Cortisol as an Independent Predictor of Unfavorable Outcomes in Hospitalized COVID-19 Patients
Abstract
:1. Introduction
2. Materials and Methods
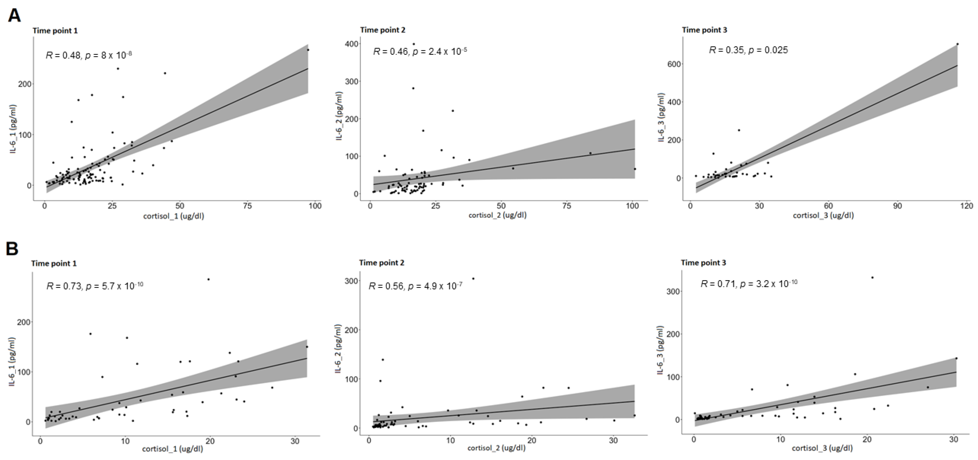
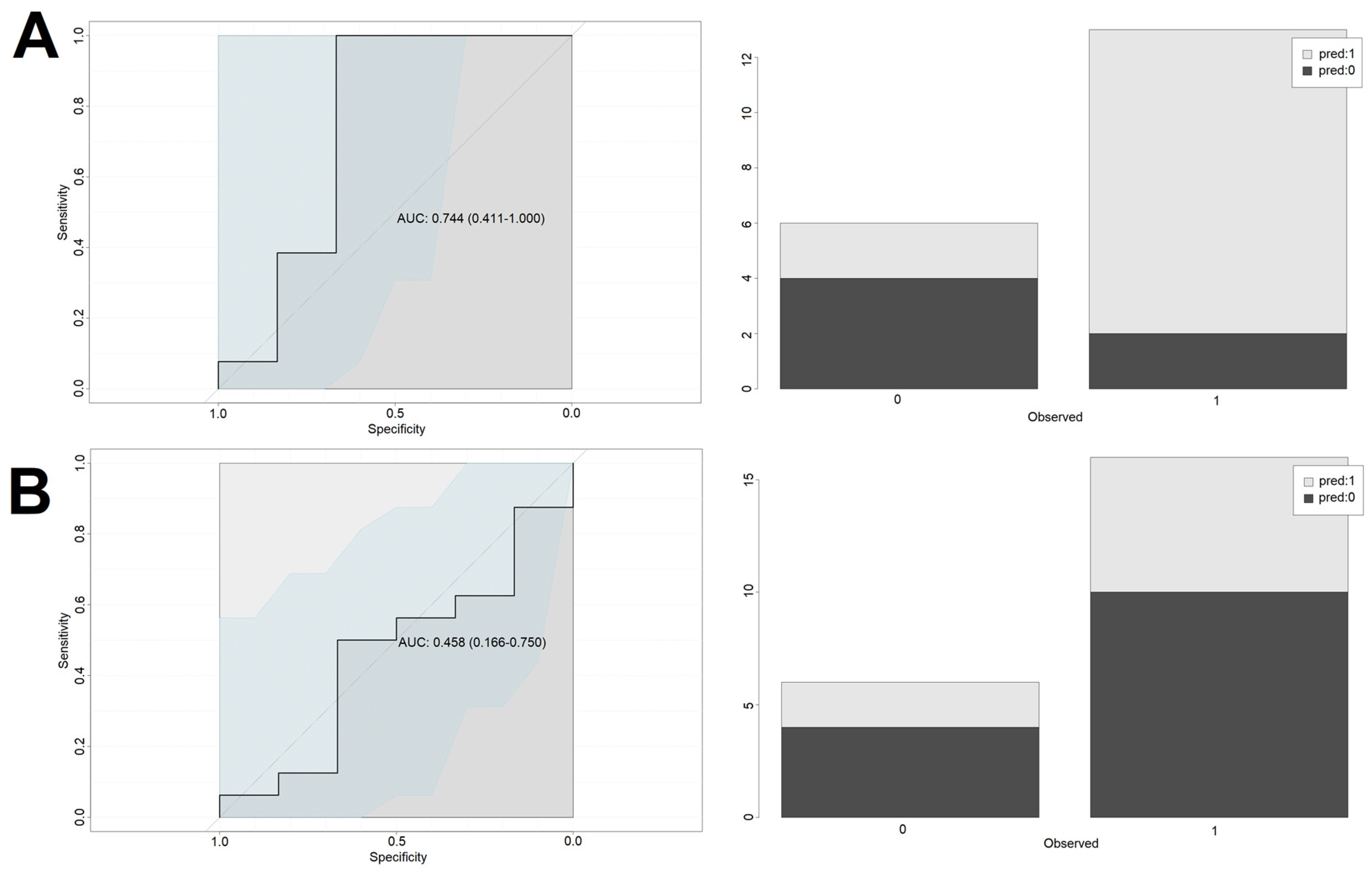
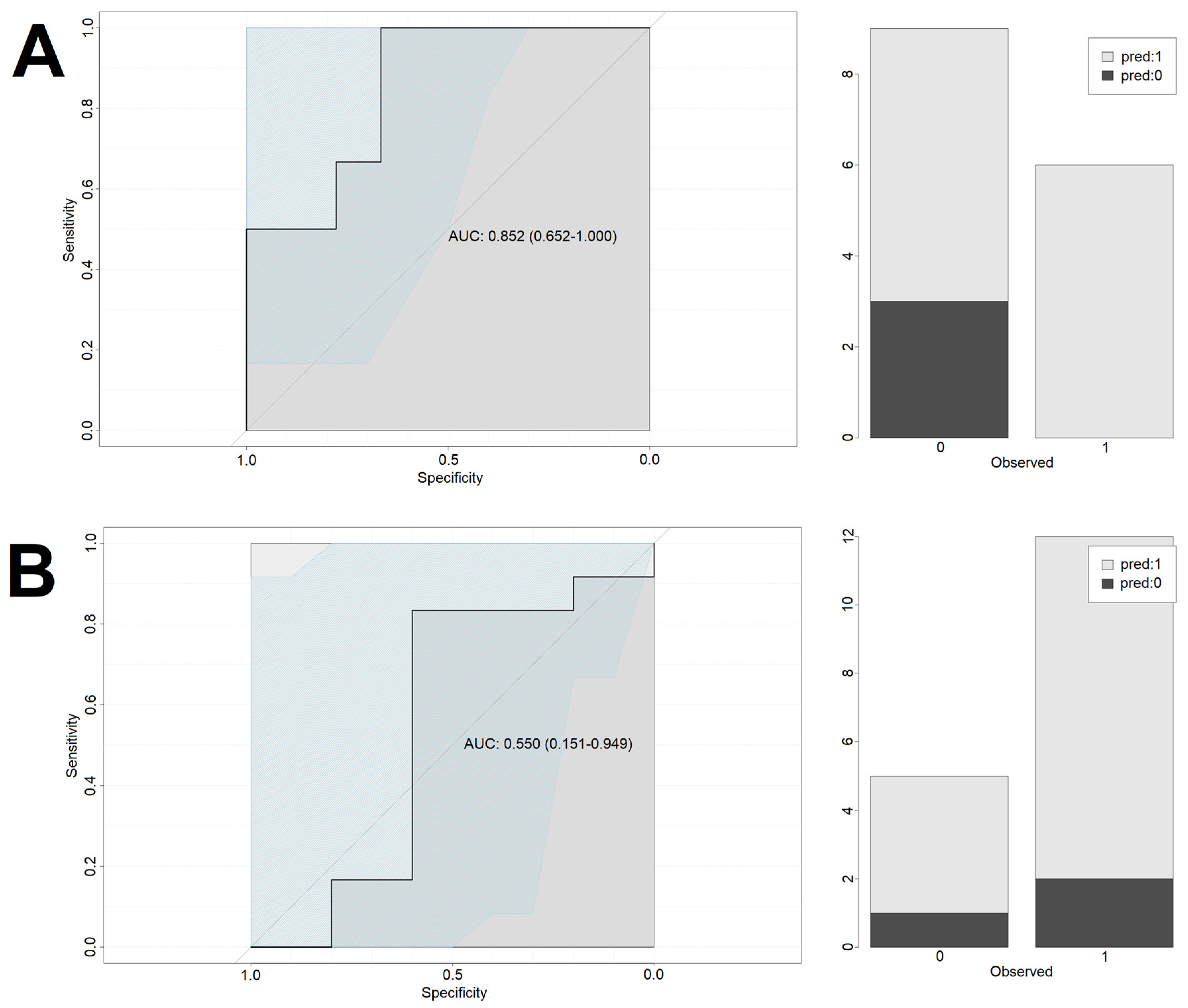
3. Results
4. Discussion
5. Conclusions
Supplementary Materials
Author Contributions
Funding
Institutional Review Board Statement
Informed Consent Statement
Data Availability Statement
Acknowledgments
Conflicts of Interest
References
- WHO Coronavirus (COVID-19) Dashboard|WHO Coronavirus (COVID-19) Dashboard with Vaccination Data. Available online: https://covid19.who.int/ (accessed on 7 March 2022).
- Tan, T.; Khoo, B.; Mills, E.G.; Phylactou, M.; Patel, B.; Eng, P.C.; Thurston, L.; Muzi, B.; Meeran, K.; Prevost, A.T.; et al. Association between high serum total cortisol concentrations and mortality from COVID-19. Lancet Diabetes Endocrinol. 2020, 8, 659–660. [Google Scholar] [CrossRef]
- Güven, M.; Gültekin, H. Could serum total cortisol level at admission predict mortality due to Corona-virus disease 2019 in the intensive care unit? A prospective study. Sao Paulo Med. J. Rev. Paul. Med. 2021, 139, 398–404. [Google Scholar] [CrossRef] [PubMed]
- Yavropoulou, M.P.; Filippa, M.G.; Mantzou, A.; Ntziora, F.; Mylona, M.; Tektonidou, M.G.; Vlachogiannis, N.I.; Paraskevis, D.; Kaltsas, G.A.; Chrousos, G.P.; et al. Alterations in cortisol and interleukin-6 secretion in patients with COVID-19 suggestive of neuroendocrine-immune adaptations. Endocrine 2022, 75, 317–327. [Google Scholar] [CrossRef] [PubMed]
- Ramezani, M.; Simani, L.; Karimialavijeh, E.; Rezaei, O.; Hajiesmaeili, M.; Pakdaman, H. The role of anxiety and cortisol in outcomes of patients with Covid-19. Basic Clin. Neurosci. 2020, 11, 179–184. [Google Scholar] [CrossRef] [PubMed]
- RECOVERY Collaborative Group; Dhasmana, D.J. Dexamethasone in Hospitalized Patients with COVID-19. N. Engl. J. Med. 2021, 384, 693–704. [Google Scholar] [CrossRef]
- Sterne, J.A.C.; Murthy, S.; Diaz, J.V.; Slutsky, A.S.; Villar, J.; Angus, D.C.; Annane, D.; Azevedo, L.C.P.; Berwanger, O.; Cavalcanti, A.B.; et al. Association between Administration of Systemic Corticosteroids and Mortality among Critically Ill Patients with COVID-19: A Meta-Analysis. JAMA J. Am. Med. Assoc. 2020, 324, 1330–1341. [Google Scholar] [CrossRef]
- Corral-Gudino, L.; Bahamonde, A.; Arnaiz-Revillas, F.; Gómez-Barquero, J.; Abadía-Otero, J.; García-Ibarbia, C.; Mora, V.; Cerezo-Hernández, A.; Hernández, J.L.; López-Muñíz, G.; et al. Methylprednisolone in Adults Hospitalized with COVID-19 Pneumonia: An Open-Label Randomized Trial (GLUCOCOVID). Wien. Klin. Wochenschr. 2021, 133, 303–311. [Google Scholar] [CrossRef]
- The Writing Committee for the Remap-CAP Investigators. Effect of hydrocortisone on mortality and organ support in patients with severe COVID-19: The Remap-Cap COVID-19 corticosteroid domain randomized clinical trial. JAMA J. Am. Med. Assoc. 2020, 324, 1317–1329. [Google Scholar] [CrossRef]
- Tomazini, B.M.; Maia, I.S.; Cavalcanti, A.B.; Berwanger, O.; Rosa, R.G.; Veiga, V.C.; Avezum, A.; Lopes, R.D.; Bueno, F.R.; Silva, M.V.A.O.; et al. Effect of dexamethasone on days alive and ventilator-free in patients with moderate or severe acute respiratory distress syndrome and COVID-19: The CoDEX randomized clinical trial. JAMA J. Am. Med. Assoc. 2020, 324, 1307–1316. [Google Scholar] [CrossRef]
- Siemieniuk, R.A.C.; Bartoszko, J.J.; Ge, L.; Zeraatkar, D.; Izcovich, A.; Pardo-Hernandez, H.; Rochwerg, B.; Lamontagne, F.; Han, M.A.; Kum, E.; et al. Drug treatments for Covid-19: Living systematic review and network meta-analysis. BMJ 2020, 370, m2980. [Google Scholar] [CrossRef]
- COVID-19 Treatment Guidelines. Available online: https://www.covid19treatmentguidelines.nih.gov/about-the-guidelines/table-of-contents/ (accessed on 24 June 2022).
- Timmermans, S.; Souffriau, J.; Libert, C. A general introduction to glucocorticoid biology. Front. Immunol. 2019, 10, 1545. [Google Scholar] [CrossRef] [PubMed] [Green Version]
- Sapolsky, R.M.; Romero, L.M.; Munck, A.U. How do glucocorticoids influence stress responses? Integrating permissive, suppressive, stimulatory, and preparative actions. Endocr. Rev. 2000, 21, 55–89. [Google Scholar] [CrossRef] [PubMed] [Green Version]
- Berlińska, A.; Świątkowska-Stodulska, R.; Sworczak, K. Old problem, new concerns: Hypercortisolemia in the time of COVID-19. Front. Endocrinol. 2021, 12, 711612. [Google Scholar] [CrossRef]
- Berlińska, A.; Świątkowska-Stodulska, R.; Sworczak, K. Factors affecting dexamethasone suppression test results. Exp. Clin. Endocrinol. Diabetes 2020, 128, 667–671. [Google Scholar] [CrossRef]
- Nieman, L.K.; Biller, B.M.K.; Findling, J.W.; Newell-Price, J.; Savage, M.O.; Stewart, P.M.; Montori, V.M.; Ed-wards, H. The diagnosis of cushing’s syndrome: An endocrine society clinical practice guideline. J. Clin. Endocrinol. Metab. 2008, 93, 1526–1540. [Google Scholar] [CrossRef] [PubMed]
- Findling, J.W.; Raff, H. Differentiation of pathologic/neoplastic hypercortisolism (cushing’s syndrome) from physiologic/non-neoplastic hypercortisolism (formerly known as pseudo-cushing’s syndrome). Eur. J. Endocrinol. 2017, 176, R205–R216. [Google Scholar] [CrossRef] [Green Version]
- Świątkowska-Stodulska, R.; Berlińska, A.; Stefańska, K.; Kłosowski, P.; Sworczak, K. Cyclic cushing’s syn-drome–A diagnostic challenge. Front. Endocrinol. 2021, 12, 658429. [Google Scholar] [CrossRef]
- Szarpak, Ł.; Nowak, B.; Kosior, D.; Zaczynski, A.; Filipiak, K.J.; Jaguszewski, M.J. Cytokines as predictors of COVID-19 severity: Evidence from a meta-analysis. Pol. Arch. Intern. Med. 2021, 131, 98–99. [Google Scholar] [CrossRef]
- Boonen, E.; Bornstein, S.R.; van den Berghe, G. New insights into the controversy of adrenal function during critical illness. Lancet Diabetes Endocrinol. 2015, 3, 805–815. [Google Scholar] [CrossRef]
- Boonen, E.; Vervenne, H.; Meersseman, P.; Andrew, R.; Mortier, L.; Declercq, P.E.; Vanwijngaerden, Y.-M.; Spriet, I.; Wouters, P.J.; vander Perre, S.; et al. Reduced cortisol metabolism during critical illness. N. Engl. J. Med. 2013, 368, 1477–1488. [Google Scholar] [CrossRef] [Green Version]
- Sam, S.; Corbridge, T.C.; Mokhlesi, B.; Comellas, A.P.; Molitch, M.E. Cortisol levels and mortality in severe sepsis. Clin. Endocrinol. 2004, 60, 29–35. [Google Scholar] [CrossRef] [PubMed]
- Barugh, A.J.; Gray, P.; Shenkin, S.D.; MacLullich, A.M.J.; Mead, G.E. Cortisol levels and the severity and outcomes of acute stroke: A systematic review. J. Neurol. 2014, 261, 533–545. [Google Scholar] [CrossRef] [PubMed] [Green Version]
- Salluh, J.I.F.; Shinotsuka, C.R.; Soares, M.; Bozza, F.A.; Lapa e Silva, J.R.; Tura, B.R.; Bozza, P.T.; Vidal, C.G. Cortisol levels and adrenal response in severe community-acquired pneumonia: A systematic review of the literature. J. Crit. Care 2010, 25, 541.e1–541.e8. [Google Scholar] [CrossRef] [PubMed]
- Levy-Shraga, Y.; Pinhas-Hamiel, O.; Molina-Hazan, V.; Tamir-Hostovsky, L.; Eini, Z.M.; Lerner-Geva, L.; Paret, G. Elevated baseline cortisol levels are predictive of bad outcomes in critically ill children. Pediatric Emerg. Care 2018, 34, 613–617. [Google Scholar] [CrossRef]
- Khodeir, M.M.; Shabana, H.A.; Alkhamiss, A.S.; Rasheed, Z.; Alsoghair, M.; Alsagaby, S.A.; Khan, M.I.; Fer-nández, N.; al Abdulmonem, W. Early prediction keys for COVID-19 cases progression: A meta-analysis. J. Infect. Public Health 2021, 14, 561–569. [Google Scholar] [CrossRef]
- Alzahrani, A.S.; Mukhtar, N.; Aljomaiah, A.; Aljamei, H.; Bakhsh, A.; Alsudani, N.; Elsayed, T.; Alrashidi, N.; Fadel, R.; Alqahtani, E.; et al. The impact of COVID-19 viral infection on the hypothalamic-pituitary-adrenal axis. Endocr. Pract. 2021, 27, 83–89. [Google Scholar] [CrossRef]
- Amiri-Dashatan, N.; Koushki, M.; Parsamanesh, N.; Chiti, H. Serum cortisol concentration and COVID-19 severity: A systematic review and meta-analysis. J. Investig. Med. 2022, 70, 766–772. [Google Scholar] [CrossRef]
- Crook, H.; Raza, S.; Nowell, J.; Young, M.; Edison, P. Long Covid—mechanisms, risk factors, and management. BMJ 2021, 374. [Google Scholar] [CrossRef]
- Su, Y.; Yuan, D.; Chen, D.G.; Ng, R.H.; Wang, K.; Choi, J.; Li, S.; Hong, S.; Zhang, R.; Xie, J.; et al. Multiple early factors anticipate post-acute COVID-19 sequelae. Cell 2022, 185, 881–895. [Google Scholar] [CrossRef]
- Salzano, C.; Saracino, G.; Cardillo, G. Possible adrenal involvement in long COVID syndrome. Medicina (Kaunas) 2021, 57, 1087. [Google Scholar] [CrossRef]
- Kanczkowski, W.; Beuschlein, F.; Bornstein, S.R. Is there a role for the adrenal glands in long COVID? Nat. Rev. Endocrinol. 2022, 1–2. [Google Scholar] [CrossRef] [PubMed]
- Zinserling, V.A.; Semenova, N.Y.; Markov, A.G.; Rybalchenko, O.V.; Wang, J.; Rodionov, R.N.; Bornstein, S.R. Inflammatory cell infiltration of adrenals in COVID-19. Horm. Metab. Res. 2020, 52, 639–641. [Google Scholar] [CrossRef] [PubMed]
- Bornstein, S.R.; Allolio, B.; Arlt, W.; Barthel, A.; Don-Wauchope, A.; Hammer, G.D.; Husebye, E.S.; Merke, D.P.; Murad, M.H.; Stratakis, C.A.; et al. Diagnosis and treatment of primary adrenal insufficiency: An endocrine society clinical practice guideline. J. Clin. Endocrinol. Metab. 2016, 101, 364–389. [Google Scholar] [CrossRef] [PubMed] [Green Version]






| NGCG | GCG | |||||||||||
|---|---|---|---|---|---|---|---|---|---|---|---|---|
| Characteristics | N | Mean ± SD | LQ | Medium | UQ | Range | N | Mean ± SD | LQ | Medium | UQ | Range | 
| Age (years) | 118 | 67.229 ± 15.134 | 58.000 | 69.000 | 79.000 | 18.00–94.00 | 56 | 65.804 ± 14.984 | 56.750 | 68.000 | 75.750 | 31.00–90.00 | 
| BMI (kg/m2) | 95 | 26.815 ± 5.146 | 23.620 | 25.760 | 29.530 | 17.33–40.89 | 44 | 29.213 ± 5.156 | 25.620 | 27.895 | 31.328 | 19.53–44.08 | 
| Oxygen demand (L/min.) | 117 | 2.517 ± 5.237 | 0.000 | 0.000 | 4.000 | 0.00–30.00 | 56 | 10.562 ± 15.958 | 3.000 | 6.000 | 10.000 | 0.00–75.00 | 
| Hospital stay (days) | 118 | 12.890 ± 9.135 | 7.000 | 10.000 | 18.000 | 1.00–50.00 | 56 | 10.429 ± 6.126 | 6.000 | 9.000 | 14.250 | 1.00–30.00 | 
| Cortisol (µg/dL) | 111 | 17.000 ± 12.139 | 9.150 | 15.200 | 20.950 | 0.70–97.40 | 53 | 10.421 ± 8.249 | 2.600 | 9.300 | 16.800 | 0.60–31.40 | 
| ACTH (pg/mL) | 109 | 23.999 ± 20.239 | 11.600 | 18.100 | 31.700 | 1.20–127.00 | 52 | 11.573 ± 19.735 | 1.200 | 2.265 | 13.850 | 1.20–95.80 | 
| IL-6 (pg/mL) | 111 | 35.888 ± 47.938 | 9.390 | 19.400 | 41.650 | 1.410–267.00 | 53 | 233.631 ± 1368.543 | 7.210 | 20.000 | 59.100 | 1.41–10,000.00 | 
| CRP (mg/L) | 112 | 61.400 ± 67.871 | 9.875 | 39.700 | 84.775 | 0.700–320.10 | 53 | 103.50 ± 100.612 | 21.700 | 78.100 | 139.900 | 1.00–427.70 | 
| Leukocytes (^103/µL) | 112 | 6.786 ± 3.578 | 4.375 | 5.845 | 8.152 | 1.790–26.16 | 53 | 6.706 ± 3.823 | 3.920 | 5.590 | 8.280 | 1.90–21.22 | 
| Neutrocytes (^103/µL) | 112 | 4.640 ± 3.241 | 2.570 | 3.560 | 5.610 | 1.220–21.36 | 53 | 5.29 ± 3.670 | 3.120 | 4.390 | 6.520 | 1.08–20.24 | 
| Lymphocytes (^103/µL) | 112 | 1.332 ± 0.652 | 0.858 | 1.260 | 1.755 | 0.260–3.56 | 53 | 0.898 ± 0.499 | 0.650 | 0.800 | 1.030 | 0.17–2.78 | 
| NGCG | GCG | |||||||||||
|---|---|---|---|---|---|---|---|---|---|---|---|---|
| Characteristics | N | Mean ± SD | LQ | Medium | UQ | Range | N | Mean ± SD | LQ | Medium | UQ | Range | 
| Age (years) | 83 | 68.157 ± 14.374 | 60.000 | 70.000 | 78.500 | 18.00–94.00 | 74 | 65.459 ± 15.664 | 56.000 | 67.000 | 78.000 | 31.00–94.00 | 
| BMI (kg/m2) | 67 | 26.533 ± 4.877 | 23.775 | 25.950 | 28.360 | 17.40–40.82 | 58 | 28.752 ± 5.501 | 24.828 | 27.815 | 31.250 | 17.33–44.08 | 
| Oxygen demand (L/min.) | 82 | 2.293 ± 6.787 | 0.000 | 0.000 | 0.000 | 0.00–40.00 | 73 | 8.493 ± 11.168 | 0.000 | 5.000 | 11.000 | 0.00–60.00 | 
| Hospital stay (days) | 83 | 13.458 ± 9.793 | 7.000 | 10.000 | 18.500 | 2.00–50.00 | 74 | 12.730 ± 5.836 | 8.000 | 12.000 | 16.000 | 4.00–30.00 | 
| Cortisol (µg/dL) | 78 | 18.836 ± 14.801 | 11.900 | 16.600 | 20.475 | 1.20–101.00 | 70 | 6.369 ± 7.972 | 1.200 | 2.400 | 9.025 | 0.50–32.6 | 
| ACTH (pg/mL) | 76 | 29.719 ± 29.915 | 13.500 | 20.200 | 38.400 | 1.20–216.00 | 69 | 9.602 ± 18.058 | 1.200 | 2.010 | 6.790 | 1.20–92.50 | 
| IL-6 (pg/mL) | 78 | 41.296 ± 62.231 | 8.975 | 21.000 | 48.275 | 1.41–399.00 | 70 | 39.765 ± 167.153 | 3.990 | 7.920 | 18.100 | 1.41–1374.00 | 
| CRP (mg/L) | 79 | 52.347 ± 60.984 | 9.150 | 36.300 | 66.000 | 0.70–281.80 | 70 | 40.333 ± 41.274 | 13.875 | 24.750 | 57.425 | 0.80–171.30 | 
| Leukocytes (^103/µL) | 80 | 6.576 ± 3.230 | 4.355 | 5.615 | 8.035 | 0.56–18.25 | 69 | 7.460 ± 2.861 | 5.200 | 7.500 | 10.090 | 2.39–13.32 | 
| Neutrocytes (^103/µL) | 80 | 4.392 ± 2.997 | 2.375 | 3.250 | 5.862 | 0.25–14.31 | 69 | 5.658 ± 2.522 | 3.450 | 5.880 | 7.270 | 1.33–11.66 | 
| Lymphocytes (^103/µL) | 80 | 1.331 ± 0.676 | 0.880 | 1.200 | 1.765 | 0.12–3.92 | 69 | 1.040 ± 0.585 | 0.670 | 0.920 | 1.230 | 0.35–3.42 | 
| NGCG | GCG | |||||||||||
|---|---|---|---|---|---|---|---|---|---|---|---|---|
| Characteristics | N | Mean ± SD | LQ | Medium | UQ | Range | N | Mean ± SD | LQ | Medium | UQ | Range | 
| Age (years) | 46 | 68.435 ± 14.842 | 61.500 | 70.000 | 75.000 | 18.00–94.00 | 63 | 68.365 ± 14.544 | 61.500 | 69.000 | 80.000 | 31.00–94.00 | 
| BMI (kg/m2) | 38 | 26.054 ± 4.267 | 22.868 | 25.735 | 28.263 | 19.10–38.30 | 49 | 29.302 ± 5.980 | 24.690 | 27.940 | 32.030 | 17.33–44.08 | 
| Oxygen demand (L/min.) | 41 | 1.976 ± 5.303 | 0.000 | 0.000 | 0.000 | 0.00–30.00 | 61 | 4.984 ± 9.856 | 0.000 | 0.000 | 6.000 | 0.00–52.00 | 
| Hospital stay (days) | 46 | 15.565 ± 8.400 | 9.000 | 13.500 | 20.000 | 4.00–41.00 | 63 | 15.952 ± 8.261 | 10.000 | 14.000 | 19.000 | 6.00–50.00 | 
| Cortisol (µg/dL) | 40 | 19.925 ± 17.383 | 11.500 | 17.400 | 22.175 | 2.40–116.00 | 61 | 6.985 ± 7.525 | 1.000 | 3.100 | 11.900 | 0.10–30.30 | 
| ACTH (pg/mL) | 40 | 32.039 ± 24.176 | 16.950 | 23.600 | 42.150 | 2.95–114.00 | 61 | 13.086 ± 20.446 | 1.220 | 2.890 | 22.200 | 1.22–107.00 | 
| IL-6 (pg/mL) | 40 | 47.343 ± 115.409 | 8.705 | 16.900 | 29.275 | 1.41–704.00 | 61 | 140.251 ± 917.906 | 3.530 | 8.130 | 22.200 | 1.41–7182.00 | 
| CRP (mg/L) | 40 | 47.150 ± 54.222 | 8.550 | 32.800 | 58.500 | 0.80–280.30 | 62 | 37.098 ± 67.678 | 3.450 | 7.900 | 30.700 | 0.80–342.60 | 
| Leukocytes (^103/µL) | 40 | 6.558 ± 2.678 | 4.920 | 5.770 | 7.195 | 1.92–16.96 | 62 | 10.039 ± 5.770 | 6.478 | 9.230 | 11.925 | 3.09–39.01 | 
| Neutrocytes (^103/µL) | 40 | 4.224 ± 2.734 | 2.638 | 3.385 | 4.970 | 0.68–15.84 | 62 | 7.702 ± 5.548 | 4.395 | 6.585 | 9.047 | 1.36–35.97 | 
| Lymphocytes (^103/µL) | 40 | 1.352 ± 0.621 | 0.865 | 1.290 | 1.768 | 0.43–3.19 | 62 | 1.287 ± 0.756 | 0.747 | 1.185 | 1.585 | 0.28–4.46 | 
| Publisher’s Note: MDPI stays neutral with regard to jurisdictional claims in published maps and institutional affiliations. | 
© 2022 by the authors. Licensee MDPI, Basel, Switzerland. This article is an open access article distributed under the terms and conditions of the Creative Commons Attribution (CC BY) license (https://creativecommons.org/licenses/by/4.0/).
Share and Cite
Świątkowska-Stodulska, R.; Berlińska, A.; Puchalska-Reglińska, E. Cortisol as an Independent Predictor of Unfavorable Outcomes in Hospitalized COVID-19 Patients. Biomedicines 2022, 10, 1527. https://doi.org/10.3390/biomedicines10071527
Świątkowska-Stodulska R, Berlińska A, Puchalska-Reglińska E. Cortisol as an Independent Predictor of Unfavorable Outcomes in Hospitalized COVID-19 Patients. Biomedicines. 2022; 10(7):1527. https://doi.org/10.3390/biomedicines10071527
Chicago/Turabian StyleŚwiątkowska-Stodulska, Renata, Agata Berlińska, and Ewelina Puchalska-Reglińska. 2022. "Cortisol as an Independent Predictor of Unfavorable Outcomes in Hospitalized COVID-19 Patients" Biomedicines 10, no. 7: 1527. https://doi.org/10.3390/biomedicines10071527
APA StyleŚwiątkowska-Stodulska, R., Berlińska, A., & Puchalska-Reglińska, E. (2022). Cortisol as an Independent Predictor of Unfavorable Outcomes in Hospitalized COVID-19 Patients. Biomedicines, 10(7), 1527. https://doi.org/10.3390/biomedicines10071527
 
         
                                                
 
       