Abstract
Neopterin is a biomarker of the activation of cellular immunity. The purpose of this review is to summarise neopterin metabolism, methods of its detection, and its role in inflammation, focusing on periodontal inflammatory diseases. This derivative of guanosine is a non-enzymatic product of 7,8-dihydroneopterin oxidation caused by free radicals which protect activated macrophages from oxidative stress. Various methods, usually based on enzyme-linked immunosorbent essay, high-performance liquid chromatography, or radioimmunoassay were developed for the isolation of neopterin. A wide spectrum of diseases and conditions are known to affect neopterin levels, including cardiovascular, bacterial, viral, and degenerative diseases, as well as malignant tumours. Neopterin levels were found to increase in subjects with periodontitis, especially when the oral fluid and gingival crevicular fluid were evaluated. These findings confirm the role of activated macrophages and cellular immunity in periodontal inflammatory diseases. The gingival crevicular fluid and the oral fluid appear to be the most valuable biologic fluids for the evaluation of neopterin levels in periodontitis. For gingival crevicular fluid, neopterin can be determined as the concentration or the so-called total amount. Nonsurgical periodontal treatment was associated with a decrease in neopterin levels, but an increase was also reported, suggesting the possible role of macrophages in the resolution of the periodontal lesion.
1. Introduction
Neopterin (Np) is a biomarker of the cell-mediated immune response [1,2]. Np, with the systematic name 2-amino-4-hydroxy-6-(D-erythro-1′,2′,3′-trihydroxypropyl)-pteridine, belongs to the class of pteridines [3]. Np was isolated in 1963 from bee larvae, worker bee [4,5] and royal jelly [5,6]. In 1967, Np was isolated in human urine by Sakurai A. and Goto for the first time [7]. It has been extensively studied in wide-spectrum inflammatory diseases, including viral, bacterial, and parasite infections, cardiovascular diseases, autoimmune diseases, and malignant tumours [8,9,10,11,12,13,14].
This review focuses on the relation between Np levels and periodontitis. The role of Np in immune response is discussed on molecular level as well. The nonspecificity of Np as a cell-mediated immune response is described in a wide variety of diseases and conditions. The articles included in Part 6 were selected by searching “neopterin” and “periodontitis” in the PubMed and Scopus databases. Searching the PubMed database revealed 27 articles. The Scopus database showed 222 positive results between the years 1997–2022. After consideration of inclusion criteria and of the similar results in both databases, 16 articles were included in this review in Part 6. The inclusion criteria were the full texts of the articles available in English that focus on Np levels in different biological fluids in subjects with periodontitis or in other conditions where periodontitis was evaluated by standard periodontal examination/indexes. When the effect of periodontal therapy was evaluated, only studies that evaluated nonsurgical periodontal therapy were included.
2. Synthesis of Neopterin
Np is a metabolite of guanosine triphosphate (GTP) that is transformed to 7,8-dihydroneopterin via cyclohydrolase I. 7,8-dihydroneopterin is subsequently converted to tetrahyrobiopterin by a combined enzymatic reaction with 6-pyruvoyltetrahydropterin synthase followed by sepiapterin reductase [15]. The first enzyme, 6-pyruvoyltetrahydropterin synthase, was found to have low activity in primates, including human´s monocytes/macrophages; 7,8-dihydroneopterin triphosphate is accumulated in these cells [16]. 7,8-dihydroneopterin triphosphate is dephosphorylated by nonspecific phosphatases to 7,8-dihydroneopterin [15], which is converted to neopterin non-enzymatically [17]. 7,8-dihydroneopterin and neopterin are easily transported via cytoplasmatic membrane [17]. A recent study by Janmale [18] showed that 7,8-dihydroneopterin is transported through the equilibrative nucleoside transporter 1 (ENT 1), ENT 2, and concentrative nucleoside transporters (CNT) [18]. In macrophages, cyclohydrolase I activity is upregulated mainly by interferon gamma (IFN-γ) [14]. The main sources of IFN-γ are activated T helper subtype 1 lymphocytes and natural killer cells [14], see Figure 1. Lipopolysaccharides (LPS) and tumour necrosis factor-α (TNF-α) superinduce IFN-γ-mediated neopterin production [19]. Troppmair et al. found that LPS and IFN -α can induce neopterin synthesis independently on IFN-γ [20]. In vivo, concentrations that increased Np concentrations were a hundred times higher for IFN-α than for IFN-γ [20].
Figure 1.
Human macrophages stimulated by interferon gamma convert guanosine triphosphate to 7,8-dihydroneperin. Due to the relative lack of 6-pyruvoyltetrahydropterin synthase, 7,8-dihydroneopterin is not converted to tetrahydrobiopterin but is accumulated in the cells and is non-enzymatically converted to neopterin by free radicals. TNF-α—tumour necrosis factor alfa, IL-1—interleukin 1, IL-2—subtype 1 interleukin 2, Th1 cell—T helper cell, and GCF—colony stimulating factor. Created with Biorender.com.
A study in human umbilical vein endothelial cells revealed that transcription of GTP cyclohydrolase I is driven by activation of the Janus kinase 2/signal transducer and the activator of the transcription proteins (JAK2/STAT) pathway after IFN-γ stimulation and by activation of the nuclear factor kappa B (NF-κB) pathway after TNF-α stimulation [21].
3. Biologic Impact of Neopterin
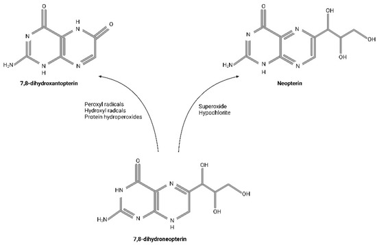
7,8-dihydroneopterin is a strong reducing agent, free radical scavenger, and chain-breaking antioxidant [22]. It was suggested that activated macrophages produce 7,8-dihydroneopterin to protect themselves at the site of inflammation [22,23]. In cell cultures, 7,8-dihydroneopterin has been shown to scavenge free peroxyl radicals [24], superoxide [25], hypochlorite [26], and hydrogen peroxide [26], see Figure 2.
Figure 2.
Non-enzymatic products of 7,8-dihydroneopterin oxidation. Superoxide and hypochlorite were found to oxidise 7,8-dihydroneopterin to neopterin. 7,8-dihydroxantopterin is the main product of the reaction of 7,8-dihydroneopterin with peroxyl radicals, hydroxyl radicals, and protein hydroperoxides, while only a small amount of neopterin is formed. Created with Biorender.com.
7,8-dihydroneopterin was found to be effective in preventing lipid peroxidation and protein hydroperoxide formation [22,24]. Protein hydroperoxides are reactive species that lead to DNA cross-linking and oxidation of cellular thiols and consume key antioxidants such as ascorbates and glutathione [24]. Protein peroxidation can cause enzyme inhibition, affect protein turnover, and lead to accumulation of damaged, poorly degraded proteins [27]. 7,8-dihydroneopterin was found to be capable of reacting and degrading protein hydroperoxides [24]. Although this reaction is slower than the reaction with peroxyl radicals, it may still play an important protective role during respiratory bursts [24]. Lipid peroxidation describes a process of lipid peroxyl radicals and hydroperoxides formation.
Lipids containing double carbon–carbon double bond(s), especially polyunsaturated fatty acids, are attacked by free radicals or non-radical species, and a hydrogen is abstracted from a carbon and oxygen is inserted [28,29]. Extensive lipid peroxidation leads to fragmentation of peroxides and the formation of aldehydes [30]. Even the membrane integrity can be lost due to alteration of its fluidity and membrane-bound proteins can be inactivated [30]. Lipoprotein peroxidation promotes intramolecular or intermolecular protein/DNA cross-linking [30]. These biomolecules can be accumulated within cells with deeply impaired biochemical properties [30]. A study in red blood cell samples showed that 7,8-dihydroneopterin inhibited hypochlorite, hydrogen peroxide, or peroxyl radicals [26].
Np was suggested to inhibit the formation of superoxide mediated by nicotinamide adenine dinucleotide phosphate in rat peritoneal macrophages [25] as a possible feedback loop in inflammation [17].
Antioxidant properties were also studied at the molecular level to prevent the oxidation of low density lipoprotein (LDL) [22,31,32]. LDL particles accumulated in the subendothelial space are oxidised by endothelial cells, smooth muscle cells, and macrophage cells [32]. This process is enhanced in the absence of protective plasma antioxidants, such as tocopherol, ascorbate, urate, apolipoproteins, or serum albumin [33]. The oxidised LDL particles are scavenged and degraded by macrophages [34]. Macrophages accumulate cholesterol esters and foam cells, the hallmark of atherosclerotic lesions, are formed [33,34]. 7,8-dihydroneopterin reduced low-density lipoprotein oxidation induced by Cu2+ ions in vitro [22]. The addition of 7,8-dihydroneopterin led to a decrease In both lipid peroxidation and protein hydroperoxides formation [31]. The impact of 7,8-dihydroneopterin on cellular-mediated low-density lipoprotein oxidation was also proved [32]. The addition of increasing concentrations of 7,8-dihydroneopterin caused a progressive decrease in lipid peroxidation in the presence of non-adherent THP-1 cells [32]. In U937 cell culture, oxidative stress induced by peroxyl radicals and 7,8-dihydroneoptein did not prevent lipid peroxidation but was effective in inhibiting protein hydroperoxide formation [24]. Np formation from 7,8-dihydroneoptein was also demonstrated in U937 cell culture and atherosclerotic plaque tissue samples, where it was found to scavenge superoxide [35]. The addition of IFN-γ to adherent macrophage cell culture, such as THP-1 cells, was associated with a significant delay in the rate of LDL oxidation [32]. 7,8-dihydoneopterin also inhibits the expression of the cluster of differentiation 36 (CD 36) via the peroxisome proliferator-activated receptor gamma (PPAR-γ) [36]. CD 36 is the major oxidised low density lipoproteins scavenger receptor, which has a great impact on foam cell formation [36].
Given the potent free radical scavenging of 7,8-dihydroneopterin, it was suggested that the purpose of 7,8-dihydronepterin is to protect activated macrophages against oxidative stress [23] and cell death at the site of inflammation [37].
4. Neopterin as a Biomarker
Np is considered a biomarker of IFN-γ synthesis [14,38], macrophage activation [39,40,41], and the overall cellular immune system [3,40,42,43]. Np is biologically stable and is not further metabolised in the human body [44,45]. Np is excreted via the kidneys by both glomerular filtration and tubular secretion [39,46].
Generally, pterins have a low brain–blood barrier permeability, so it is unlikely that Np is passively transferred from blood [47]. The estimated serum-to-CSF distribution of Np has been assumed to be as minor as a quotient of 1/40 [48]. In certain conditions, such as Lyme disease or aseptic meningitis, neopterin levels were correlated with cerebrospinal cell count [48,49]. In HIV-associated infections, cellular immune activation was reported to be an important factor associated with brain–blood barrier dysfunction [50].
Neopterin was evaluated in various body fluids, including [10,51], urine, mixed saliva (oral fluid) [10,52,53], gingival crevicular fluid [44,53,54], synovial fluid [55], ascitic fluid [56], cerebrospinal fluid [13], amniotic fluid [57], and pus [58].
Serum neopterin levels were not found to be sex dependent. In most scientific studies, Np concentrations below the cut-off value of 10 nmol/L are considered normal [45]. Several studies confirmed that Np serum levels increase in elderly individuals [59,60,61,62]. In children, increased levels were reported [39], but Plata-Nazar et al. [45] did not find any age dependence between serum neopterin and age, suggesting a cut-off value for normal concentrations lower than 11 nmol/L with a test sensitivity as high as 94.3%. In fetuses, serum Np levels were found to be positively correlated with gestational age, while maternal Np serum concentrations did not correlate [63]. The fetal compartment is isolated from maternal metabolism of unconjugated pterins such as Np [63].
In urinary samples, Np is expressed in a ratio with creatinine. These values were found to be higher in women and also decreased in childhood and increased in older individuals [3,45]. A circadian rhythm in urinary NP levels was reported and maximum levels were reached between 7:00 a.m. and 12:00 a.m. [64].
In clinical research, Np levels are usually measured alone. 7,8-dihydroneopterin is not usually assessed in large sample series due to its low stability. The samples must be protected from UV light and stored on ice [17]. In an air-saturated solution at 25 °C, the half-life of 7,8-dihydroneopterin was 60 h [65]. This degradation was accelerated by ultraviolet (UV) light. 7,8-dihydroneopterin is also not fluorescent and its determination requires its oxidation to neopterin with an acidic iodide solution (5.4% I2/10.8% KI in 1 M HCl) [66]. Subsequently, the determination of the so-called ‘total Np’, neopterin, and 7,8-dihydroneopterin is performed. This approach requires the measurement of the samples in duplicates. This is problematic in small volumes of samples, such as gingival crevicular fluid, where the median volume in healthy individuals was reported to be 3.86 µL [10] and the sample extraction required an addition of 110 µL of saline [52]. For serum, a HPLC method with mass spectrometry detection that analysed Np and 7,8-dihydroneopterin simultaneously was developed [67]. Given the non-enzymatic Np formation from 7,8-dihydroneopterin, the determination of both Np and total Np gives better information about oxidative stress and immune system activation [17]. Np and total Np were found to be in a constant ratio in serum and urine. In mixed saliva/oral fluid, Np exists mostly in oxidised form [64].
For the determination of Np, various methods were employed. Several high-performance liquid chromatography (HPLC) methods have been developed. HPLC was proposed as a gold standard for Np determination [68]. Commercially available enzyme-linked immunosorbent assay (ELISA) kits are also available. Comparison of HPLC and two ELISA methods revealed the correlation R2 = 0.96 for the IBL International ELISA kit (Hamburg, Germany) and R2 = 0.48 for the Neopterin ELISA kit (Brahms, Berlin, Germany) compared to the HPLC method [68]. It was recommended not to use trichloroacetic acid for protein precipitation to avoid oxidation of 7,8-dihydoneopterin to neopterin and to instead use acetonitrile [66]. Radioimmunoassay methods were also used to determine Np in serum and urine samples [69], but lower accuracy compared to HPLC was reported in urine samples [39,70]. Polarisation fluoroimmunoessay for neopterin and biopterin determination in urine were also developed [71].
Oral fluid neopterin can be detected by commercially available ELISA kits [44,53,72,73,74]. HPLC methods have also been developed for Np detection alone [75], or in combination with kynurenine, tryptophan, creatinine, and uric acid [52].
Np in gingival crevicular fluid was also detected by commercially available ELISA kits. Only one HPLC method has been developed for the simultaneous analysis of Np in conjunction with creatinine, kynurenine, and tryptophan [54].
5. Neopterin in Particular Diseases and Conditions
5.1. Neopterin and Cardiovascular System
Neopterin levels were found to be affected by a wide variety of diseases and conditions. In coronary artery diseases and peripheral artery diseases, Np is considered an etiologic and prognostic factor due to the bioavailability of the regulation of nitric oxide (NO) [76,77]. Increased circulating neopterin levels confirm the impact of activated macrophages on vascular rebuild, which, in turn, is able to promote nitro-oxidative stress [78]. Oxidised LDL particles play an important role in the pathogenesis of atherosclerosis and are scavenged in the subintimal space by activated macrophages that are transformed into foam cells [33,34]. The secretion of proinflammatory cytokines such as IL-1 β and TNF-α by activated macrophages plays an important role in the progression and instability of atherosclerotic plaques. This is demonstrated by increased circulating Np levels in the stenoses of both coronary and carotid arteries [78,79,80,81]. Np levels showed a close association with the inflammatory process related to tissue ischemia, illustrated by a lower ankle brachial index [78]. Avanzas et al. [81] presented Np as the strongest predictor of multiple angiographically complex lesions plaque disruption compared to neutrophil count and C-reactive protein levels. Periodontal inflammation was also found to affect peripheral vascular elasticity. Periodontal treatment increased vascular elasticity and was associated with a decrease in circulating Np levels [82]. Parenica et al. [83] also proposed that neopterin together with nitrites, nitrates, and troponin T/I ratio is a predictor of acute kidney injury, a severe and potentially lethal complication of myocardial infraction. Np was found to be independent of all-cause and cardiovascular mortality in subjects who underwent coronary angiography, regardless of angiographic findings and regardless of whether or not individuals presented in a stable or unstable condition (unstable angina, ST-elevation myocardial infarction, non-ST-elevation myocardial infarction) [84].
5.2. Neopterin and Bacterial and Viral Diseases
For bacterial diseases, Np was proposed to predict complicated cholecystitis. A 3.34 times higher risk of complications was reported in subjects with Np levels that exceeded the cut-off limit (>14.69 nmol/L) [85]. Np is also a valuable biomarker for the diagnosis of acute appendicitis but was not able to predict the severity of the disease [86]. Np was also proposed as a biomarker for periprosthetic joint infections [55]. Increased Np levels were observed in subjects with tuberculosis and dropped after antituberculosis therapy, suggesting Np as the biomarker of infection activity [87]. IFN-γ mediated immune response plays a principal role in resistance to intracellular pathogens such as Mycobacterium tuberculosis [88]. In addition, other intracellular bacterial infections were associated with elevated levels of Np: Listeria monocytogenes meningitis increased both serum and cerebrospinal fluid Np levels [89] and visceral leishmaniasis affected plasma Np levels [90].
Cellular immunity plays an essential role in viral infection [9]. For example, Np has become well established as a reliable, although unspecific, marker in human immunodeficiency virus 1 (HIV-1) infection, indicating the course and progression of diseases as well as the efficacy of antiretroviral therapy [91]. Np added prognostic information on CD 4 count [92]. HIV-associated neurocognitive impairment was also associated with increased Np levels [93]. High Np levels were also reported to predict worse outcomes in patients with coronavirus disease 2019 [9,94,95] as well as severe acute respiratory syndrome [96]. Increased Np levels were also associated with viral hepatitis A, B, or C [97,98,99].
5.3. Neopterin and Degenerative Diseases, Autoimmune Diseases, Tumours, and Other Conditions
Np levels in cerebrospinal fluid were affected by neurodegenerative diseases such as multiple sclerosis, neuromyelitis optica, and myelin oligodendrocyte glycoprotein antibody-associated disease and were reported to be useful in differential diagnosis and activity monitoring of these diseases [100]. An association with Parkinson’s disease was also reported [101]. Increasing evidence suggests that chronic low-grade inflammation, associated with higher Np levels, plays an important role in the pathogenesis of neurodevelopmental conditions such as autism spectrum disorder [102]. Increased Np levels were also associated with sarcoidosis [103], systemic lupus erythematodes [104], lichen planus [105] dermatomyositis, and progressive interstitial lung disease [106]. In subjects with rheumatoid arthritis, Np was reported to be a disease parameter but not a marker of disease activity [107,108] in treated patients [107].
Macrophages can play a dual role in cancer control. They represent potent effectors of antitumour immunity. On the other hand, they can contribute to tumour growth and progression [109,110]. Tumour-promoting inflammatory response is currently recognised as an essential feature of cancer [110]. Np was also reported to be a malignant tumour biomarker, such as for colorectal cancer [111], squamous cell carcinoma of the head and neck [11,112,113], melanoma [114], hematologic neoplasms [115], genitourinary tract malignancies [116], and pancreatic cancer [117]. Np was reported to be a risk factor for an increased risk of overall cancer, suggesting a role of IFN-γ–induced inflammation in human carcinogenesis [118].
The ultramarathon race also caused systemic inflammation and higher Np serum levels and was associated with decreased antioxidant capacity [119,120]. The overview of particular diseases and conditions associated with increased Np levels is showed in Table 1.
Table 1.
Particular diseases and conditions associated with increased Np levels.
6. Neopterin and Periodontitis
6.1. Periodontal Inflammation
Periodontitis is a chronic inflammatory disease of periodontal tissues that leads to their destruction and, when untreated, to tooth loss [121]. Periodontitis is associated with oral biofilm dysbiosis [121]. Gingivitis, the localised inflammation of gingiva, always precedes periodontitis, but not all gingivitis proceeds to periodontitis [122]. Both the oral microbiota and the host inflammatory immune response are essential parts of the pathogenesis of a periodontal lesion. The host immune system, primarily activated to challenge oral microbes, contributes to 80% of tissue destruction [123,124].
Dysregulation of the innate and adaptive immune systems can play an important role in the aetiology of periodontal disease [125]. It was hypothesised that a strong innate immune response represented by high IL-12 synthesis is associated with the predominance of the Th1 response, which is characterised by protective cell-mediated immunity and which would manifest as a stable periodontal lesion [122].
Macrophages were found to polarise into M1 and M2 phenotypes. M1 macrophages, induced via IFN-γ, are considered proinflammatory immune cells. They secrete a wide variety of hydrolytic enzymes, matrix metalloproteinases, to degrade the different compounds of connective tissue. The M1 macrophages phenotype is associated with the production of matrix metalloproteinase 8, 9 and 12 [44,126,127]. The release of superoxide anions and oxygen and nitrogen radicals also contributes to periodontal tissue damage [128,129]. M1 macrophages are also the source of cytokines, such as TNF-α, IL-1, IL-6, IL-8, and IL-12, which stimulate inflammation [126,127], see Figure 3.
Figure 3.
Pathogenesis of periodontitis. In periodontitis, the inflammatory response facing the microbial load leads to destruction of periodontal tissue, including gingival tissue and alveolar bone. The immune response in periodontitis involves both innate and adaptive immunity. Innate cellular immunity (black arrows) represents antigen-presenting cells (gingival keratinocytes), which identify microbes by recognising microbe-associated molecular patterns and activate T helper subtype 1 lymphocytes (blue arrows). Interferon gamma, secreted by T helper subtype 1 and natural killer cells, activates monocytes to polarise to M1 proinflammatory macrophages (green arrows). These cells release metalloproteinases, the hydrolytic enzymes that cleave the different compounds of connective tissue, superoxide anions, and nitric oxide, as well as proinflammatory cytokines TNF-α, IL-1β, IL-6, IL-8, IL-12, and neopterin. Stimulation of osteoclasts leads to bone resorption (red arrows). MAMP—microbial associated molecular patterns, KC—keratinocytes, EC—endothelial cells, PDL—periodontal ligaments, GF—gingival fibroblasts, OB—osteoblasts, OC—osteoclasts. T cell—T helper lymphocyte, B cell—B lymphocyte, Mon—monocyte, Mac—macrophage, PMN—polymorphonuclear cell, NO—nitric oxide, TNF-α—tumour necrosis factor alfa, IL-1β—interleukin 1 beta, IL-6—interleukin 6, IL-8—interleukin 8, IL-12—interleukin 12. Created with Biorender.com.
Searching PubMed database and Scopus database revealed 16 studies related to periodontitis impact on Np levels, see Table 2. Neopterin in periodontitis was first studied by Vrecko et al. [72] in urine and oral fluid. Oral fluid neopterin was found to be correlated with the number of affected teeth; no correlation was found for urinary neopterin levels.
Table 2.
Studies included in the evaluation of the impact of Np on periodontitis.
6.2. Neopterin in Gingival Crevicular Fluid
For evaluation of the immune response in periodontitis, gingival crevicular fluid (GCF) is essential. This biologic fluid is secreted by the gingival crevice (in healthy periodontal tissues) or the periodontal pocket (in diseased periodontal tissue). Therefore, secretions at the site of inflammation provide the best information on current disease activity. Neopterin GCF concentrations were found to be significantly higher in subjects with periodontitis compared to healthy controls in several studies [130,133,135]. Np GCF concentrations were significantly higher in subjects with periodontitis than in those with gingivitis [130,133]. Furthermore, significantly higher Np concentrations were found in individuals with gingivitis than in periodontally healthy subjects.
For the evaluation of cytokines GCF, the so-called total amount (TA) was also used. TA means the weight or amount of the substance in the whole collected GCF sample. The reason for the evaluation of TA is the increased GCF production in inflamed periodontal tissue caused by increased vascular permeability, which can lead to biomarker dilution. Np TA was proposed to be more valuable to Np concentrations by Ozmeric et al. [44], who found that Np TAs were significantly higher in subjects with aggressive periodontitis compared to the healthy control. The same results were observed by Heneberk et al. [10]. However, the TA assessment has limitations. Deep periodontal pockets accumulate the GCF produced over a longer period. When collected, the volume of the GCF sample represents more resting volume in the deep periodontal pocket than increased GCF production. This was demonstrated by Heneberk et al. [10], who showed that Np GCF TA was higher in subjects with periodontitis than in the healthy control and that Np GCF TA decreased after periodontal therapy. GCF Np concentrations, oral fluid concentrations, serum concentrations, and urine Np to creatinine ratios showed an increasing trend after periodontal treatment.
After nonsurgical periodontal therapy, both Np GCF concentrations [133,135] and TA [135] were found to drop. Heneberk et al. [10] found GCF Np concentrations to be significantly higher after treatment compared to the healthy control group.
6.3. Neopterin in Oral Fluid
Oral fluid is a mixture of saliva, gingival crevicular fluid, and nasopharyngeal secretions [136]. It also contains food remnants [136]. In periodontal research, oral fluid is particularly interesting due to its easy and noninvasive collection [52]. Oral fluid has the potential to replace serum in the evaluation of a wide variety of analytes due to its correlation with serum levels [52]. Compared to GCF, oral fluid provides better information about full mouth periodontal disease activity, while GCF is tooth-specific. Oral fluid Np levels were found to be higher in subjects with periodontitis compared to healthy controls [44,73,131,132]. A significant decrease in oral fluid concentrations have been observed [131], including in a study of premenopausal and postmenopausal women [74]. In a study by Bodur et al. [73], Np was not statistically significant. Heneberk et al. [10] found no significant increase in Np oral fluid levels after periodontal therapy, but after treatment levels were significantly higher than those in healthy controls.
The source of Np in oral fluid is not clear. Ozmeric et al. [44] stated that the main sources of Np in oral fluid are the salivary glands due to the production of nitric oxide. Heneberk et al. [10] found a fair but significant correlation with serum Np concentrations, suggesting that the serum is the main source. Np OF levels were to be very similar to total Np levels, suggesting that 7,8-dihydroenopterin levels in OF were very low [64]. The small difference in OF and serum Np in total neopterin led to the suggestion that Np in OF originates predominantly in the oral cavity [64].
6.4. Serum
No study showed significant differences in serum/plasma Np levels between subjects with periodontitis and healthy controls [10,135]. A significant decrease in Np levels was observed in both pre- and post-menopausal women who completed nonsurgical periodontal treatment [53,134], while Heneberk et al. [10] did not find a significant difference in the levels before periodontal treatment or when compared with healthy controls.
6.5. Urine
Only two studies [10,44] found a significantly higher ratio of Np to creatinine in urine. Periodontal treatment was associated with a decrease in the Np to creatinine ratio [53,134], while Bodur et al. [73] found a significant increase.
6.6. Limitation of Neopterin Assessment in Periodontitis
As Np is a very sensitive and nonspecific biomarker of cellular immune system activation, Np reliability may be significantly influenced by concomitant diseases. This was published by Abdel-Haq et al. [105], who found serum Np levels to be significantly higher in subjects with lichen planus compared to a healthy control group. The study group revealed significantly worse periodontal status as described by the community periodontal index of treatment needed (CPITN) [105]. A similar limitation was described by Pink et al. [11], who evaluated oral fluid Np in subjects with oral cancer.
7. Conclusions
Most studies concluded that neopterin levels are involved in periodontitis [44,53,72,73,130,133,134,135]. This confirms macrophage activation and its role in the pathogenesis of periodontitis [44,133]. GCF or oral fluid gives the best information about neopterin production in periodontitis. Periodontitis was associated with an increase in neopterin levels and nonsurgical periodontal treatment led to a decrease in neopterin levels, but an increase was also found. This could be explained by increased macrophage activation during the resolution of the periodontal lesion.
Author Contributions
Conceptualization, O.H. and V.R.; methodology, O.H. and V.R.; investigation, O.H., V.R., and E.W.; data curation, O.H.; writing—original draft preparation, O.H.; writing—review and editing, V.R. and E.W.; visualization, O.H.; supervision, V.R.; project administration, O.H.; funding acquisition, V.R. All authors have read and agreed to the published version of the manuscript.
Funding
This research was funded by Cooperatio Program, research area DENT and by MH CZ–DRO (UHHK 00179906).
Institutional Review Board Statement
Not applicable.
Informed Consent Statement
Not applicable.
Data Availability Statement
Data sharing not applicable.
Conflicts of Interest
The authors declare no conflict of interest.
References
- Muller, M.M.; Curtius, H.C.; Herold, M.; Huber, C.H. Neopterin in Clinical Practice. Clin. Chim. Acta 1991, 201, 1–16. [Google Scholar] [CrossRef] [PubMed]
- Fuchs, D.; Hausen, A.; Reibnegger, G.; Werner, E.R.; Dierich, M.P.; Wachter, H. Neopterin as a Marker for Activated Cell-Mediated Immunity: Application in HIV Infection. Immunol. Today 1988, 9, 150–155. [Google Scholar] [CrossRef] [PubMed]
- Murr, C.; Widner, B.; Wirleitner, B.; Fuchs, D. Neopterin as a Marker for Immune System Activation. Curr. Drug Metab. 2002, 3, 175–187. [Google Scholar] [CrossRef] [PubMed]
- Rembold, H.; Buschmann, L. Struktur und Synthese des Neopterins. Chem. Ber. 1963, 96, 1406–1410. [Google Scholar] [CrossRef]
- Hamerlinck, F.F. Neopterin: A Review. Exp. Dermatol. 1999, 8, 167–176. [Google Scholar] [CrossRef]
- Rembold, H.; Buschmann, L. Untersuchungen Über Die Pteridine Der Bienenpuppe (Apis Mellifica). Justus Liebigs Ann. Der Chem. 1963, 662, 72–82. [Google Scholar] [CrossRef]
- Sakurai, A.; Goto, M. Neopterin: Isolation from Human Urine. J. Biochem. 1967, 61, 142–145. [Google Scholar] [CrossRef]
- Schneider-Crease, I.A.; Feder, J.A.; Baniel, A.; McCann, C.; Haile, A.A.; Abebe, B.; Fitzgerald, L.; Gomery, M.A.; Simberloff, R.A.; Petrie, Z.L.; et al. Urinary Neopterin Reflects Immunological Variation Associated with Age, Helminth Parasitism, and the Microbiome in a Wild Primate. Sci. Rep. 2022, 12, 21307. [Google Scholar] [CrossRef]
- Rasmi, Y.; Heidari, N.; Kübra Kırboğa, K.; Hatamkhani, S.; Tekin, B.; Alipour, S.; Naderi, R.; Farnamian, Y.; Akca, I. The Importance of Neopterin in COVID-19: The Prognostic Value and Relation with the Disease Severity. Clin. Biochem. 2022, 104, 1–12. [Google Scholar] [CrossRef]
- Heneberk, O.; Vernerova, A.; Kujovska Krcmova, L.; Wurfelova, E.; Radochova, V. Neopterin Levels in Periodontitis and after Nonsurgical Periodontal Therapy: Evaluation of Gingival Crevicular Fluid, Oral Fluid, Serum and Urinary Samples—A Case-Control Study. Biomedicines 2022, 10, 3200. [Google Scholar] [CrossRef]
- Pink, R.; Melichar, B.; Tomandl, J.; Blažková, L.; Tvrdý, P.; Zapletalová, J. Salivary Neopterin Concentrations in Patients with Cancer of the Oral Cavity. Pteridines 2016, 27, 53–58. [Google Scholar] [CrossRef]
- Dogheim, G.M.; Amralla, M.T.; Werida, R.H. Role of Neopterin as an Inflammatory Biomarker in Congestive Heart Failure with Insights on Effect of Drug Therapies on Its Level. Inflammopharmacology 2022, 30, 1617–1622. [Google Scholar] [CrossRef]
- Labouret, M.; Costi, S.; Bondet, V.; Trebossen, V.; Le Roux, E.; Ntorkou, A.; Bartoli, S.; Auvin, S.; Bader-Meunier, B.; Baudouin, V.; et al. Juvenile Neuropsychiatric Systemic Lupus Erythematosus: Identification of Novel Central Neuroinflammation Biomarkers. J. Clin. Immunol. 2022, 43, 615–624. [Google Scholar] [CrossRef]
- Huber, C.; Batchelor, J.R.; Fuchs, D.; Hausen, A.; Lang, A.; Niederwieser, D.; Reibnegger, G.; Swetly, P.; Troppmair, J.; Wachter, H. Immune Response-Associated Production of Neopterin. Release from Macrophages Primarily under Control of Interferon-Gamma. J. Exp. Med. 1984, 160, 310–316. [Google Scholar] [CrossRef]
- Werner, E.R.; Werner-Felmayer, G.; Fuchs, D.; Hausen, A.; Reibnegger, G.; Yim, J.J.; Pfleiderer, W.; Wachter, H. Tetrahydrobiopterin Biosynthetic Activities in Human Macrophages, Fibroblasts, THP-1, and T 24 Cells. GTP-Cyclohydrolase I Is Stimulated by Interferon-Gamma, and 6-Pyruvoyl Tetrahydropterin Synthase and Sepiapterin Reductase Are Constitutively Present. J. Biol. Chem. 1990, 265, 3189–3192. [Google Scholar] [CrossRef]
- Schoedon, G.; Troppmair, J.; Fontana, A.; Huber, C.; Curtius, H.-C.; Niederwieser, A. Biosynthesis and Metabolism of Pterins in Peripheral Blood Mononuclear Cells and Leukemia Lines of Man and Mouse. Eur. J. Biochem. 1987, 166, 303–310. [Google Scholar] [CrossRef]
- Gieseg, S.P.; Baxter-Parker, G.; Lindsay, A. Neopterin, Inflammation, and Oxidative Stress: What Could We Be Missing? Antioxidants 2018, 7, 80. [Google Scholar] [CrossRef]
- Janmale, T.V.; Lindsay, A.; Gieseg, S.P. Nucleoside Transporters Are Critical to the Uptake and Antioxidant Activity of 7,8-Dihydroneopterin in Monocytic Cells. Free Radic. Res. 2020, 54, 341–350. [Google Scholar] [CrossRef]
- Werner-Felmayer, G.; Werner, E.R.; Fuchs, D.; Hausen, A.; Reibnegger, G.; Wachter, H. Characteristics of Interferon Induced Tryptophan Metabolism in Human Cells in Vitro. Biochim. Biophys. Acta (BBA)-Mol. Cell Res. 1989, 1012, 140–147. [Google Scholar] [CrossRef]
- Troppmair, J.; Nachbaur, K.; Herold, M.; Aulitzky, W.; Tilg, H.; Gastl, G.; Bieling, P.; Kotlan, B.; Flener, R.; Mull, B.; et al. In-Vitro and in-Vivo Studies on the Induction of Neopterin Biosynthesis by Cytokines, Alloantigens and Lipopolysaccharide (LPS). Clin. Exp. Immunol. 1988, 74, 392–397. [Google Scholar]
- Antoniades, C.; Cunnington, C.; Antonopoulos, A.; Neville, M.; Margaritis, M.; Demosthenous, M.; Bendall, J.; Hale, A.; Cerrato, R.; Tousoulis, D.; et al. Induction of Vascular GTP-Cyclohydrolase I and Endogenous Tetrahydrobiopterin Synthesis Protect Against Inflammation-Induced Endothelial Dysfunction in Human Atherosclerosis. Circulation 2011, 124, 1860–1870. [Google Scholar] [CrossRef] [PubMed]
- Gieseg, S.P.; Reibnegger, G.; Wachter, H.; Esterbauer, H. 7,8 Dihydroneopterin Inhibits Low Density Lipoprotein Oxidation in Vitro. Evidence That This Macrophage Secreted Pteridine Is an Anti-Oxidant. Free Radic. Res. 1995, 23, 123–136. [Google Scholar] [CrossRef] [PubMed]
- Gieseg, S.P.; Crone, E.M.; Flavall, E.A.; Amit, Z. Potential to Inhibit Growth of Atherosclerotic Plaque Development through Modulation of Macrophage Neopterin/7,8-Dihydroneopterin Synthesis: Effect of Neopterin/7,8-Dihydroneopterin. Br. J. Pharmacol. 2008, 153, 627–635. [Google Scholar] [CrossRef] [PubMed]
- Duggan, S.; Rait, C.; Platt, A.; Gieseg, S.P. Protein and Thiol Oxidation in Cells Exposed to Peroxyl Radicals Is Inhibited by the Macrophage Synthesised Pterin 7,8-Dihydroneopterin. Biochim. Biophys. Acta (BBA)-Mol. Cell Res. 2002, 1591, 139–145. [Google Scholar] [CrossRef]
- Kojima, S.; Nomura, T.; Icho, T.; Kajiwara, Y.; Kitabatake, K.; Kubota, K. Inhibitory Effect of Neopterin on NADPH-Dependent Superoxide-Generating Oxidase of Rat Peritoneal Macrophages. FEBS Lett. 1993, 329, 125–128. [Google Scholar] [CrossRef]
- Gieseg, S.P.; Maghzal, G.; Glubb, D. Protection of Erythrocytes by the Macrophage Synthesized Antioxidant 7,8 Dihydroneopterin. Free Radic. Res. 2001, 34, 123–136. [Google Scholar] [CrossRef]
- Davies, M.J. Protein Oxidation and Peroxidation. Biochem. J. 2016, 473, 805–825. [Google Scholar] [CrossRef]
- Yin, H.; Xu, L.; Porter, N.A. Free Radical Lipid Peroxidation: Mechanisms and Analysis. Chem. Rev. 2011, 111, 5944–5972. [Google Scholar] [CrossRef]
- Zaloga, G.P. Narrative Review of N-3 Polyunsaturated Fatty Acid Supplementation upon Immune Functions, Resolution Molecules and Lipid Peroxidation. Nutrients 2021, 13, 662. [Google Scholar] [CrossRef]
- Ayala, A.; Muñoz, M.F.; Argüelles, S. Lipid Peroxidation: Production, Metabolism, and Signaling Mechanisms of Malondialdehyde and 4-Hydroxy-2-Nonenal. Oxidative Med. Cell Longev. 2014, 2014, 1–31. [Google Scholar] [CrossRef]
- Gieseg, S.P.; Pearson, J.; Firth, C.A. Protein Hydroperoxides Are a Major Product of Low Density Lipoprotein Oxidation During Copper, Peroxyl Radical and Macrophage-Mediated Oxidation. Free Radic. Res. 2003, 37, 983–991. [Google Scholar] [CrossRef]
- Gieseg, S.P.; Cato, S. Inhibition of THP-1 Cell-Mediated Low-Density Lipoprotein Oxidation by the Macrophage-Synthesised Pterin, 7,8-Dihydroneopterin. Redox Rep. 2003, 8, 113–115. [Google Scholar] [CrossRef]
- Jebari-Benslaiman, S.; Galicia-García, U.; Larrea-Sebal, A.; Olaetxea, J.R.; Alloza, I.; Vandenbroeck, K.; Benito-Vicente, A.; Martín, C. Pathophysiology of Atherosclerosis. Int. J. Mol. Sci. 2022, 23, 3346. [Google Scholar] [CrossRef]
- Parthasarathy, S.; Raghavamenon, A.; Garelnabi, M.O.; Santanam, N. Oxidized Low-Density Lipoprotein. In Free Radicals and Antioxidant Protocols; Uppu, R.M., Murthy, S.N., Pryor, W.A., Parinandi, N.L., Eds.; Methods in Molecular Biology; Humana Press: Totowa, NJ, USA, 2010; Volume 610, pp. 403–417. ISBN 978-1-58829-710-5. [Google Scholar]
- Baxter-Parker, G.; Prebble, H.M.; Cross, S.; Steyn, N.; Shchepetkina, A.; Hock, B.D.; Cousins, A.; Gieseg, S.P. Neopterin Formation through Radical Scavenging of Superoxide by the Macrophage Synthesised Antioxidant 7,8-Dihydroneopterin. Free Radic. Biol. Med. 2020, 152, 142–151. [Google Scholar] [CrossRef]
- Ghodsian, N.; Yeandle, A.; Hock, B.D.; Gieseg, S.P. CD36 down Regulation by the Macrophage Antioxidant 7,8-Dihydroneopterin through Modulation of PPAR-γ Activity. Free Radic. Res. 2022, 56, 366–377. [Google Scholar] [CrossRef]
- Gieseg, S.P.; Whybrow, J.; Glubb, D.; Rait, C. Protection of U937 Cells from Free Radical Damage by the Macrophage Synthesized Antioxidant 7,8-Dihydroneopterin. Free Radic. Res. 2001, 35, 311–318. [Google Scholar] [CrossRef]
- Denz, H.; Fuchs, D.; Huber, H.; Nachbaur, D.; Reibnegger, G.; Thaler, J.; Werner, E.R.; Wachter, H. Correlation between Neopterin, Interferon-Gamma and Haemoglobin in Patients with Haematological Disorders. Eur. J. Haematol. 1990, 44, 186–189. [Google Scholar] [CrossRef]
- Werner, E.R.; Bichler, A.; Daxenbichler, G.; Fuchs, D.; Fuith, L.C.; Hausen, A.; Hetzel, H.; Reibnegger, G.; Wachter, H. Determination of Neopterin in Serum and Urine. Clin. Chem. 1987, 33, 62–66. [Google Scholar] [CrossRef]
- Berdowska, A.; Zwirska-Korczala, K. Neopterin Measurement in Clinical Diagnosis. J. Clin. Pharm. Ther. 2001, 26, 319–329. [Google Scholar] [CrossRef]
- Jinkawa, A.; Shimizu, M.; Nishida, K.; Kaneko, S.; Usami, M.; Sakumura, N.; Irabu, H.; Takakuwa, M.; Inoue, N.; Mizuta, M.; et al. Cytokine Profile of Macrophage Activation Syndrome Associated with Kawasaki Disease. Cytokine 2019, 119, 52–56. [Google Scholar] [CrossRef]
- Wachter, H.; Fuchs, D.; Hausen, A.; Reibnegger, G.; Werner, E.R. Neopterin as Marker for Activation of Cellular Immunity: Immunologic Basis and Clinical Application. In Advances in Clinical Chemistry; Elsevier: Amsterdam, The Netherlands, 1989; Volume 27, pp. 81–141. ISBN 978-0-12-010327-0. [Google Scholar]
- Widner, B.; Murr, C.; Wirleitner, B.; Mayr, C.; Spöttl, N.; Baier-Bitterlich, G.; Fuchs, D. The Importance of Neopterin as a Laboratory Diagnostic Marker of Immune Activation. Pteridines 1999, 10, 101–111. [Google Scholar] [CrossRef]
- Ozmeric, N.; Baydar, T.; Bodur, A.; Engin, A.B.; Uraz, A.; Eren, K.; Sahin, G. Level of Neopterin, a Marker of Immune Cell Activation in Gingival Crevicular Fluid, Saliva, and Urine in Patients with Aggressive Periodontitis. J. Periodontol. 2002, 73, 720–725. [Google Scholar] [CrossRef] [PubMed]
- Plata-Nazar, K.; Jankowska, A. Clinical Usefulness of Determining the Concentration of Neopterin. Pteridines 2011, 22, 77–89. [Google Scholar] [CrossRef]
- Estelberge, W.; Weiss, G.; Petek, W.; Paletta, B.; Wächter, H.; Reibnegger, G. Determination of Renal Clearance of Neopterin by a Pharmacokinetic Approach. FEBS Lett. 1993, 329, 13–16. [Google Scholar] [CrossRef]
- Hagberg, L.; Dotevall, L.; Norkrans, G.; Larsson, M.; Wachter, H.; Fuchs, D. Cerebrospinal Fluid Neopterin Concentrations in Central Nervous System Infection. J. Infect. Dis. 1993, 168, 1285–1288. [Google Scholar] [CrossRef]
- Bogner, J.R.; Junge-Hülsing, B.; Kronawitter, U.; Sadri, I.; Matuschke, A.; Goebel, F.-D. Expansion of Neopterin and Beta2-Microglobulin in Cerebrospinal Fluid Reaches Maximum Levels Early and Late in the Course of Human Immunodeficiency Virus Infection. Clin. Investig. 1992, 70, 665–669. [Google Scholar] [CrossRef]
- Dotevall, L.; Hagberg, L.; Fuchs, D.; Reibnegger, G.; Wachter, H. Cerebrospinal Fluid and Serum Neopterin Levels in Patients with Lyme Neuroborreliosis. Infection 1990, 18, 210–214. [Google Scholar] [CrossRef]
- Andersson, L.M.; Hagberg, L.; Fuchs, D.; Svennerholm, B.; Gisslen, M. Increased Blood-Brain Barrier Permeability in Neuro-Asymptomatic HIV-1-Infected Individualscorrelation with Cerebrospinal Fluid HIV-1 RNA and Neopterin Levels. J. Neurovirol. 2001, 7, 542–547. [Google Scholar] [CrossRef]
- Krcmova, L.K.; Cervinkova, B.; Solichova, D.; Sobotka, L.; Hansmanova, L.; Melichar, B.; Solich, P. Fast and Sensitive HPLC Method for the Determination of Neopterin, Kynurenine and Tryptophan in Amniotic Fluid, Malignant Effusions and Wound Exudates. Bioanalysis 2015, 7, 2751–2762. [Google Scholar] [CrossRef]
- Vernerová, A.; Krčmová, L.K.; Heneberk, O.; Radochová, V.; Strouhal, O.; Kašparovský, A.; Melichar, B.; Švec, F. Chromatographic Method for the Determination of Inflammatory Biomarkers and Uric Acid in Human Saliva. Talanta 2021, 233, 122598. [Google Scholar] [CrossRef]
- Prasanna, J.S.; Sumadhura, C. Biochemical Analysis of Three Biological Fluids and Its Response to Non-Surgical Periodontal Therapy in Pre and Postmenopausal Women with Periodontitis. J. Menopausal Med. 2019, 25, 149. [Google Scholar] [CrossRef]
- Vernerová, A.; Krčmová, L.K.; Heneberk, O.; Radochová, V.; Švec, F. Liquid Chromatography Method with Tandem Mass Spectrometry and Fluorescence Detection for Determination of Inflammatory Biomarkers in Gingival Crevicular Fluid as a Tool for Diagnosis of Periodontal Disease. J. Pharm. Biomed. Anal. 2022, 212, 114644. [Google Scholar] [CrossRef]
- Solarino, G.; Bizzoca, D.; Moretti, L.; Vicenti, G.; Piazzolla, A.; Moretti, B. What’s New in the Diagnosis of Periprosthetic Joint Infections: Focus on Synovial Fluid Biomarkers. Trop. Med. Infect. Dis. 2022, 7, 355. [Google Scholar] [CrossRef]
- Melichar, B.; Solichova, D.; Freedman, R.S. Neopterin as an Indicator of Immune Activation and Prognosis in Patients with Gynecological Malignancies. Int. J. Gynecol. Cancer 2006, 16, 240–252. [Google Scholar] [CrossRef]
- Dhondt, J.-L.; Tilmont, P.; Ringel, J.; Farriaux, J.-P. Pterins Analysis in Amniotic Fluid for the Prenatal Diagnosis of GTP Cyclohydrolase Deficiency. J. Inher. Metab. Dis. 1990, 13, 879–882. [Google Scholar] [CrossRef]
- Firth, C.A.; Laing, A.D.; Baird, S.K.; Pearson, J.; Gieseg, S.P. Inflammatory Sites as a Source of Plasma Neopterin: Measurement of High Levels of Neopterin and Markers of Oxidative Stress in Pus Drained from Human Abscesses. Clin. Biochem. 2008, 41, 1078–1083. [Google Scholar] [CrossRef]
- Reibnegger, G.; Huber, L.A.; Jürgens, G.; Schönitzer, D.; Werner, E.R.; Wachter, H.; Wick, G.; Traill, K.N. Approach to Define “Normal Aging” in Man. Immune Function, Serum Lipids, Lipoproteins and Neopterin Levels. Mech. Ageing Dev. 1988, 46, 67–82. [Google Scholar] [CrossRef]
- Sack, U.; Burkhardt, U.; Borte, M.; Schädlich, H.; Berg, K.; Emmrich, F. Age-Dependent Levels of Select Immunological Mediators in Sera of Healthy Children. Clin. Diagn. Lab. Immunol. 1998, 5, 28–32. [Google Scholar] [CrossRef]
- Parrak, V.; Secnik, P.; Skrakova, M. Neopterin Screening of Blood Donations. Pteridines 2006, 17, 105–106. [Google Scholar] [CrossRef]
- Frick, B.; Schroecksnadel, K.; Neurauter, G.; Leblhuber, F.; Fuchs, D. Increasing Production of Homocysteine and Neopterin and Degradation of Tryptophan with Older Age. Clin. Biochem. 2004, 37, 684–687. [Google Scholar] [CrossRef]
- Radunovic, N.; Kuczynski, E.; Rebarber, A.; Nastic, D.; Lockwood, C.J. Neopterin Concentrations in Fetal and Maternal Blood: A Marker of Cell-Mediated Immune Activation. Am. J. Obstet. Gynecol. 1999, 181, 170–173. [Google Scholar] [CrossRef] [PubMed]
- Ikemoto, K.; Sumi-Ichinose, C.; Suganuma, Y.; Kano, T.; Ihira, N.; Nagatsu, T.; Kondo, K. Salivary Neopterin and Related Pterins: Their Comparison to Those in Plasma and Changes in Individuals. J. Biochem. 2021, 170, 559–567. [Google Scholar] [CrossRef] [PubMed]
- Dántola, M.L.; Vignoni, M.; Capparelli, A.L.; Lorente, C.; Thomas, A.H. Stability of 7,8-Dihydropterins in Air-Equilibrated Aqueous Solutions. Helv. Chim. Acta 2008, 91, 411–425. [Google Scholar] [CrossRef]
- Flavall, E.A.; Crone, E.M.; Moore, G.A.; Gieseg, S.P. Dissociation of Neopterin and 7,8-Dihydroneopterin from Plasma Components before HPLC Analysis. J. Chromatogr. B 2008, 863, 167–171. [Google Scholar] [CrossRef]
- Jiménez Girón, A.; Martín-Tornero, E.; Hurtado Sánchez, M.C.; Durán Merás, I.; Espinosa Mansilla, A. A Simple HPLC-ESI-MS Method for the Direct Determination of Ten Pteridinic Biomarkers in Human Urine. Talanta 2012, 101, 465–472. [Google Scholar] [CrossRef]
- Moutereau, S.; Ech Chad, N.; Devanlay, M.; Esmilaire, L.; Loric, S. Improved Neopterin ELISA Kit: A Good Compromise between HPLC Results and Clinical Practice. Clin. Chem. Lab. Med. 2011, 49, 99–112. [Google Scholar] [CrossRef]
- Rokos, H.; Bienhaus, G.; Gadow, A.; Rokos, K. Determination of neopterin and reduced neopterins by radioimmunoassay. In February 23–March 2, 1985, St. Christoph, Arlberg, Austria; Wachter, H., Curtius, H.C., Pfleiderer, W., Eds.; De Gruyter: Berlin, Germany; Boston, MA, USA, 1985; pp. 73–84. ISBN 978-3-11-086056-6. [Google Scholar]
- Hammerer-Lercher, A.; Moser, C.; Leichtfried, V.; Schobersberger, W.; Griesmacher, A.; Fuchs, D. Comparison of a Commercial Urinary Neopterin Radioimmunoassay with High Performance Liquid Chromatography. Clin. Chem. Lab. Med. 2012, 50, 1075–1078. [Google Scholar] [CrossRef]
- Makoto, S.; Tokio, Y.; Takashi, S.; Sadao, M.; Toshiharu, N. Polarization Fluoroimmunoassay of Biopterin and Neopterin in Human Urine. Clin. Chim. Acta 1984, 138, 275–282. [Google Scholar] [CrossRef]
- Vrecko, K.; Staedtler, P.; Mischak, I.; Maresch, L.; Reibnegger, G. Periodontitis and Concentrations of the Cellular Immune Activation Marker Neopterin in Saliva and Urine. Clin. Chim. Acta 1997, 268, 31–40. [Google Scholar] [CrossRef]
- Bodur, A.; Baydar, T.; Ozmeric, N.; Engin, A.; Uraz, A.; Eren, K.; Sahin, G. Neopterin Profile to Evaluate the Effectiveness of Treatment in Aggressive Periodontitis. Pteridines 2003, 14, 77–81. [Google Scholar] [CrossRef]
- Prasanna, J.S.; Sumadhura, C.; Karunakar, P.; Rohini, N. Comparative Evaluation of Salivary Neopterin Levels and Its Effects to Periodontal Therapy in Pre- and Post-Menopausal Women. J. Menopausal Med. 2017, 23, 32–41. [Google Scholar] [CrossRef]
- Mahendra, L.; Mahendra, J.; Borra, S.K.; Nagarajan, A. Estimation of Salivary Neopterin in Chronic Periodontitis. Indian J. Dent. Res. 2014, 25, 794–796. [Google Scholar] [CrossRef]
- Adachi, T.; Naruko, T.; Itoh, A.; Komatsu, R.; Abe, Y.; Shirai, N.; Yamashita, H.; Ehara, S.; Nakagawa, M.; Kitabayashi, C.; et al. Neopterin Is Associated with Plaque Inflammation and Destabilisation in Human Coronary Atherosclerotic Lesions. Heart 2006, 93, 1537–1541. [Google Scholar] [CrossRef]
- Zembron-Lacny, A.; Dziubek, W.; Tylutka, A.; Wacka, E.; Morawin, B.; Bulinska, K.; Stefanska, M.; Wozniewski, M.; Szuba, A. Assessment of Serum Neopterin as a Biomarker in Peripheral Artery Disease. Diagnostics 2021, 11, 1911. [Google Scholar] [CrossRef]
- Signorelli, S.S.; Anzaldi, M.; Fiore, V.; Candido, S.; Di Marco, R.; Mangano, K.; Quattrocchi, C.; Neri, S. Neopterin: A Potential Marker in Chronic Peripheral Arterial Disease. Mol. Med. Rep. 2013, 7, 1855–1858. [Google Scholar] [CrossRef]
- McDermott, M.M.; Guralnik, J.M.; Corsi, A.; Albay, M.; Macchi, C.; Bandinelli, S.; Ferrucci, L. Patterns of Inflammation Associated with Peripheral Arterial Disease: The InCHIANTI Study. Am. Heart J. 2005, 150, 276–281. [Google Scholar] [CrossRef]
- Sugioka, K.; Naruko, T.; Hozumi, T.; Nakagawa, M.; Kitabayashi, C.; Ikura, Y.; Shirai, N.; Matsumura, Y.; Ehara, S.; Ujino, K.; et al. Elevated Levels of Neopterin Are Associated with Carotid Plaques with Complex Morphology in Patients with Stable Angina Pectoris. Atherosclerosis 2010, 208, 524–530. [Google Scholar] [CrossRef]
- Avanzas, P. Markers of Inflammation and Multiple Complex Stenoses (Pancoronary Plaque Vulnerability) in Patients with Non-ST Segment Elevation Acute Coronary Syndromes. Heart 2004, 90, 847–852. [Google Scholar] [CrossRef]
- Ren, J.; Chen, Y.-B.; Zhang, Y.-Y.; Zhou, Q.-B.; Chen, S.; Yang, J.-Y.; Tao, J. Decreased Circulating Neopterin Is Associated with Increased Arterial Elasticity: A Beneficial Role of Periodontal Treatment. Aust. Dent. J. 2016, 61, 76–83. [Google Scholar] [CrossRef]
- Parenica, J.; Kala, P.; Mebazaa, A.; Littnerova, S.; Benesova, K.; Tomandl, J.; Goldbergová Pavkova, M.; Jarkovský, J.; Spinar, J.; Tomandlova, M.; et al. Activation of the Nitric Oxide Pathway and Acute Myocardial Infarction Complicated by Acute Kidney Injury. Cardiorenal Med. 2020, 10, 85–96. [Google Scholar] [CrossRef]
- Grammer, T.B.; Fuchs, D.; Boehm, B.O.; Winkelmann, B.R.; Maerz, W. Neopterin as a Predictor of Total and Cardiovascular Mortality in Individuals Undergoing Angiography in the Ludwigshafen Risk and Cardiovascular Health Study. Clin. Chem. 2009, 55, 1135–1146. [Google Scholar] [CrossRef] [PubMed]
- Nechita, V.-I.; Hajjar, N.A.; Drugan, C.; Cătană, C.-S.; Moiş, E.; Nechita, M.-A.; Graur, F. Chitotriosidase and Neopterin as Potential Biomarkers for the Evaluation of Complicated Cholecystitis—A Pilot Study. JCM 2023, 12, 1641. [Google Scholar] [CrossRef] [PubMed]
- Kamal, Z.B.; Naji, R.E.; Ali, H.A. Comparative Study between Neopterin and Alvarado Score in the Diagnosis of Acute Appendicitis and Its Severity. Maced. J. Med. Sci. 2021, 9, 42–47. [Google Scholar] [CrossRef]
- Saghazadeh, A.; Rezaei, N. Elevated Neopterin in Tuberculosis and Co-Infection with HIV and the Effect of Treatment: A Systematic Review, Meta-Analysis, and Meta-Regression. Int. Immunopharmacol. 2022, 111, 109147. [Google Scholar] [CrossRef] [PubMed]
- Flynn, J.L.; Chan, J.; Triebold, K.J.; Dalton, D.K.; Stewart, T.A.; Bloom, B.R. An Essential Role for Interferon Gamma in Resistance to Mycobacterium Tuberculosis Infection. J. Exp. Med. 1993, 178, 2249–2254. [Google Scholar] [CrossRef]
- Kaneko, S.; Hatasaki, K.; Ueno, K.; Fujita, S.; Igarashi, N.; Kuroda, M.; Wada, T. One-Year-Old Boy with Refractory Listeria Monocytogenes Meningitis Due to Persistent Hypercytokinemia. J. Infect. Chemother. 2022, 28, 1682–1686. [Google Scholar] [CrossRef]
- Kip, A.E.; Wasunna, M.; Alves, F.; Schellens, J.H.M.; Beijnen, J.H.; Musa, A.M.; Khalil, E.A.G.; Dorlo, T.P.C. Macrophage Activation Marker Neopterin: A Candidate Biomarker for Treatment Response and Relapse in Visceral Leishmaniasis. Front. Cell Infect. Microbiol. 2018, 8, 181. [Google Scholar] [CrossRef]
- Wirleitner, B.; Rudzite, V.; Neurauter, G.; Murr, C.; Kalnins, U.; Erglis, A.; Trusinskis, K.; Fuchs, D. Immune Activation and Degradation of Tryptophan in Coronary Heart Disease. Eur. J. Clin. Investig. 2003, 33, 550–554. [Google Scholar] [CrossRef]
- Mildvan, D.; Spritzler, J.; Grossberg, S.E.; Fahey, J.L.; Johnston, D.M.; Schock, B.R.; Kagan, J. Serum Neopterin, an Immune Activation Marker, Independently Predicts Disease Progression in Advanced HIV-1 Infection. Clin. Infect. Dis. 2005, 40, 853–858. [Google Scholar] [CrossRef]
- Williams, M.E.; Stein, D.J.; Joska, J.A.; Naudé, P.J.W. Cerebrospinal Fluid Immune Markers and HIV-Associated Neurocognitive Impairments: A Systematic Review. J. Neuroimmunol. 2021, 358, 577649. [Google Scholar] [CrossRef]
- Ozger, H.S.; Dizbay, M.; Corbacioglu, S.K.; Aysert, P.; Demirbas, Z.; Tunccan, O.G.; Hizel, K.; Bozdayi, G.; Caglar, K. The Prognostic Role of Neopterin in COVID-19 Patients. J. Med. Virol. 2021, 93, 1520–1525. [Google Scholar] [CrossRef]
- Robertson, J.; Gostner, J.M.; Nilsson, S.; Andersson, L.-M.; Fuchs, D.; Gisslen, M. Serum Neopterin Levels in Relation to Mild and Severe COVID-19. BMC Infect. Dis. 2020, 20, 942. [Google Scholar] [CrossRef]
- Zheng, B.; Cao, K.-Y.; Chan, C.P.Y.; Choi, J.W.Y.; Leung, W.; Leung, M.; Duan, Z.-H.; Gao, Y.; Wang, M.; Di, B.; et al. Serum Neopterin for Early Assessment of Severity of Severe Acute Respiratory Syndrome. Clin. Immunol. 2005, 116, 18–26. [Google Scholar] [CrossRef]
- Gulcan, E.M.; Tirit, I.; Anil, A.; Adal, E.; Ozbay, G. Serum Neopterin Levels in Children with Hepatitis-B-Related Chronic Liver Disease and Its Relationship to Disease Severity. WJG 2008, 14, 6840. [Google Scholar] [CrossRef]
- Leonardi, S.; Avola, E.; Sciacca, A.; Gregorio, F.D.; Musumeci, S. Neopterin as a Marker of C Hepatitis in Thalassaemia Major. J. Pediatr. Gastroenterol. Nutr. 1991, 12, 315–318. [Google Scholar] [CrossRef]
- Reibnegger, G.; Auhuber, I.; Fuchs, D.; Hausen, A.; Judmaier, G.; Prior, C.; Werner, E.R.; Wachter, H. Urinary Neopterin Levels in Acute Viral Hepatitis. Hepatology 1988, 8, 771–774. [Google Scholar] [CrossRef]
- Miyaue, N.; Hosokawa, Y.; Yamanishi, Y.; Tada, S.; Ando, R.; Nagai, M. Clinical Use of CSF Neopterin Levels in CNS Demyelinating Diseases. J. Neurol. Sci. 2022, 441, 120385. [Google Scholar] [CrossRef] [PubMed]
- Widner, B.; Leblhuber, F.; Fuchs, D. Increased Neopterin Production and Tryptophan Degradation in Advanced Parkinson’s Disease. J. Neural Transm. 2002, 109, 181–189. [Google Scholar] [CrossRef] [PubMed]
- Arteaga-Henríquez, G.; Lugo-Marín, J.; Gisbert, L.; Setién-Ramos, I.; Martínez-Gallo, M.; Pujol-Borrell, R.; Ramos-Quiroga, J.A. Activation of the Monocyte/Macrophage System and Abnormal Blood Levels of Lymphocyte Subpopulations in Individuals with Autism Spectrum Disorder: A Systematic Review and Meta-Analysis. Int. J. Mol. Sci. 2022, 23, 14329. [Google Scholar] [CrossRef] [PubMed]
- Endres, D.; Frye, B.C.; Schlump, A.; Kuzior, H.; Feige, B.; Nickel, K.; Urbach, H.; Schiele, M.A.; Domschke, K.; Berger, B.; et al. Sarcoidosis and Obsessive-Compulsive Symptoms. J. Neuroimmunol. 2022, 373, 577989. [Google Scholar] [CrossRef] [PubMed]
- Bahrehmand, F.; Vaisi-Raygani, A.; Kiani, A.; Rahimi, Z.; Tavilani, H.; Ardalan, M.; Vaisi-Raygani, H.; Shakiba, E.; Pourmotabbed, T. Matrix Metalloproteinase 9 Polymorphisms and Systemic Lupus Erythematosus: Correlation with Systemic Inflammatory Markers and Oxidative Stress. Lupus 2015, 24, 597–605. [Google Scholar] [CrossRef]
- Abdel-Haq, A.; Kusnierz-Cabala, B.; Darczuk, D.; Sobuta, E.; Dumnicka, P.; Wojas-Pelc, A.; Chomyszyn-Gajewska, M. Interleukin-6 and Neopterin Levels in the Serum and Saliva of Patients with Lichen Planus and Oral Lichen Planus. J. Oral Pathol. Med. 2014, 43, 734–739. [Google Scholar] [CrossRef]
- Peng, Q.-L.; Zhang, Y.-M.; Liang, L.; Liu, X.; Ye, L.-F.; Yang, H.-B.; Zhang, L.; Shu, X.-M.; Lu, X.; Wang, G.-C. A High Level of Serum Neopterin Is Associated with Rapidly Progressive Interstitial Lung Disease and Reduced Survival in Dermatomyositis. Clin. Exp. Immunol. 2020, 199, 314–325. [Google Scholar] [CrossRef]
- El-Lebedy, D.; Hussein, J.; Ashmawy, I.; Mohammed, A.M. Serum Level of Neopterin Is Not a Marker of Disease Activity in Treated Rheumatoid Arthritis Patients. Clin. Rheumatol. 2017, 36, 1975–1979. [Google Scholar] [CrossRef]
- Videm, V.; Houge, I.S.; Liff, M.H.; Hoff, M. Inflammation Mediates Approximately One Quarter of Excess Relative All-Cause Mortality in Persons with Rheumatoid Arthritis: The Trøndelag Health Study. Sci. Rep. 2022, 12, 18599. [Google Scholar] [CrossRef]
- Hanahan, D.; Weinberg, R.A. Hallmarks of Cancer: The Next Generation. Cell 2011, 144, 646–674. [Google Scholar] [CrossRef]
- Melichar, B.; Spisarová, M.; Bartoušková, M.; Krčmová, L.K.; Javorská, L.; Študentová, H. Neopterin as a Biomarker of Immune Response in Cancer Patients. Ann. Transl. Med. 2017, 5, 280. [Google Scholar] [CrossRef]
- Ciocan, A.; Ciocan, R.A.; Al Hajjar, N.; Benea, A.M.; Pandrea, S.L.; Cătană, C.S.; Drugan, C.; Oprea, V.C.; Dîrzu, D.S.; Bolboacă, S.D. Exploratory Evaluation of Neopterin and Chitotriosidase as Potential Circulating Biomarkers for Colorectal Cancer. Biomedicines 2023, 11, 894. [Google Scholar] [CrossRef]
- Berchtold, J.; Murr, C.; Norer, B.; Waldhart, E.; Wachter, H.; Fuchs, D. Urinary Neopterin Excretion in Patients with Squamous Carcinoma of the Oral Cavity. Cancer Lett. 1995, 95, 227–232. [Google Scholar] [CrossRef]
- Murr, C.; Berchtold, J.; Norer, B.; Waldhart, E.; Wachter, H.; Fuchs, D. Neopterin as a Prognostic Parameter in Patients with Squamous-Cell Carcinomas of the Oral Cavity. Int. J. Cancer 1998, 79, 476–480. [Google Scholar] [CrossRef]
- Weinlich, G.; Murr, C.; Richardsen, L.; Winkler, C.; Fuchs, D. Decreased Serum Tryptophan Concentration Predicts Poor Prognosis in Malignant Melanoma Patients. Dermatology 2007, 214, 8–14. [Google Scholar] [CrossRef] [PubMed]
- Hausen, A.; Fuchs, D.; Grünewald, K.; Huber, H.; König, K.; Wechter, H. Urinary Neopterine as Marker for Haematological Neoplasias. Clin. Chim. Acta 1981, 117, 297–305. [Google Scholar] [CrossRef] [PubMed]
- Aulitzky, W.; Frick, J.; Fuchs, D.; Hausen, A.; Reibnegger, G.; Wachter, H. Significance of Urinary Neopterin in Patients with Malignant Tumors of the Genitourinary Tract. Cancer 1985, 55, 1052–1055. [Google Scholar] [CrossRef] [PubMed]
- Manes, G.; Spada, O.A.; Rabitti, P.G.; Feola, B.; Misso, S.; Minerva, A.; Uomo, G. Neopterin Serum Levels in Pancreatic Adenocarcinoma. IJGC 1999, 25, 31–38. [Google Scholar] [CrossRef]
- Zuo, H.; Tell, G.S.; Vollset, S.E.; Ueland, P.M.; Nygård, O.; Midttun, Ø.; Meyer, K.; Ulvik, A.; Eussen, S.J.P.M. Interferon-γ-Induced Inflammatory Markers and the Risk of Cancer: The Hordaland Health Study. Cancer 2014, 120, 3370–3377. [Google Scholar] [CrossRef]
- Bizjak, D.A.; Schulz, S.V.W.; John, L.; Schellenberg, J.; Bizjak, R.; Witzel, J.; Valder, S.; Kostov, T.; Schalla, J.; Steinacker, J.M.; et al. Running for Your Life: Metabolic Effects of a 160.9/230 Km Non-Stop Ultramarathon Race on Body Composition, Inflammation, Heart Function, and Nutritional Parameters. Metabolites 2022, 12, 1138. [Google Scholar] [CrossRef]
- Dantas de Lucas, R.; Caputo, F.; Mendes de Souza, K.; Sigwalt, A.R.; Ghisoni, K.; Lock Silveira, P.C.; Remor, A.P.; da Luz Scheffer, D.; Antonacci Guglielmo, L.G.; Latini, A. Increased Platelet Oxidative Metabolism, Blood Oxidative Stress and Neopterin Levels after Ultra-Endurance Exercise. J. Sport. Sci. 2014, 32, 22–30. [Google Scholar] [CrossRef]
- Papapanou, P.N.; Sanz, M.; Buduneli, N.; Dietrich, T.; Feres, M.; Fine, D.H.; Flemmig, T.F.; Garcia, R.; Giannobile, W.V.; Graziani, F.; et al. Periodontitis: Consensus Report of Workgroup 2 of the 2017 World Workshop on the Classification of Periodontal and Peri-Implant Diseases and Conditions: Classification and Case Definitions for Periodontitis. J. Clin. Periodontol. 2018, 45, S162–S170. [Google Scholar] [CrossRef]
- Newman, M.G.; Takei, H.H.; Klokkevold, P.R.; Carranza, F.A. (Eds.) Carranza’s Clinical Periodontology, 20th ed.; Elsevier Saunders: St. Louis, MO, USA, 2015; ISBN 978-0-323-22799-5. [Google Scholar]
- Meyle, J.; Chapple, I. Molecular Aspects of the Pathogenesis of Periodontitis. Periodontology 2000 2015, 69, 7–17. [Google Scholar] [CrossRef]
- Grossi, S.G.; Zambon, J.J.; Ho, A.W.; Koch, G.; Dunford, R.G.; Machtei, E.E.; Norderyd, O.M.; Genco, R.J. Assessment of Risk for Periodontal Disease. I. Risk Indicators for Attachment Loss. J. Periodontol. 1994, 65, 260–267. [Google Scholar] [CrossRef]
- Slots, J. Periodontitis: Facts, Fallacies and the Future. Periodontology 2000 2017, 75, 7–23. [Google Scholar] [CrossRef]
- Arango Duque, G.; Descoteaux, A. Macrophage Cytokines: Involvement in Immunity and Infectious Diseases. Front. Immunol. 2014, 5, 491. [Google Scholar] [CrossRef]
- Yang, J.; Zhu, Y.; Duan, D.; Wang, P.; Xin, Y.; Bai, L.; Liu, Y.; Xu, Y. Enhanced Activity of Macrophage M1/M2 Phenotypes in Periodontitis. Arch. Oral Biol. 2018, 96, 234–242. [Google Scholar] [CrossRef]
- Mosser, D.M.; Edwards, J.P. Exploring the Full Spectrum of Macrophage Activation. Nat. Rev. Immunol. 2008, 8, 958–969. [Google Scholar] [CrossRef]
- Zhou, L.; Bi, C.; Gao, L.; An, Y.; Chen, F.; Chen, F. Macrophage Polarization in Human Gingival Tissue in Response to Periodontal Disease. Oral Dis. 2019, 25, 265–273. [Google Scholar] [CrossRef]
- Arjunkumar, R.; Sudhakar, U.; Jayakumar, P.; Arunachalam, L.; Suresh, S.; Virupapuram, P. Comparative Analysis of Gingival Crevicular Fluid Neopterin Levels in Health and Periodontal Disease: A Biochemical Study. Indian J. Dent. Res. 2013, 24, 582–586. [Google Scholar] [CrossRef]
- Fenol, A.; Swetha, V.R.; Krishnan, S.; Perayil, J.; Vyloppillil, R.; Bhaskar, A.; Shereef, M.; Balakrishnan, B.; Puzhankara, L. Correlation of Salivary Neopterin and Plasma Fibrinogen Levels in Patients with Chronic Periodontitis and/or Type 2 Diabetes Mellitus. Pteridines 2017, 28, 177–183. [Google Scholar] [CrossRef]
- Patil, A.; Ranganath, V.; Naresh Kumar, C.; Naik, R.; John, A.; Pharande, S. Evaluation of Salivary Biomarkers of Periodontitis among Smokers and Nonsmokers: A Novel Study. J. Fam. Med. Prim. Care 2020, 9, 1136. [Google Scholar] [CrossRef]
- Pradeep, A.R.; Kumar, M.S.; Ramachandraprasad, M.V.; Shikha, C. Gingival Crevicular Fluid Levels of Neopterin in Healthy Subjects and in Patients with Different Periodontal Diseases. J. Periodontol. 2007, 78, 1962–1967. [Google Scholar] [CrossRef]
- Prasanna, J.S.; Sumadhura, C.; Karunakar, P.; Rekharani, K.; Himabindu, G.; Manasa, A. Correlative Analysis of Plasma and Urine Neopterin Levels in the Pre- and Post-Menopausal Women with Periodontitis, Following Nonsurgical Periodontal Therapy. J. Indian Soc. Periodontol. 2017, 21, 276–284. [Google Scholar] [CrossRef]
- Turgut Cankaya, Z.; Bodur, A.; Tacoy, G.; Erguder, I.; Aktuna, D.; Cengel, A. The Effect of Periodontal Therapy on Neopterin and Vascular Cell Adhesion Molecule-1 Levels in Chronic Periodontitis Patients with and without Acute Myocardial Infarction: A Case-Control Study. J. Appl. Oral Sci. 2018, 26, e20170199. [Google Scholar] [CrossRef] [PubMed]
- Kaufman, E.; Lamster, I.B. Analysis of Saliva for Periodontal Diagnosis: A Review. J. Clin. Periodontol. 2000, 27, 453–465. [Google Scholar] [CrossRef] [PubMed]
Disclaimer/Publisher’s Note: The statements, opinions and data contained in all publications are solely those of the individual author(s) and contributor(s) and not of MDPI and/or the editor(s). MDPI and/or the editor(s) disclaim responsibility for any injury to people or property resulting from any ideas, methods, instructions or products referred to in the content. |
© 2023 by the authors. Licensee MDPI, Basel, Switzerland. This article is an open access article distributed under the terms and conditions of the Creative Commons Attribution (CC BY) license (https://creativecommons.org/licenses/by/4.0/).


