Abstract
The new process developed here consisting of sulfurization roasting transformation and water immersion can effectively realize the separation of rare earth elements (REEs) and impurities from spent Nd-Fe-B magnets. For the industrial application of the new process, it is critical to determine how to economically and efficiently prepare rare earth oxide (RExOy) products with higher purity from the obtained water leaching solution. Therefore, according to rare earth sulfate (RE2(SO4)3) solution characteristics, the oxalic acid precipitation–calcination method, sodium carbonate precipitation–calcination method, and double sulfates precipitation–alkali conversion–calcination method were optimized and compared. The results show that the recovery efficiency of REE recovery via the oxalic acid precipitation–calcination method is 99.44%, and the purity of RExOy is 99.83% under optimal technological conditions. However, the cost of oxalic acid precipitation is higher. The process consisting of the double sulfates precipitation–alkali conversion–calcination method is relatively complicated, the recovery efficiency of REEs is 97.95%, and the purity of the RExOy is 98.04%. The recovery efficiency of the REEs and the purity of the RExOy obtained from the sodium carbonate precipitation–calcination method are 99.12% and 98.33%, respectively. Moreover, the recycling cost of sodium carbonate precipitation is the lowest among the three processes for preparing RExOy, so it has industrial application potential. The obtained results for REE recovery from spent Nd-Fe-B magnets in this research can provide theoretical guidance for the innovation of the recycling process for REEs as secondary resources.
1. Introduction
REEs are known as “industrial vitamins” and are widely used in aviation, aerospace, medicine, electronic information, and other high-tech fields. More than 40% of REEs are used to make Nd-Fe-B permanent magnets in China, and the average annual growth rate of the industry in over 22.5%. Statistics show that approximately 110 thousand tons of Nd-Fe-B waste are produced in China each year. However, >30% of the raw materials are abandoned in the production and processing of Nd-Fe-B permanent magnets [1,2,3]. This not only causes a waste of resources, but also creates potential harm to the environment. Therefore, the recycling of Nd-Fe-B waste has both economic and environmental benefits.
In recent years, much relevant research has been conducted on the recycling and utilization of Nd-Fe-B waste. Pyrometallurgical methods such as alloy methods [4,5], chloride methods [6,7], selective oxidation methods [8,9], and melting separation methods [10] have been developed, but these processes have the disadvantages of high energy consumption and low REEs recovery efficiencies. Thus, these pyrometallurgical processes are difficult to realize in industrial applications. Typical hydrometallurgical technologies have been widely promoted, including the hydrochloric acid selective leaching method [11,12], hydrochloric acid total leaching method [13,14], and sulfuric acid leaching method [15,16,17]. However, the above processes require high corrosion-resistant equipment, and the REEs are difficult to selectively separate. In order to achieve the efficient separation of REEs, two-stage ammonium sulfate roasting followed by a water leaching process [18] has been used. The leaching of REEs can reach 96% under optimal conditions, whereas the leaching rates of impurities such as Fe, Al, Cu, and Co are substantially lower, which results in the high-efficiency separation of REEs and metal impurities.
The ultimate objective of waste Nd-Fe-B magnet recovery is to obtain high purity RExOy products from the REE-enriched leachate. Currently, the oxalate precipitation method [19,20,21] and double sulfates precipitation method [22,23] are often used in industry to further separate REEs from aqueous solutions. The oxalic acid precipitation method has the advantages of good crystallization performance, easy filtration, high REEs precipitation efficiencies, and high purity of obtained products. Nevertheless, the large amount of wastewater produced by the oxalic acid precipitation method needs to be treated to make it harmless, which inevitably increases the complexity and treatment cost for enterprises. The double sulfates precipitation method mainly relies on the fact that RE2(SO4)3 and sulfates (Na2SO4) can undergo insoluble double sulfates precipitation. According to the difference in the solubility of double sulfates precipitation, REEs can be divided into the following three groups: (1) the cerium group (La, Ce, Pr, Nd, and Sm), which exhibits insoluble double sulfates precipitation; (2) the terbium group (Eu, Gd, Tb, and Dy), which exhibits slightly soluble double sulfates precipitation; (3) the yttrium group (Ho, Er, Tm, Yb, Lu, and Y), which exhibits easily soluble double sulfates precipitation. Therefore, the double sulfates precipitation method cannot ensure the efficient recovery of REEs, especially for terbium and yttrium group REEs.
Because the solubility of rare earth carbonates (RE2(CO3)3) is smaller than that of rare earth oxalates (RE2(C2O4)3) and rare earth double sulfates (NaRE(SO4)2), the yield of REEs is higher when using the carbonate precipitation method. The carbonate precipitation reagents mainly include ammonium bicarbonate (NH4HCO3) [24,25,26], sodium bicarbonate (NaHCO3) [27,28], and sodium carbonate (Na2CO3) [29,30]. Although the NH4HCO3 precipitation method is relatively mature, a large amount of ammonia nitrogen wastewater is produced, which has adverse impacts on aquatic ecosystems. The precipitation method using NaHCO3 and Na2CO3 as precipitants can solve the problems of ammonia nitrogen pollution. However, the amount of NaHCO3 needed as a precipitant is large, and the production cost is high. In contrast, Na2CO3 as a precipitant not only reduces the amount of precipitant needed but also reduces the introduction of sodium ions, resulting in a lower cost and better development advantages than NaHCO3. When considering the recovery cost, the Na2CO3 precipitation method has great industrial application potential.
Considering that the previous development of an ammonium sulfate roasting–water leaching process showed significant advantages, in order to ensure the continuity of the process, this research further optimizes the sodium carbonate precipitation process and at the same time compares it with the oxalic acid precipitation and double sulfates precipitation processes so as to obtain a more economical, environmentally friendly, and efficient REE recovery and separation process. This research also provides a valuable reference for the separation of REEs from sulfate leachate in REE recycling smelters.
2. Experimental Materials and Methods
2.1. Experimental Materials
The raw material used in this study was the leachate obtained from Nd-Fe-B waste treatment after using a two-stage ammonium sulfate roasting transformation followed by a water leaching method [18], and its main components and contents are shown in Table 1.
Table 1.
The main composition and content of leachate obtained after sulfated roasting followed by a water leaching process.
In Table 1, it can be seen that the concentrations of impurities (Fe, Al, Co, Cu, and Si) in the REEs leaching solution are all lower than 5 mg/L, while the concentrations of Ce, Pr, and Gd are above 1500 mg/L and that of Nd is up to 5500 mg/L. Therefore, RExOy is directly prepared by the oxalic acid precipitation–calcination method, sodium carbonate precipitation–calcination method, and double sulfates precipitation–alkali conversion–calcination method.
2.2. Experimental Method
Oxalic acid precipitation–calcination method: According to existing literature reports and industrial production process parameters, the most suitable temperature for REE precipitation is 80 °C. Due to the difference in the concentration of rare earth ions (RE3+), this paper investigates the influence of oxalic acid amount and reaction time on the precipitation efficiency of REEs. RE2(C2O4)3 precipitate under optimum conditions was calcined for 1 h to obtain RExOy at 850 °C, and the impurity content and RExOy purity were characterized.
Double sulfates precipitation–alkali conversion–calcination method: As reported previously, a reaction time of 1 h was used to investigate the influence of the Na2SO4 amount and the reaction temperature on the precipitation efficiency of REEs. The obtained NaRE(SO4)2 was added to boiling sodium hydroxide (NaOH) solution for alkali conversion to produce rare earth hydroxides (RE(OH)3) under a reaction temperature of 90 °C, a reaction time of 1 h, m(RE2O3):m(30%NaOH) = 1.0:1.0. and a stirring speed of 350 r/min. The alkali conversion products (RE(OH)3) were roasted for 1 h to obtain RExOy at 700 °C, and the impurity content and RExOy purity were tested.
Sodium carbonate precipitation–calcination method: Na2CO3 was added to the solution of REEs, and the effects of feeding method, Na2CO3 amount, reaction temperature, Na2CO3 concentration, feed liquid flow rate, aging time, seed crystal addition amount, and product size were systematically investigated. The RE2(CO3)3 precipitate was roasted for 1 h to obtain RExOy at 850 °C, and the impurity content and RExOy were tested.
During the preparation process, the resulting purity of the RExOy and the cost of the abovementioned three RExOy preparation processes were comprehensively compared to find the optimal production process. The main flowsheet for this research is shown in Figure 1.
Figure 1.
Proposed flowsheet for preparing RExOy directly from water leaching solution after two-stage ammonium sulfate roasting.
2.3. Experimental Analysis Method
In this study, a Thermo ICAP-AES 7400 inductively coupled plasma emission spectrometer produced by HORIMA was used to analyze the REEs’ concentration (Ce, Pr, Nd, and Gd) in the leachate. The main phases of the samples were identified by X-ray diffraction (XRD; PANalytical X’Pert Pro Powder, Almelo, The Netherlands) using a Cu Kα radiation source with a 40 kV acceleration potential and current of 40 mA. XRD diffractograms were analyzed using Jade 6.5 software. The morphology and element distribution behaviors in the leach residues and roasted products were determined by scanning electron microscopy with energy dispersive spectroscopy (SEM-EDS; MIRA 3 LMH, TESCAN Brno, S.r.o, Brno, Czech Republic). The particle size distribution of the REE precipitation products was analyzed using a Mastersizer 3000 laser particle size analyzer from Malvern (UK). In order to determine the thermal decomposition behavior of RE2(C2O4)3, RE(OH)3, and RE2(CO3)3, thermogravimetric analysis (TG) and differential thermal analysis (DTA) were undertaken (STA449F5, Netzsch, Germany) with a 10 K/min heating rate under a 100 mL/min dry air flow in order to analyze the reaction steps.
3. Results and Discussion
3.1. Oxalic Acid Precipitation Method
The effects of oxalic acid amount (actual amount (mol)/theoretical amount (mol)) and reaction time on the transformation of the precipitation efficiency of REEs were investigated at 80 °C, and the results are displayed in Figure 2.
Figure 2.
Effect of oxalic acid amount (a) and reaction time (b) on the precipitation efficiencies of Ce, Pr, Nd, and Gd.
The results shown in Figure 2a indicate that the precipitation efficiencies of Ce, Pr, Nd, and Gd increased from 99.48%, 99.61%, 99.80%, and 99.79%, respectively, to 99.94%, 99.95%, 99.97% and 99.97%, respectively as the molar ratio of the oxalic acid increased from 1.0:1.0 to 1.2:1.0. A further increase in the H2C2O4 amount from 1.2:1.0 to 1.4:1.0 resulted in only minor changes in the precipitation efficiencies of the REEs. Therefore, an oxalic acid amount of 1.2:1.0 was selected for the separation of REEs from the sulfate leachate. In Figure 2b, the precipitation of REEs from the sulfate leachate is relatively rapid, as 98% is achieved within 10 min. Further increases in the amount of oxalic acid within 30 min resulted in a gradual increase to over 99.94% precipitation efficiency. In order to achieve the maximum precipitation efficiencies of the REEs, the optimum reaction time was 30 min.
Based on the results from the experiments, the optimum conditions for the oxalic acid precipitation method are as follows: the optimum oxalic acid amount is 1.2:1.0, the optimum reaction temperature is 80 °C, and the optimum reaction time is 30 min. Under these conditions, the total precipitation efficiencies of the REEs reach 99.94%. The obtained RE2(C2O4)3 precipitation was washed twice with hot water at a liquid-to-solid ratio of 2:1 (mL/g). During the washing stage, the REE loss was 0.52%, and the total recovery efficiency of REEs was 99.44%. The XRD analysis of RE2(C2O4)3 conducted under optimal conditions (Figure 3) shows that the main phases present in the RE2(C2O4)3 were Pr2(C2O4)3·10H2O, Ce2(C2O4)3·10H2O, Nd2(C2O4)3·10H2O, and Gd2(C2O4)3·10H2O. It had an excellent crystallinity and a particle size within the range of 1–5 μm (Figure 4).
Figure 3.
XRD pattern of RE2(C2O4)3.
Figure 4.
SEM images of RE2(C2O4)3.
3.2. Double Sulfates Precipitation–Alkali Conversion Method
3.2.1. Double Sulfates Precipitation of REEs
The effect of the reaction temperature and Na2SO4 amount (actual amount (mol)/theoretical amount (mol)) on the precipitation of REEs over 1 h and the results are displayed in Figure 5.
Figure 5.
Effect of temperature (a) and Na2SO4 amount (b) on the precipitation efficiencies of Ce, Pr, Nd, and Gd.
The results shown in Figure 5a indicate that the precipitation efficiency of Gd increased from 84.90% to almost 94.45% as the reaction temperature increased from 70 °C to 80 °C. In contrast to Gd, the precipitation of Ce, Pr, and Nd changed slightly within the temperature range investigated under the same conditions. This is mainly because the double sulfates precipitation of cerium group elements such as Ce, Pr, and Nd are insoluble sulfates. However, Gd double sulfates is a slightly soluble terbium group element, and its solubility decreases with increasing temperature, so the temperature has a considerable influence on Gd precipitation. From the perspective of energy saving and REE recovery, a temperature of 80 °C was selected to be the most suitable process condition for the precipitation of REEs. Figure 5b shows that the precipitation efficiencies of Ce, Pr, Nd, and Gd increased from 98.02%, 98.18%, 97.98%, and 94.44% to 98.71%, 98.82%, 98.80%, and 98.67%, respectively, as the Na2SO4 amount increased from 1.0:1.0 to 1.3:1.0. A further increase in the sodium sulfate amount from 1.3:1.0 to 1.4:1.0 resulted in only minor changes in the precipitation efficiencies of the REEs.
Based on the results of the above experiments, the optimum conditions for the double sulfate precipitation method are as follows: a sodium sulfate amount of 1.3:1.0, a reaction temperature of 80 °C, and a reaction time of 1 h. Under these conditions, the precipitation efficiencies of Ce, Pr, Nd, and Gd are 98.71%, 98.82%, 98.80%, and 98.67%, respectively, and the total precipitation efficiency of the REEs is 98.75%. The XRD analysis (Figure 6) of double sulfates precipitation of REEs under optimal conditions shows that the main phases present in NaRE(SO4)2 were NaNd(SO4)2·H2O, NaPr(SO4)2·H2O, NaCe(SO4)2·H2O, and NaGd(SO4)2·H2O.
Figure 6.
XRD pattern of mixed double sulfates precipitation.
3.2.2. Alkali Transformation of Double Sulfates Precipitation
In order to prepare RExOy, it is necessary to transform the refractory NaRE(SO4)2·H2O into RE(OH)3, which not only avoids the production of SOx but also increases the product purity of RExOy. The main reaction is as follows:
NaRE(SO4)2·H2O + 3NaOH = RE(OH)3↓+ 2Na2SO4 + H2O
In the stage of alkali transformation, the NaRE(SO4)2·H2O was added to a NaOH solution, and the slurry was filtered under the following reaction conditions: the m(RExOy):m(30%NaOH) was 1.0:1.0, the reaction temperature was 90 °C, the reaction time was 1 h, and products with a gray color were obtained. The obtained products were further dried, and the gray precipitate immediately transformed into a yellow precipitate (Figure 7). This is mainly because Ce(OH)3 is easily oxidized to yellow Ce(OH)4 when exposed to air. Under the above optimal conditions, an alkali conversion rate of REEs of 99.55% was calculated by measuring the concentration of REEs in the filtrate. The prepared RE(OH)3 was washed twice with hot water (liquid-to-solid (L/S, 100 mL distilled water/50 g hydroxide): 2:1) to ensure the purity of the subsequent RExOy. During the washing stage, the loss of REEs was 0.36%. Thus, the total recovery efficiency of REEs after transformation and washing was 97.95%. The obtained RE(OH)3 crystals were irregularly granular and had a relatively dispersed particle size distribution (Figure 8).
Figure 7.
Color change in NaRE(SO4)2·H2O (a) and RE(OH)3 (b).
Figure 8.
SEM images of RE(OH)3.
3.3. Sodium Carbonate Precipitation Method
In order to obtain the optimal conditions for RE2(CO3)3 precipitation, the effects of the following factors on the precipitation efficiencies of REEs were investigated: feeding method of Na2CO3, Na2CO3 amount (n(RE3+)/n(Na2CO3)), reaction temperature, Na2CO3 concentration, feed liquid flow rate, aging time, and seed crystal addition amount. The results are shown in Figure 9.

Figure 9.
Effects of different factors on the precipitation efficiencies of Ce, Pr, Nd, and Gd. (a) Feeding method of Na2CO3; (b) Na2CO3 amount (n(RE3+)/n(Na2CO3)); (c) Na2CO3 concentration; (d) feed liquid flow; (e) reaction temperature; (f) addition of seed crystals; (g) aging time; (h) effect of aging time on the size distribution.
The effects of the feeding method, including positive precipitation (the sodium carbonate solution is added to the leaching solution of RE2(SO4)3), reverse precipitation (the leaching solution of RE2(SO4)3 is added to the sodium carbonate solution), and co-precipitation (the sodium carbonate solution and the leaching solution of RE2(SO4)3 were added simultaneously) on the recovery efficiencies of the REEs were investigated. The results shown in Figure 9a indicate that the precipitation efficiencies of the REEs are >99% when using counter-precipitation, which is much higher than the other two feeding methods. Moreover, the XRD results of the three precipitation products of the REEs (Figure 10) showed that the precipitation of the REEs obtained by reverse precipitation had good crystallinity and mainly consisted of Ce2(CO3)3·8H2O, Pr2(CO3)3·8H2O, Nd2(CO3)3·8H2O, and Nd2(CO3)3·8H2O. RE2(CO3)3 shows better filtration performance when using counter-precipitation when compared with positive precipitation and co-precipitation. The XRD results of RE2(CO3)3 obtained from the positive precipitation and co-precipitation had no obvious diffraction peaks, and the Na2CO3 precipitate was amorphous and had worse filtration performance.
Figure 10.
XRD pattern of precipitation products when using different feeding methods.
As is shown in Figure 9b, when the molar ratio of n(RE3+)/n(Na2CO3) was increased from 1.0:1.5 to 1.0:1.6, the precipitation efficiencies of the REEs increased substantially, and the precipitation efficiencies of all the REEs were over 99.90%. When the molar ratio was further increased to 1.0:1.8, there was no significant change in the precipitation efficiencies of the REEs, so the suitable molar ratio was determined to be 1.0:1.6. The effect of Na2CO3 concentration on the precipitation efficiencies of the REEs was investigated and is presented in Figure 9c. The results showed that the precipitation efficiencies of the REEs did not significantly change when the Na2CO3 concentration was increased from 0.2 mol/L to 0.3 mol/L, and when the Na2CO3 concentration was increased to 0.4 mol/L, the precipitation efficiencies of the REEs decreased significantly. Therefore, the appropriate Na2CO3 concentration was determined to be 0.3 mol/L.
Figure 9d shows that the precipitation of REEs did not change significantly when the flow rate of RE2(SO4)3 leaching solution was increased from 2 mL/min to 4 mL/min. However, the precipitation efficiencies of the REEs decreased considerably when the flow rate of the RE2(SO4)3 leaching solution was increased further. The REEs’ precipitation efficiency decreases because the Na2CO3 is wrapped by the RE2(CO3)3 precipitate produced due to the rapid local precipitation reaction with the fast flow rate of RE2(SO4)3 leaching solution, which leads to unreacted REEs. However, due to the practical considerations of production, the flow rate of the feed solution should not be too slow, so the suitable flow rate of the RE2(SO4)3 leaching solution was determined to be 4 mL/min.
The effect of reaction temperature on the precipitation efficiencies of the REEs is presented in Figure 9e. The results showed that an increase in the temperature from 30 °C to 70 °C resulted in only minor changes in the precipitation efficiencies of the REEs, but a higher temperature means that the crystalline shape of the RE2(CO3)3 will deteriorate (Figure 11), so the suitable reaction temperature for RE2(CO3)3 precipitation was determined to be 30 °C.
Figure 11.
XRD pattern of precipitation products at different temperatures.
From Figure 9f, it can be seen that the introduction of seed crystals had no obvious effect on the precipitation of the REEs, and the precipitation efficiencies of Ce, Pr, Nd, and Gd were all above 99% throughout the investigated range. Thus, seed crystals were not added during the RE2(CO3)3 precipitation. In addition, although the aging time has little effect on the precipitation efficiencies of the REEs (Figure 9g), the particle size of RE2(CO3)3 increased considerably with increased aging time (Figure 9h). In terms of industrial production, the aging time is determined to be 4 h.
In summary, the optimal process conditions for the sodium carbonate precipitation method are as follows: the feeding method is reverse precipitation, the n(RE3+)/n(Na2CO3) ratio is 1.0:1.6, the reaction temperature is 30 °C, the Na2CO3 concentration is 0.3 mol/L, the flow rate of the solution of REEs is 4 mL/min, the aging time is 4 h, and seed crystals are not added. Under these conditions, the total precipitation efficiency of the REEs was 99.93%, and the obtained carbonate products were feathery with a more uniform particle size distribution and good filtration performance (Figure 12). The RE2(CO3)3 was washed twice with 90 °C water (liquid-to-solid (L/S, 100 mL distilled water/50 g hydroxide): 2:1) to ensure the purity of the subsequent RExOy. During the washing stage, the loss of REEs is 0.81%. Thus, the total recovery efficiency of REEs is 99.12% after transformation and washing.
Figure 12.
SEM images of precipitation products.
3.4. Rare Earth Oxides Preparation
The prepared RE2(C2O4)3, RE2(CO3)3, and RE(OH)3 are calcined to obtain RExOy. The main reactions are as follows:
RE2(C2O4)3·10H2O + 3/2O2 = RE2O3 + 6CO2↑ +10H2O↑
RE2(CO3)3·8H2O = RE2O3 + 3CO2↑ + 8H2O↑
2RE(OH)3 = RE2O3 + 3H2O↑
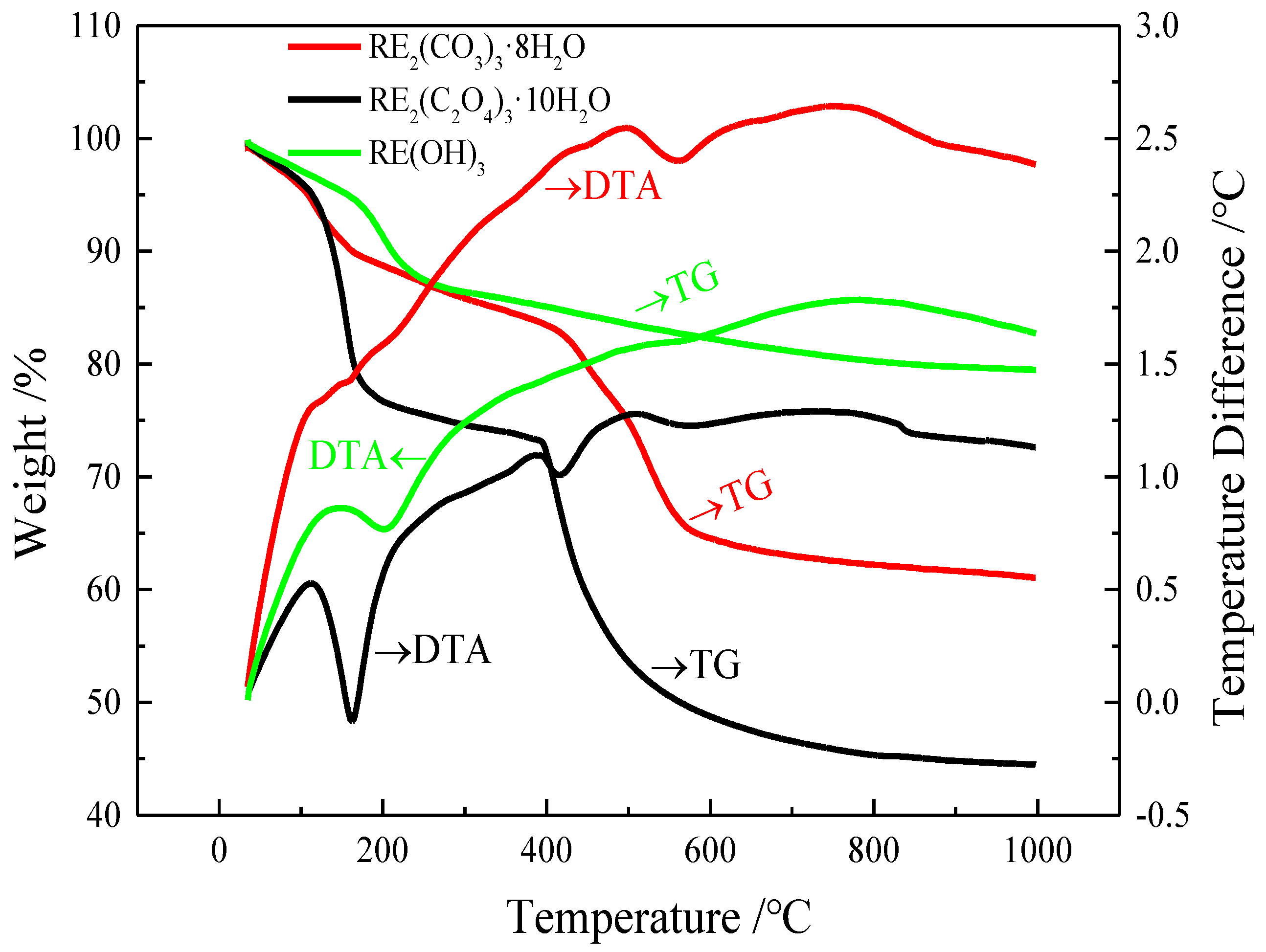
To confirm the optimum calcination temperature, TG and DTA were performed on RE2(C2O4)3·10H2O, RE2(CO3)3·8H2O, and RE(OH)3. The results shown in Figure 13 indicate that the RE2(C2O4)3·10H2O was completely decomposed into RExOy with a weight loss of 55.2% at 850 °C, which was consistent with the theoretical value of 54.1%. Similarly, the RE2(CO3)3·8H2O completely decomposed into RExOy with a weight loss of 42.1% at 850 °C, which is relatively consistent with the theoretical weight loss value of 45.1%. In contrast to the RE2(C2O4)3·10H2O and RE2(CO3)3·8H2O, the RE(OH)3 started to lose weight at 600 °C, and the weight loss basically stopped at 700 °C. Thus, to ensure the purity of RExOy, the most suitable calcination temperature for RE2(CO3)3·8H2O and RE2(C2O4)3·10H2O was determined to be 850 °C, and the most suitable calcination temperature for RE(OH)3 was 700 °C.
Figure 13.
TG–DTA curves of RE2(CO3)3·8H2O, RE2(C2O4)3·10H2O, and RE(OH)3.
The RExOy obtained from the calcination of RE2(CO3)3·8H2O and RE2(C2O4)3·10H2O at 850 °C and the calcination of RE(OH)3 at 700 °C were analyzed via XRD to confirm the main mineral phase composition. The results shown in Figure 14 indicate that the roasting products of the three REE precipitates are all composed of Pr6O11, Ce6Nd2O15, and (Ce0.7Gd0.3)O1.85. The SEM analysis of the roasted products (Figure 15a) showed that the REEs obtained from the calcination of RE2(C2O4)3·10H2O were found to be irregularly cubic in shape, ranging in size from 2–5 μm. Moreover, the EDS results (Figure 15b) of RExOy indicated that the main components of the products are REEs, and no other metal impurities were detected. The structure of the RExOy obtained via the calcination of RE2(CO3)3·8H2O is a polyhedron with a random shape and a size range of 0.5–2 μm (Figure 15c). However, the calcination products of RE2(CO3)3·8H2O contain a small amount of S in addition to REEs (Figure 15d). The structure of the RExOy obtained by the calcination of the RE(OH)3 is mostly irregular cone in terms of shape and ranges in size from 1–4 μm (Figure 15e). The EDS results (Figure 15f) showed that the calcination products contain a small amount of Si. To compare the purity of these calcined RExOy products, the main chemical composition of the above three products of RExOy were further analyzed in detail, and the results are shown in Table 2.
Figure 14.
XRD pattern of RExOy (a) calcination products of RE2(C2O4)3·10H2O; (b) calcination products of RE2(CO3)3·8H2O; (c) calcination products of RE(OH)3).

Figure 15.
SEM-EDS images of REE calcination products. RE2(C2O4)3·10H2O (a,b); RE2(CO3)3·8H2O (c,d); RE(OH)3 (e,f).
Table 2.
Chemical composition of RExOy (mass, %).
As can be seen from Table 2, the purities of the RExOy obtained via the calcination of RE2(C2O4)3·10H2O, RE2(CO3)3·8H2O, and RE(OH)3 are 99.83%, 98.33%, and 98.04%, respectively. Moreover, the content of SO42- impurities is higher in the RExOy obtained via the calcination of RE2(CO3)3·8H2O, while Al and Si impurities are more prevalent in the RExOy obtained via the calcination of RE(OH)3.
3.5. Cost Comparison of Three Preparation Methods
In this study, RExOy was prepared via the oxalic acid precipitation–calcination method, sodium carbonate precipitation–calcination method, and double sulfates precipitation–alkali conversion–calcination method. The total recovery efficiency of REEs, the purity of the RExOy, and the cost of producing 1 t of RExOy were compared. The results are shown in Table 3.
Table 3.
Comparison of the three RExOy oxide preparation methods.
The comparison results showed that although the RExOy prepared via the the oxalic acid precipitation–calcination method has the highest recovery efficiencies of the REEs and the greatest purity of RExOy, the production cost of the RExOy products is also obviously higher than that of the other two processes. Compared with the oxalic acid precipitation–calcination method, the cost of preparing RExOy via the sulfate method is relatively low, but it is still higher than the carbonate precipitation method, and the process flow is more complicated and has the lowest REE recovery efficiency and RExOy purity. Therefore, REEs recovery from RE2(SO4)3 leaching solution via the sodium carbonate precipitation–calcination method has the greatest potential for industrial application. This process has the lowest cost for preparing RExOy, and the REEs’ recovery efficiencies and RExOy purity are ideal.
4. Conclusions
- (1)
- Under optimal conditions, the REEs recovery efficiencies of the oxalic acid precipitation–calcination, sodium carbonate precipitation–calcination, and double sulfates precipitation–alkali conversion–calcination methods were 99.44%, 99.12%, and 97.95%; the purities of obtained the RExOy were 99.83%, 98.33%, and 98.04%, respectively.
- (2)
- The recovery of REEs from RE2(SO4)3 leaching solution via the sodium carbonate precipitation–calcination method has the greatest potential for industrial application. This process has the lowest cost for preparing RExOy, and the recovery efficiencies of the REEs and the purity of the RExOy are ideal.
- (3)
- By combining the obtained research results with previous studies, a new process for the selective recovery of REEs from NdFeB waste can be formed, which mainly involves ammonium sulfate roasting, REEs water leaching separation, sodium carbonate precipitation, and calcination. The results can also provide theoretical guidance for innovations in secondary resource recovery processes for REEs.
Author Contributions
Conceptualization, F.C.; methodology, F.C., F.L. and L.W.; validation, F.C., F.L. and L.W.; formal analysis, F.C. and F.L.; investigation, F.C., F.L., L.W. and J.W.; data curation, F.C., F.L., L.W. and J.W.; writing—original draft preparation, F.C. and F.L.; writing—review and editing, F.C. and F.L.; visualization, F.C. and F.L.; supervision, F.L.; project administration, F.L.; funding acquisition, F.L. All authors have read and agreed to the published version of the manuscript.
Funding
This work was funded by the Natural Science Foundation of Jiangxi Province (No. 20202BABL204030), the China Postdoctoral Science Foundation (No. 2019 M662269), the Jiangxi Postdoctoral Science Foundation (No. 2019 KY07), the National Nature Science Foundation of China (No. 52264047), the Postdoctoral Innovative Talent Support Program of Shandong Province, and the Program of Qingjiang Excellent Young Talents, Jiangxi University of Science and Technology (No. JXUSTQJYX2019006), the Jiangxi Provincial Key Laboratory of Flash Green Development and Recycling (No.20193BCD40019), the Academic and technical leaders of major disciplines in Jiangxi Province (20213BCJ22003), The China Baowu Low Carbon Metallurgy Innovation Foudation-BWLCF202121.
Data Availability Statement
Not applicable.
Conflicts of Interest
The authors declare no conflict of interest.
References
- Li, H.X.; Wang, S.; Li, C. Recycling and life cycle analysis of rare earth elements. Chin. J. Rare Met. 2016, 40, 945–954. [Google Scholar]
- Fu, L.W.; Wang, J.L.; Lei, X.; Wang, H.Q. Research progress on the recycling and utilization of Nd-Fe-B wastes. Nonferr. Met. Sci. Eng. 2020, 11, 92–97. [Google Scholar]
- Li, S.J.; Cui, Z.J.; Li, W.T.; Wang, D.; Wang, Z. Technical actuality and prospect of NdFeB waste recycling. Mater. Rep. 2021, 35, 3001–3009. [Google Scholar]
- Takeda, O.; Okabe, T.H.; Umetsu, Y. Phase equilibrium of the system Ag-Fe-Nd, and Nd extraction from magnet scraps using molten silver. J. Alloys Compd. 2004, 379, 305–313. [Google Scholar] [CrossRef]
- Takeda, O.; Okabe, T.H.; Umetsu, Y. Recovery of neodymium from a mixture of magnet scrap and other scrap. J. Alloys Compd. 2006, 408–412, 387–390. [Google Scholar] [CrossRef]
- Uda, T. Recovery of rare earths from magnet sludge by FeCl2. Mater. Trans. 2002, 43, 55–62. [Google Scholar] [CrossRef]
- Hua, Z.S.; Wang, J.; Wang, L.; Zhao, Z.; Li, X.; Xiao, Y.; Yang, Y. Selective extraction of rare earth elements from NdFeB scrap by molten chlorides. ACS Sustain. Chem. Eng. 2014, 2, 2536–2543. [Google Scholar] [CrossRef]
- Saito, T.; Sato, H.; Ozawa, S.; Yu, J.; Motegi, T. The extraction of Nd from waste NdFeB alloys by the glass slag method. J. Alloys Compd. 2003, 353, 189–193. [Google Scholar] [CrossRef]
- Nakamoto, M.; Kubo, K.; Katayama, Y.; Tanaka, T.; Yamamoto, T. Extraction of rare earth elements as oxides from a neodymium magnetic sludge. Metall. Mater. Trans. B 2011, 43, 468–476. [Google Scholar] [CrossRef]
- Deng, Y.C.; Wu, S.L.; Jiang, Y.J.; Li, H.X. Recycling NdFeB scrap by direct reduction and melting separation. Chin. Rare Earths 2015, 36, 8–13. [Google Scholar]
- Wang, Y.J.; Liu, Y.H.; Guo, J.X.; Wang, S.L.; Weng, G.Q. Recovery of rare earth metals form NdFeB waste materials using hydrochloric acid. Hydrometall. China 2006, 25, 195–197. [Google Scholar]
- Wu, J.P.; Deng, G.F.; Deng, L.L.; Lin, C.X.; Pan, X.B. Rare earth recovery from NdFeB magnet scrap. Nonferr. Met. Sci. Eng. 2016, 7, 119–124. [Google Scholar]
- Huang, J.S.; Qi, M.F. Review on recovery technology of Nd-Fe-B waste materials. China Resour. Compr. Util. 2008, 26, 4–5. [Google Scholar]
- Lai, W.H.; Liu, M.; Li, C.Y.; Suo, L.H.; Yue, M. Recovery of a composite powder from NdFeB slurry by co-precipitation. Hydrometallurgy 2014, 150, 27–33. [Google Scholar] [CrossRef]
- Lin, H.C. Study on process of recovering neodymium oxide from the Nd-Fe-B permanent magnet scraps. World Nonferr. Met. 2007, 4, 59–61. [Google Scholar]
- Liu, Z.Q.; Chen, H.J. The industrial practice of recycling rare earth from NdFeB scraps. Mater. Res. Appl. 2009, 3, 134–137. [Google Scholar]
- Abrahami, S.T.; Xiao, Y.; Yang, Y. Rare-earth elements recovery from post-consumer hard-disc drives. Miner. Process. Extr. Metall. 2015, 124, 106–115. [Google Scholar] [CrossRef]
- Liu, F.P.; Chen, F.X.; Wang, L.J.; Ma, S.B.; Wan, X.B.; Wang, J.L. Selective separation of rare earths from spent Nd-Fe-B magnets using two-stage ammonium sulfate roasting followed by water leaching. Hydrometallurgy 2021, 203, 105626. [Google Scholar] [CrossRef]
- Yin, X.W.; Liu, M.; Lai, W.H.; Dong, C.B.; Yue, M.; Suo, H.L. Recycle rare earth elements from NdFeB waste with oxalate precipitation method. Chin. J. Rare Met. 2014, 6, 1093–1098. [Google Scholar]
- Tobias, E.; Daniel, G.; Florian, S. Hydrometallurgical recycling of sintered NdFeB magnets. Erzmetall 2013, 66, 209–219. [Google Scholar]
- Tom, V.H.; Bart, B.; Tom, V.G.; Koen, B. From NdFeB magnets towards the rare-earth oxides: A recycling process consuming only oxalic acid. RSC Adv. 2014, 4, 64099–64111. [Google Scholar]
- Tang, J.; Wei, C.F.; Zhao, D.W.; Lin, H.; Tian, G.H. Nd2O3 recovery from sintered NdFeB scrap. Rare Met. Cem. Carbides 2009, 37, 9–11+18. [Google Scholar]
- Luo, L.; Tang, H.W.; Yang, B.J. Technological study on rare earth recovery form rare earth sulfate solution. Rare Met. Cem. Carbides 2015, 43, 12–15. [Google Scholar]
- Zhang, L.L.; Deng, X.Y.; Deng, Y.G.; Yang, H.; Xia, Y.; Wei, Y.; Yang, G.H. Study on ammonium bicarbonate preparation crystalline mixed rare earth carbonate. J. Huang Shi Inst. Technol. 2011, 27, 20–24. [Google Scholar]
- Li, H.Q.; Li, J.; Zhao, Y.Z.; Zhang, R.X.; Hao, X.K.; Ma, X.D. Study on preparation of yttrium oxide with large particle sizes and spherical shapes by precipitation with ammonium bicarbonate. Chin. Rare Earths 2014, 35, 77–81. [Google Scholar]
- Lu, M.; Qiu, G.H.; Ma, Y.; Zhang, X.B.; Gao, W.Z. Preparation of small size and high total cerium carbonate. Rare Met. Cem. Carbides 2019, 47, 16–18+35. [Google Scholar]
- Gao, X.G.; Sun, M.H.; Sun, M.X.; Feng, C.F.; Sun, J.Z. Study on preparation of barium carbonate by orthogonal test method and sodium bicarbonate. China Resour. Compr. Util. 2019, 37, 17–19. [Google Scholar]
- Chen, X.; Liao, D.H. Magnetization process for strengthening the precipitation of rare earth leach solution by sodium bicarbonate. Min. Metall. Eng. 2020, 40, 99–101. [Google Scholar]
- Wang, S.L.; Liu, Y.L.; Cheng, F.X.; Wu, S.; Liao, C.S. A study on preparation of rare earth Carbonate using sodium carbonate. Min. Metall. 2015, 24, 44–46. [Google Scholar]
- Gao, G.H.; Lai, A.B.; Zhou, X.F.; Liao, C.F.; Liu, J.Y.; Xiao, Y.F. Precipitation crystallization process of yttrium carbonate and its influencing factors. Chin. J. Nonferr. Met. 2020, 30, 2457–2474. [Google Scholar]
Publisher’s Note: MDPI stays neutral with regard to jurisdictional claims in published maps and institutional affiliations. |
© 2022 by the authors. Licensee MDPI, Basel, Switzerland. This article is an open access article distributed under the terms and conditions of the Creative Commons Attribution (CC BY) license (https://creativecommons.org/licenses/by/4.0/).
















