Energy and Exergy Analysis of a Modified Absorption Heat Pump (MAHP) to Produce Electrical Energy and Revaluated Heat
Abstract
:1. Introduction
2. Description of the MAHP
3. H2O-LiBr Work Solution Mixture
4. MAHP Performance Parameters
4.1. Thermal Efficiency ()
4.2. Exergetic Efficiency ()
4.3. Gross Temperature Lift (GTL)
5. Mathematical Modeling
6. MAHP Operating Variables
7. Thermodynamic Simulation and Results
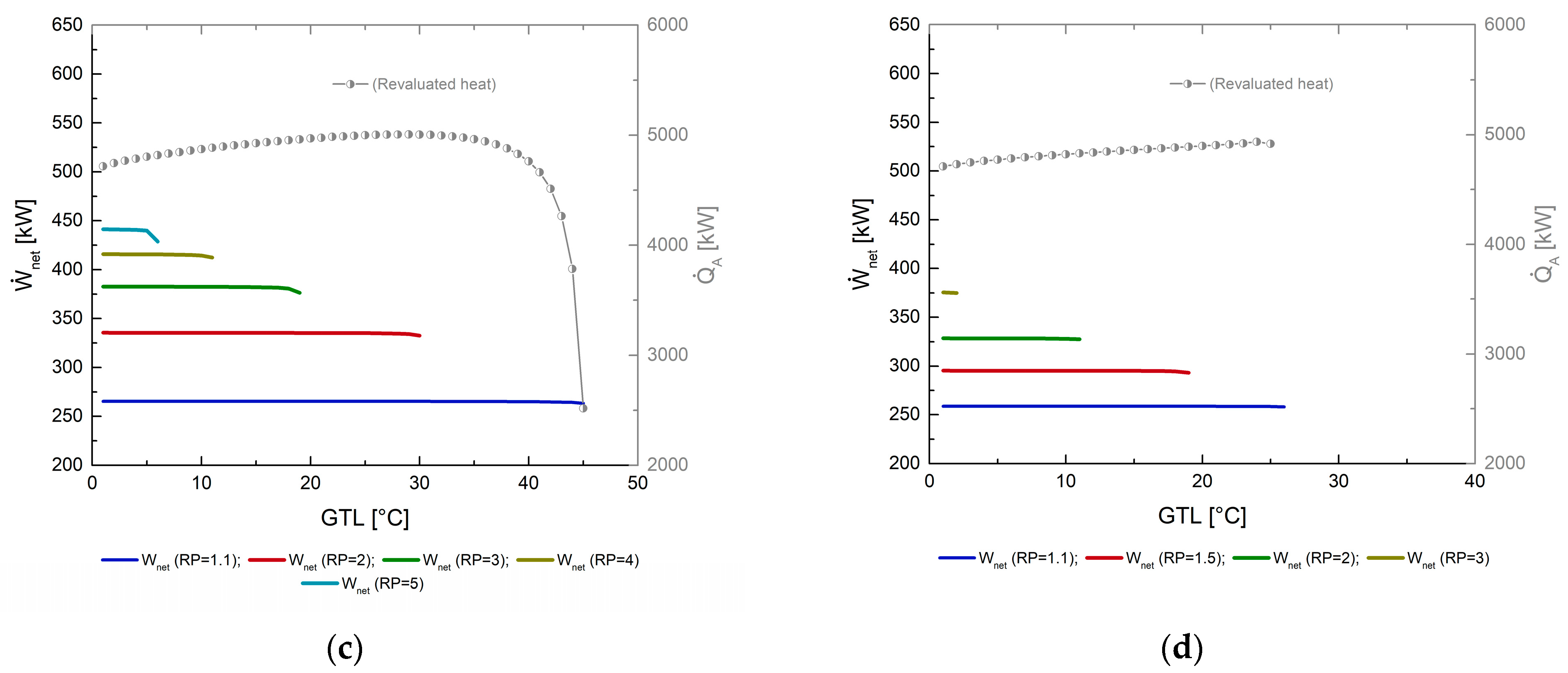
7.1. MAHP Products
7.2. Thermal Efficiency ()
7.3. Exergetic Efficiency ()
8. Conclusions
Author Contributions
Funding
Institutional Review Board Statement
Informed Consent Statement
Data Availability Statement
Conflicts of Interest
Nomenclatures
| 1,2, …, 18 | thermodynamic state points | 
| A | absorber | 
| AHP | absorption heat pump | 
| AHT | absorption heat transformer | 
| C | condenser | 
| CHP | combine heat and power | 
| COP | coefficient of performance | 
| E | evaporator | 
| EC | economizer | 
| EES | engineering equation solver | 
| ETC | evacuated tube collectors | 
| FPC | flat plate collectors | 
| G | generator | 
| GC | Goswami cycle | 
| GTL | gross temperature lift [°C] | 
| h | enthalpy [kJ/kg] | 
| KC | Kalina cycle | 
| LiBr | lithium bromide | 
| H2O | water | 
| MAHP | modified absorption heat pump | 
| mass flow rate [kg/s] | |
| ORC | organic Rankine cycle | 
| P | pressure [kPa] | 
| thermal capacity [kW] | |
| RP | pressure ratio [PH/PM] | 
| SHE | solution heat exchanger | 
| SRC | steam Rankine cycle | 
| T | temperature [°C] | 
| mechanical power [kW] | |
| X | concentration of the solution [-] | 
| Subscripts | |
| A | absorption | 
| C | condensation | 
| E | evaporation | 
| Ex | exergetic | 
| G | generation | 
| H | high | 
| L | low | 
| M | medium | 
| net | net | 
| 0 | ambient temperature | 
| P | pump | 
| T | turbine | 
| Th | thermic | 
| Greek Symbols | |
| η | efficiency [-] | 
| v | specific volume [m3/kg] | 
References
- Su, Z.; Zhang, M.; Xu, P.; Zhao, Z.; Wang, Z.; Huang, H.; Ouyang, T. Opportunities and strategies for multigrade waste heat utilization in various industries: A recent review. Energy Convers. Manag. 2021, 229, 113769. [Google Scholar] [CrossRef]
- International Energy Agency (IEA). Global Energy and CO2 Status Report 2018; International Energy Agency: Paris, France, 2019; p. 562. [Google Scholar]
- Loni, R.; Najafi, G.; Bellos, E.; Rajaee, F.; Said, Z.; Mazlan, M. A review of industrial waste heat recovery system for power generation with Organic Rankine Cycle: Recent challenges and future outlook. J. Clean. Prod. 2021, 287, 125070. [Google Scholar] [CrossRef]
- Arnaudo, M.; Dalgren, J.; Topel, M.; Laumert, B. Waste heat recovery in low temperature networks versus domestic heat pumps—A techno-economic and environmental analysis. Energy 2021, 219, 119675. [Google Scholar] [CrossRef]
- Turnbull, R.; Muneer, T. A Two Year Comparison of Energy and CO2 Emissions of an Industrial Refrigeration Plant after the Installation of a Waste Heat Recovery System. Energy Procedia 2019, 161, 251–258. [Google Scholar] [CrossRef]
- Holzleitner, M.; Moser, S.; Puschnigg, S. Evaluation of the impact of the new Renewable Energy Directive 2018/2001 on third-party access to district heating networks to enforce the feed-in of industrial waste heat. Util. Policy 2020, 66, 101088. [Google Scholar] [CrossRef]
- Mahmoudi, A.; Fazli, M.; Morad, M. A recent review of waste heat recovery by Organic Rankine Cycle. Appl. Therm. Eng. 2018, 143, 660–675. [Google Scholar] [CrossRef]
- Weiss, W.; Spörk-Dür, M. Global Market Development and Trends 2021 Detailed Market Figures 2020. In Solar Heat Worldwide Edition 2022; AEE—Institute for Sustainable Technologi: Gleisdor, Austria, 2022. [Google Scholar]
- Fan, Y.; Luo, L.; Souyri, B. Review of solar sorption refrigeration technologies: Development and applications. Renew. Sustain. Energy Rev. 2007, 11, 1758–1775. [Google Scholar] [CrossRef]
- Ayou, D.S.; Bruno, J.C.; Coronas, A. Combined absorption power and refrigeration cycles using low- and mid-grade heat sources. Sci. Technol. Built Environ. 2015, 21, 934–943. [Google Scholar] [CrossRef]
- López-Villada, J.; Ayou, D.S.; Bruno, J.C.; Coronas, A. Modelling, simulation and analysis of solar absorption power-cooling systems. Int. J. Refrig. 2014, 39, 125–136. [Google Scholar] [CrossRef]
- Arabkoohsar, A.; Andresen, G. A smart combination of a solar assisted absorption chiller and a power productive gas expansion unit for cogeneration of power and cooling. Renew. Energy 2018, 115, 489–500. [Google Scholar] [CrossRef]
- Arabkoohsar, A.; Sadi, M. A solar PTC powered absorption chiller design for Co-supply of district heating and cooling systems in Denmark. Energy 2020, 193, 116789. [Google Scholar] [CrossRef]
- Rahman, A.; Abas, N.; Dilshad, S.; Saleem, M.S. A case study of thermal analysis of a solar assisted absorption air-conditioning system using R-410A for domestic applications. Case Stud. Therm. Eng. 2021, 26, 101008. [Google Scholar] [CrossRef]
- Düzcan, A.; Kara, Y.A. Investigation of the usage potential of the evacuated tube and the flat plate collectors to assist an absorption chiller. Sustain. Energy Technol. Assess. 2021, 47, 101437. [Google Scholar] [CrossRef]
- Ali, D.; Ratismith, W. A semicircular trough solar collector for air-conditioning system using a single effect NH3–H2O absorption chiller. Energy 2020, 215, 119073. [Google Scholar] [CrossRef]
- Behzadi, A.; Arabkoohsar, A.; Sadi, M.; Chakravarty, K.H. A novel hybrid solar-biomass design for green off-grid cold production, techno-economic analysis and optimization. Sol. Energy 2021, 218, 639–651. [Google Scholar] [CrossRef]
- Nami, H.; Anvari-Moghaddam, A.; Nemati, A. Modeling and analysis of a solar boosted biomass-driven combined cooling, heating and power plant for domestic applications. Sustain. Energy Technol. Assess. 2021, 47, 101326. [Google Scholar] [CrossRef]
- Nasir, M.; Ekwonu, M.; Park, Y.; Esfahani, J.; Kim, K. Assessment of a District Trigeneration Biomass Powered Double Organic Rankine Cycle as Primed Mover and Supported Cooling. Energies 2021, 14, 1030. [Google Scholar] [CrossRef]
- Siddiqui, O.; Dincer, I. A new solar and geothermal based integrated ammonia fuel cell system for multigeneration. Int. J. Hydrogen Energy 2020, 45, 34637–34653. [Google Scholar] [CrossRef]
- Chen, Y.; Wang, J.; Lund, P.D. Thermodynamic performance analysis and multi-criteria optimization of a hybrid combined heat and power system coupled with geothermal energy. Energy Convers. Manag. 2020, 210, 112741. [Google Scholar] [CrossRef]
- Ochieng, A.O.; Megahed, T.F.; Ookawara, S.; Hassan, H. Comprehensive review in waste heat recovery in different thermal energy-consuming processes using thermoelectric generators for electrical power generation. Process Saf. Environ. Prot. 2022, 162, 134–154. [Google Scholar] [CrossRef]
- Wang, Y.; Yang, H.; Xu, K. Comparative environmental impacts and emission reductions of introducing the novel organic Rankine & Kalina cycles to recover waste heat for a roller kiln. Appl. Therm. Eng. 2021, 190, 116821. [Google Scholar] [CrossRef]
- Kalan, A.S.; Ghiasirad, H.; Saray, R.K.; Mirmasoumi, S. Thermo-economic evaluation and multi-objective optimization of a waste heat driven combined cooling and power system based on a modified Kalina cycle. Energy Convers. Manag. 2021, 247, 114723. [Google Scholar] [CrossRef]
- Singh, A.; Das, R. A novel combined power and cooling cycle design and a modified conditional exergy destruction approach. Energy Convers. Manag. 2021, 233, 113943. [Google Scholar] [CrossRef]
- Kumar, A.; Rakshit, D. A critical review on waste heat recovery utilization with special focus on Organic Rankine Cycle applications. Clean. Eng. Technol. 2021, 5, 100292. [Google Scholar] [CrossRef]
- Köse, Ö.; Koç, Y.; Yağlı, H. Is Kalina cycle or organic Rankine cycle for industrial waste heat recovery applications? A detailed performance, economic and environment based comprehensive analysis. Process Saf. Environ. Prot. 2022, 163, 421–437. [Google Scholar] [CrossRef]
- Akimoto, R.; Yamaki, T.; Nakaiwa, M.; Matsuda, K. Evaluation of a power generation system that integrates multiple Kalina cycles and absorption heat pumps. Case Stud. Therm. Eng. 2021, 28, 101363. [Google Scholar] [CrossRef]
- Aksar, M.; Yağlı, H.; Koç, Y.; Koç, A.; Sohani, A.; Yumrutaş, R. Why Kalina (Ammonia-Water) cycle rather than steam Rankine cycle and pure ammonia cycle: A comparative and comprehensive case study for a cogeneration system. Energy Convers. Manag. 2022, 265, 115739. [Google Scholar] [CrossRef]
- Marshall, Z.; Duquette, J. A techno-economic evaluation of low global warming potential heat pump assisted organic Rankine cycle systems for data center waste heat recovery. Energy 2022, 242, 122528. [Google Scholar] [CrossRef]
- Liu, Z.; Xie, N.; Yang, S. Thermodynamic and parametric analysis of a coupled LiBr/H2O absorption chiller/Kalina cycle for cascade utilization of low-grade waste heat. Energy Convers. Manag. 2020, 205, 112370. [Google Scholar] [CrossRef]
- Cao, L.; Wang, J.; Wang, H.; Zhao, P.; Dai, Y. Thermodynamic analysis of a Kalina-based combined cooling and power cycle driven by low-grade heat source. Appl. Therm. Eng. 2017, 111, 8–19. [Google Scholar] [CrossRef]
- Wang, J.; Wang, J.; Zhao, P.; Dai, Y. Thermodynamic analysis of a new combined cooling and power system using ammonia–water mixture. Energy Convers. Manag. 2016, 117, 335–342. [Google Scholar] [CrossRef]
- Padilla, R.V.; Demirkaya, G.; Goswami, D.Y.; Stefanakos, E.; Rahman, M.M. Analysis of power and cooling cogeneration using ammonia-water mixture. Energy 2010, 35, 4649–4657. [Google Scholar] [CrossRef]
- Zare, V.; Mahmoudi, S.; Yari, M.; Amidpour, M. Thermoeconomic analysis and optimization of an ammonia–water pow-er/cooling cogeneration cycle. Energy 2012, 47, 271–283. [Google Scholar] [CrossRef]
- Xu, F.; Goswami, D.Y.; Bhagwat, S.S. A combined power/cooling cycle. Energy 2000, 25, 233–246. [Google Scholar] [CrossRef]
- Demirkaya, G.; Padilla, R.V.; Goswami, D.Y.; Stefanakos, E.; Rahman, M.M. Analysis of a combined power and cooling cycle for low-grade heat sources. Int. J. Energy Res. 2010, 35, 1145–1157. [Google Scholar] [CrossRef]
- Chakravarty, K.H.; Sadi, M.; Chakravarty, H.; Alsagri, A.S.; Howard, T.J.; Arabkoohsar, A. A review on integration of renewable energy processes in vapor absorption chiller for sustainable cooling. Sustain. Energy Technol. Assess. 2022, 50, 101822. [Google Scholar] [CrossRef]
- Magallanes, J.A.H.; Heard, C.; Best, R.; Rivera, W. Modeling of a new absorption heat pump-transformer used to produce heat and power simultaneously. Energy 2018, 165, 112–133. [Google Scholar] [CrossRef]
- Hernández-Magallanes, J.A.; Tututi-Avila, S.; Cerdán-Pasarán, A.; Morales, L.; Rivera, W. Thermodynamic simulation of an absorption heat pump-transformer-power cycle operating with the ammonia-water mixture. Appl. Therm. Eng. 2021, 182, 116174. [Google Scholar] [CrossRef]
- Allouhi, A.; Kousksou, T.; Jamil, A.; Bruel, P.; Mourad, Y.; Zeraouli, Y. Solar driven cooling systems: An updated review. Renew. Sustain. Energy Rev. 2015, 44, 159–181. [Google Scholar] [CrossRef]
- Hernández-Magallanes, J.A. Desarrollo y Evaluación de un Sistema de Enfriamiento Solar Tipo Vertical Operando con la Mezcla Nitrato de Litio-Amoniaco. Ph.D. Thesis, Universidad Nacional Autónoma de México, Mexico City, Mexico, 2017. [Google Scholar]
- Bahador, B. Process Integration of Absorption Heat Pumps. Ph.D. Thesis, Universidad de Montreal, Montréal, QC, Canada, 2009. [Google Scholar]
- Espinosa, F.C. Diseño de un enfriador con el sistema de absorción Agua/Bromuro de litio operando con energía solar. Master’s Thesis, Instituto Tecnológico y de Estudios Superiores de Monterrey, Monterrey, Mexico, 2007. [Google Scholar]
- Herold, K.E.; Radermacher, R.; Klein, S.A. Absorption Chillers and Heat Pumps, 2nd ed.; CRC Press: Boca Raton, FL, USA, 2016. [Google Scholar]
- Panahizadeh, F.; Bozorgan, N. The energy and exergy analysis of single effect absorption chiller. Int. J. Adv. Des. Manuf. Technol. 2011, 4, 19–26. [Google Scholar]
- Magallanes, J.A.H.; Rivera, W.; Coronas, A. Comparison of single and double stage absorption and resorption heat transformers operating with the ammonia-lithium nitrate mixture. Appl. Therm. Eng. 2017, 125, 53–68. [Google Scholar] [CrossRef]
- Nellis, G.F.; Klein, S.A. Engineering Equation Solver (EES); F-Chart Software: Madison, WI, USA, 2020. [Google Scholar]
- Jing, X.; Zheng, D. Effect of cycle coupling-configuration on energy cascade utilization for a new power and cooling cogeneration cycle. Energy Convers. Manag. 2014, 78, 58–64. [Google Scholar] [CrossRef]
- Rashidi, J.; Ifaei, P.; Esfahani, I.J.; Ataei, A.; Yoo, C.K. Thermodynamic and economic studies of two new high efficient power-cooling cogeneration systems based on Kalina and absorption refrigeration cycles. Energy Convers. Manag. 2016, 127, 170–186. [Google Scholar] [CrossRef]
- He, J.; Liu, C.; Xu, X.; Li, Y.; Wu, S.; Xu, J. Performance research on modified KCS (Kalina cycle system) 11 without throttle valve. Energy 2014, 64, 389–397. [Google Scholar] [CrossRef]








| Operating Parameters | Range | Unit | 
|---|---|---|
| Condenser temperature (TC) | 30 | °C | 
| Evaporator and low-pressure generator temperature (TE–TGL) | 70 | °C | 
| High-pressure generator temperature (TGH) | 100–160 | °C | 
| Low pressure (PL) | 4.3 | kPa | 
| Medium pressure (PM) | 31.2 | kPa | 
| Pressure ratio (RP = PH/PM) | 1.1–15 | - | 
| ) | 1 | kg/s | 
| Thermodynamic State | Ti [°C] | Pi [kPa] | Xi [-] | hi [kJ/kg] | mi [kg/s] | [-] | [-] | GTL [°C] | ||
|---|---|---|---|---|---|---|---|---|---|---|
| 1 | 70.0 | 4.2 | 0.583 | 167.4 | 19.9 | 265 | 4762 | 0.509 | 0.865 | 40 | 
| 2 | 70.0 | 31.2 | 0.583 | 167.5 | 19.9 | |||||
| 3 | 100.9 | 31.2 | 0.583 | 229.6 | 19.9 | |||||
| 4 | 110.0 | 31.2 | 0.556 | 241.7 | 20.9 | |||||
| 5 | 82.0 | 31.2 | 0.556 | 182.6 | 20.9 | |||||
| 6 | 64.2 | 4.2 | 0.556 | 182.6 | 20.9 | |||||
| 7 | 70.0 | 4.2 | 0 | 2631.0 | 1 | |||||
| 8 | 30.0 | 4.2 | 0 | 125.7 | 2 | |||||
| 9 | 30.0 | 31.2 | 0 | 125.7 | 2 | |||||
| 10 | 70.0 | 31.2 | 0 | 2626.0 | 2 | |||||
| 11 | 110.0 | 31.2 | 0.556 | 241.7 | 17.9 | |||||
| 12 | 110.0 | 34.3 | 0.556 | 241.7 | 17.9 | |||||
| 13 | 116.3 | 34.3 | 0.556 | 255.2 | 17.9 | |||||
| 14 | 120.0 | 34.3 | 0.589 | 270.0 | 16.9 | |||||
| 15 | 113.0 | 34.3 | 0.589 | 255.7 | 16.9 | |||||
| 16 | 117.4 | 31.2 | 0.589 | 255.7 | 16.9 | |||||
| 17 | 120.0 | 34.3 | 0 | 2723.0 | 1 | |||||
| 18 | 30.0 | 4.2 | 0 | 2457.0 | 1 | 
| Publisher’s Note: MDPI stays neutral with regard to jurisdictional claims in published maps and institutional affiliations. | 
© 2022 by the authors. Licensee MDPI, Basel, Switzerland. This article is an open access article distributed under the terms and conditions of the Creative Commons Attribution (CC BY) license (https://creativecommons.org/licenses/by/4.0/).
Share and Cite
Hernández-Magallanes, J.A.; Domínguez-Inzunza, L.A.; Lugo-Loredo, S.; Sanal, K.C.; Cerdán-Pasarán, A.; Tututi-Avila, S.; Morales, L.I. Energy and Exergy Analysis of a Modified Absorption Heat Pump (MAHP) to Produce Electrical Energy and Revaluated Heat. Processes 2022, 10, 1567. https://doi.org/10.3390/pr10081567
Hernández-Magallanes JA, Domínguez-Inzunza LA, Lugo-Loredo S, Sanal KC, Cerdán-Pasarán A, Tututi-Avila S, Morales LI. Energy and Exergy Analysis of a Modified Absorption Heat Pump (MAHP) to Produce Electrical Energy and Revaluated Heat. Processes. 2022; 10(8):1567. https://doi.org/10.3390/pr10081567
Chicago/Turabian StyleHernández-Magallanes, Javier Alejandro, L. A. Domínguez-Inzunza, Shadai Lugo-Loredo, K. C. Sanal, Andrea Cerdán-Pasarán, Salvador Tututi-Avila, and L. I. Morales. 2022. "Energy and Exergy Analysis of a Modified Absorption Heat Pump (MAHP) to Produce Electrical Energy and Revaluated Heat" Processes 10, no. 8: 1567. https://doi.org/10.3390/pr10081567
APA StyleHernández-Magallanes, J. A., Domínguez-Inzunza, L. A., Lugo-Loredo, S., Sanal, K. C., Cerdán-Pasarán, A., Tututi-Avila, S., & Morales, L. I. (2022). Energy and Exergy Analysis of a Modified Absorption Heat Pump (MAHP) to Produce Electrical Energy and Revaluated Heat. Processes, 10(8), 1567. https://doi.org/10.3390/pr10081567
 
         
                                                



 
       