Abstract
The forced convection of non-Newtonian nanofluid for a backward-facing flow system was analyzed under the combined use of magnetic field and double rotating cylinders by using finite element method. The power law nanofluid type was used with different solid volume fractions of alumina at 20 nm in diameter. The effects of the Re number (), rotational Re number (), Ha number (), and magnetic field inclination () on the convective heat transfer and flow features were numerically assessed. The non-Newtonian fluid power law index was taken between 0.8 and 1.2 while particle volume fractions up to 4% were considered. The presence of the rotating double cylinders made the flow field complicated where multiple recirculation regions were established near the step region. The impacts of the first (closer to the step) and second cylinders on the heat transfer behavior were different depending upon the direction of rotation. As the first cylinder rotated in the clockwise direction, the enhancement in the average heat transfer of 20% was achieved while it deteriorated by approximately 2% for counter-clockwise directional rotation. However, for the second cylinder, both the rotational direction resulted in heat transfer augmentation while the amounts were 14% and 18% at the highest speeds. Large vortices on the upper and lower channel walls behind the step were suppressed with magnetic field effects. The average Nu number generally increased with the higher strengths of the magnetic field and inclination. Up to 30% increment with strength was obtained while this amount was 44% with vertical orientation. Significant impacts of power law fluid index on the local and average Nu number were seen for an index of n = 1.2 as compared to the fluid with n = 0.8 and n = 1 while an average Nu number of 2.75 times was obtained for the flow system for fluid with n = 1.2 as compared to case for fluid with the n value of 0.8. Further improvements in the local and average heat transfer were achieved with using nanoparticles while at the highest particle amount, the enhancements of the average Nu number were 34%, 36% and 36.6% for the fluid with n values of 0.8, 1 and 1.2, respectively.
1. Introduction
Flow separation effects coupled with heat transfer (HT) play an important role in diverse energy-related systems from electronic cooling to solar energy. Many theoretical and experimental investigations have been performed for modeling the separated flow effects in fluid flow and thermal systems. In the early experimental works of [1,2], fluid flow characteristics for flow over backward-facing step (BF-S) geometry have been highlighted with the reattachment lengths and distributions of velocities. In a recent review work of Chen et al. [3], the advancements and recent developments in the studies related to flow over BF-S were presented. The critical aspects of control methods for BF-S flows were reviewed. Kherbeet et al. [4] reviewed the convective heat transfer (C-HT) applications for flow over the microscale BF-S or FF-S geometry. The influence of geometrical effects on the fluid flow features and inclination angle effects for various flow regimes were explored. The thermal performance of the systems with BF-S geometry depends upon the flow regime, geometrical, and operating parameters. Many different augmentation techniques were proposed for the performance improvement for those systems. In one of the methods, stationary or rotating objects are used in the vicinity of the step in order to alter the flow recirculation regions and control the size of the established vortices. In the works of Kumar and Vengadesan [5] and Selimefendigil and Öztop [6], fins were used for affecting the separated flow features and C-HT characteristics for flow over BF-S geometry. Stationary [7] or rotating cylinders (RCs) [8,9] were used for C-HT with flow over BF-S. The size, location and conductivity of the cylinders were found to be important key parameters of the HT enhancement along with the rotational speed (Rs) as it has been shown in many C-HT studies within cavities or channels [10,11,12,13,14]. Even though in many studies related to C-HT in channel/cavity single RCs have been considered, there are a few cases where multiple rotating cylinder effects are encountered [15,16,17].
Magnetic field (MF) effects are encountered in diverse thermal engineering-related systems or products such as in molten metals, glass float and the coolers of nuclear reactors. In the field of C-HT, flow and HT performance control, external MF can be imposed for the thermo-fluid system. In C-HT within enclosed cavity flow applications, MF effects have been found to reduce the effective convection [18,19,20]. However, MF effects can also be utilized to reduce the suppression of the vortices established within the thermofluid systems such as in vented cavities [21,22]. As the BF-S flow system is considered, the occurrence of the vortices behind the step and downstream of the step are typical in many systems, therefore it is advantageous to use MF effects [23,24]. The effectiveness of the MF in fluid systems can be increased by using nano-sized particles in the base fluid. The so-called nanofluid technology has been extensively used in diverse energy system technologies from solar applications to refrigeration and energy storage [25,26,27,28,29]. Many models and simulation tools have been developed for the effects of nanomaterial behavior in thermal energy-related systems [30,31,32,33,34,35,36]. Nanofluids are used with MF effects for C-HT applications in diverse thermo-fluid systems [37,38,39,40]. In the modeling of nanofluid behavior, many aspects such as the kinetics of agglomeration, shape effects of particles and the Newtonian/non-Newtonian behavior of fluid may become important. The non-Newtonian aspects of nanofluid in C-HT applications have been considered in several studies [41,42,43,44,45]. Kefayati [46] explored the C-HT and entropy generation features within a cavity with MF effects with non-Newtonian nanofluids. It was observed that the entropy generation rate depended upon the power law index. Siavashi et al. [47] analyzed the C-HT of non-Newtonian nanofluid of power law type with CuO nanoparticles for a partly porous cavity under the effects of RC. They used a two-phase mixture model while for different types of fluids, the HT rate can be improved which depends upon the RS and its direction, Rayleigh number and Darcy number. Ajeeb et al. [48] used non-Newtonian MWCNTs nanofluid in micro-channel to improve the C-HT performance. They considered temperature-dependent material behavior using experimental data while potential benefits of non-Newtonian nanofluids in a micro-channel for energy efficiency enhancements were assessed. Al-Rashed et al. [49] numerically analyzed the performance of a parabolic trough collector (PTC) with an absorber tube and non-Newtonian nanofluid as the working fluid. The PCT performance improvements were reported by using the nanofluid while the best performance was achieved with a solid volume fraction of 1.5% at Re=20000. Some other recent works that considered the non-Newtonian nanofluid in various thermal engineering systems can be found in Refs. [50,51,52,53,54,55].
In the present study, C-HT performance and separated flow features for BF-S flow system were explored for non-Newtonian power law nanofluid under the combined impacts of inclined MF and double RCs. As diverse thermo-fluid systems are encountered in practice with BF-S flow, the utilization of double RCs with different speeds combined with MF effects enrich the control options for C-HT features while including nano-sized particles will further enhance the thermal performance. Including the non-Newtonian behavior of nanofluid is also a novel aspect for the considered thermo-fluid system. The MF effects can be present in the system as mentioned for some of the applications while using double rotating cylinders with different speeds will give more opportunity to control the separated flow region size and vortex number behind the step while thermal performance features will be greatly affected. The outcomes of the preset work may be used for the design and optimization for coupled thermal and BF-S flow systems.
2. Mathematical Formulation
CHT for flow over BF-S geometry is considered for non-Newtonian nanofluid under the combined effects of inclined uniform MF and double rotating circular cylinders and it is schematically shown in Figure 1. Here, denote the channel lengths from inlet to step and from step to exit while and represent the channel heights. Two identical circular cylinders are placed behind the step with a size of while their center locations are and . They are rotating at rotational speeds (Rs) of and . Cold fluid enters the channel with a velocity and temperature , while the bottom wall starting from step location to exit is at a temperature . Other channel walls are adiabatic. The imposed MF is uniform with the inclination of . Impacts of induced MF, displacement currents and Joule heating are not taken into account with free convection effects. The nanofluid is water–alumina with different solid particle volume fractions (SP-VF) of alumina.
Figure 1.
Physical model schematic view with boundary conditions.
The following conservation equations (CEs) are used for a 2D steady flow case with non-Newtonian fluid [46]:
where and p denote the x velocity, y velocity, temperature and pressure, respectively. Here, and are the density, shear stress, electrical conductivity and thermal diffusivity, respectively.
Shear stress is given as [56]
where denotes the dynamic viscosity. Its description for a power law fluid is stated as [56]
where the consistency coefficient is denoted by m while n is the power law index. The value of n is less, equal and greater than 1 for shear thinning (pseudoplastic), Newtonian and shear-thickening (dilatant) fluids.
2.1. Nanofluid Relations
Alumina–water nanofluid is utilized. The thermophysical properties were given in [57,58,59]. For the description of the thermal conductivity () and viscosity () of nanofluid, Corcione’s correlations are utilized, which are given by the following equations [60]:
In the above representation, is the solid volume fraction of nanoparticles while the nanoparticle Reynolds number and base fluid molecule diameter are denoted by and , respectively. They are stated as follows:
Diameter of the nanoparticle is taken as 20 nm.
The electrical conductivity of the nanofluid is stated by the Maxwell model as follows [61,62]:
2.2. Boundary Conditions and Solver Method
They are stated in dimensional form as:
- At the channel inlet, ;
- At the channel exit,
- Bottom wall from step to exit, ;
- Other channel walls,
- For the first cylinder,
- For the second cylinder,
Following non-dimensional numbers (Reynolds number—Re; rotational Reynolds number—Rew; Hartmann number—Ha; Prandtl number—Pr, ) are relevant and they are described as
As the solution of the GEs which was described above, the Galerkin weighted residual (GWR) finite element method (FEM) was utilized. The weak form of the equations was established and the residual (R) was forced to be zero in the weighted average as
where W denotes the weight function. Field variables () are approximated by using various ordered Lagrange FEM:
where and F are the shape functions and nodal value. A convergence criterion of was considered while the PARDISO direct solver is utilized. A commercial computational fluid dynamics code Comsol [63] was used for the numerical simulations.
Local and average Nusselt numbers are stated as in the following:
where s is the local coordinate while the heated part of the bottom wall downstream of the step with length is considered.
2.3. Grid Independence and Validation
Numerical test results are shown for the variation in the average Nu number with different grid sizes from G1 to G7 where G1 denotes a coarse grid and G7 represents the finest grid system. Grid G5 with an 94,128 number of the unstructured grid with triangular elements were selected. The grid becomes finer near the walls and at the rotating wall interfaces as shown in Figure 2.
Figure 2.
Numerical test results for grid independence at two different rotational velocities of the first cylinder (a) and mesh distribution (b) ( ).
Validation was performed by using different sources available in the literature. In the first work, numerical results for shear thinning non-Newtonian power law fluid in a T-channel were used [64]. For the reattachment length, they developed a correlation in terms of the Re number and n value (power law index). Comparisons of the reattachment lengths are shown in Figure 3 for different n values at Re = 100. At the lowest power law index, the highest deviation between the reference results was obtained as 5%. In another work, C-HT in a cavity with MF is considered and results in Ref. [65] are used. Comparison results of the average Nu number for various Ra number at Ha = 30 are presented in Figure 4. The highest difference below 2% was obtained. These results show that the code is capable of capturing the flow recirculations with the power law fluid and MF effects in C-HT.
Figure 3.
Reattachment length comparison results between the CFD code and values in [64] for power law fluids at Re = 100 with different power indices.
Figure 4.
Average Nu number comparisons with values in Ref. [65] for C-HT in a cavity with MF effects.
3. Results and Discussion
In the present work, C-HT for flowing over a BFS geometry with a non-Newtonian nanofluid was analyzed under the combined effects of inclined MF and double rotating circular cylinders. The fluid type was power law at various power law indices while alumina nanoparticles with different SP-VF is used in water. The numerical work is conducted for various values of the Re number (), rotational Re numbers (), Ha number (), and MF inclination angle (). The n value is taken between 0.8 and 1.2 while SP-VM is between 0 and 4%.
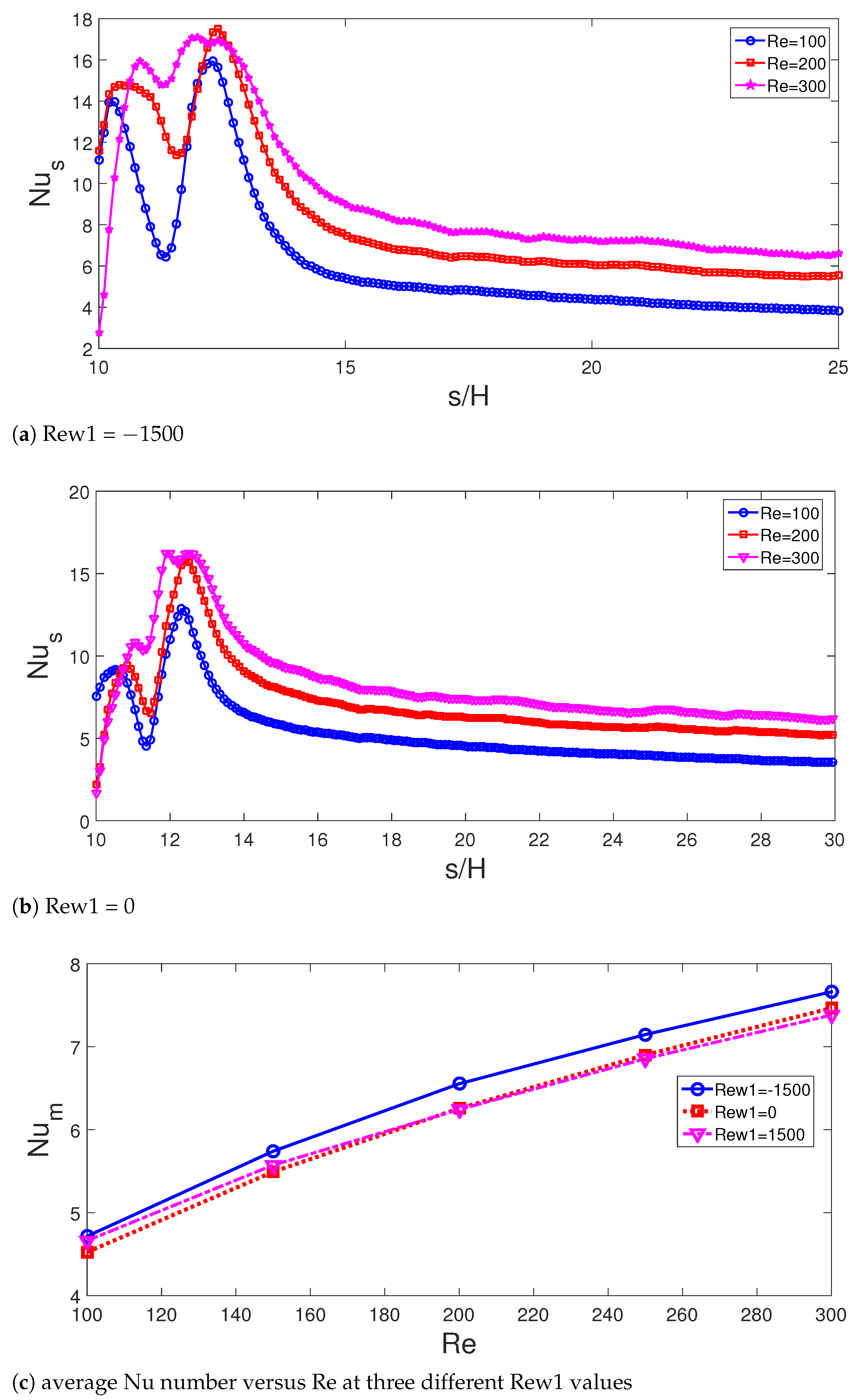
Figure 5 presents the flow pattern (FPT) distributions for the varying Re number at two different first cylinder Rs. For the non-rotating first cylinder case (b,e,h), vortices are formed behind the step at Re = 200 and Re = 300. The vortex size increases with a higher Re number, but it is not significant due to the presence of MF effects and the rotation of the second cylinder. The weak re-circulation regions are formed behind the first cylinder (the one closer to the step) at the highest Re. The negative value of the Rew number denotes the clockwise (CW) rotation of cylinders. In this case, at a lower Re number, the effects of rotation become important while part of the flow is directed towards an upper channel wall after the step due to the rotation of the first cylinder. As the Re number is increased, the fluid velocity becomes even higher due to the reduced gap between the first cylinder and the upper channel wall. Vortices are established after the step and in the upper wall at Re = 300. When the first cylinder rotates in the counter-clockwise (CCW) direction, the fluid flow is forced to flow below it due to the rotation while a small vortex is formed behind the step at Re = 100. When the value of Re number is increased, the vortex size after the step increases while more flow is directed toward the exit due to the increased fluid velocity and CW rotation of the second cylinder. Local Nu number variation shows two distinct peaks for Rew1 = 0 while the value of the first one is smaller. As the Re number is increased, a shift in the location of the peak Nu number was observed while the values were also enhanced. At Rew = −1500, the value of the first peak increased compared to cases for Rew1 = 0 while the location of peaks also varied with different Re numbers. It can be seen that the presence of rotating cylinders makes the flow field complicated near the step location where forced convection due to the rotational fluid velocity either aids or opposes the fluid flow. The average Nu rises with higher Re numbers while values are even higher with CW rotation of the first cylinder for all Re numbers. However, the deviations with the RC case are below 5% as compared to the motionless cylinder case for all Re numbers (Figure 6).
Figure 5.
Influence of the Re number on the FP distributions at two different rotational Re numbers of the first cylinder ().
Figure 6.
Local (a,b) and average (c) Nu number variations with varying Re numbers for the different rotational Re number of the first cylinder (n).
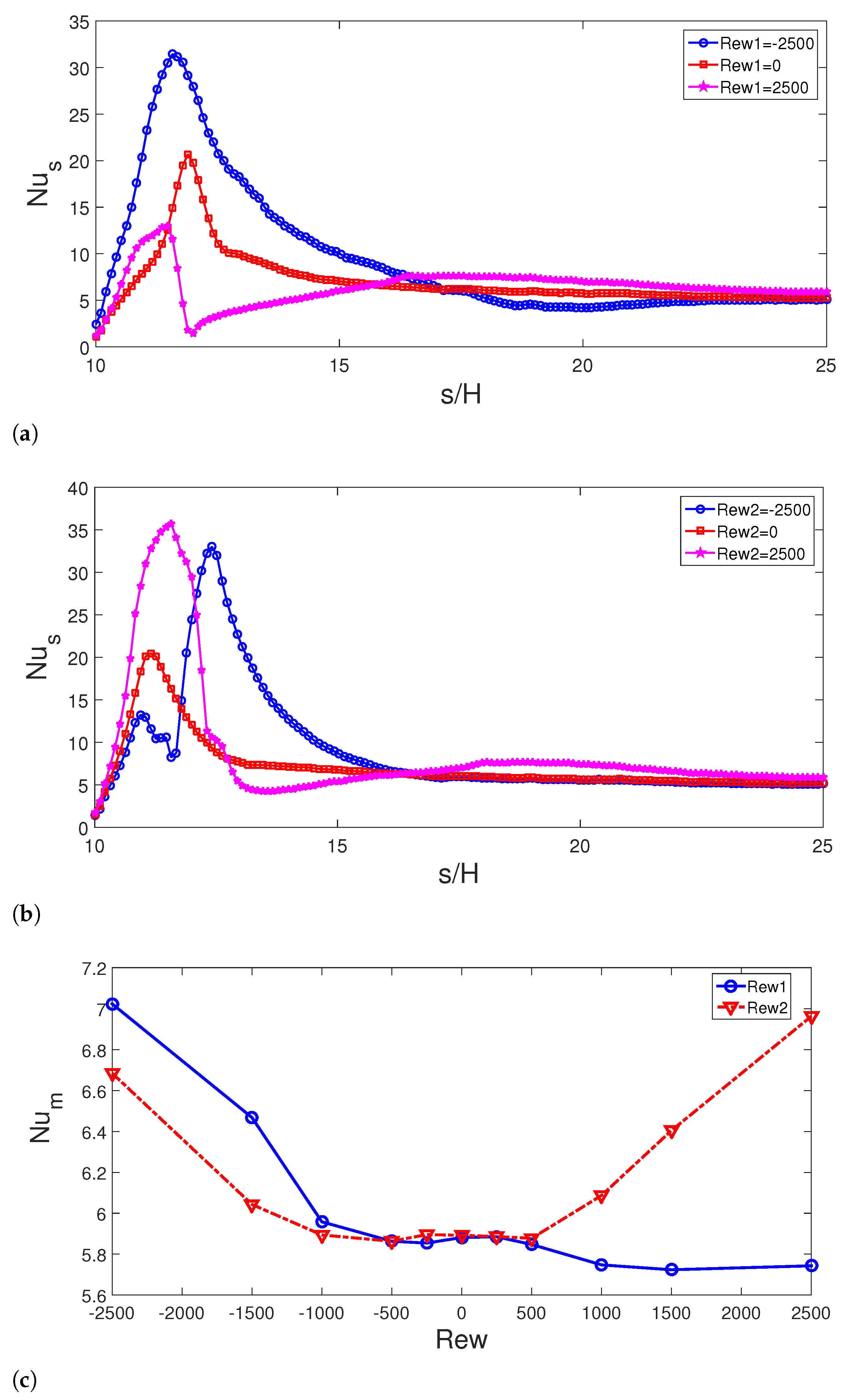
Effects of the cylinder rotations (both cylinders) on FPT distributions are presented in Figure 7 at Re = 200. The rotational Reynolds numbers Rew1 and Rew2 are used to quantify the impacts of rotation while the values are varied between −2500 and 2500. When the first cylinder rotates in CW at the highest speed, a large recirculation region is formed in the upper channel after the step which is due to the deflection of the fluid towards the upper wall from the gap between the upper channel and upper part of the cylinder with rotation in the CW direction. For the CCW direction of the first cylinder at the highest speed, more flow is directed toward the bottom part of the first cylinder while large recirculation is formed on the bottom wall. This is also the case when the second cylinder rotates in the CCW direction at the highest speed (Figure 7d). As the second cylinder rotates in the CW direction at the highest speed, vortex formation behind the step and upper wall of the channel is apparent. The size of the upper vortex reduces when the second cylinder slowly rotates in CW or quickly rotates in the CCW direction. The recirculation region number and size can be controlled with the varying RS of the cylinders. The local Nu variation are significantly influenced by varying the Rew numbers (Figure 8). When the first cylinder rotates in the CW direction at the highest speed, the peak in the local Nu significantly increases while the impact was reversed in the CCW direction at the highest speed when compared to configuration with Rew1=0. The variations in the highest peak of the local Nu number become 52% and 37% for the case of Rew1 = −2500 and Rew1 = 2500 as compared to the motionless first cylinder with Rew1=0. As for the second cylinder, the local peak either increases in the CW or CCW rotational directions compared to motionless cylinders while the location of the peak with Rew = 2500 becomes closer to the step. The increment amounts are 65% and 75% for the rotation of the second cylinder with speeds at Rew2 = −2500 and Rew2 = 2500, respectively, compared to the case for Rew2 = 0. The locations of the highest peaks are obtained at x = 11.15H, x = 12.41H and 11.57H for cases with Rew2 = 0, Rew2 = −2500 and Rew2 = 2500, respectively. Overall, as compared to the configuration with Rew = 0, the CW rotation of the cylinders resulted in an increment in the HT while with using the first cylinder, the amount of enhancement was more. There is almost 20% and 14% enhancement in the HT rate for cases with CW rotating with the first and second cylinders when compared to motionless cylinder case. The CCW rotation of the second cylinder resulted in an HT enhancement (18% with reference to case Rew2 = 0) while the trend was the opposite for the CCW rotation of the first cylinder (2% with reference to the case Rew1 = 0) which is due to the poor interacting cold fluid toward the bottom wall for this rotation.
Figure 7.
Rs effects of the first and second cylinder on the FP distributions ().
Figure 8.
Variations of the local (a,b) and average (c) Nu number with varying Rs of the cylinders ().
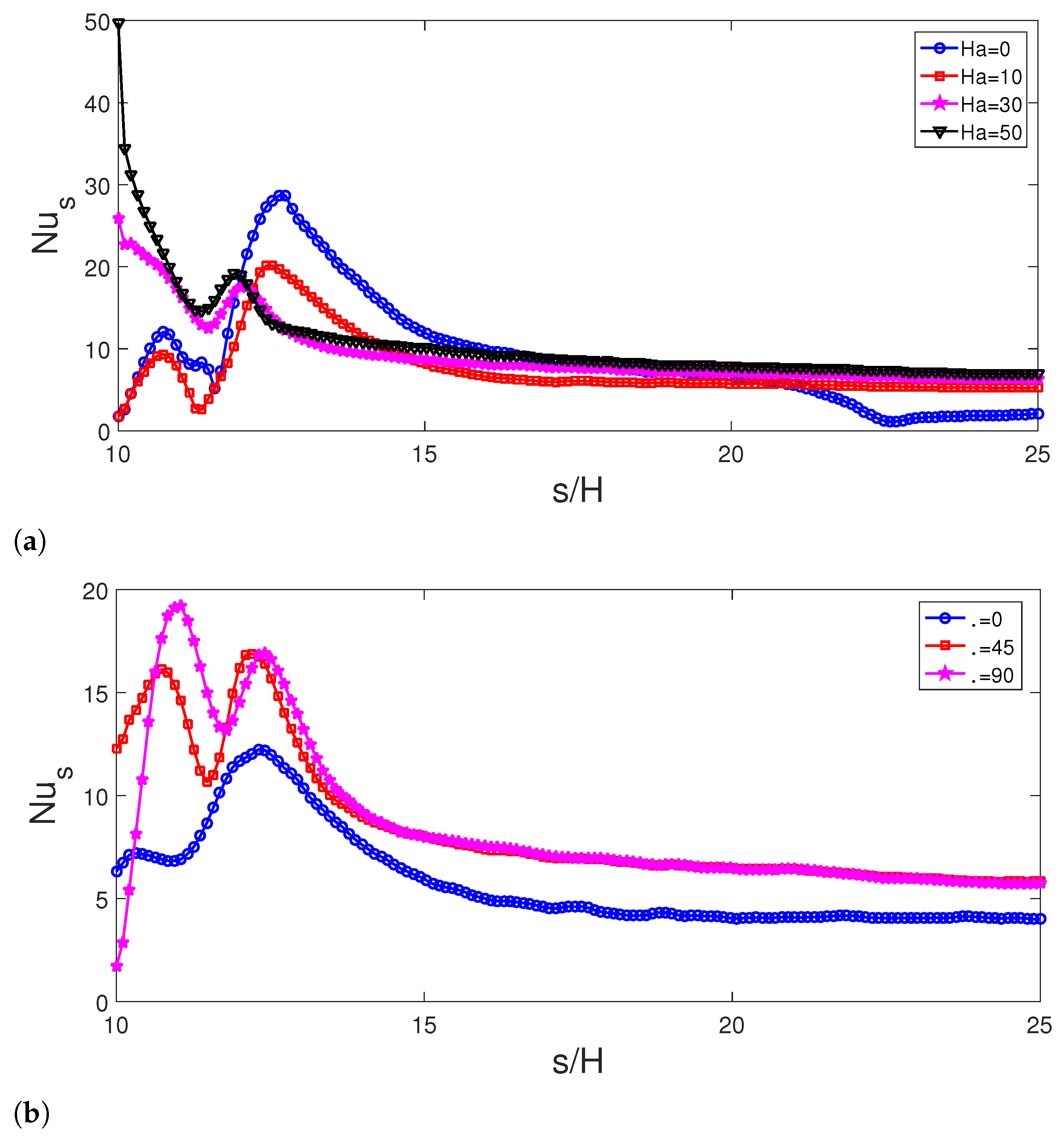
As regards the MF effects, many investigations are performed for C-HT in the channel or in cavity flow applications. In the latter case, the MF retarded the flow and reduced the C-HT rate. However, depending upon the configuration in channel flow, the MF effects have the potential to increase the HT rate. As the flow over BFS is considered, in the absence of MF, multi re-circulation regions are established for the power law nanofluid flow (Figure 9a). Large vortices can be seen on the upper and lower channel walls downstream from the step, while near the step and RCs, two vortices appeared for this flow condition. As the MF strength is increased to Ha = 10, the vortices downstream of the step were significantly suppressed while at the highest MF strength, they disappear. As the MF inclination is considered, vortex zones are also greatly influenced by the variation of . The upper channel vortex appeared for a horizontal inclination at while it disappears and the small vortex behind the step was formed for vertical inclination at (Figure 9). Due to the change of vortex size and its location near the step and on the bottom wall, the value of local peaks in the Nu significantly change with the varying MF strength and its inclination. At Ha = 30 and Ha = 50, the first peak disappears due to the suppression of the vortices while the second peak’s value also reduces. The value of the second peak in the local Nu is the highest at Ha = 0. The average Nu number generally rises with the MF inclination and strength while there is a slight reduction from Ha = 0 to Ha = 10. There is a 30% increment when the MF strength is increased to Ha = 50 from Ha = 0 while the amount is 44% when cases with the horizontal and vertical MF inclinations are compared (Figure 10).
Figure 9.
MFL parameter effects (strength (a–c); inclination (d–f)) on the FP distributions ().

Figure 10.
Local (a,b) and average (c,d) Nu number variations with respect to changes in the MFL parameters ().
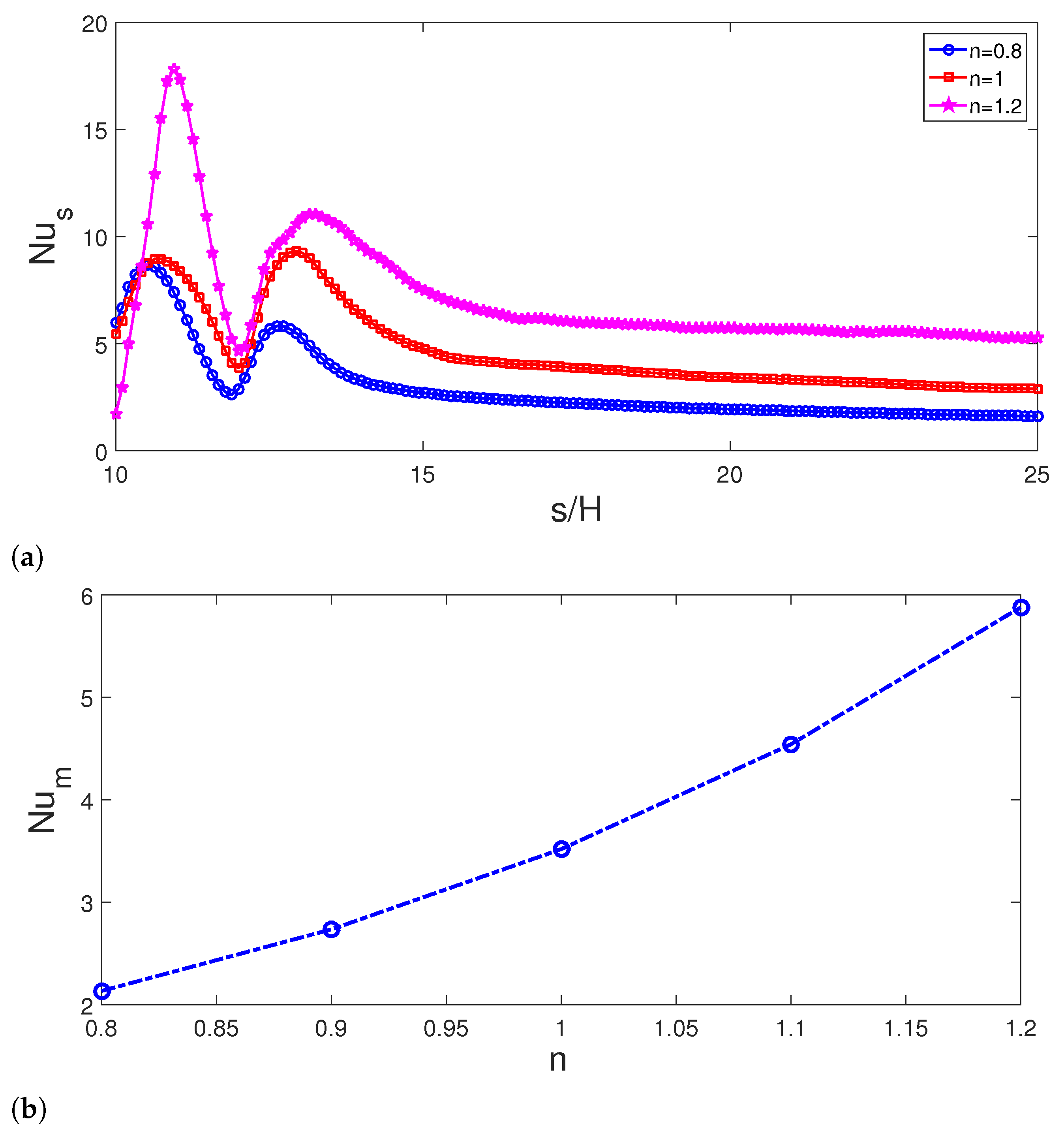
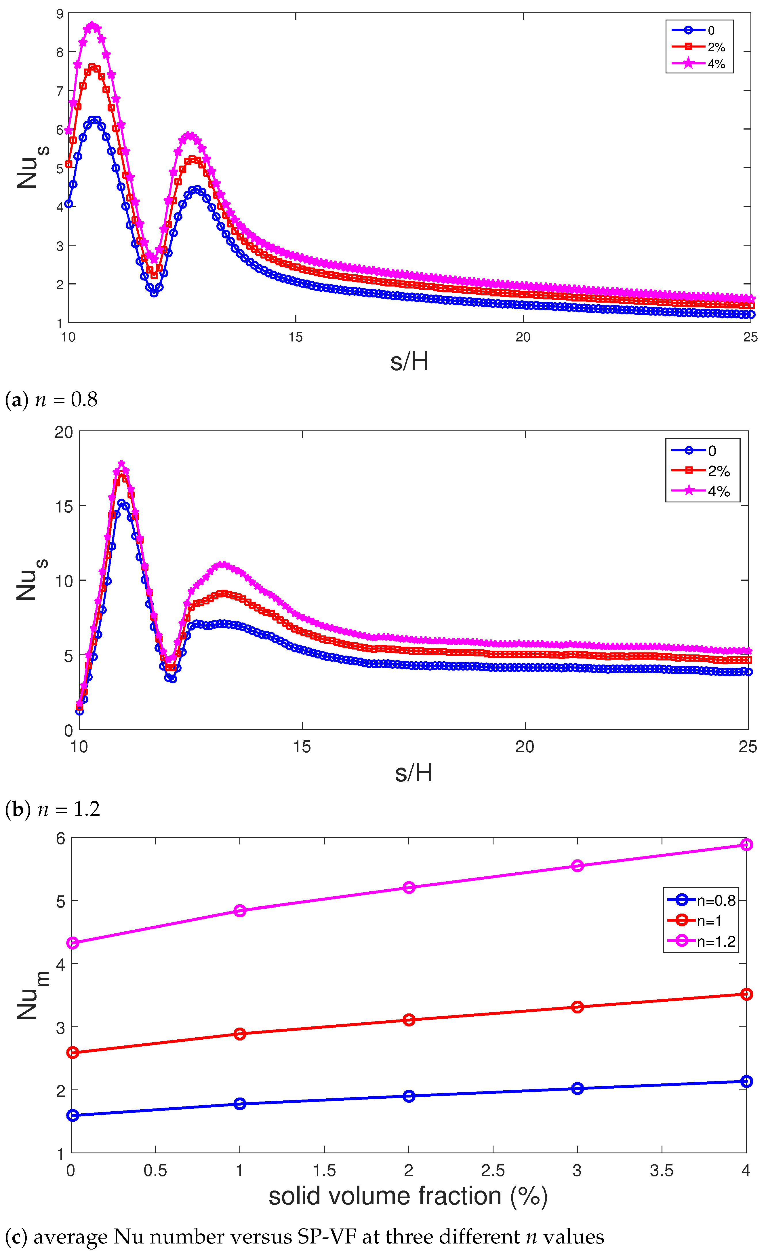
The fluid thermophysical properties also play a role in the amount of CHT intensification. In the present work, a non-Newtonian power law nanofluid was considered. The power law index and SP-VM amounts are the key parameters considered while a particle diameter of 20 nm was selected. The power law index of the fluid effects on the FP and TP variations are presented in Figure 11. As compared to the Newtonian fluid case, vortices were formed behind the step and in between the cylinder for a shear thickening fluid while vortices disappeared for a shear thinning fluid with double RCs under MF effects. Thermal gradients become enhanced with higher values of n on the bottom wall. Local peaks in the Nu number rise with higher values of power law index and the location of the first peak moves away from the step for n = 1.2. The local Nu achieves higher values downstream of the step with higher n values due to the increased fluid velocity for the same Re number. The location of the first peak in the local Nu number becomes 10.52 H, 10.73 H and 10.94 H, while the values become 8.67, 8.96 and 17.8 for n values of 0.8, 1 and 1.2, respectively. The average Nu significantly increased with a higher n value while the average Nu at n = 1.2 became 2.75 times the value at n = 0.8 for configuration with double RCs (Figure 12). Including nanoparticles and increasing the SP-VM resulted in C-HT enhancement. The enhancement of the average HT depends upon the value of n while they were obtained as 34%, 36% and 36.6% for n values of 0.8, 1 and 1.2, respectively, at the highest SP-VM (Figure 13).
Figure 11.
Power law index of the fluid on the FP and TP distributions ().
Figure 12.
Impacts of fluid power law index on the variation of local (a) and average (b) Nu numbers ().
Figure 13.
Effects of SP-VF on the variation of local (a,b) and average (c) Nu number distributions for different fluid power law indices ().
The interaction between the RCs and their Rs for fluids with different n values were obtained as polynomial representations of average Nu number in terms of Rew1 and Rew2 for n = 0.8, n = 1 and n = 1.2. The polynomial type correlation is given as
where and are given as
The polynomial coefficients for different power law indices are given in Table 1 with their 95% confidence bounds. The performance metrics of the polynomial fit are presented in Table 2 by using R and the root mean square error (RMSE). This fourth-order polynomial model shows effects of the interaction between RCs and their Rs on the variation of the average Nu number where a surface plot for an average Nu and the resulting residuals between the CFD and polynomial fit are also given in Figure 14.
Table 1.
Polynomial coefficients with 95% confidence bounds.
Table 2.
Performance metrics of polynomial fits.

Figure 14.
Polynomial fit to the CFD data for average Nu versus Rew1, Rew2 (a) and residuals (b) with n = 0.8.
4. Conclusions
Forced C-HT for the BF-S flow system of non-Newtonian nanofluid was analyzed under the combined impacts of using double cylinders which are rotating at different speeds and inclined magnetic field. The following conclusions can be drawn:
- The presence of double RCs made the flow field complex, especially near the step location. The location and value of the local Nu peak values varied with higher Re numbers and they depend upon the rotational speed and direction of the cylinders. The average Nu number became a higher Re number and the values were higher with CW rotation of the first cylinder.
- Vortex formation features and local Nu values were significantly affected by the changing rotational Re numbers of the cylinders. When the first cylinder was considered, the local and average Nu behavior became the opposite for the CW and CCW rotational directions as compared to the motionless case. The CW rotation of the first cylinder had positive impacts of the C-HT features. There were 52% and 37% variations in the local peak Nu value for cases Rew1 = −2500 and Rew1 = 2500 as compared to the configuration for Rew1 = 0 while these amounts become 20% and 2% when average Nu values are compared.
- When the second cylinder is considered, both CW and CCW rotations resulted in positive impacts on the C-HT features. The local peak Nu values increase by approximately 65% and 75% when the rotation of the second cylinder was activated at speeds for Rew2 = −2500 and Rew2 = 2500, and the average Nu value increments were obtained as 14% and 18%.
- The suppression of the large vortices near the upper and bottom walls of the channel for the BF-S flow system was observed with higher values of MF strength and inclinations while the number of vortices was reduced. Therefore, the value and location of the local Nu number peaks change with the varying strength and inclination of MF.
- The increment amount in the average Nu number becomes 30% at the highest MF strength while it becomes 44% for the vertical inclination of MF as compared to horizontal alignment.
- The vortex formation features near the step are affected by using shear thickening or thinning fluid as compared to using a Newtonian fluid in the BF-S flow system. The value of the first peak in the local Nu number significantly increased from 8.96 and 17.8 when the thermo-fluid system with shear thickening nanofluid was compared with the Newtonian nanofluid. As cases with the power law index of n = 0.8 and n = 1.2 were compared, and the average Nu became 2.75 times higher for the BF-S flow system with double RCs.
- Using alumina particles in the fluid improves the C-HT while the increment amount depends upon the value of the power law index. The enhancement amounts in the average Nu number are 34%, 36% and 36.6% when the values of the indices are n = 0.8, n = 1 and n = 1.2 for the SP-VM of 4%.
- Fourth-order polynomial correlations in terms of the rotational Re number of the RCs are proposed for fluids with different power law indices.
The current work can be extended to include variable MF effects, shape factors of nanoparticles, unsteady flow effects, flow pulsations and different thermal boundary conditions which will increase the potential applications of the outcomes for different BF-S flow configurations in various thermal engineering systems.
Author Contributions
Conceptualization, F.S.; methodology, F.S., L.K. and L.B.S.; software, F.S.; validation, L.K.; formal analysis, F.S., A.M. and L.K.; investigation, F.S., L.K., L.B.S., A.M. and F.A.; writing—original draft preparation, F.S.; writing—review and editing, F.S., L.K., A.M. and F.A.; visualization, F.S. and L.K.; supervision, F.S., L.K., L.B.S., A.M. All authors have read and agreed to the published version of the manuscript.
Funding
This research was funded by the Scientific Research Deanship at University of Ha’il, Saudi Arabia, through project number RG-20008.
Institutional Review Board Statement
Not applicable.
Informed Consent Statement
Not applicable.
Data Availability Statement
Not applicable.
Conflicts of Interest
The authors declare no conflict of interest.
Abbreviations
| D | cylinder diameter |
| dp | particle diameter |
| h | heat transfer coefficient |
| k | thermal conductivity |
| k | Boltzmann’s constant |
| H | channel height |
| Ha | Hartmann number |
| M | molecular weight |
| n | power law index |
| NA | Avogadro number |
| Nu | Nusselt number |
| p | pressure |
| Pr | Prandtl number |
| Re | Reynolds number |
| Rew | rotational Reynolds number |
| T | temperature |
| u, v | x–y velocity components |
| x, y | Cartesian coordinates |
| xc1, yc1 | first cylinder center location |
| xc2, yc2 | second cylinder center location |
| Greek Characters | |
| thermal diffusivity | |
| solid volume fraction | |
| kinematic viscosity | |
| density | |
| angle of inclination | |
| shear stress | |
| rotational speed | |
| Subscripts | |
| c | cold |
| h | hot |
| m | average |
| nf | nanofluid |
| p | solid particle |
References
- Armaly, B.F.; Durst, F.; Pereier, J.C.F.; Schonung, B. Experimental and theoretical investigation of backward-facing step flow. J. Fluid Mech. 1983, 127, 473–496. [Google Scholar] [CrossRef]
- Sherry, M.; Lo Jacono, D.; Sheridan, J. An experimental investigation of the recirculation zone formed downstream of a forward facing step. J. Wind Eng. Ind. Aerodyn. 2010, 98, 888–894. [Google Scholar] [CrossRef] [Green Version]
- Chen, L.; Asai, K.; Nonomura, T.; Xi, G.; Liu, T. A review of backward-facing step (BFS) flow mechanisms, heat transfer and control. Therm. Sci. Eng. Prog. 2018, 6, 194–216. [Google Scholar] [CrossRef]
- Kherbeet, A.S.; Safaei, M.R.; Mohammed, H.; Salman, B.; Ahmed, H.E.; Alawi, O.A.; Al-Asadi, M. Heat transfer and fluid flow over microscale backward and forward facing step: A review. Int. Commun. Heat Mass Transf. 2016, 76, 237–244. [Google Scholar] [CrossRef]
- Kumar, S.; Vengadesan, S. The effect of fin oscillation in heat transfer enhancement in separated flow over a backward facing step. Int. J. Heat Mass Transf. 2019, 128, 954–963. [Google Scholar] [CrossRef]
- Selimefendigil, F.; Öztop, H.F. Numerical analysis of laminar pulsating flow at a backward facing step with an upper wall mounted adiabatic thin fin. Comput. Fluids 2013, 88, 93–107. [Google Scholar] [CrossRef]
- Kumar, A.; Dhiman, A.K. Effect of a circular cylinder on separated forced convection at a backward-facing step. Int. J. Therm. Sci. 2012, 52, 176–185. [Google Scholar] [CrossRef]
- Hussain, S.; Ahmed, S.E. Unsteady MHD forced convection over a backward facing step including a rotating cylinder utilizing Fe3O4-water ferrofluid. J. Magn. Magn. Mater. 2019, 484, 356–366. [Google Scholar] [CrossRef]
- Selimefendigil, F.; Polifke, W. Nonlinear, proper-orthogonal-decomposition-based model of forced convection heat transfer in pulsating flow. AIAA J. 2014, 52, 131–145. [Google Scholar] [CrossRef]
- Alsabery, A.; Selimefendigil, F.; Hashim, I.; Chamkha, A.; Ghalambaz, M. Fluid-structure interaction analysis of entropy generation and mixed convection inside a cavity with flexible right wall and heated rotating cylinder. Int. J. Heat Mass Transf. 2019, 140, 331–345. [Google Scholar] [CrossRef]
- Khanafer, K.; Aithal, S. Mixed convection heat transfer in a lid-driven cavity with a rotating circular cylinder. Int. Commun. Heat Mass Transf. 2017, 86, 131–142. [Google Scholar] [CrossRef]
- Kareem, A.K.; Gao, S. Mixed convection heat transfer of turbulent flow in a three-dimensional lid-driven cavity with a rotating cylinder. Int. J. Heat Mass Transf. 2017, 112, 185–200. [Google Scholar] [CrossRef] [Green Version]
- Alsabery, A.I.; Ismael, M.A.; Chamkha, A.J.; Hashim, I. Impact of finite wavy wall thickness on entropy generation and natural convection of nanofluid in cavity partially filled with non-Darcy porous layer. Neural Comput. Appl. 2020, 32, 1–21. [Google Scholar] [CrossRef]
- Costa, V.; Raimundo, A. Steady mixed convection in a differentially heated square enclosure with an active rotating circular cylinder. Int. J. Heat Mass Transf. 2010, 53, 1208–1219. [Google Scholar] [CrossRef]
- Shirani, N.; Toghraie, D.; Zarringhalam, M.; Afrand, M. Numerical simulation of transient mixed convection of water–Cu nanofluid in a square cavity with multiple rotating cylinders having harmonic motion. J. Therm. Anal. Calorim. 2020, 143, 4229–4248. [Google Scholar] [CrossRef]
- Khanafer, K.; Aithal, S.; Vafai, K. Mixed convection heat transfer in a differentially heated cavity with two rotating cylinders. Int. J. Therm. Sci. 2019, 135, 117–132. [Google Scholar] [CrossRef]
- Selimefendigil, F.; Öztop, H.F. Three dimensional unsteady heat and mass transport from six porous moist objects in a channel under laminar forced convection. Appl. Therm. Eng. 2020, 183, 116100. [Google Scholar] [CrossRef]
- Mahmoudi, A.H.; Pop, I.; Shahi, M.; Talebi, F. MHD natural convection and entropy generation in a trapezoidal enclosure using Cu–water nanofluid. Comput. Fluids 2013, 72, 46–62. [Google Scholar] [CrossRef]
- Kahveci, K.; Öztuna, S. MHD natural convection flow and heat transfer in a laterally heated partitioned enclosure. Eur. J. Mech.-B/Fluids 2009, 28, 744–752. [Google Scholar] [CrossRef]
- Sheremet, M.A.; Oztop, H.; Pop, I.; Al-Salem, K. MHD free convection in a wavy open porous tall cavity filled with nanofluids under an effect of corner heater. Int. J. Heat Mass Transf. 2016, 103, 955–964. [Google Scholar] [CrossRef]
- Selimefendigil, F.; Öztop, H.F. MHD Pulsating forced convection of nanofluid over parallel plates with blocks in a channel. Int. J. Mech. Sci. 2019, 157, 726–740. [Google Scholar] [CrossRef]
- Benzema, M.; Benkahla, Y.K.; Labsi, N.; Ouyahia, S.E.; El Ganaoui, M. Second law analysis of MHD mixed convection heat transfer in a vented irregular cavity filled with Ag–MgO/water hybrid nanofluid. J. Therm. Anal. Calorim. 2019, 137, 1113–1132. [Google Scholar] [CrossRef]
- Abbassi, H.; Nassrallah, S.B. MHD flow and heat transfer in a backward-facing step. Int. Commun. Heat Mass Transf. 2007, 34, 231–237. [Google Scholar] [CrossRef]
- Selimefendigil, F.; Öztop, H.F. Influence of inclination angle of magnetic field on mixed convection of nanofluid flow over a backward facing step and entropy generation. Adv. Powder Technol. 2015, 26, 1663–1675. [Google Scholar] [CrossRef]
- Verma, S.K.; Tiwari, A.K. Progress of nanofluid application in solar collectors: A review. Energy Convers. Manag. 2015, 100, 324–346. [Google Scholar] [CrossRef]
- Mahian, O.; Kianifar, A.; Kalogirou, S.A.; Pop, I.; Wongwises, S. A review of the applications of nanofluids in solar energy. Int. J. Heat Mass Transf. 2013, 57, 582–594. [Google Scholar] [CrossRef]
- Bhattad, A.; Sarkar, J.; Ghosh, P. Improving the performance of refrigeration systems by using nanofluids: A comprehensive review. Renew. Sustain. Energy Rev. 2018, 82, 3656–3669. [Google Scholar] [CrossRef]
- Sidik, N.A.C.; Kean, T.H.; Chow, H.K.; Rajaandra, A.; Rahman, S.; Kaur, J. Performance enhancement of cold thermal energy storage system using nanofluid phase change materials: A review. Int. Commun. Heat Mass Transf. 2018, 94, 85–95. [Google Scholar] [CrossRef]
- Sheikholeslami, M.; Shehzad, S.; Li, Z. Water based nanofluid free convection heat transfer in a three dimensional porous cavity with hot sphere obstacle in existence of Lorenz forces. Int. J. Heat Mass Transf. 2018, 125, 375–386. [Google Scholar] [CrossRef]
- Mahian, O.; Kolsi, L.; Amani, M.; Estellé, P.; Ahmadi, G.; Kleinstreuer, C.; Marshall, J.S.; Siavashi, M.; Taylor, R.A.; Niazmand, H.; et al. Recent advances in modeling and simulation of nanofluid flows-Part I: Fundamentals and theory. Phys. Rep. 2019, 790, 1–48. [Google Scholar] [CrossRef]
- Kasaeian, A.; Daneshazarian, R.; Mahian, O.; Kolsi, L.; Chamkha, A.J.; Wongwises, S.; Pop, I. Nanofluid flow and heat transfer in porous media: A review of the latest developments. Int. J. Heat Mass Transf. 2017, 107, 778–791. [Google Scholar] [CrossRef]
- Bahiraei, M.; Heshmatian, S. Graphene family nanofluids: A critical review and future research directions. Energy Convers. Manag. 2019, 196, 1222–1256. [Google Scholar] [CrossRef]
- Sahin, A.Z.; Uddin, M.A.; Yilbas, B.S.; Al-Sharafi, A. Performance enhancement of solar energy systems using nanofluids: An updated review. Renew. Energy 2020, 145, 1126–1148. [Google Scholar] [CrossRef]
- Arshad, W.; Ali, H.M. Graphene nanoplatelets nanofluids thermal and hydrodynamic performance on integral fin heat sink. Int. J. Heat Mass Transf. 2017, 107, 995–1001. [Google Scholar] [CrossRef]
- Ali, H.M.; Ali, H.; Liaquat, H.; Maqsood, H.T.B.; Nadir, M.A. Experimental investigation of convective heat transfer augmentation for car radiator using ZnO-water nanofluids. Energy 2015, 84, 317–324. [Google Scholar] [CrossRef]
- Murshed, S.S.; Estellé, P. A state of the art review on viscosity of nanofluids. Renew. Sustain. Energy Rev. 2017, 76, 1134–1152. [Google Scholar] [CrossRef]
- Pordanjani, A.H.; Aghakhani, S.; Alnaqi, A.A.; Afrand, M. Effect of alumina nano-powder on the convection and the entropy generation of water inside an inclined square cavity subjected to a magnetic field: Uniform and non-uniform temperature boundary conditions. Int. J. Mech. Sci. 2019, 152, 99–117. [Google Scholar] [CrossRef]
- Sheikholeslami, M.; Rokni, H.B. Magnetohydrodynamic CuO–water nanofluid in a porous complex-shaped enclosure. J. Therm. Sci. Eng. Appl. 2017, 9, 041007. [Google Scholar] [CrossRef]
- Molana, M.; Dogonchi, A.; Armaghani, T.; Chamkha, A.J.; Ganji, D.; Tlili, I. Investigation of hydrothermal behavior of Fe3O4-H2O nanofluid natural convection in a novel shape of porous cavity subjected to magnetic field dependent (MFD) viscosity. J. Energy Storage 2020, 30, 101395. [Google Scholar] [CrossRef]
- Dogonchi, A.; Seyyedi, S.M.; Hashemi-Tilehnoee, M.; Chamkha, A.J.; Ganji, D. Investigation of natural convection of magnetic nanofluid in an enclosure with a porous medium considering Brownian motion. Case Stud. Therm. Eng. 2019, 14, 100502. [Google Scholar] [CrossRef]
- Ellahi, R. The effects of MHD and temperature dependent viscosity on the flow of non-Newtonian nanofluid in a pipe: Analytical solutions. Appl. Math. Model. 2013, 37, 1451–1467. [Google Scholar] [CrossRef]
- Kefayati, G. Mixed convection of non-Newtonian nanofluid in an enclosure using Buongiornos mathematical model. Int. J. Heat Mass Transf. 2017, 108, 1481–1500. [Google Scholar] [CrossRef]
- Barnoon, P.; Toghraie, D. Numerical investigation of laminar flow and heat transfer of non-Newtonian nanofluid within a porous medium. Powder Technol. 2018, 325, 78–91. [Google Scholar] [CrossRef]
- Ellahi, R.; Aziz, S.; Zeeshan, A. Non-Newtonian nanofluid flow through a porous medium between two coaxial cylinders with heat transfer and variable viscosity. J. Porous Media 2013, 16, 205–2016. [Google Scholar] [CrossRef]
- Sajadifar, S.A.; Karimipour, A.; Toghraie, D. Fluid flow and heat transfer of non-Newtonian nanofluid in a microtube considering slip velocity and temperature jump boundary conditions. Eur. J. Mech.-B/Fluids 2017, 61, 25–32. [Google Scholar] [CrossRef]
- Kefayati, G.R. Simulation of heat transfer and entropy generation of MHD natural convection of non-Newtonian nanofluid in an enclosure. Int. J. Heat Mass Transf. 2016, 92, 1066–1089. [Google Scholar] [CrossRef]
- Siavashi, M.; Karimi, K.; Xiong, Q.; Doranehgard, M.H. Numerical analysis of mixed convection of two-phase non-Newtonian nanofluid flow inside a partially porous square enclosure with a rotating cylinder. J. Therm. Anal. Calorim. 2019, 137, 267–287. [Google Scholar] [CrossRef]
- Ajeeb, W.; Oliveira, M.S.; Martins, N.; Murshed, S.S. Forced convection heat transfer of non-Newtonian MWCNTs nanofluids in microchannels under laminar flow. Int. Commun. Heat Mass Transf. 2021, 127, 105495. [Google Scholar] [CrossRef]
- Al-Rashed, A.A.; Alnaqi, A.A.; Alsarraf, J. Numerical investigation and neural network modeling of the performance of a dual-fluid parabolic trough solar collector containing non-Newtonian water-CMC/Al2O3 nanofluid. Sustain. Energy Technol. Assess. 2021, 48, 101555. [Google Scholar] [CrossRef]
- Alaidrous, A.A.; Eid, M.R. 3-D electromagnetic radiative non-Newtonian nanofluid flow with Joule heating and higher-order reactions in porous materials. Sci. Rep. 2020, 10, 1–19. [Google Scholar] [CrossRef]
- Ali, F.H.; Hamzah, H.K.; Egab, K.; Arıcı, M.; Shahsavar, A. Non-Newtonian nanofluid natural convection in a U-shaped cavity under magnetic field. Int. J. Mech. Sci. 2020, 186, 105887. [Google Scholar] [CrossRef]
- Ghanbari, S.; Javaherdeh, K. Thermal performance enhancement in perforated baffled annuli by nanoporous graphene non-Newtonian nanofluid. Appl. Therm. Eng. 2020, 167, 114719. [Google Scholar] [CrossRef]
- Ibrahim, M.; Algehyne, E.A.; Saeed, T.; Berrouk, A.S.; Chu, Y.M.; Cheraghian, G. Assessment of economic, thermal and hydraulic performances a corrugated helical heat exchanger filled with non-Newtonian nanofluid. Sci. Rep. 2021, 11, 1–16. [Google Scholar]
- Javaherdeh, K.; Karimi, H.; Khojasteh, A. Numerical study of heat transfer enhancement of non-Newtonian nanofluid in porous blocks in a channel partially. Powder Technol. 2021, 383, 270–279. [Google Scholar] [CrossRef]
- Selimefendigil, F.; Öztop, H.F.; Kolsi, L.; Omri, M. Performance analysis of thermoelectric generator mounted chaotic channel by using non-Newtonian nanofluid and modeling with efficient computational methods. Alex. Eng. J. 2021. [Google Scholar] [CrossRef]
- Chai, Z.; Shi, B.; Guo, Z.; Rong, F. Multiple-relaxation-time lattice Boltzmann model for generalized Newtonian fluid flows. J. Non-Newton. Fluid Mech. 2011, 166, 332–342. [Google Scholar] [CrossRef]
- Wang, L.; Huang, C.; Yang, X.; Chai, Z.; Shi, B. Effects of temperature-dependent properties on natural convection of power-law nanofluids in rectangular cavities with sinusoidal temperature distribution. Int. J. Heat Mass Transf. 2019, 128, 688–699. [Google Scholar] [CrossRef]
- Sheikholeslami, M.; Hayat, T.; Alsaedi, A. MHD free convection of Al2O3–water nanofluid considering thermal radiation: A numerical study. Int. J. Heat Mass Transf. 2016, 96, 513–524. [Google Scholar] [CrossRef]
- Gorla, R.S.R.; Siddiqa, S.; Mansour, M.; Rashad, A.; Salah, T. Heat source/sink effects on a hybrid nanofluid-filled porous cavity. J. Thermophys. Heat Transf. 2017, 31, 847–857. [Google Scholar] [CrossRef]
- Corcione, M. Empirical correlating equations for predicting the effective thermal conductivity and dynamic viscosity of nanofluids. Energy Convers. Manag. 2011, 52, 789–793. [Google Scholar] [CrossRef]
- Maxwell, J.C. A Treatise of Electricity and Magnetism; Oxford University Press: London, UK, 1892; Volume 1. [Google Scholar]
- Minea, A.A. A review on electrical conductivity of nanoparticle-enhanced fluids. Nanomaterials 2019, 9, 1592. [Google Scholar] [CrossRef] [PubMed] [Green Version]
- COMSOL, A.B. COMSOL Multiphysics-CFD Module, Users Guide; COMSOL AB: Stockholm, Sweden, 2017. [Google Scholar]
- Khandelwal, V.; Dhiman, A.; Baranyi, L. Laminar flow of non-Newtonian shear-thinning fluids in a T-channel. Comput. Fluids 2015, 108, 79–91. [Google Scholar] [CrossRef]
- Ghasemi, B.; Aminossadati, S.; Raisi, A. Magnetic field effect on natural convection in a nanofluid-filled square enclosure. Int. J. Therm. Sci. 2011, 50, 1748–1756. [Google Scholar] [CrossRef]
Publisher’s Note: MDPI stays neutral with regard to jurisdictional claims in published maps and institutional affiliations. |
© 2021 by the authors. Licensee MDPI, Basel, Switzerland. This article is an open access article distributed under the terms and conditions of the Creative Commons Attribution (CC BY) license (https://creativecommons.org/licenses/by/4.0/).















