Does Sperm SNRPN Methylation Change with Fertility Status and Age? A Systematic Review and Meta-Regression Analysis
Abstract
1. Introduction
2. Materials and Methods
2.1. Search Strategy
2.2. Selection Criteria
2.3. Data Extraction
2.4. Quality Assessment
2.5. Statistical Analysis
3. Results
3.1. Quality of Evidence Results
3.2. Difference in SNRPN Methylation between Patients and Controls
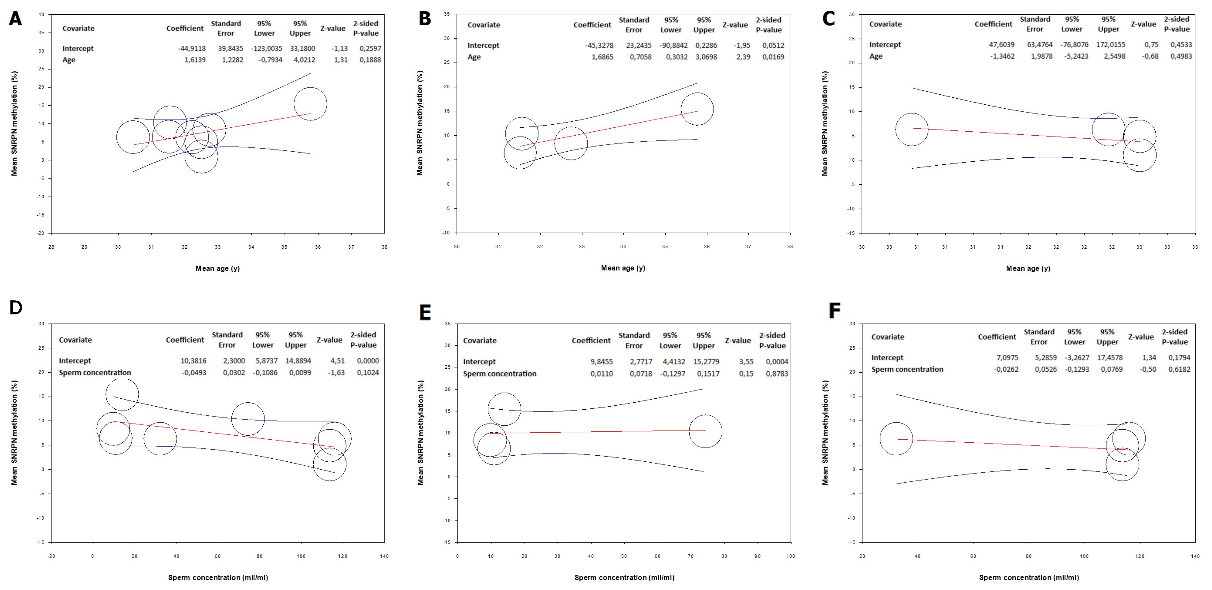
3.3. Meta-Regression Analysis: Correlation between SNRPN Methylation and Age
3.4. Meta-Regression Analysis: Correlation between SNRPN Methylation and Sperm Concentration
4. Discussion
5. Conclusions
Author Contributions
Funding
Conflicts of Interest
References
- Agarwal, A.; Mulgund, A.; Hamada, A.; Chyatte, M.R. A unique view on male infertility around the globe. Reprod. Biol. Endocrinol. 2015, 13, 37. [Google Scholar] [CrossRef] [PubMed]
 - Tüttelmann, F.; Ruckert, C.; Röpke, A. Disorders of spermatogenesis: Perspectives for novel genetic diagnostics after 20 years of unchanged routine. Med. Genet. 2018, 30, 12–20. [Google Scholar] [CrossRef] [PubMed]
 - Giacone, F.; Cannarella, R.; Mongioì, L.M.; Alamo, A.; Condorelli, R.A.; Calogero, A.E.; La Vignera, S. Epigenetics of Male Fertility: Effects on Assisted Reproductive Techniques. World J. Men’s Health 2019, 37, 148–156. [Google Scholar] [CrossRef] [PubMed]
 - Li, Y. Modern epigenetics methods in biological research. Methods 2021, 187, 104–113. [Google Scholar] [CrossRef] [PubMed]
 - Rajender, S.; Avery, K.; Agarwal, A. Epigenetics; spermatogenesis and male infertility. Mutat. Res. 2011, 727, 62–71. [Google Scholar] [CrossRef] [PubMed]
 - Gannon, J.R.; Emery, B.R.; Jenkins, T.G.; Carrell, D.T. The sperm epigenome: Implications for the embryo. Adv. Exp. Med. Biol. 2014, 791, 53–66. [Google Scholar] [PubMed]
 - Uysal, F.; Akkoyunlu, G.; Ozturk, S. DNA methyltransferases exhibit dynamic expression during spermatogenesis. Reprod. Biomed. Online 2016, 33, 690–702. [Google Scholar] [CrossRef] [PubMed]
 - Cannarella, R.; Crafa, A.; Condorelli, R.A.; Mongioì, L.M.; La Vignera, S.; Calogero, A.E. Relevance of sperm imprinted gene methylation on assisted reproductive technique outcomes and pregnancy loss: A systematic review. Syst. Biol. Reprod. Med. 2021, 67, 251–259. [Google Scholar] [CrossRef]
 - Khambata, K.; Raut, S.; Deshpande, S.; Mohan, S.; Sonawane, S.; Gaonkar, R.; Ansari, Z.; Datar, M.; Bansal, V.; Patil, A.; et al. DNA methylation defects in spermatozoa of male partners from couples experiencing recurrent pregnancy loss. Hum. Reprod. 2021, 36, 48–60. [Google Scholar] [CrossRef]
 - Cannarella, R.; Crafa, A.; Mongioì, L.M.; Leggio, L.; Iraci, N.; La Vignera, S.; Condorelli, R.A.; Calogero, A.E. DNA Methylation in Offspring Conceived after Assisted Reproductive Techniques: A Systematic Review and Meta-Analysis. J. Clin. Med. 2022, 11, 5056. [Google Scholar] [CrossRef]
 - Sciorio, R.; Esteves, S.C. Contemporary Use of ICSI and Epigenetic Risks to Future Generations. J. Clin. Med. 2022, 11, 2135. [Google Scholar] [CrossRef]
 - Xavier, M.J.; Roman, S.D.; Aitken, R.J.; Nixon, B. Transgenerational inheritance: How impacts to the epigenetic and genetic information of parents affect offspring health. Hum. Reprod. Update 2019, 25, 518–540. [Google Scholar] [CrossRef]
 - Messerschmidt, D.M. Should I stay or should I go: Protection and maintenance of DNA methylation at imprinted genes. Epigenetics 2012, 7, 969–975. [Google Scholar] [CrossRef] [PubMed]
 - Monk, D. Germline-derived DNA methylation and early embryo epigenetic reprogramming: The selected survival of imprints. Int. J. Biochem. Cell Biol. 2015, 67, 128–138. [Google Scholar] [CrossRef] [PubMed]
 - Available online: https://www.omim.org/entry/182279?search=SNRPN&highlight=snrpn) (accessed on 23 December 2023).
 - Santi, D.; De Vincentis, S.; Magnani, E.; Spaggiari, G. Impairment of sperm DNA methylation in male infertility: A meta-analytic study. Andrology 2017, 5, 695–703. [Google Scholar] [CrossRef] [PubMed]
 - Kaltsas, A.; Moustakli, E.; Zikopoulos, A.; Georgiou, I.; Dimitriadis, F.; Symeonidis, E.N.; Markou, E.; Michaelidis, T.M.; Tien, D.M.B.; Giannakis, I.; et al. Impact of Advanced Paternal Age on Fertility and Risks of Genetic Disorders in Offspring. Genes 2023, 14, 486. [Google Scholar] [CrossRef] [PubMed]
 - Halvaei, I.; Litzky, J.; Esfandiari, N. Advanced paternal age: Effects on sperm parameters; assisted reproduction outcomes and offspring health. Reprod. Biol. Endocrinol. 2020, 18, 110. [Google Scholar] [CrossRef] [PubMed]
 - Murugesu, S.; Kasaven, L.S.; Petrie, A.; Vaseekaran, A.; Jones, B.P.; Bracewell-Milnes, T.; Barcroft, J.F.; Grewal, K.J.; Getreu, N.; Galazis, N.; et al. Does advanced paternal age affect outcomes following assisted reproductive technology? A systematic review and meta-analysis. Reprod. Biomed. Online 2022, 45, 283–331. [Google Scholar] [CrossRef] [PubMed]
 - Johnson, S.L.; Dunleavy, J.; Gemmell, N.J.; Nakagawa, S. Consistent age-dependent declines in human semen quality: A systematic review and meta-analysis. Ageing Res. Rev. 2015, 19, 22–33. [Google Scholar] [CrossRef]
 - Petrella, F.; Lusignan, M.F.; Gabriel, M.S.; Pedraza, C.; Moryousef, J.; Almajed, W.; Chan, P. Impact of Age and Fertility Status on the Consistency of Repeat Measurements of Sperm DNA Damage: A Single-Center; Prospective; Dual Visit Study. Urology 2022, 169, 96–101. [Google Scholar] [CrossRef]
 - Shamseer, L.; Moher, D.; Clarke, M.; Ghersi, D.; Liberati, A.; Petticrew, M.; Shekelle, P.; Stewart, L.A. Preferred reporting items for systematic review and meta-analysis protocols (prisma-p) 2015: Elaboration and explanation. BMJ 2015, 349, g7647. [Google Scholar] [CrossRef]
 - Stroup, D.F.; Berlin, J.A.; Morton, S.C.; Olkin, I.; Williamson, G.D.; Rennie, D.; Moher, D.; Becker, B.J.; Sipe, T.A.; Thacker, S.B. Meta-analysis of observational studies in epidemiology: A proposal for reporting. Meta-analysis Of Observational Studies in Epidemiology (MOOSE) group. J. Am. Med. Assoc. 2000, 283, 2008–2012. [Google Scholar] [CrossRef]
 - Methley, A.M.; Campbell, S.; Chew-Graham, C.; McNally, R.; Cheraghi-Sohi, S. PICO, PICOS and SPIDER: A comparison study of specificity and sensitivity in three search tools for qualitative systematic reviews. BMC Health Serv. Res. 2014, 14, 579. [Google Scholar] [CrossRef]
 - Murray, J.; Farrington, D.P.; Eisner, M.P. Drawing conclusions about causes from systematic reviews of risk factors: The Cambridge Quality Checklists. J. Exp. Criminol. 2009, 5, 1–23. [Google Scholar] [CrossRef]
 - Botezatu, A.; Socolov, R.; Socolov, D.; Iancu, I.V.; Anton, G. Methylation pattern of methylene tetrahydrofolate reductase and small nuclear ribonucleoprotein polypeptide N promoters in oligoasthenospermia: A case-control study. Reprod Biomed Online. 2014, 28, 225–231. [Google Scholar] [CrossRef] [PubMed]
 - Camprubí, C.; Pladevall, M.; Grossmann, M.; Garrido, N.; Pons, M.C.; Blanco, J. Semen samples showing an increased rate of spermatozoa with imprinting errors have a negligible effect in the outcome of assisted reproduction techniques. Epigenetics. 2012, 7, 1115–1124. [Google Scholar] [CrossRef][Green Version]
 - Dong, H.; Wang, Y.; Zou, Z.; Chen, L.; Shen, C.; Xu, S.; Zhang, J.; Zhao, F.; Ge, S.; Gao, Q.; et al. Abnormal Methylation of Imprinted Genes and Cigarette Smoking: Assessment of Their Association With the Risk of Male Infertility. Reprod Sci. 2017, 24, 114–123. [Google Scholar] [CrossRef] [PubMed]
 - El Hajj, N.; Zechner, U.; Schneider, E.; Tresch, A.; Gromoll, J.; Hahn, T.; Schorsch, M.; Haaf, T. Methylation status of imprinted genes and repetitive elements in sperm DNA from infertile males. Sex Dev. 2011, 5, 60–69. [Google Scholar] [CrossRef] [PubMed]
 - Hammoud, S.S.; Purwar, J.; Pflueger, C.; Cairns, B.R.; Carrell, D.T. Alterations in sperm DNA methylation patterns at imprinted loci in two classes of infertility. Fertil Steril. 2010, 94, 1728–1733. [Google Scholar] [CrossRef] [PubMed]
 - Peng, H.; Zhao, P.; Liu, J.; Zhang, J.; Zhang, J.; Wang, Y.; Wu, L.; Song, M.; Wang, W. Novel Epigenomic Biomarkers of Male Infertility Identified by Methylation Patterns of CpG Sites Within Imprinting Control Regions of H19 and SNRPN Genes. OMICS. 2018, 22, 354–364. [Google Scholar] [CrossRef]
 - Gonzalez, D.C.; Ory, J.; Blachman-Braun, R.; Nackeeran, S.; Best, J.C.; Ramasamy, R. Advanced Paternal Age and Sperm DNA Fragmentation: A Systematic Review. World J. Men’s Health 2022, 40, 104–115. [Google Scholar] [CrossRef]
 - Aitken, R.J.; Baker, M.A.; Sawyer, D. Oxidative stress in the male germ line and its role in the aetiology of male infertility and genetic disease. Reprod. Biomed. Online 2003, 7, 65–70. [Google Scholar] [CrossRef] [PubMed]
 - Singh, N.P.; Muller, C.H.; Berger, R.E. Effects of age on DNA double-strand breaks and apoptosis in human sperm. Fertil. Steril. 2003, 80, 1420–1430. [Google Scholar] [CrossRef] [PubMed]
 - du Fossé, N.A.; van der Hoorn, M.P.; van Lith, J.M.M.; le Cessie, S.; Lashley, E.E.L.O. Advanced paternal age is associated with an increased risk of spontaneous miscarriage: A systematic review and meta-analysis. Hum. Reprod. Update 2020, 26, 650–669. [Google Scholar] [CrossRef] [PubMed]
 - Glenn, C.C.; Saitoh, S.; Jong, M.T.; Filbrandt, M.M.; Surti, U.; Driscoll, D.J.; Nicholls, R.D. Gene structure; DNA methylation; and imprinted expression of the human SNRPN gene. Am. J. Hum. Genet. 1996, 58, 335–346. [Google Scholar] [PubMed]
 - Saitoh, S.; Wada, T. Parent-of-origin specific histone acetylation and reactivation of a key imprinted gene locus in Prader-Willi syndrome. Am. J. Hum. Genet. 2000, 66, 1958–1962. [Google Scholar] [CrossRef] [PubMed]
 - Reed, M.L.; Leff, S.E. Maternal imprinting of human SNRPN, a gene deleted in Prader-Willi syndrome. Nat. Genet. 1994, 6, 163–167. [Google Scholar] [CrossRef] [PubMed]
 - Wawrzik, M.; Spiess, A.N.; Herrmann, R.; Buiting, K.; Horsthemke, B. Expression of SNURF-SNRPN upstream transcripts and epigenetic regulatory genes during human spermatogenesis. Eur. J. Hum. Genet. 2009, 17, 1463–1470. [Google Scholar] [CrossRef] [PubMed]
 - Malaspina, D.; Gilman, C.; Kranz, T.M. Paternal age and mental health of offspring. Fertil. Steril. 2015, 103, 1392–1396. [Google Scholar] [CrossRef]
 - Mishra, A.; Prabha, P.K.; Singla, R.; Kaur, G.; Sharma, A.R.; Joshi, R.; Suroy, B.; Medhi, B. Epigenetic Interface of Autism Spectrum Disorders (ASDs): Implications of Chromosome 15q11–q13 Segment. ACS Chem. Neurosci. 2022, 13, 1684–1696. [Google Scholar] [CrossRef]
 - Horánszky, A.; Becker, J.L.; Zana, M.; Ferguson-Smith, A.C.; Dinnyés, A. Epigenetic Mechanisms of ART-Related Imprinting Disorders: Lessons From iPSC and Mouse Models. Genes 2021, 12, 1704. [Google Scholar] [CrossRef]
 




| Inclusion Criteria | Exclusion Criteria | |
|---|---|---|
| Population | Male patients | Women, male subjects younger than 18 years old, azoospermic patients | 
| Exposure | Infertile or abnormal sperm parameters (oligo-, astheno-, and/or terato-zoospermia) | |
| Comparison | Fertile or normal sperm parameters (normozoospermia) | |
| Outcomes | SNRPN gene methylation | / | 
| Study type | Randomized controlled studies, observational studies, case-control studies | In vitro studies, animal studies, review & meta-analyses, case reports, book chapters, editorials | 
| Name | Type of Study | Cases | Controls | ||||
|---|---|---|---|---|---|---|---|
| n | Characteristics | SNRPN Methylation Status | n | Characteristics | SNRPN Methylation Status | ||
| Botezatu et al., 2014 [26] | Prospective case-control study | 27 | Idiopathic infertile men | 15.43 ± 2.62 | 11 | N with F-factor infertility | 1.76 ± 2.62 | 
| Camprubi et al., 2012 [27] | Prospective case-control study | 15 | N with infertility | 1.2 ± 0.2 | 30 | Fertile | 1.03 ± 0.2 | 
| 1 | O | ||||||
| 8 | A | ||||||
| 30 | T | ||||||
| 1 | OA | ||||||
| 5 | OT | ||||||
| 31 | AT | ||||||
| 16 | OAT | ||||||
| Dong et al., 2016 [28] | Prospective case-control study | 48 | O | 6.44 ± 3.72 | 50 | NZ | 6.32 ± 3.54 | 
| 52 | A | 7.74 ± 5.71 | |||||
| 55 | T | 9.33 ± 5.48 | |||||
| El-Hajj et al., 2011 [29] | Retrospective case-control study | 106 | M-factor infertility or combined M and F-factor infertility | 3.8 ± 2.1 | 28 | F-factor infertility | 4.9 ± 3 | 
| Hammound et al., 2010 [30] | Retrospective case-control study | 13 | O | 10 ± 9.9 | 5 | Fertile | 4.3 ± 3.5 | 
| Peng et al., 2018 [31] | Prospective case-control study | 39 | OA | 8.36 ± 0.97 | 50 | NZ | 6.32 ± 1.14 | 
| 36 | AT | 10.37 ± 1.97 | |||||
| Study Name | Type of Study | Cambridge Quality Checklists | ||
|---|---|---|---|---|
| Checklist for Correlates | Checklist for Risk Factors | Checklist for Causal Risk Factors | ||
| Botezatu et al., 2014 [26] | Prospective case-control study | 2 | 3 | 5 | 
| Camprubi et al., 2012 [27] | Prospective case-control study | 2 | 3 | 5 | 
| Dong et al., 2016 [28] | Prospective case-control study | 3 | 3 | 5 | 
| El-Hajj et al., 2011 [29] | Retrospective case-control study | 2 | 2 | 5 | 
| Hammound et al., 2010 [30] | Retrospective case-control study | 2 | 2 | 5 | 
| Peng et al., 2018 [31] | Prospective case-control study | 2 | 3 | 5 | 
Disclaimer/Publisher’s Note: The statements, opinions and data contained in all publications are solely those of the individual author(s) and contributor(s) and not of MDPI and/or the editor(s). MDPI and/or the editor(s) disclaim responsibility for any injury to people or property resulting from any ideas, methods, instructions or products referred to in the content.  | 
© 2024 by the authors. Licensee MDPI, Basel, Switzerland. This article is an open access article distributed under the terms and conditions of the Creative Commons Attribution (CC BY) license (https://creativecommons.org/licenses/by/4.0/).
Share and Cite
Leanza, C.; Cannarella, R.; Barbagallo, F.; Gusmano, C.; Calogero, A.E. Does Sperm SNRPN Methylation Change with Fertility Status and Age? A Systematic Review and Meta-Regression Analysis. Biomedicines 2024, 12, 445. https://doi.org/10.3390/biomedicines12020445
Leanza C, Cannarella R, Barbagallo F, Gusmano C, Calogero AE. Does Sperm SNRPN Methylation Change with Fertility Status and Age? A Systematic Review and Meta-Regression Analysis. Biomedicines. 2024; 12(2):445. https://doi.org/10.3390/biomedicines12020445
Chicago/Turabian StyleLeanza, Claudia, Rossella Cannarella, Federica Barbagallo, Carmelo Gusmano, and Aldo E. Calogero. 2024. "Does Sperm SNRPN Methylation Change with Fertility Status and Age? A Systematic Review and Meta-Regression Analysis" Biomedicines 12, no. 2: 445. https://doi.org/10.3390/biomedicines12020445
APA StyleLeanza, C., Cannarella, R., Barbagallo, F., Gusmano, C., & Calogero, A. E. (2024). Does Sperm SNRPN Methylation Change with Fertility Status and Age? A Systematic Review and Meta-Regression Analysis. Biomedicines, 12(2), 445. https://doi.org/10.3390/biomedicines12020445
        
