derivatives exists for all x,
log f ( x , θ ) θ , 2 log f ( x , θ ) θ 2 , 3 log f ( x , θ ) θ 3 .
R2. For θ in the neighborhood N ( θ 0 ) , there exist functions g ( x ) and H ( x ) such that the following relations hold for all x:
f ( x , θ ) θ g ( x ) , 2 f ( x , θ ) θ 2 g ( x ) ,
2 log f ( x , θ ) θ 2 2 H ( x ) , 3 log f ( x , θ ) θ 3 H ( x ) ,
and
g ( x ) d x < , E θ ( H ( X ) ) < .
R3. For each θ Θ ,
0 < E θ log f ( X ; θ ) θ 2 < , E θ log f ( X ; θ ) θ 3 < .

Appendix C. Calculation of Equation (14)

R T ( t ) = P { [ Z ( t k ; μ 1 , η 1 ) Z ( 0 ; μ 1 , η 1 ) ] + [ Z ( t ; μ 2 , η 2 ) Z ( t k ; μ 2 , η 2 ) ] D } = 0 D 0 g f ( z ; μ 1 , η 1 , t k ) × f ( g z ; μ 2 , η 2 , t t k ) d z d g = 0 D z D f ( z ; μ 1 , η 1 , t k ) × f ( g z ; μ 2 , η 2 , t t k ) d g d z = 0 D f ( z ; μ 1 , η 1 , t k ) z D f ( g z ; μ 2 , η 2 , t t k ) d g d z = 0 D f ( z ; μ 1 , η 1 , t k ) × F ( D z ; μ 2 , η 2 , t t k ) d z .

References

  1. Hong, Y.; Duan, Y.; Meeker, W.Q.; Stanley, D.L.; Gu, X. Statistical Methods for Degradation Data with Dynamic Covariates Information and an Application to Outdoor Weathering Data. Technometrics 2015, 57, 180–193. [Google Scholar] [CrossRef]
  2. Ye, Z.; Xie, M. Stochastic Modelling and Analysis of Degradation for Highly Reliable Products. Appl. Stoch. Model. Bus. Ind. 2014, 31, 16–32. [Google Scholar] [CrossRef]
  3. Lu, C.J.; Meeker, W.O. Using Degradation Measures to Estimate a Time-to-Failure Distribution. Technometrics 1993, 35, 161–174. [Google Scholar] [CrossRef]
  4. Yu, H.-F. Designing an Accelerated Degradation Experiment with a Reciprocal Weibull Degradation Rate. J. Stat. Plan. Inference 2006, 136, 282–297. [Google Scholar] [CrossRef]
  5. Yuan, X.-X.; Pandey, M.D. A Nonlinear Mixed-Effects Model for Degradation Data Obtained from in-Service Inspections. Reliab. Eng. Syst. Saf. 2009, 94, 509–519. [Google Scholar] [CrossRef]
  6. Lu, L.; Wang, B.; Hong, Y.; Ye, Z. General Path Models for Degradation Data with Multiple Characteristics and Covariates. Technometrics 2020, 63, 354–369. [Google Scholar] [CrossRef]
  7. Ye, Z.-S.; Wang, Y.; Tsui, K.-L.; Pecht, M. Degradation Data Analysis Using Wiener Processes with Measurement Errors. IEEE Trans. Reliab. 2013, 62, 772–780. [Google Scholar] [CrossRef]
  8. Giorgio, M.; Mele, A.; Pulcini, G. A Perturbed Gamma Degradation Process with Degradation Dependent non-Gaussian Measurement Errors. Appl. Stoch. Model. Bus. Ind. 2018, 35, 198–210. [Google Scholar] [CrossRef]
  9. Fang, G.; Pan, R.; Wang, Y. Inverse Gaussian Processes with Correlated Random Effects for Multivariate Degradation Modeling. Eur. J. Oper. Res. 2022, 300, 1177–1193. [Google Scholar] [CrossRef]
  10. Liang, Y.; Yan, Z.; Sun, L. Reliability Analysis of Inverse Gaussian Processes with Two-Stage Degenerate Paths. Heliyon 2024, 10, e34625. [Google Scholar] [CrossRef]
  11. Wang, R.; Zhu, M.; Zhang, X.; Pham, H. Lithium-Ion Battery Remaining Useful Life Prediction Using a Two-Phase Degradation Model with a Dynamic Change Point. J. Energy Storage 2023, 59, 106457. [Google Scholar] [CrossRef]
  12. Wang, H.; Liao, H.; Ma, X. Stochastic Multi-Phase Modeling and Health Assessment for Systems Based on Degradation Branching Processes. Reliab. Eng. Syst. Saf. 2022, 222, 108412. [Google Scholar] [CrossRef]
  13. Sheng, Z.; Hu, Q.; Liu, J.; Yu, D. Residual Life Prediction for Complex Systems with Multi-Phase Degradation by ARMA-Filtered Hidden Markov Model. Qual. Technol. Quant. Manag. 2017, 16, 19–35. [Google Scholar] [CrossRef]
  14. Liu, K.; Zou, T.; Xin, M.; Lv, C. RUL Prediction Based on Two-phase Wiener Process. Qual. Reliab. Eng. Int. 2022, 38, 3829–3843. [Google Scholar] [CrossRef]
  15. Li, L.; Yu, T.; Shang, B.; Song, B.; Chen, Y. Reliability Modeling of Competing Failure Processes with Multi-stage Degradation. Qual. Reliab. Eng. Int. 2023, 39, 1494–1517. [Google Scholar] [CrossRef]
  16. Bae, S.J.; Yuan, T.; Ning, S.; Kuo, W. A Bayesian Approach to Modeling Two-Phase Degradation Using Change-Point Regression. Reliab. Eng. Syst. Saf. 2015, 134, 66–74. [Google Scholar] [CrossRef]
  17. Bae, S.J.; Yuan, T.; Kim, S. Bayesian Degradation Modeling for Reliability Prediction of Organic Light-Emitting Diodes. J. Comput. Sci. 2016, 17, 117–125. [Google Scholar] [CrossRef]
  18. Wang, P.; Tang, Y.; Joo Bae, S.; He, Y. Bayesian Analysis of Two-Phase Degradation Data Based on Change-Point Wiener Process. Reliab. Eng. Syst. Saf. 2018, 170, 244–256. [Google Scholar] [CrossRef]
  19. Wang, P.; Tang, Y.; Bae, S.J.; Xu, A. Bayesian Approach for Two-Phase Degradation Data Based on Change-Point Wiener Process with Measurement Errors. IEEE Trans. Reliab. 2018, 67, 688–700. [Google Scholar] [CrossRef]
  20. Wang, P.; Tang, Y.; Cheng, G. Degradation Data Analysis Based on Change-Point Gamma Process: A Bayesian Perspective. Chin. J. Appl. Probab. Stat. 2022, 38, 674–692. [Google Scholar]
  21. Zhuang, L.; Xu, A.; Wang, Y.; Tang, Y. Remaining Useful Life Prediction for Two-Phase Degradation Model Based on Reparameterized Inverse Gaussian Process. Eur. J. Oper. Res. 2024, 319, 877–890. [Google Scholar] [CrossRef]
  22. Bae, S.J.; Kvam, P.H. A Change-Point Analysis for Modeling Incomplete Burn-in for Light Displays. IIE Trans. 2006, 38, 489–498. [Google Scholar] [CrossRef]
  23. Kong, D.; Balakrishnan, N.; Cui, L. Two-Phase Degradation Process Model with Abrupt Jump at Change Point Governed by Wiener Process. IEEE Trans. Reliab. 2017, 66, 1345–1360. [Google Scholar] [CrossRef]
  24. Ling, M.H.; Ng, H.K.T.; Tsui, K.L. Bayesian and Likelihood Inferences on Remaining Useful Life in Two-Phase Degradation Models under Gamma Process. Reliab. Eng. Syst. Saf. 2019, 184, 77–85. [Google Scholar] [CrossRef]
  25. Vostrikova, L.J. Some Results about Multidimensional Branching Processes with Random Environments. Ann. Probab. 1974, 2, 441–455. [Google Scholar]
  26. Akaike, H.; Petrov, B.N.; Czaki, F. Information Theory and an Extension of the Maximum Likelihood Principle. In Second International Symposium on Information Theory; Springer: New York, NY, USA, 1973; pp. 267–281. [Google Scholar]
  27. Schwarz, G. Estimating the Dimension of a Model. Ann. Stat. 1978, 6, 31–38. [Google Scholar] [CrossRef]
  28. Chen, J.; Gupta, A.; Pan, J. Information Criterion and Change Point Problem for Regular Models. Sankhyā Indian J. Stat. 2006, 68, 252–282. [Google Scholar]
  29. Inclán, C.; Tiao, G.C. Use of sums of squares for retrospective detection of changes of variance. J. Am. Stat. Assoc. 1994, 89, 913–923. [Google Scholar]
  30. Gombay, E.; Horváth, L. An application of U-statistics to change-point analysis. Acta Sci. Math. 1995, 60, 345–357. [Google Scholar]
  31. Basalamah, D.; Said, K.K.; Ning, W.; Tian, Y. Modified information criterion for linear regression change-point model with its applications. Commun. Stat.-Simul. Comput. 2019, 50, 180–197. [Google Scholar] [CrossRef]
  32. Said, K.K.; Ning, W.; Tian, Y. Detecting changes in linear regression models with skew normal errors. Random Oper. Stoch. Equ. 2018, 26, 1–10. [Google Scholar] [CrossRef]
  33. Alghamdi, A.; Ning, W.; Gupta, A. An Information Approach for the Change Point Problem of the Rayleigh Lomax Distribution. Int. J. Intell. Technol. Appl. Stat. 2018, 11, 233–254. [Google Scholar]
  34. Said, K.K.; Ning, W.; Tian, Y. Modified information criterion for testing changes in skew normal model. Braz. J. Probab. Stat. 2019, 33, 280–300. [Google Scholar] [CrossRef]
  35. Ma, Z.; Wang, S.; Liao, H.; Zhang, C. Engineering-driven Performance Degradation Analysis of Hydraulic Piston Pump Based on the Inverse Gaussian Process. Qual. Reliab. Eng. Int. 2019, 35, 2278–2296. [Google Scholar] [CrossRef]
  36. Liao, G.; Yin, H.; Chen, M.; Lin, Z. Remaining useful life prediction for multi-phase deteriorating process based on Wiener process. Reliab. Eng. Syst. Saf. 2021, 207, 107361. [Google Scholar] [CrossRef]
Disclaimer/Publisher’s Note: The statements, opinions and data contained in all publications are solely those of the individual author(s) and contributor(s) and not of MDPI and/or the editor(s). MDPI and/or the editor(s) disclaim responsibility for any injury to people or property resulting from any ideas, methods, instructions or products referred to in the content.

Article Metrics

Citations

Article Access Statistics

Multiple requests from the same IP address are counted as one view.