Clinicopathological Characteristics and Oncologic Outcomes of Endometrioid Ovarian Carcinoma: A Retrospective Study from a Tertiary Cancer Centre
Abstract
1. Introduction
2. Materials and Methods
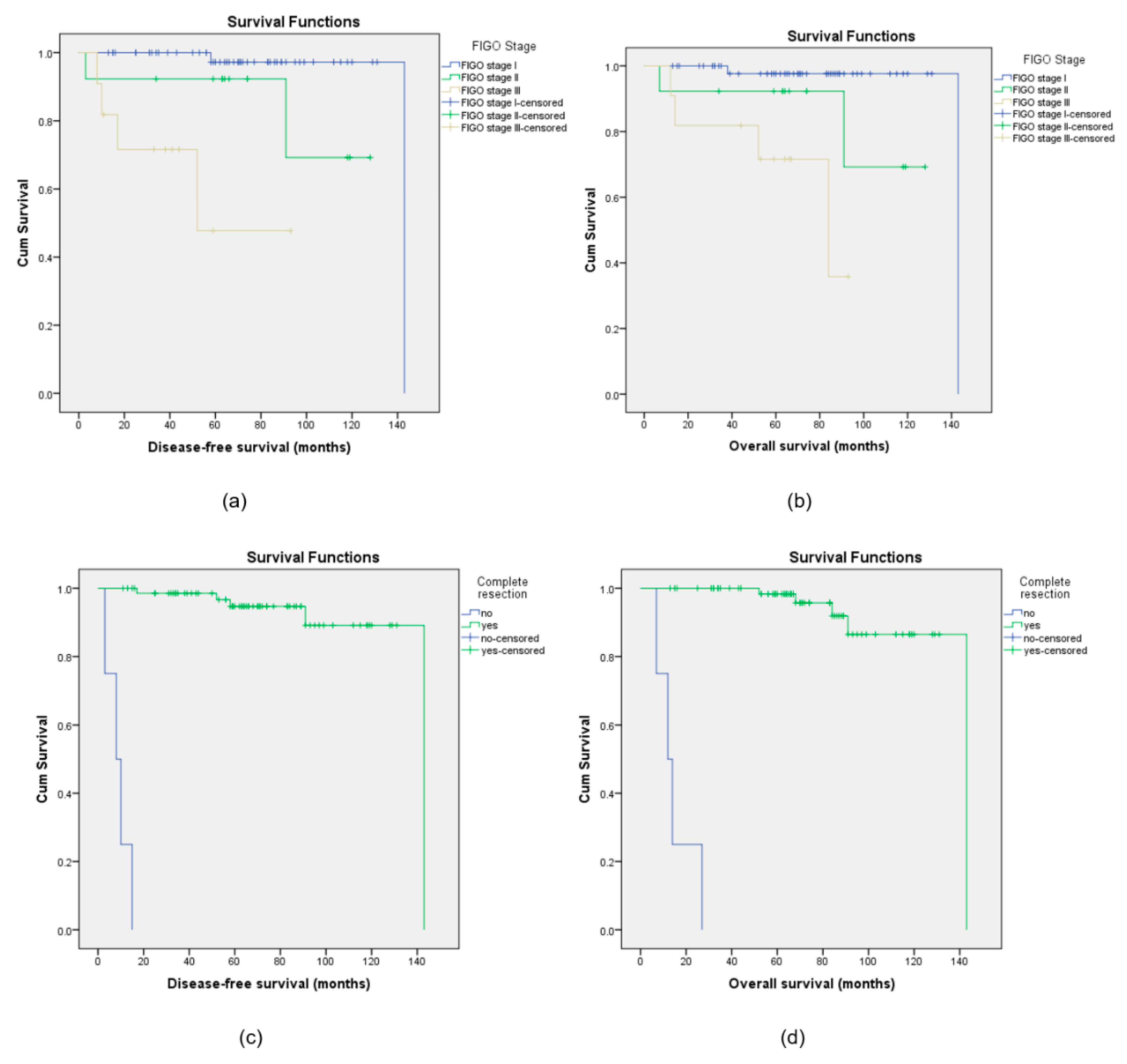
3. Results
4. Discussion
5. Conclusions
Author Contributions
Funding
Institutional Review Board Statement
Informed Consent Statement
Data Availability Statement
Acknowledgments
Conflicts of Interest
Abbreviations
| OC | Ovarian Cancer |
| EOvC | Endometrioid ovarian carcinoma |
| EAOCs | endometriosis-associated ovarian carcinomas |
| CT | Computerised tomography |
| MDT | Multidisciplinary team |
| TCGA | The Cancer Genome Atlas |
References
- Sung, H.; Ferlay, J.; Siegel, R.L.; Laversanne, M.; Soerjomataram, I.; Jemal, A.; Bray, F. Global Cancer Statistics 2020: GLOBOCAN Estimates of Incidence and Mortality Worldwide for 36 Cancers in 185 Countries. CA A Cancer J. Clin. 2021, 71, 209–249. [Google Scholar] [CrossRef]
- Peres, L.C.; Cushing-Haugen, K.L.; Köbel, M.; Harris, H.R.; Berchuck, A.; Rossing, M.A.; Schildkraut, J.M.; Doherty, J.A. Invasive Epithelial Ovarian Cancer Survival by Histotype and Disease Stage. J. Natl. Cancer Inst. 2019, 111, 60–68. [Google Scholar] [CrossRef]
- Wang, M.; Bi, Y.; Jin, Y.; Zheng, Z.-J. Global Incidence of Ovarian Cancer According to Histologic Subtype: A Population-Based Cancer Registry Study. JCO Glob. Oncol. 2024, 10, e2300393. [Google Scholar] [CrossRef]
- El Tawab, S.; Nistor, S.; Roux, R.; Manek, S.; Gaitskell, K.; Ahmed, A.A.; Kehoe, S.; Soleymani Majd, H. The Surgical, Histopathological Characteristics, and Survival Outcome of Ovarian Clear Cell Carcinoma: A Retrospective Case Series Sharing the Experience of a Tertiary Cancer Centre. Transl. Cancer Res. 2024, 13, 5037–5049. [Google Scholar] [CrossRef] [PubMed]
- Steinbuch, S.C.; Lüß, A.-M.; Eltrop, S.; Götte, M.; Kiesel, L. Endometriosis-Associated Ovarian Cancer: From Molecular Pathologies to Clinical Relevance. Int. J. Mol. Sci. 2024, 25, 4306. [Google Scholar] [CrossRef] [PubMed]
- Giannini, A.; Massimello, F.; Caretto, M.; Cosimi, G.; Mannella, P.; Luisi, S.; Gadducci, A.; Simoncini, T. Factors in Malignant Transformation of Ovarian Endometriosis: A Narrative Review. Gynecol. Endocrinol. 2024, 40, 2409911. [Google Scholar] [CrossRef] [PubMed]
- Winterhoff, B.; Hamidi, H.; Wang, C.; Kalli, K.R.; Fridley, B.L.; Dering, J.; Chen, H.-W.; Cliby, W.A.; Wang, H.-J.; Dowdy, S.; et al. Molecular Classification of High Grade Endometrioid and Clear Cell Ovarian Cancer Using TCGA Gene Expression Signatures. Gynecol. Oncol. 2016, 141, 95–100. [Google Scholar] [CrossRef]
- Fridley, B.L.; Dai, J.; Raghavan, R.; Li, Q.; Winham, S.J.; Hou, X.; Weroha, S.J.; Wang, C.; Kalli, K.R.; Cunningham, J.M.; et al. Transcriptomic Characterization of Endometrioid, Clear Cell, and High-Grade Serous Epithelial Ovarian Carcinoma. Cancer Epidemiol. Biomark. Prev. 2018, 27, 1101–1109. [Google Scholar] [CrossRef]
- Nistor, S.; El-Tawab, S.; Wong, F.; Zouridis, A.; Roux, R.; Manek, S.; Gaitskell, K.; Ahmed, A.A.; Kehoe, S.; Soleymani Majd, H. The Clinicopathological Characteristics and Survival Outcomes of Primary Expansile vs. Infiltrative Mucinous Ovarian Adenocarcinoma: A Retrospective Study Sharing the Experience of a Tertiary Centre. Transl. Cancer Res. 2023, 12, 2682–2692. [Google Scholar] [CrossRef]
- Colombo, N.; Sessa, C.; Bois, A.d.; Ledermann, J.; McCluggage, W.G.; McNeish, I.; Morice, P.; Pignata, S.; Ray-Coquard, I.; Vergote, I.; et al. ESMO–ESGO Consensus Conference Recommendations on Ovarian Cancer: Pathology and Molecular Biology, Early and Advanced Stages, Borderline Tumours and Recurrent Disease†. Ann. Oncol. 2019, 30, 672–705. [Google Scholar] [CrossRef]
- Ledermann, J.A.; Matias-Guiu, X.; Amant, F.; Concin, N.; Davidson, B.; Fotopoulou, C.; González-Martin, A.; Gourley, C.; Leary, A.; Lorusso, D.; et al. ESGO–ESMO–ESP Consensus Conference Recommendations on Ovarian Cancer: Pathology and Molecular Biology and Early, Advanced and Recurrent Disease☆. Ann. Oncol. 2024, 35, 248–266. [Google Scholar] [CrossRef]
- Canlorbe, G.; Chabbert-Buffet, N.; Uzan, C. Fertility-Sparing Surgery for Ovarian Cancer. J. Clin. Med. 2021, 10, 4235. [Google Scholar] [CrossRef]
- Younis, J.S. Endometriosis-Associated Ovarian Cancer: What Are the Implications for Women with Intact Endometrioma Planning for a Future Pregnancy? A Reproductive Clinical Outlook. Biomolecules 2022, 12, 1721. [Google Scholar] [CrossRef] [PubMed]
- Nasioudis, D.; Latif, N.A.; Simpkins, F.; Cory, L.; Giuntoli, R.L.; Haggerty, A.F.; Morgan, M.A.; Ko, E.M. Adjuvant Chemotherapy for Early Stage Endometrioid Ovarian Carcinoma: An Analysis of the National Cancer Data Base. Gynecol. Oncol. 2020, 156, 315–319. [Google Scholar] [CrossRef]
- Oseledchyk, A.; Leitao, M.M.; Konner, J.; O’Cearbhaill, R.E.; Zamarin, D.; Sonoda, Y.; Gardner, G.J.; Long Roche, K.; Aghajanian, C.A.; Grisham, R.N.; et al. Adjuvant Chemotherapy in Patients with Stage I Endometrioid or Clear Cell Ovarian Cancer in the Platinum Era: A Surveillance, Epidemiology, and End Results Cohort Study, 2000–2013. Ann. Oncol. 2017, 28, 2985–2993. [Google Scholar] [CrossRef]
- Paik, E.S.; Kim, T.J.; Choi, C.H.; Kim, B.G.; Bae, D.S.; Lee, J.W. Clinical Outcomes of Patients with Clear Cell and Endometrioid Ovarian Cancer Arising from Endometriosis. J. Gynecol. Oncol. 2018, 29, e18. [Google Scholar] [CrossRef]
- Hablase, R.; Kyrou, I.; Randeva, H.; Karteris, E.; Chatterjee, J. The “Road” to Malignant Transformation from Endometriosis to Endometriosis-Associated Ovarian Cancers (EAOCs): An mTOR-Centred Review. Cancers 2024, 16, 2160. [Google Scholar] [CrossRef] [PubMed]
- Anglesio, M.S.; Wang, Y.K.; Maassen, M.; Horlings, H.M.; Bashashati, A.; Senz, J.; Mackenzie, R.; Grewal, D.S.; Li-Chang, H.; Karnezis, A.N.; et al. Synchronous Endometrial and Ovarian Carcinomas: Evidence of Clonality. J. Natl. Cancer Inst. 2016, 108, djv428. [Google Scholar] [CrossRef]
- Moukarzel, L.A.; Da Cruz Paula, A.; Ferrando, L.; Hoang, T.; Sebastiao, A.P.M.; Pareja, F.; Park, K.J.; Jungbluth, A.A.; Capella, G.; Pineda, M.; et al. Clonal Relationship and Directionality of Progression of Synchronous Endometrial and Ovarian Carcinomas in Patients with DNA Mismatch Repair-Deficiency Associated Syndromes. Mod. Pathol. 2021, 34, 994–1007. [Google Scholar] [CrossRef]
- Guerriero, A.; Moro, M.; Angerilli, V.; Munari, G.; Santoro, L.; Alessandrini, L.; Favero, L.; Tasca, G.; Fassan, M.; Dei Tos, A.P. Synchronous Endometrial and Ovarian Carcinomas: Pathologic and Molecular Analysis Highlights the Monoclonal Origin of the Lesions. Int. J. Gynecol. Pathol. 2024, 43, 309–315. [Google Scholar] [CrossRef] [PubMed]
- Köbel, M.; Kang, E.Y. The Evolution of Ovarian Carcinoma Subclassification. Cancers 2022, 14, 416. [Google Scholar] [CrossRef]
- de Nonneville, A.; Kalbacher, E.; Cannone, F.; Guille, A.; Adelaïde, J.; Finetti, P.; Cappiello, M.; Lambaudie, E.; Ettore, G.; Charafe, E.; et al. Endometrioid Ovarian Carcinoma Landscape: Pathological and Molecular Characterization. Mol. Oncol. 2024, 18, 2586–2600. [Google Scholar] [CrossRef]
- Tonti, N.; Golia D’Augè, T.; Cuccu, I.; De Angelis, E.; D’Oria, O.; Perniola, G.; Laganà, A.S.; Etrusco, A.; Ferrari, F.; Saponara, S.; et al. The Role of Tumor Biomarkers in Tailoring the Approach to Advanced Ovarian Cancer. Int. J. Mol. Sci. 2024, 25, 11239. [Google Scholar] [CrossRef]
- Pecorino, B.; Laganà, A.S.; Chiantera, V.; Ferrara, M.; Di Stefano, A.B.; Di Donna, M.C.; Sorrentino, F.; Nappi, L.; Mikuš, M.; Scollo, P. Progression Free Survival, Overall Survival, and Relapse Rate in Endometrioid Ovarian Cancer and Synchronous Endometrial-Ovarian Endometrioid Cancer (SEO-EC): Results from a Large Retrospective Analysis. Medicina 2022, 58, 1706. [Google Scholar] [CrossRef]
- Reid, B.M.; Permuth, J.B.; Sellers, T.A. Epidemiology of Ovarian Cancer: A Review. Cancer Biol. Med. 2017, 14, 9–32. [Google Scholar] [CrossRef]
- Vercellini, P.; Parazzini, F.; Bolis, G.; Carinelli, S.; Dindelli, M.; Vendola, N.; Luchini, L.; Crosignani, P.G. Endometriosis and Ovarian Cancer. Am. J. Obstet. Gynecol. 1993, 169, 181–182. [Google Scholar] [CrossRef] [PubMed]
- Jimbo, H.; Yoshikawa, H.; Onda, T.; Yasugi, T.; Sakamoto, A.; Taketani, Y. Prevalence of Ovarian Endometriosis in Epithelial Ovarian Cancer. Int. J. Gynaecol. Obstet. 1997, 59, 245–250. [Google Scholar] [CrossRef] [PubMed]
- Machado-Linde, F.; Sánchez-Ferrer, M.L.; Cascales, P.; Torroba, A.; Orozco, R.; Silva Sánchez, Y.; Nieto, A.; Fiol, G. Prevalence of Endometriosis in Epithelial Ovarian Cancer. Analysis of the Associated Clinical Features and Study on Molecular Mechanisms Involved in the Possible Causality. Eur. J. Gynaecol. Oncol. 2015, 36, 21–24. [Google Scholar]
- Zhou, L.; Yao, L.; Dai, L.; Zhu, H.; Ye, X.; Wang, S.; Cheng, H.; Ma, R.; Liu, H.; Cui, H.; et al. Ovarian Endometrioid Carcinoma and Clear Cell Carcinoma: A 21-Year Retrospective Study. J. Ovarian Res. 2021, 14, 63. [Google Scholar] [CrossRef] [PubMed]
- Kim, H.S.; Kim, T.H.; Chung, H.H.; Song, Y.S. Risk and Prognosis of Ovarian Cancer in Women with Endometriosis: A Meta-Analysis. Br. J. Cancer 2014, 110, 1878–1890. [Google Scholar] [CrossRef]
- Chen, P.; Zhang, C.-Y. Association Between Endometriosis and Prognosis of Ovarian Cancer: An Updated Meta-Analysis. Front. Oncol. 2022, 12, 732322. [Google Scholar] [CrossRef]
- Noli, S.; Cipriani, S.; Scarfone, G.; Villa, A.; Grossi, E.; Monti, E.; Vercellini, P.; Parazzini, F. Long Term Survival of Ovarian Endometriosis Associated Clear Cell and Endometrioid Ovarian Cancers. Int. J. Gynecol. Cancer 2013, 23, 244–248. [Google Scholar] [CrossRef] [PubMed]
- Chen, S.; Lu, H.; Jiang, S.; Li, M.; Weng, H.; Zhu, J.; Zhang, T.; Wang, Y.; Zhao, W.; Wu, D.; et al. An Analysis of Clinical Characteristics and Prognosis of Endometrioid Ovarian Cancer Based on the SEER Database and Two Centers in China. BMC Cancer 2023, 23, 608. [Google Scholar] [CrossRef]
- Zhao, X.Y.; Cao, F.; Song, Z.X.; Liu, Y.; Zhang, X.B.; Shen, D.H.; Liu, C.R. Synchronous endometrial and ovarian endometrioid carcinoma (SEO-EC): Clinicopathological and molecular features. Zhonghua Yi Xue Za Zhi 2025, 105, 584–591. [Google Scholar] [CrossRef]
- Schultheis, A.M.; Ng, C.K.Y.; De Filippo, M.R.; Piscuoglio, S.; Macedo, G.S.; Gatius, S.; Perez Mies, B.; Soslow, R.A.; Lim, R.S.; Viale, A.; et al. Massively Parallel Sequencing-Based Clonality Analysis of Synchronous Endometrioid Endometrial and Ovarian Carcinomas. J. Natl. Cancer Inst. 2016, 108, djv427. [Google Scholar] [CrossRef]
- Niskakoski, A.; Pasanen, A.; Porkka, N.; Eldfors, S.; Lassus, H.; Renkonen-Sinisalo, L.; Kaur, S.; Mecklin, J.-P.; Bützow, R.; Peltomäki, P. Converging Endometrial and Ovarian Tumorigenesis in Lynch Syndrome: Shared Origin of Synchronous Carcinomas. Gynecol. Oncol. 2018, 150, 92–98. [Google Scholar] [CrossRef]
- Parra-Herran, C.; Lerner-Ellis, J.; Xu, B.; Khalouei, S.; Bassiouny, D.; Cesari, M.; Ismiil, N.; Nofech-Mozes, S. Molecular-Based Classification Algorithm for Endometrial Carcinoma Categorizes Ovarian Endometrioid Carcinoma into Prognostically Significant Groups. Mod. Pathol. 2017, 30, 1748–1759. [Google Scholar] [CrossRef] [PubMed]
- Dinneen, K.; Arora, R. Molecular Testing in Ovarian Tumours: Challenges from the Pathologist’s Perspective. Diagnostics 2023, 13, 2072. [Google Scholar] [CrossRef] [PubMed]
- De Leo, A.; Santini, D.; Ceccarelli, C.; Santandrea, G.; Palicelli, A.; Acquaviva, G.; Chiarucci, F.; Rosini, F.; Ravegnini, G.; Pession, A.; et al. What Is New on Ovarian Carcinoma: Integrated Morphologic and Molecular Analysis Following the New 2020 World Health Organization Classification of Female Genital Tumors. Diagnostics 2021, 11, 697. [Google Scholar] [CrossRef] [PubMed]
- D’Alessandris, N.; Travaglino, A.; Santoro, A.; Arciuolo, D.; Scaglione, G.; Raffone, A.; Inzani, F.; Zannoni, G.F. TCGA Molecular Subgroups of Endometrial Carcinoma in Ovarian Endometrioid Carcinoma: A Quantitative Systematic Review. Gynecol. Oncol. 2021, 163, 427–432. [Google Scholar] [CrossRef]
- McConechy, M.K.; Ding, J.; Senz, J.; Yang, W.; Melnyk, N.; Tone, A.A.; Prentice, L.M.; Wiegand, K.C.; McAlpine, J.N.; Shah, S.P.; et al. Ovarian and Endometrial Endometrioid Carcinomas Have Distinct CTNNB1 and PTEN Mutation Profiles. Mod. Pathol. 2014, 27, 128–134. [Google Scholar] [CrossRef] [PubMed]
- Hollis, R.L.; Thomson, J.P.; Stanley, B.; Churchman, M.; Meynert, A.M.; Rye, T.; Bartos, C.; Iida, Y.; Croy, I.; Mackean, M.; et al. Molecular Stratification of Endometrioid Ovarian Carcinoma Predicts Clinical Outcome. Nat. Commun. 2020, 11, 4995. [Google Scholar] [CrossRef]
- Swift, B.E.; Covens, A.; Mintsopoulos, V.; Parra-Herran, C.; Bernardini, M.Q.; Nofech-Mozes, S.; Hogen, L. The Effect of Complete Surgical Staging and Adjuvant Chemotherapy on Survival in Stage I, Grade 1 and 2 Endometrioid Ovarian Carcinoma. Int. J. Gynecol. Cancer 2022, 32, 525–531. [Google Scholar] [CrossRef]
- Shimizu, D.; Sato, N.; Sato, T.; Makino, K.; Kito, M.; Shirasawa, H.; Kumagai, J.; Terada, Y. Impact of Adjuvant Chemotherapy for Stage I Ovarian Carcinoma with Intraoperative Tumor Capsule Rupture. J. Obstet. Gynaecol. Res. 2015, 41, 432–439. [Google Scholar] [CrossRef] [PubMed]
- Trimbos, J.B.; Parmar, M.; Vergote, I.; Guthrie, D.; Bolis, G.; Colombo, N.; Vermorken, J.B.; Torri, V.; Mangioni, C.; Pecorelli, S.; et al. International Collaborative Ovarian Neoplasm Trial 1 and Adjuvant ChemoTherapy in Ovarian Neoplasm Trial: Two Parallel Randomized Phase III Trials of Adjuvant Chemotherapy in Patients with Early-Stage Ovarian Carcinoma. J. Natl. Cancer Inst. 2003, 95, 105–112. [Google Scholar] [CrossRef]
- Colombo, N.; Guthrie, D.; Chiari, S.; Parmar, M.; Qian, W.; Swart, A.M.; Torri, V.; Williams, C.; Lissoni, A.; Bonazzi, C.; et al. International Collaborative Ovarian Neoplasm Trial 1: A Randomized Trial of Adjuvant Chemotherapy in Women with Early-Stage Ovarian Cancer. J. Natl. Cancer Inst. 2003, 95, 125–132. [Google Scholar] [CrossRef]
- Colombo, N.; Pecorelli, S. What Have We Learned from ICON1 and ACTION? Int. J. Gynecol. Cancer 2003, 13 (Suppl. 2), 140–143. [Google Scholar] [CrossRef]
- Woll, S.M.; Lee, M.W.; Neuman, M.K.; Pino, C.; Klar, M.; Roman, L.D.; Wright, J.D.; Matsuo, K. Stage IC Grade 1 Endometrioid Adenocarcinoma of the Ovary: Assessment of Post-Operative Chemotherapy de-Escalation. Int. J. Gynecol. Cancer 2024, 34, 1603–1611. [Google Scholar] [CrossRef]
- Wang, D.; Ran, X.; He, Y.; Zhu, L.; Deng, Y. Nomograms for Predicting Overall Survival and Cancer-Specific Survival of Endometrioid Ovarian Carcinoma: A Retrospective Cohort Study from the SEER Database. Int. J. Gynecol. Obstet. 2024, 165, 194–202. [Google Scholar] [CrossRef] [PubMed]
- Bizzarri, N.; Imterat, M.; Fruscio, R.; Giannarelli, D.; Perrone, A.M.; Mancari, R.; Traut, A.; Rosati, A.; du Bois, A.; Ferrari, D.; et al. Lymph Node Staging in Grade 1–2 Endometrioid Ovarian Carcinoma Apparently Confined to the Ovary: Is It Worth? Eur. J. Cancer 2023, 195, 113398. [Google Scholar] [CrossRef]
- Mazina, V.; Devins, K.; Philp, L.; Bercow, A.S.; James, K.; Bregar, A.; Sisodia, R.C.; Oliva, E.; Del Carmen, M. Patterns of Spread and Genetic Alterations of Primary Endometrioid Carcinomas of the Ovary. Int. J. Gynecol. Cancer 2023, 33, 1434–1439. [Google Scholar] [CrossRef] [PubMed]
- Chen, J.; Yin, J.; Li, Y.; Gu, Y.; Wang, W.; Shan, Y.; Wang, Y.-X.; Qin, M.; Cai, Y.; Jin, Y.; et al. Systematic Lymph Node Dissection May Be Abolished in Patients With Apparent Early-Stage Low-Grade Mucinous and Endometrioid Epithelial Ovarian Cancer. Front. Oncol. 2021, 11, 705720. [Google Scholar] [CrossRef] [PubMed]


| Descriptives | Value | ||
|---|---|---|---|
| Mean Value/Number | Range/Percentage | ||
| Demographic data | 1. Age (years) | 54 | 31–86 |
| <40 | 8 | 10.5% | |
| 41–50 | 24 | 31.6% | |
| 51–60 | 21 | 27.6% | |
| 61–70 | 12 | 15.8% | |
| >70 | 11 | 14.5% | |
| 2. BMI | 27.4 | 18–53.3 | |
| Normal 18.5–24.9 | 34 | 44.7% | |
| Overweight 25–29.9 | 18 | 23.7% | |
| Obese ≥30 | 24 | 31.6% | |
| 3. Menopausal status | |||
| premenopausal | 20 | 26.3% | |
| postmenopausal | 40 | 52.6% | |
| unknown | 16 | 21.1% | |
| 4. Parity | |||
| nulliparous | 17 | 22.4% | |
| parous | 59 | 77.6% | |
| 5. Ethnicity | |||
| Non-Hispanic white | 19 | 25% | |
| Hispanic white | 17 | 22.4% | |
| Black | 8 | 10.5% | |
| South Asian | 11 | 14.5% | |
| East Asian | 3 | 3.9% | |
| Other (including mixed) | 5 | 6.6% | |
| Not reported | 13 | 17.1% | |
| 6. Comorbidities | |||
| Hypertension | 7 | 9.2% | |
| Diabetes | 8 | 10.5% | |
| COPD/asthma | 8 | 10.5% | |
| VTE | 4 | 5.3% | |
| Breast cancer | 4 | 5.3% | |
| Smoke | 13 | 17.1% | |
| 7. Ca125 status | |||
| Positive (>35) | 38 | 50% | |
| Negative (<35) | 7 | 9.2% | |
| Unknown | 31 | 40.8% | |
| 8. Ca125 category | |||
| <35 | 7 | 9.2% | |
| 35–99 | 10 | 13.2% | |
| 100–500 | 15 | 19.7% | |
| >500 | 4 | 5.3% | |
| >1000 | 9 | 11.8% | |
| Unknown | 31 | 40.8% | |
| Histological features | 9. Stage (generalised) | ||
| I | 52 | 68.4% | |
| II | 13 | 17.1% | |
| III | 11 | 14.5% | |
| IV | - | - | |
| 10. Final stage (FIGO 2014) | |||
| IA | 21 | 27.6% | |
| IB | 2 | 2.6% | |
| IC1 | 8 | 10.5% | |
| IC2 | 15 | 19.7% | |
| IC3 | 6 | 7.9% | |
| IIA | 7 | 9.2% | |
| IIB | 6 | 7.9% | |
| IIIA1(i) | 4 | 5.3% | |
| IIIA2 | 1 | 1.3% | |
| IIIB | 5 | 6.6% | |
| IIIC | 1 | 1.3% | |
| 11. Grade | |||
| I | 33 | 43.4% | |
| II | 34 | 44.7% | |
| III | 9 | 11.8% | |
| 12. Endometriosis | |||
| Present | 41 | 53.9% | |
| Non-present | 34 | 44.7% | |
| Unknown | 1 | 1.4% | |
| 13. Residual disease | |||
| No residual disease (R0) | 72 | 94.7% | |
| MRD (<1 cm) | 3 | 3.9% | |
| GRD (>1 cm) | 1 | 1.4% | |
| 14. Synchronous EEC | 15 | 19.7% | |
| 15. LVSI | |||
| Present | 4 | 22.2% | |
| Non-present | 14 | 77.8% | |
| Treatment details | 16. Route of surgery | ||
| Laparoscopy | 21 | 27.6% | |
| Laparotomy | 55 | 72.4% | |
| 17. Hysterectomy | |||
| Yes | 65 | 85.5% | |
| No | 11 | 14.5% | |
| 18. Bilateral salpingo-oophorectomy | 69 | 90.8% | |
| 19. Unilateral salpingo-ophorectomy | |||
| 20. Infracolic omentectomy | 67 | 88.2% | |
| 21. Appendectomy | 21 | 27.6% | |
| 22. Pelvic LN assessment | 34 | 44.7% | |
| Pelvic LN dissection | 3 | 3.9% | |
| Pelvic LN sampling | 31 | 40.8% | |
| 23. Para-aortic LN sampling | 18 | 23.7% | |
| 24. Peritonectomy | 25 | 32.9% | |
| Bladder peritonectomy | 14 | 18.5% | |
| Pelvic peritonectomy | 8 | 10.5% | |
| Paracolic peritonectomy | 3 | 3.9% | |
| 25. Other procedures | |||
| Bowel resection + anastomosis | 5 | 6.6% | |
| Colostomy | 2 | 2.6% | |
| Ureteric re-implantation | 1 | 1.3% | |
| Ureteric stent insertion | 1 | 1.3% | |
| 26. Cytology | |||
| Positive | 14 | 18.4% | |
| Negative | 62 | 81.6% | |
| 27. Hospitalisation (days) | 4.7 ± 4.1 | 1–27 | |
| 28. Intraoperative complications | |||
| Haemorrhage | 3 | 3.9% | |
| Cardiac arrest | 1 | 1.3% | |
| Respiratory arrest | 1 | 1.3% | |
| Bladder injury | 1 | 1.3% | |
| Ureteric injury | 1 | 1.3% | |
| 29. Post-operative complications | |||
| Pulmonary embolism | 1 | 1.3% | |
| Respiratory infection | 2 | 2.6% | |
| Ileus | 5 | 6.6% | |
| Pelvic collection | 2 | 2.6% | |
| Wound infection | 1 | 1.3% | |
| Anaemia | 5 | 6.6% | |
| Incisional hernia | 2 | 2.6% | |
| 30. Blood transfusion | 10 | 13.2% | |
| 31. Readmission | 4 | 5.3% | |
| 32. Adjuvant chemotherapy | |||
| Yes | 50 | 65.8% | |
| No | 26 | 34.2% | |
| 33. Adjuvant chemotherapy type | |||
| Carboplatin/paclitaxel * | 41 | 53.9% | |
| Carboplatin only | 9 | 11.8% | |
| 34. Disease-free survival | 65.8 | 3–143 | |
| 35. Overall survival | 69.1 | 7–143 | |
| 36. Recurrence | |||
| Yes | 13 | 17.1% | |
| No | 63 | 82.9% | |
| 37. Death | |||
| Yes | 8 | 10.5% | |
| No | 68 | 89.5% | |
| No | Stage | Grade | Synchronous EEC | R0 | LN | CT | Site of | DFS | OS | Death |
|---|---|---|---|---|---|---|---|---|---|---|
| Assessment | Recurrence | |||||||||
| 1 | IIIB | 3 | no | no | yes | yes | Upper abdomen | 10 | 14 | yes |
| Retroperitoneal LN | ||||||||||
| Liver | ||||||||||
| 2 | IIIB | 3 | no | no | yes | no * | Pelvis | 8 | 12 | yes |
| Retroperitoneal LN | ||||||||||
| Rectum | ||||||||||
| 3 | IC3 | 2 | no | yes | no | yes | Pelvic mass | 77 | 88 | no |
| Retroperitoneal LN | ||||||||||
| 4 | IA | 1 | Stage IB | yes | no | no | Vaginal vault | 50 | 85 | no |
| Grade 2 | Rectum | |||||||||
| 5 | IIIA1(i) | 3 | no | yes | yes | yes | Bladder | 17 | 84 | yes |
| Rectum | ||||||||||
| Upper abdomen Retroperitoneal LN | ||||||||||
| 6 | IIIA1(i) | 1 | no | yes | yes | yes | Upper abdomen | 11 | 53 | no |
| Retroperitoneal LN | ||||||||||
| 7 | IIIA2 | 3 | no | no | yes | no * | Upper abdomen | 3 | 7 | yes |
| Retroperitoneal LN | ||||||||||
| Rectum | ||||||||||
| 8 | IIIC | 3 | no | yes | yes | yes | Upper abdomen Retroperitoneal LN | 41 | 66 | no |
| Liver | ||||||||||
| 9 | IC1 | 2 | no | yes | no | no | Pelvic mass | 25 | 32 | no |
| 10 | IC2 | 1 | Stage IB | yes | no | yes i | Vaginal vault | 38 | 64 | no |
| Grade 1 | Retroperitoneal LN | |||||||||
| 11 | IIIB | 3 | no | no | yes | yes | Upper abdomen | 15 | 27 | yes |
| Retroperitoneal LN | ||||||||||
| 12 | IC1 | 1 | no | yes | no | no | Pelvic mass | 58 | 68 | no |
| 13 | IIA | 1 | Stage IA | yes | no | yes | Pelvis | 33 | 76 | no |
| Grade 1 | Retroperitoneal LN |
Disclaimer/Publisher’s Note: The statements, opinions and data contained in all publications are solely those of the individual author(s) and contributor(s) and not of MDPI and/or the editor(s). MDPI and/or the editor(s) disclaim responsibility for any injury to people or property resulting from any ideas, methods, instructions or products referred to in the content. |
© 2025 by the authors. Licensee MDPI, Basel, Switzerland. This article is an open access article distributed under the terms and conditions of the Creative Commons Attribution (CC BY) license (https://creativecommons.org/licenses/by/4.0/).
Share and Cite
Pappa, C.; Aggarwal, A.; El Tawab, S.; Nistor, S.; Thorne, J.; Sadeghi, N.; Manek, S.; Gaitskell, K.; Dhar, S.; Conforti, J.; et al. Clinicopathological Characteristics and Oncologic Outcomes of Endometrioid Ovarian Carcinoma: A Retrospective Study from a Tertiary Cancer Centre. Biomedicines 2025, 13, 2381. https://doi.org/10.3390/biomedicines13102381
Pappa C, Aggarwal A, El Tawab S, Nistor S, Thorne J, Sadeghi N, Manek S, Gaitskell K, Dhar S, Conforti J, et al. Clinicopathological Characteristics and Oncologic Outcomes of Endometrioid Ovarian Carcinoma: A Retrospective Study from a Tertiary Cancer Centre. Biomedicines. 2025; 13(10):2381. https://doi.org/10.3390/biomedicines13102381
Chicago/Turabian StylePappa, Christina, Aakriti Aggarwal, Sally El Tawab, Sabina Nistor, Jennifer Thorne, Negin Sadeghi, Sanjiv Manek, Kezia Gaitskell, Sunanda Dhar, Jacopo Conforti, and et al. 2025. "Clinicopathological Characteristics and Oncologic Outcomes of Endometrioid Ovarian Carcinoma: A Retrospective Study from a Tertiary Cancer Centre" Biomedicines 13, no. 10: 2381. https://doi.org/10.3390/biomedicines13102381
APA StylePappa, C., Aggarwal, A., El Tawab, S., Nistor, S., Thorne, J., Sadeghi, N., Manek, S., Gaitskell, K., Dhar, S., Conforti, J., Ferrari, F., & Soleymani majd, H. (2025). Clinicopathological Characteristics and Oncologic Outcomes of Endometrioid Ovarian Carcinoma: A Retrospective Study from a Tertiary Cancer Centre. Biomedicines, 13(10), 2381. https://doi.org/10.3390/biomedicines13102381

