Enzymatic Synthesis of the Fructosyl Derivative of Sorbitol
Abstract
:1. Introduction
2. Materials and Methods
2.1. Materials
2.2. Methods
2.2.1. Enzymatic Synthesis of the Fructosyl Derivatives of Sorbitol
2.2.2. Chromatographic Determination of Hydrolysate Components and Isolation of Sorbitol Derivatives
2.2.3. Mass Spectrometry of Transglycosylation Products
2.2.4. Determination of Enzyme Activity
2.2.5. Calculation of the Conversion Rate
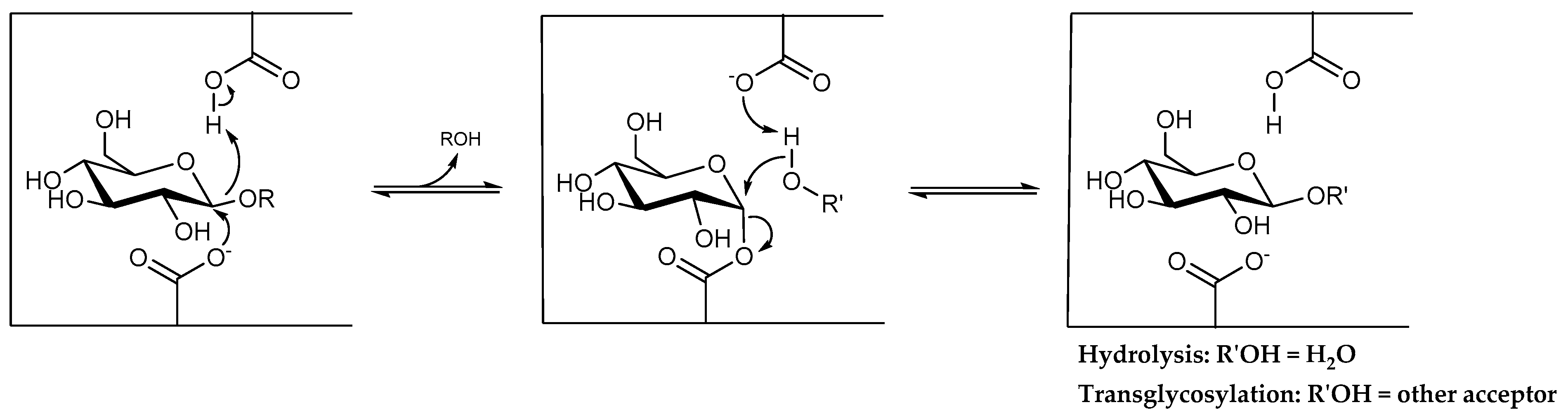
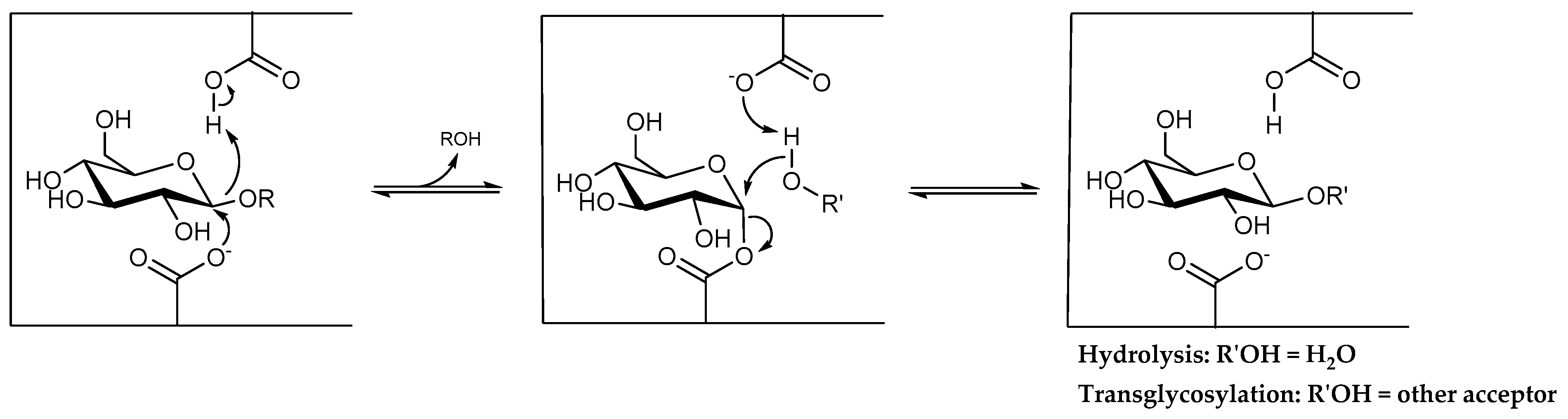
3. Results and Discussion
4. Conclusions
Author Contributions
Funding
Institutional Review Board Statement
Informed Consent Statement
Data Availability Statement
Conflicts of Interest
References
- Billaux, M.S.; Flourie, B.; Jacquemin, C.; Messing, B. Sugar alcohols. In Handbook of Sweeteners; Marie, S., Piggott, J.R., Eds.; Springer: Boston, MA, USA, 1991; pp. 72–103. [Google Scholar]
- Shawkat, H.; Westwood, M.-M.; Mortimer, A. Mannitol: A review of its clinical uses. Contin. Educ. Anaesth. Crit. Care Pain 2012, 12, 82–85. [Google Scholar] [CrossRef]
- Lenhart, A.; Chey, W.D. A systematic review of the effects of polyols on gastrointestinal health and irritable bowel syndrome. Adv. Nutr. 2017, 8, 587–596. [Google Scholar]
- Gültekin, F.; Öner, M.E.; Savaş, H.B.; Doğan, B. Food additives and microbiota. North. Clin. İstanb. 2020, 7, 192–200. [Google Scholar] [CrossRef] [PubMed]
- Yoon, J.-W.; Jeon, E.-J.; Jung, I.-H.; Min, M.-J.; Lee, H.-Y.; Kim, M.-J.; Baek, J.-S.; Lee, H.-S.; Park, C.-S.; Oh, S.; et al. Maltosyl-erythritol, a major transglycosylation product of erythritol by Bacillus stearothermophilus maltogenic amylase. Biosci. Biotechnol. Biochem. 2003, 67, 525–531. [Google Scholar] [CrossRef] [PubMed] [Green Version]
- Vera, C.; Illanes, A.; Guerrero, C. Enzymatic production of prebiotic oligosaccharides. Curr. Opin. Food Sci. 2021, 37, 160–170. [Google Scholar] [CrossRef]
- Rice, T.; Zannini, E.; Arendt, E.K.; Coffey, A. A review of polyols—Biotechnological production, food applications, regulation, labeling and health effects. Crit. Rev. Food Sci. Nutr. 2020, 60, 2034–2051. [Google Scholar] [CrossRef] [PubMed]
- Ghosh, S.; Sudha, M.L. A review on polyols: New frontiers for health-based bakery products. Int. J. Food Sci. Nutr. 2012, 63, 372–379. [Google Scholar] [CrossRef]
- European Union. Regulation (EU) No. 1169/2011 of the European Parliament and of the Council of 25 October 2011 on the Provision of Food Information to Consumers. OJEU 2011, 50, 18–63. [Google Scholar]
- Livesey, G. Health potential of polyols as sugar replacers, with emphasis on low glycaemic properties. Nutr. Res. Rev. 2003, 16, 163–191. [Google Scholar] [CrossRef] [Green Version]
- Deshpande, A.; Jadad, A.R. The impact of polyol-containing chewing gums on dental caries: A systematic review of original randomized controlled trials and observational studies. J. Am. Dent. Assoc. 2008, 139, 1602–1614. [Google Scholar] [CrossRef]
- Ballongue, J.; Schumann, C.; Quignon, P. Effects of lactulose and lactitol on colonic microflora and enzymatic activity. Scand. J. Gastroenterol. 1997, 32, 41–44. [Google Scholar] [CrossRef] [PubMed]
- Juśkiewicz, J.; Klewicki, R.; Zduńczyk, Z. Consumption of galactosyl derivatives of polyols beneficially affects cecal fermentation and serum parameters in rats. Nutr. Res. 2006, 26, 531–536. [Google Scholar] [CrossRef]
- Klewicki, R. Effect of selected parameters of lactose hydrolysis in the presence of β-galactosidase from various sources on the synthesis of galactosyl-polyol derivatives. Eng. Life Sci. 2007, 7, 268–274. [Google Scholar] [CrossRef]
- Klewicka, E.; Klewicki, R. In vitro fermentation of galactosyl derivatives of polyols by Lactobacillus strains. Czech J. Food Sci. 2009, 27, 65–70. [Google Scholar] [CrossRef] [Green Version]
- Gonzalez-Muñoz, F.; Pérez-Oseguera, A.; Cassani, J.; Jiménez-Estrada, M.; Vazquez-Duhalt, R.; Lopez Munguia, A. Enzymatic Synthesis of Fructosyl Glycerol. J. Carbohydr. Chem. 1999, 18, 275–283. [Google Scholar] [CrossRef]
- Piedrabuena, D.; Míguez, N.; Poveda, A.; Plou, F.J.; Fernández-Lobato, M. Exploring the transferase activity of Ffase from Schwanniomyces occidentalis, a β-fructofuranosidase showing high fructosyl-acceptor promiscuity. Appl. Microbiol. Biotechnol. 2016, 100, 8769–8778. [Google Scholar] [CrossRef] [PubMed]
- Rodrigo-Frutos, D.; Jiménez-Ortega, E.; Piedrabuena, D.; Ramírez-Escudero, M.; Míguez, N.; Plou, F.J.; Sanz-Aparicio, J.; Fernández-Lobato, M. New insights into the molecular mechanism behind mannitol and erythritol fructosylation by β-fructofuranosidase from Schwanniomyces occidentalis. Sci. Rep. 2021, 11, 7158. [Google Scholar] [CrossRef]
- Wang, L.-X.; Huang, W. Enzymatic transglycosylation for glycoconjugate synthesis. Curr. Opin. Chem. Biol. 2009, 13, 592–600. [Google Scholar] [CrossRef] [Green Version]
- Hansson, T.; Andersson, M.; Wehtje, E.; Adlercreutz, P. Influence of water activity on the competition between β-glycosidase-catalysed transglycosylation and hydrolysis in aqueous hexanol. Enzym. Microb. Technol. 2001, 29, 527–534. [Google Scholar] [CrossRef]
- Mangas-Sánchez, J.; Adlercreutz, P. Enzymatic preparation of oligosaccharides by transglycosylation: A comparative study of glucosidases. J. Mol. Catal. B Enzym. 2015, 122, 51–55. [Google Scholar] [CrossRef] [Green Version]
- Wojciechowska, A.; Klewicki, R.; Sójka, M.; Klewicka, E. Synthesis of the galactosyl derivative of gluconic acid with the transglycosylation activity of β-gtalactosidase. Food Technol. Biotechnol. 2017, 55, 258–265. [Google Scholar] [CrossRef]
- De Albuquerque, T.L.; de Sousa, M.; Gomes e Silva, N.C.; Neto, C.A.C.G.; Gonçalves, L.R.B.; Fernandez-Lafuente, R.; Rocha, M.V.P. β-Galactosidase from Kluyveromyces lactis: Characterization, production, immobilization and applications—A review. Int. J. Biol. Macromol. 2021, 191, 881–898. [Google Scholar] [CrossRef] [PubMed]
- Klewicki, R. Formation of gal-sorbitol during lactose hydrolysis with β-galactosidase. Food Chem. 2007, 100, 1196–1201. [Google Scholar] [CrossRef]
- Jędrzejczak-Krzepkowska, M.; Kalinowska, H.; Bielecki, S. β-fruktofuranozydaza—Właściwości, struktura i zastosowanie. Postępy Biochem. 2011, 57, 401–409. [Google Scholar] [PubMed]
- Fernández, R.C.; Maresma, B.G.; Juárez, A.; Martínez, J. Production of fructooligosaccharides by β-fructofuranosidase from Aspergillus sp 27H. J. Chem. Technol. Biotechnol. 2004, 79, 268–272. [Google Scholar] [CrossRef]
- Król, B.; Klewicki, R. Wytwarzanie koncentratów fruktooligosacharydów (FOS) o zróżnicowanym składzie oligomerycznym z wykorzystaniem enzymatycznej biokonwersji sacharozy. Żywność Nauka Technol. Jakość 2005, 2, 5–22. [Google Scholar]
- Coetzee, G.; van Rensburg, E.; Görgens, J.F. Evaluation of the performance of an engineered β-fructofuranosidase from Aspergillus fijiensis to produce short-chain fructooligosaccharides from industrial sugar streams. Biocatal. Agric. Biotechnol. 2020, 23, 101484. [Google Scholar] [CrossRef]
- Burghardt, J.P.; Gerlach, D.; Czermak, P. Production of short-chain fructooligosaccharides with a recombinant produced and immobilized fructosyltransferase. New Biotechnol. 2018, 44, S45. [Google Scholar] [CrossRef]








| Publisher’s Note: MDPI stays neutral with regard to jurisdictional claims in published maps and institutional affiliations. | 
© 2022 by the authors. Licensee MDPI, Basel, Switzerland. This article is an open access article distributed under the terms and conditions of the Creative Commons Attribution (CC BY) license (https://creativecommons.org/licenses/by/4.0/).
Share and Cite
Bors, M.; Klewicki, R.; Sójka, M.; Klewicka, E. Enzymatic Synthesis of the Fructosyl Derivative of Sorbitol. Processes 2022, 10, 594. https://doi.org/10.3390/pr10030594
Bors M, Klewicki R, Sójka M, Klewicka E. Enzymatic Synthesis of the Fructosyl Derivative of Sorbitol. Processes. 2022; 10(3):594. https://doi.org/10.3390/pr10030594
Chicago/Turabian StyleBors, Milena, Robert Klewicki, Michał Sójka, and Elżbieta Klewicka. 2022. "Enzymatic Synthesis of the Fructosyl Derivative of Sorbitol" Processes 10, no. 3: 594. https://doi.org/10.3390/pr10030594
APA StyleBors, M., Klewicki, R., Sójka, M., & Klewicka, E. (2022). Enzymatic Synthesis of the Fructosyl Derivative of Sorbitol. Processes, 10(3), 594. https://doi.org/10.3390/pr10030594
 
         
                                                


