Abstract
The recent exponentiated generalized linear exponential distribution is a generalization of the generalized linear exponential distribution and the exponentiated generalized linear exponential distribution. In this paper, we study some statistical properties of this distribution such as negative moments, moments of order statistics, mean residual lifetime, and their asymptotic distributions for sample extreme order statistics. Different estimation procedures include the maximum likelihood estimation, the corrected maximum likelihood estimation, the modified maximum likelihood estimation, the maximum product of spacing estimation, and the least squares estimation are compared via a Monte Carlo simulation study in terms of their biases, mean squared errors, and their rates of obtaining reliable estimates. Recommendations are made from the simulation results and a numerical example is presented to illustrate its use for modeling a rainfall data from Orlando, Florida.
1. Introduction
Recently, Poonia and Azad [1] studied a new exponentiated generalized linear exponential distribution (NEGLED) with cumulative distribution density function (CDF) given by
for , , , and , where
and . When , the distribution is reduced to the generalized linear exponential distribution (GLED) (Mahmoud and Alam [2]), and when , it reduced to the exponentiated generalized linear exponential distribution (EGLED) (Sarhan et al. [3]). Moreover, it includesthe exponential, linear exponential, generalized exponential, Rayleigh, generalized Rayleigh, linear failure rate, generalized linear failure rate, generalized linear exponential, Weibull and exponentiated Weibull distributions as sub-models which are extensively used in modeling phenomenon with decreasing, increasing, bathtub and unimodal shapes in reliability related decision-making and cost analysis, biological studies, firmware reliability modeling, and survival analysis (see Lai et al. [4]; Xie et al. [5]; Zhang et al. [6]; Sarhan and Kundu [7]; Sarhan et al. [3]). For comprehensive reviews on the theory and applications of these models, one may refer to Mudholkar and Srivastava [8], Johnson et al. [9], Gupta and Kundu [10], Kundu and Raqab [11], Sarhan and Kundu [7], Mahmoud and Alam [2], and Sarhan et al. [3].
Poonia and Azad [1] have shown in the graphs that the distribution has decreasing, decreasing-increasing type, right-skewed, unimodal or bimodal probability density function (PDF) and increasing, decreasing or bathtub shaped hazard rate. They also discussed the statistical properties such as moments, quantiles, order statistics, hazard rate function (HRF), stress–strength parameter, and investigated the estimation of the parameters using the maximum likelihood estimation (MLE) method. In this paper, we identify analytically the parameter regions corresponding to decreasing or unimodal PDF, and increasing, decreasing, bathtub shaped, or unimodal HRF. Note that the behavior of unimodal HRF has never been indicated in the work of Mahmoud and Alam [2], Sarhan et al. [3], and Poonia and Azad [1]. We also study some statistical properties of this distribution such as negative moments, moments of order statistics, mean residual lifetime, and their asymptotic distributions for sample extreme order statistics. Note that negative moments or moments of order statistics are useful in applications in several contexts, such as reliability, life testing problems, and survey sampling problems. See Mendenhall and Lehman [12], Chao and Strawderman [13], Savage [14], Dembinska and Goroncy [15], and the references contained therein for more examples.
It is known that, for some distributions in which the origin is unknown, such as the lognormal, gamma, and Weibull distributions, maximum likelihood estimation can break down. This difficulty can also arise in the case of the GLED or NEGLED and has not been addressed in the work of Mahmoud and Alam [2] and Poonia and Azad [1]. There are many estimation methods that have been developed for handling such problem for three-parameter Weibull distribution in the past decades (see, e.g., Harter and Moore [16]; Cheng and Amin [17]; Smith [18]; Cheng and Iles [19]). Recently, Ng et al. [20] applied the least squares estimation of Jukić et al. [21] and Markovic et al. [22] for the three-parameter Weibull distribution based on progressively Type-II censored samples. Since the Weibull distribution is a sub-model of the NEGLED, it will be of interest to evaluate their performances in order to develop feasible and efficient estimation methods for the NEGLED.
This paper is organized as follows: Section 2 provides some mathematical properties of the NEGLED, which have not been addressed in Mahmoud and Alam [2], Sarhan et al. [3] or Poonia and Azad [1]. Section 3 studies further statistical properties, such as negative moments, moments of order statistics, mean residual lifetime, and asymptotic distributions for sample extreme order statistics. Section 4 discusses different estimation procedures for the parameters. We also review the corrected maximum likelihood estimation proposed by Cheng and Iles [19], the modified maximum likelihood estimation of Harter and Moore [16], the maximum product of spacing (MPS) estimation suggested by Cheng and Amin [17], and the least squares estimation (LSE) method discussed in Jukić et al. [21] and Markovic et al. [22]. In Section 5.1, we conduct a simulation study to evaluate the performance of the proposed estimators in terms of the precision in estimation and reliability. Section 5.2 reports a rainfall data analysis. Finally, some concluding remarks are made in Section 6.
2. Some Mathematical Properties
Theorem 1.
The PDF of the NEGLED is monotonically decreasing corresponding to the parameter region or , and unimodal corresponding to the parameter region or .
Proof.
Let . Since , it follows that . Hence, . By the transformation, the PDF of the NEGLED
can be replaced by a function , i.e.,
The first partial derivative of is given by
By using the L’Hospital rule in the first term of Equation (2), we obtain ; in the first term of Equation (3), we find
If , then and hence the PDF of the NEGLED has a unimodal in this region. On the other hand, if , then and hence the PDF of the NEGLED decreases in this region.
When , the function can be simplified as Then, and . Hence, when , the PDF of the NEGLED decreases if , and has a unimodal shape if . □
Theorem 2.
The PDF of the NEGLED is J-shaped corresponding to the parameter region .
Proof.
Here, we want to find the range of the PDF for which and , where is the first derivative of and is the second derivative of . Since Theorem 1 has shown that the PDF is decreasing when , we shall only check the range of for which under this condition.
From Equation (1), the second partial derivative of is given by
Applying the L’Hospital rule twice, the numerator and denominator in approach and 0, respectively. Thus, when ; when .
Figure 1 shows some possible PDF curves of the NEGLED when , and .
Figure 1.
Plots of the density functions of the NEGLED when , and , and (a) or ; (b) or .
Next, we consider the shapes of the HRF of the NEGLED
Theorem 3.
The HRF of the NEGLED is monotonically decreasing corresponding to the parameter region , and increasing corresponding to the parameter region , and has a bathtub shape corresponding to the parameter region , and a unimodal shape corresponding to the parameter region .
Proof.
By letting , the HRF can be viewed as a function in v given by
Then, the first partial derivative of is given by
One can also observe that the first term in Equation (5) is less than . Thus, the sum of the first two terms in Equation (5) is equal to which is positive if , and negative if .
By using the L’Hospital rule again, the limit of the second term in Equation (6) when v goes to infinity is if and if . When v goes to infinity, the convergence of the last two terms goes to zero is clearly faster than that of the first two terms in the Equation (5). Hence, when v goes to infinity, the sign of Equation (6) is basically determined by the sign of the first term.
Therefore, we can conclude that the HRF of the NEGLED decreases when and ( and ), and increases when and ( and ). Moreover, when and , and , which indicates that there exists and when , , the HRF is increasing; when , , the HRF is decreasing. Hence, the HRF of the NEGLED behaves unimodally when and . Similarly, when and , and , which implies that there exists and when , , the HRF is decreasing; when , , the HRF is increasing. Hence, the HFR has a bathtub shape property when and . □
The distinct types of hazard shapes of the NEGLED are illustrated in Figure 2. We use , and in Figure 2a–c, and use different selections of for plots in Figure 2d, and they are not reported here for brevity. Note that the HRF of the NELGED can also exhibit a unimodal shape even when .
Figure 2.
Plots of the hazard rate functions of the NEGLED. (a) ; (b) , ; (c) ; (d) .
3. Some Statistical Properties
In this section, we derive some important statistical measures. First, based on the results of Piegorsch and Casella [23], we discuss the existence of negative moments of first order and orders greater than one for when . Then, following the proofs in Lee and Tsai [24] and Shakhartreh et al. [25], we are able to obtain the expressions of the th moment of th order statistic, and the properties of mean residual lifetime and asymptotic distributions.
3.1. Negative Moments
Piegorsch and Casella [23,26] showed that, a continuous density function with for some implies that ; and for some implies that for . Based on their results, we have the following theorem.
Theorem 4.
Let NEGLED, and define, , i.e., NEGLED, , then it follows that if and only if ; and if and only if for .
Proof.
By Taylor’s expansion, as . Then, by taking in the condition, we have
showing that if and only if .
In the same manner, by taking , i.e., for in the condition, , showing that, for , if and only if . □
3.2. Moments of Order Statistics
The following lemma (Equation (2.3) of Lemonte et al. [27]) can be used to obtain the th moment of th order statistic.
Lemma 1.
If and is a real number, then
Theorem 5.
The th moment of th order statistic is given by
where and are the lower and upper incomplete gamma functions, respectively.
Proof.
The PDF of the th order statistics is
Let . Then, , which gives the expression of the th moment of the th order statistics as
Applying the Binomial expansion to the term , we have
where Note that , if and , if . Then, applying the results when , and when , the integration term in Equation (7) can be further expressed as
Thus, by Lemma 1,
where . Applying Lemma 1 with and taking a transformation with , we have
Similarly, we have
Combining these results, we obtain
□
3.3. Mean Residual Lifetime
Using the following lemma, we obtain the approximation for the mean residual lifetime of the NEGLED, which can be used to derive the asymptotic distribution for maximum order statistic in Section 3.4. Some missprints have appeared in the proof of Theorem 3.4 of Shakhartreh et al. [25], we thus show the proof for the completeness.
Lemma 2.
If , , , then for sufficiently large t, i.e., ,
and
where
and
Proof.
By Lemma 1,
Applying Lemma 1 again, we have
where .
Similarly, from Lemma 1 and Euquation (8), we have
where . □
Theorem 6.
If NEGLED , then, for sufficiently large t, i.e., , the mean residual life
Proof.
By Binomial expansion,
so, for sufficiently large x, Define . Then, , where
Thus, the mean residual life
Next, we want to show . From Lemma 2,
Since and , it follows that
where
and
Note that, for sufficiently large t, and sufficiently small positive ,
and
Thus, we have an approximation
Therefore, as , , which leads to
□
3.4. Asymptotic Distributions
Here, we utilize the results of Arnold et al. [28] to derive the asymptotic distributions for extreme order statistics and based on a random sample of size n.
Theorem 7.
Let be a random sample from the NEGLED(), then
where W is a random variable whose CDF is , and
with
Proof.
Following from the Theorems 8.3.1(iii), 8.3.2(iii), and 8.3.4(iii) of Arnold et al. [28], it suffices to show that
This can be easily obtained by applying the results of and in Theorem 6, i.e.,
□
Theorem 8.
Let be a random sample from the NEGLED(), then
where be a random variable whose CDF is , and
with as defined in Equation (9).
Proof.
Following from Theorems 8.3.1(ii), 8.3.5(ii), and 8.3.6(ii) of Arnold et al. [28], it suffices to show
By Taylor’s expansion,
Then, from as and L’Hospital rule, we have
□
4. Estimation Procedures
In this section, we describe five estimation methods that we have used in our simulation study.
4.1. Maximum Likelihood Estimation
For an independent and identically distributed random sample from NEGLED (, ), i.e., the log-likelihood function of based on the sample is given by
where . Thus, the MLE can be obtained by solving the following likelihood equations:
where
and
For and , the density is J-shaped, so MLE either do not exist at all or are inconsistent. Therefore, in finding MLE, we need to verify that a solution of the likelihood equations really is a local maximum.
It can be seen that the above equations related to the parameters need to be solved numerically. For the Newton–Raphson method, the elements of the Hessian matrix of the likelihood function (i.e., the second partial derivatives of the log-likelihood function with respect to the parameters) can be found in Liu [29].
4.2. Corrected Maximum Likelihood Estimation
Cheng and Iles [19] proposed a corrected log-likelihood
to estimate the unknown parameters. They suggested to use , or the first non-zero difference between consecutive ordered observations in the case of ties for a better performance. By choosing , the corrected log-likelihood function can be written as
The corrected MLE can be obtained from maximizing with respect to the parameters subject to the constraint .
4.3. Modified Maximum Likelihood Estimation
Harter and Moore [16] suggested to use as the estimate of , i.e., , and then maximize the modified log-likelihood function based on the remaining observations, which can be written as
The modified MLE can be obtained from maximizing with respect to subject to the constraint .
4.4. Maximum Product of Spacing Estimation
Chen and Amin [17] suggested to maximize a certain product of spacings rather than a product of densities to overcome the problem of the unbounded likelihood. More precisely, instead of finding the parameter values that maximize the likelihood function, the MPS estimates are obtained from maximizing
where and , with respect to subject to the constraint .
4.5. Least Squares Estimation
Ng et al. [20] used the nonlinear weighted least squares estimation discussed in Jukić et al. [21] and Markovic et al. [22] for the three-parameter Weibull distribution based on progressively Type-II censored samples. The least squares estimates are obtained by minimizing
where is a nonparametric estimate of CDF and . Here, we use the Kaplan–Meier estimator and Greenwood’s formula to estimate the variances. That is,
where is the risk set at and
5. Simulation Study and Numerical Example
In this section, we carry out a simulation study to evaluate the performance of estimation methods in Section 4. We also present a numerical example to illustrate the methodologies discussed in this paper.
5.1. Simulation Study
We now compare the performance of different methods in different settings in terms of the precision in estimation and reliability. The samples of size from the NEGLED with were generated, respectively. These settings cover all four different types of hazard rate functions discussed in Figure 3. For each setting, we compute the parameter estimates by the maximum likelihood estimation, the corrected maximum likelihood estimation, the modified maximum likelihood estimation, the maximum product of spacing estimation, and the least squares estimation methods (denoted as MLE, CMLE, MMLE, MPS, and LSE methods). The simulated biases and mean square errors (MSEs) based on 5000 sets of valid estimates for each method are reported in Table 1, Table 2, Table 3, Table 4, Table 5, Table 6, Table 7, Table 8 and Table 9. We also report the associated total MSE (TMSE) of five parameters, the total number of tryouts for 5000 valid estimates, and the percent of times of obtaining reliable estimates. The computer program for obtaining the estimates in this section is written in R Version 4.1.0 with multiStartoptim command, and it is available from the authors upon request.
Figure 3.
The comparison of rainfall distributions, 1960 vs. 2001.
Table 1.
Simulated biases and MSEs (in parentheses) of the parameter estimates obtained based on different methods for .
Table 2.
Simulated biases and MSEs (in parentheses) of the parameter estimates obtained based on different methods for .
Table 3.
Simulated biases and MSEs (in parentheses) of the parameter estimates obtained based on different methods for .
Table 4.
Simulated biases and MSEs (in parentheses) of the parameter estimates obtained based on different methods for .
Table 5.
Simulated biases and MSEs (in parentheses) of the parameter estimates obtained based on different methods for .
Table 6.
Simulated biases and MSEs (in parentheses) of the parameter estimates obtained based on different methods for .
Table 7.
Simulated biases and MSEs (in parentheses) of the parameter estimates obtained based on different methods for .
Table 8.
Simulated biases and MSEs (in parentheses) of the parameter estimates obtained based on different methods for .
Table 9.
Simulated biases and MSEs (in parentheses) of the parameter estimates obtained based on different methods for .
From these simulation results, it can be seen that, as the sample size n increases, both MSEs and TMSE decrease for estimators in most cases. In addition, on average, the TMSE of MMLE, MPS, and LSE are greater than those of CMLE and MLE. In comparing the percentage of obtaining reliable estimates, MLE and MMLE tend to have significantly lower rates in Table 3, Table 4, Table 5, Table 6 and Table 7. According to these results, taking the accuracy and reliability of the estimates, we recommend using CMLE for obtaining the parameter estimates of NEGLED.
5.2. Illustrative Example
In this section, we present the application of the NEGLED to a rainfall data from the Department of Meteorology in Tallahassee, Florida, to illustrate its flexibility among a set of competitive models. Table 10 shows the annual maximum daily rainfall for the years from 1901 to 2001, except the years 1904, 1940 to 1942, and 1974 are missing. The record rainfalls were measured at Orlando Executive Airport near downtown Orlando, except from 1975 to 1998 when the weather station was at Orlando International Airport.
Table 10.
Annual maximum daily rainfall (inches) for Orlando (1901–2001).
Using the standard Gumbel distribution, the exponentiated Gumbel distribution (EGD), and the generalized extreme value distribution, Nadarajah [30] has reported that the EGD model,
for , , and , provides a better fit than the other two models. The estimated parameters and the value of the AIC for the EGD model are
Before comparing the performance of the model fitting of the NEGLED with some well-known distributions, a bootstrapped Kolmogorov–Smirnov (KS) test is used to investigate whether there exists a change in the distributions of rainfall from 1960 to 2001 or not, and the scaled total time on test (TTT) plot mentioned by Aarset [31] and empirical hazard function plot are used to identify the possible shape for the hazard function.
Figure 3 shows that the distributions of rainfall do not visually appear different in shape. We then compare the mean, median, and interquartile range (IQR) (the width of the range between the 25th and 75th percentiles) in Table 11. The mean and median have only changed by about 1–3%, but a distinct downward trend has shown in the IQR, about 13%, from 1960 to 2001.
Table 11.
Summary statistics of the rainfall data sets.
To detect differences in distributions, we perform a bootstrapped KS test with 1000 iterations by using the ks.boot function in the R package Matching with “reference” sample is a small data set based on data from the 1960 Orlando rainfall data, and the “current” sample is a much larger data set based on data from the 2001 Orlando rainfall data. The two-sample KS test value is 0.084821 with p-value , so we conclude that there is no difference between distribution from 2001 and that in 1960. The same conclusion also occurs when we examine the distributions of rainfall from 1980 to 2001.
The empirical TTT plot can be obtained by plotting , where and , denote the ordered observations against , where . Aarset [31] mentioned that the scaled TTT transform is convex (concave) if the hazard function decreases (increases) and the hazard function is a bathtub (unimodal) if the scaled TTT transform changes from convex (concave) to concave (convex). The TTT plot for the rainfall data set is presented in Figure 4. This plot indicates first concave and slightly crossing the red line on the right upper tail. Moreover, Figure 4, which contains the plot of the empirical hazard function of the rainfall data suggests that the unimodality of the hazard function. Under the NEGLED model in Table 12 below, the estimates of and by CMLE method are 0.3837 and 52.0227, respectively, indicating unimodal hazard rate function (see Figure 2d). Therefore, the NEGLED is appropriate to fit the rainfall data since this distribution can present unimodal hazard function.
Figure 4.
(a) The empirical TTT plot; (b) the empirical and estimated hazard functions; (c) the histogram and estimated PDFs; and (d) the empirical and estimated survival functions for the rainfall data.
Table 12.
The MLE of the model parameters, the values of log-likelihood function, the KS test statistics, the p-values of the KS tests, and the values of the AIC for three selected models.
Now, we compare the fit of the NEGLED with that of GLED, EGLED, EGD, and some well-known distributions. We present the parameter estimates, the values of log-likelihood function, the KS test statistics along with their corresponding p-values, and the values of Akaike Information Criterion (AIC), which is given by
where k is the number of estimated parameters in the model. For brevity, Table 12 shows only the best three models, GLED, EGLED and NEGLED, in our selection. All three of the models have smaller values of the AIC than that of the EGD. Based on the p-values of the KS tests, it is appropriate to assume the NEGLED model for this data set.
In Figure 4, we also plot the histogram and estimated PDFs, the empirical and estimated survival functions, and the estimated hazard functions under these four models. It can be seen that the GLED model does not provide a good fit with the data set. Compared to the EGLED model, the empirical and estimated hazard functions show that the NEGLED model provides a better fit for the rainfall data, even though the NEGLED has a slightly larger value of the AIC.
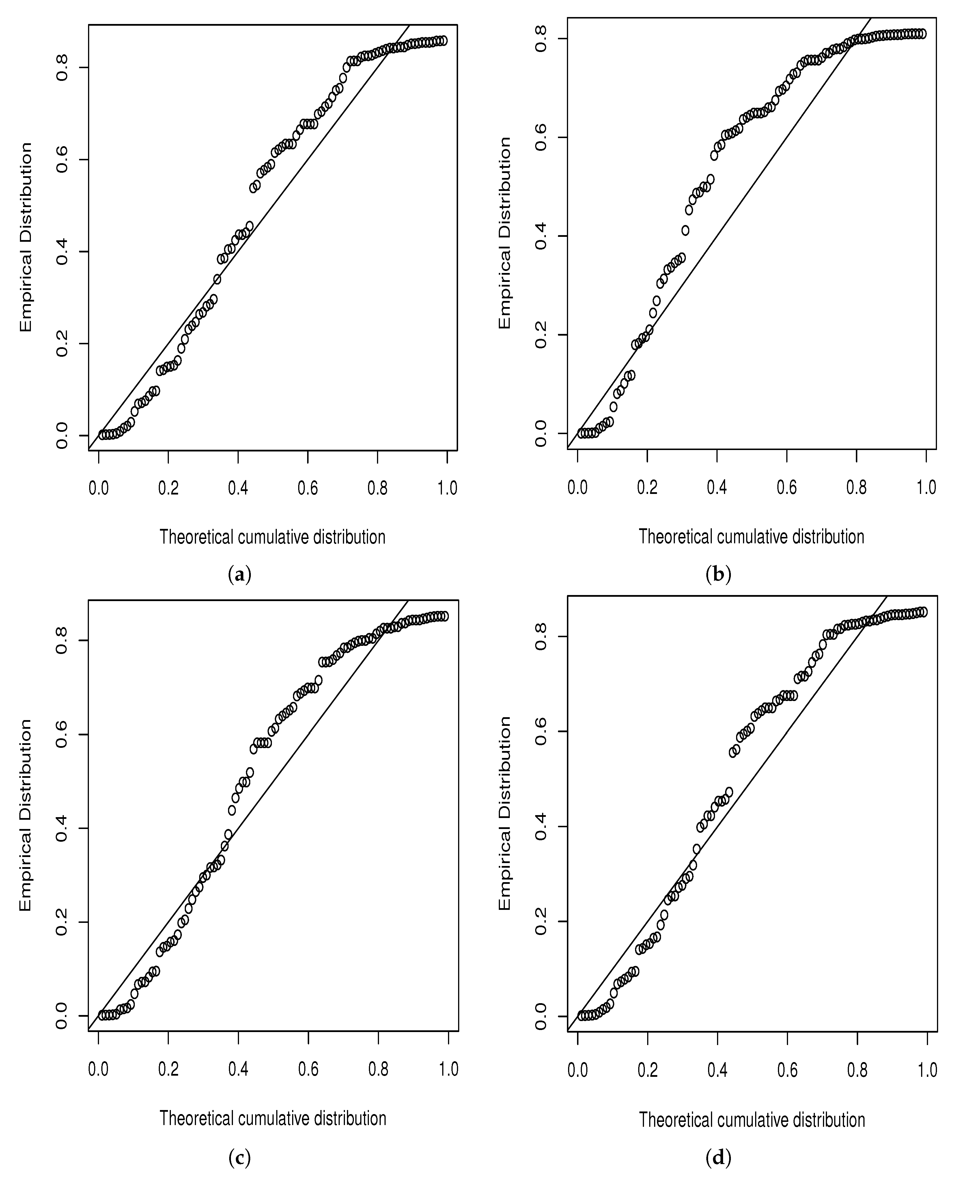
Finally, the PP plots for the NEGLED and other three fitted distributions are displayed in Figure 5. From those graphical tools, we can conclude that the NEGLED is a suitable model to fit the considered rainfall data.
Figure 5.
PP Plots for the distributions (a) EGD; (b) GLED; (c) EGLED; and (d) NEGLED.
6. Conclusions
In this paper, we give formal proofs for the parameter regions corresponding to the shapes of the PDF and HRF of the NEGLED. We also derive some reliability measures such as the negative moments, th moment of th order statistic, mean life residual, and asymptotic distributions for sample extreme order statistics.
Moreover, we discuss CMLE, MMLE, MLE, MPS, and LSE methods for the NEGLED. Based on the results from the Monte Carlo simulation, the performance of the estimates obtained by CMLE are superior to the other methods considered here in terms of biases, MSEs, TMSE, and rates of obtaining reliable estimates. Hence, we recommend using a CMLE procedure for obtaining the parameter estimates of NEGLED.
From our numerical example, compared to the GLED, EGLED and EGD, the NEGLED model is easy to use for lifetime data in reliability and climate applications. A future research is to show the consistency and asymptotic normality of the local MLE for this model. We hope we can present the results in the near future.
Author Contributions
Conceptualization, C.-T.L. and Y.L.; methodology, C.-T.L. and Y.L.; software, Y.-W.L., Z.-W.C. and H.M.O.; validation, C.-T.L. and Y.L.; formal analysis, C.-T.L. and Y.L.; investigation, C.-T.L. and Y.L.; resources, C.-T.L.; data curation, Y.-W.L. and Z.-W.C.; writing—original draft preparation, C.-T.L.; writing—review and editing, C.-T.L.; visualization, C.-T.L.; supervision, C.-T.L.; project administration, C.-T.L.; funding acquisition, C.-T.L. All authors have read and agreed to the published version of the manuscript.
Funding
This research was funded by the Ministry of Science and Technology of the Republic of China, Taiwan Grant No. MOST 110-2118-M-032-004-MY2.
Institutional Review Board Statement
Not applicable.
Informed Consent Statement
Not applicable.
Data Availability Statement
One data set is contained within the article.
Acknowledgments
The authors would like to thank the anonymous referees for their suggestions and comments to significantly improve this manuscript.
Conflicts of Interest
The authors declare no conflict of interest.
References
- Poonia, N.; Azad, S. A new exponentiated generalized linear exponential distribution: Properties and application. RMS Res. Math. Stat. 2021, 8, 1953233. [Google Scholar] [CrossRef]
- Mahmoud, M.A.W.; Alam, F.M.A. The generalized linear exponential distribution. Stat. Probab. Lett. 2010, 80, 1005–1014. [Google Scholar] [CrossRef]
- Sarhan, A.M.; Ahmad, A.E.; Alasbahi, I.A. Exponentiated generalized linear exponential distribution. Appl. Math. Model. 2013, 37, 2838–2849. [Google Scholar] [CrossRef]
- Lai, C.D.; Xie, M.; Murthy, D.N.P. Bathtub shaped failure rate life distributions. In Handbook of Statistics-20: Advanced in Reliability; Balakrishnan, N., Rao, C.R., Eds.; North-Holland: Amsterdam, The Netherlands, 2001; pp. 69–104. [Google Scholar]
- Xie, M.; Tang, Y.; Goh, T.N. A modified Weibull extension with bathtub-shaped failure rate function. Reliab. Eng. Syst. Saf. 2002, 76, 279–285. [Google Scholar] [CrossRef]
- Zhang, T.; Xie, M.; Tang, L.C.; Ng, S.H. Reliability and modeling of systems integrated with firmware and hardware. Int. J. Reliab. Qual. Saf. Eng. 2005, 12, 227–239. [Google Scholar] [CrossRef]
- Sarhan, A.; Kundu, D. Generalized linear failure rate distribution. Commun. Stat.–Theory Methods 2009, 38, 642–660. [Google Scholar] [CrossRef] [Green Version]
- Mudholkar, G.S.; Srivastava, D.K. Exponentiated Weibull family for analyzing bathtub failure rate data. IEEE Trans. Reliab. 1993, 42, 299–302. [Google Scholar] [CrossRef]
- Johnson, N.L.; Kotz, S.; Balakrishnan, N. Continuous Univariate Distributions, 2nd ed.; Wiley: New York, NY, USA, 1994; Volume 1. [Google Scholar]
- Gupta, R.D.; Kundu, D. Generalized exponential distribution. Aust. N. Z. J. Stat. 1999, 41, 173–188. [Google Scholar] [CrossRef]
- Kundu, D.; Raqab, M.Z. Generalized Rayleigh distribution: Different methods of estimations. Comput. Stat. Data Anal. 2005, 49, 187–200. [Google Scholar] [CrossRef]
- Mendenhall, W.; Lehman, E.H., Jr. An approximation to the negative moments of the positive binomial useful in life testing. Technometrics 1960, 2, 227–242. [Google Scholar] [CrossRef]
- Chao, M.T.; Strawderman, W.E. Negative moments of positive random variables. J. Am. Stat. Assoc. 1972, 67, 429–431. [Google Scholar] [CrossRef]
- Savage, I.R. Statistical exercise. Int. Stat. Rev. 1980, 48, 103–116. [Google Scholar] [CrossRef]
- Dembinska, A.; Goroncy, A. Moments of order statistics from DNID discrete random variables with application in reliability. J. Comput. Appl. Math. 2020, 371, 112703. [Google Scholar] [CrossRef] [Green Version]
- Harter, H.L.; Moore, A.H. Local-maximum-likelihood estimation of the parameters of the three-parameter lognormal populations from complete and censored samples. J. Am. Stat. Assoc. 1966, 61, 842–851. [Google Scholar] [CrossRef]
- Cheng, R.C.H.; Amin, N.A.K. Estimating parameters in continuous univariate distributions with a shifted origin. J. R. Stat. Soc. B 1983, 45, 394–403. [Google Scholar] [CrossRef]
- Smith, R.L. Maximum likelihood estimation in a class of nonregular cases. Biometrika 1985, 72, 67–90. [Google Scholar] [CrossRef]
- Cheng, R.C.H.; Iles, T.C. Corrected maximum likelihood in non-regular problems. J. R. Stat. Soc. Ser. B 1987, 49, 95–101. [Google Scholar] [CrossRef]
- Ng, H.K.T.; Luo, L.; Hu, Y.; Duan, F. Parameter estimation of three parameter Weibull distribution based on progressively Type-II censored samples. J. Stat. Comput. Simul. 2012, 82, 1661–1678. [Google Scholar] [CrossRef]
- Jukić, D.; Benšić, M.; Scitovski, R. On the existence of the nonlinear weighted least squares estimate for a three-parameter Weibull distribution. Comput. Stat. Data Anal. 2008, 52, 4502–4511. [Google Scholar]
- Markovic, D.; Jukić, D.; Benšić, M. Nonlinear weighted least squares estimation of a three-parameter Weibull density with a nonparametric start. J. Comput. Appl. Math. 2009, 228, 304–312. [Google Scholar] [CrossRef] [Green Version]
- Piegorsch, W.W.; Casella, G. The existence of the first negative moment. Am. Stat. 1985, 39, 60–62. [Google Scholar]
- Lee, C.S.; Tsai, H.J. A note on the generalized linear exponential distribution. Stat. Probab. Lett. 2017, 124, 49–54. [Google Scholar] [CrossRef]
- Shakhartreh, M.S.; Yusuf, A.; Mugdadi, A.R. The beta generalized linear exponential distribution. Statistics 2016, 50, 1346–1362. [Google Scholar] [CrossRef]
- Piegorsch, W.W.; Casella, G. The Existence of Negative Moments of Continuous Distributions; Biometrics Unit Technical Reports; Number BU-771-M; Cornell University: Ithaca, NY, USA, 1982. [Google Scholar]
- Lemonte, A.J.; Souza, W.B.; Cordeiro, G.M. The exponential Kumaraswamy distribution and its log-transform. Braz. J. Probab. Stat. 2013, 27, 31–53. [Google Scholar] [CrossRef]
- Arnold, B.C.; Balakrishnann, N.; Nagaraja, H.N. First Course in Order Statistics; Wiley: New York, NY, USA, 1992; pp. 210–214. [Google Scholar]
- Liu, Y. The Modified Exponentiated Generalized Linear Exponential Distribution. Master’s Thesis, Tamkang University, New Taipei City, Taiwan, 2021. [Google Scholar]
- Nadarajah, S. The exponentiated Gumbel distribution with climate application. Environmetrics 2006, 17, 13–23. [Google Scholar] [CrossRef]
- Aarset, M.V. How to identify bathtub hazard rate. IEEE Trans. Reliab. 1987, 36, 106–108. [Google Scholar] [CrossRef]
Publisher’s Note: MDPI stays neutral with regard to jurisdictional claims in published maps and institutional affiliations. |
© 2021 by the authors. Licensee MDPI, Basel, Switzerland. This article is an open access article distributed under the terms and conditions of the Creative Commons Attribution (CC BY) license (https://creativecommons.org/licenses/by/4.0/).




