Optimization of a Green Extraction of Polyphenols from Sweet Cherry (Prunus avium L.) Pulp
Abstract
:1. Introduction
2. Materials and Methods
2.1. Plant Materials
2.2. Chemicals
2.3. Ultrasound-Assisted Extraction of Polyphenols from Cherries
2.4. HPLC-DAD Analysis
2.5. Experimental Design and Statistical Analyses
3. Results and Discussion
3.1. HPLC-DAD Identification of Polyphenols in Cherry Pulp Extract
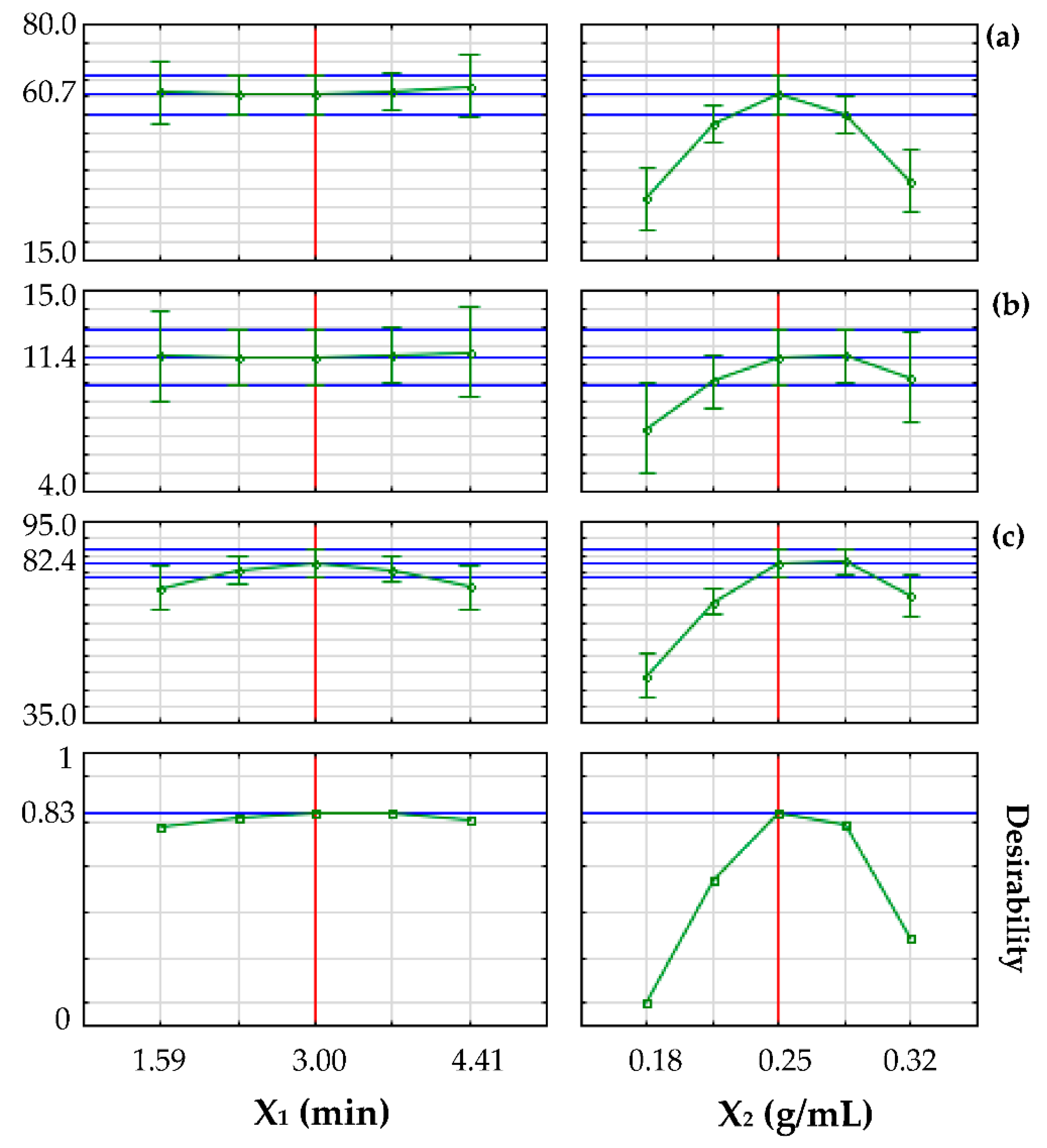
3.2. Optimization of UAE Conditions by CCD-RSM
3.3. Validation Experiments
4. Conclusions
Supplementary Materials
Author Contributions
Funding
Institutional Review Board Statement
Informed Consent Statement
Conflicts of Interest
References
- Gonçalves, A.C.; Bento, C.; Silva, B.; Simões, M.; Silva, L.R. Nutrients, bioactive Compounds and Bioactivity: The Health Benefits of Sweet Cherries (Prunus avium L.). Curr. Nutr. Food Sci. 2019, 15, 208–227. [Google Scholar] [CrossRef]
- Nunes, A.R.; Gonçalves, A.C.; Falcão, A.; Alves, G.; Silva, L.R. Prunus avium L.(Sweet Cherry) By-Products: A Source of Phenolic Compounds with Antioxidant and Anti-Hyperglycemic Properties—A Review. Appl. Sci. 2021, 11, 8516. [Google Scholar] [CrossRef]
- Domínguez-Rodríguez, G.; Marina, M.L.; Plaza, M. Enzyme-assisted extraction of bioactive non-extractable polyphenols from sweet cherry (Prunus avium L.) pomace. Food Chem. 2021, 339, 128086. [Google Scholar] [CrossRef]
- Crupi, P.; Genghi, R.; Antonacci, D. In-time and in-space tandem mass spectrometry to determine the metabolic profiling of flavonoids in a typical sweet cherry (Prunus avium L.) cultivar from Southern Italy. J. Mass Spectrom. 2014, 49, 1025–1034. [Google Scholar] [CrossRef] [PubMed]
- Crupi, P.; Bleve, G.; Tufariello, M.; Corbo, F.; Clodoveo, M.L.; Tarricone, L. Comprehensive identification and quantification of chlorogenic acids in sweet cherry by tandem mass spectrometry techniques. J. Food Comp. Anal. 2018, 73, 103–111. [Google Scholar] [CrossRef]
- Corbo, F.; Brunetti, G.; Crupi, P.; Bortolotti, S.; Storlino, G.; Piacente, L.; Carocci, A.; Catalano, A.; Milani, G.; Colaianni, G.; et al. Effects of Sweet Cherry Polyphenols on Enhanced Osteoclastogenesis Associated With Childhood Obesity. Front. Immunol. 2019, 10, 1001. [Google Scholar] [CrossRef]
- Agulló-Chazarra, L.; Borrás-Linares, I.; Lozano-Sánchez, J.; Segura-Carretero, A.; Micol, V.; Herranz-López, M.; Barrajón-Catalán, E. Sweet cherry byproducts processed by green extraction techniques as a source of bioactive compounds with antiaging properties. Antioxidants 2020, 9, 418. [Google Scholar] [CrossRef]
- Jha, A.K.; Sit, N. Extraction of bioactive compounds from plant materials using combination of various novel methods: A review. Trends Food Sci. Technol. 2022, 119, 579–591. [Google Scholar] [CrossRef]
- Kashyap, P.; Riar, C.S.; Jindal, N. Effect of extraction methods and simulated in vitro gastrointestinal digestion on phenolic compound profile, bio-accessibility, and antioxidant activity of Meghalayan cherry (Prunus nepalensis) pomace extracts. LWT Food Sci. Technol. 2022, 153, 112570. [Google Scholar] [CrossRef]
- Naviglio, D.; Scarano, P.; Ciaravolo, M.; Gallo, M. Rapid Solid-Liquid Dynamic Extraction (RSLDE): A powerful and greener alternative to the latest solid-liquid extraction techniques. Foods 2019, 8, 245. [Google Scholar] [CrossRef] [Green Version]
- Chemat, F.; Abert-Vian, M.; Fabiano-Tixier, A.S.; Strube, J.; Uhlenbrock, L.; Gunjevic, V.; Cravotto, G. Green extraction of natural products. Origins, current status, and future challenges. TrAC Trends Anal. Chem. 2019, 118, 248–263. [Google Scholar] [CrossRef]
- Chemat, F.; Abert Vian, M.; Ravi, H.K.; Khadhraoui, B.; Hilali, S.; Perino, S.; Fabiano Tixier, A.S. Review of alternative solvents for green extraction of food and natural products: Panorama, principles, applications and prospects. Molecules 2019, 24, 3007. [Google Scholar] [CrossRef] [PubMed] [Green Version]
- Crupi, P.; Dipalmo, T.; Clodoveo, M.L.; Toci, A.T.; Coletta, A. Seedless table grape residues as a source of polyphenols: Comparison and optimization of non-conventional extraction techniques. Eur. Food Res. Technol. 2018, 244, 1091–1100. [Google Scholar] [CrossRef]
- Clodoveo, M.L.; Crupi, P.; Muraglia, M.; Corbo, F. Ultrasound Assisted Extraction of Polyphenols from Ripe Carob Pods (Ceratonia siliqua L.): Combined Designs for Screening and Optimizing the Processing Parameters. Foods 2022, 11, 284. [Google Scholar] [CrossRef] [PubMed]
- Chemat, F.; Vian, M.A.; Cravotto, G. Green extraction of natural products: Concept and principles. Int. J. Mol. Sci. 2012, 13, 8615–8627. [Google Scholar] [CrossRef] [PubMed] [Green Version]
- Kumar, K.; Srivastav, S.; Sharanagat, V.S. Ultrasound assisted extraction (UAE) of bioactive compounds from fruit and vegetable processing by-products: A review. Ultrason. Sonochem. 2021, 70, 105325. [Google Scholar] [CrossRef]
- Da Porto, C.; Natolino, A. Extraction kinetic modelling of total polyphenols and total anthocyanins from saffron floral bio-residues: Comparison of extraction methods. Food Chem. 2018, 258, 137–143. [Google Scholar] [CrossRef]
- Blackhall, M.L.; Berry, R.; Davies, N.W.; Walls, J.T. Optimized extraction of anthocyanins from Reid Fruits’ Prunus avium ‘Lapins’ cherries. Food Chem. 2018, 256, 280–285. [Google Scholar] [CrossRef]
- Clodoveo, M.L.; Crupi, P.; Muraglia, M.; Corbo, F. Processing of Carob Kernels to Syrup by Ultrasound-Assisted Extraction. Processes 2022, 10, 983. [Google Scholar] [CrossRef]
- Iglesias-Carres, L.; Mas-Capdevila, A.; Bravo, F.I.; Mulero, M.; Muguerza, B.; Arola-Arnal, A. Optimization and characterization of Royal Dawn cherry (Prunus avium) phenolics extraction. Sci. Rep. 2019, 9, 17626. [Google Scholar] [CrossRef] [Green Version]
- De Leo, M.; Iannuzzi, A.M.; Germanò, M.P.; D’Angelo, V.; Camangi, F.; Sevi, F.; Diretto, G.; De Tommasi, N.; Braca, A. Comparative chemical analysis of six ancient italian sweet cherry (Prunus avium L.) varieties showing antiangiogenic activity. Food Chem. 2021, 360, 129999. [Google Scholar] [CrossRef] [PubMed]
- Singh, A.P.; Wilson, T.; Luthria, D.; Freeman, M.R.; Scott, R.M.; Bilenker, D.; Shah, S.; Somasundaram, S.; Vorsa, N. LC-MS–MS characterisation of curry leaf flavonols and antioxidant activity. Food Chem. 2011, 127, 80–85. [Google Scholar] [CrossRef]
- Ranjha, M.M.A.; Irfan, S.; Lorenzo, J.M.; Shafique, B.; Kanwal, R.; Pateiro, M.; Arshad, R.N.; Wang, L.; Nayik, G.A.; Roobab, U.; et al. Sonication, a potential technique for extraction of phytoconstituents: A systematic review. Processes 2021, 9, 1406. [Google Scholar] [CrossRef]
- Dumitraşcu, L.; Enachi, E.; Stănciuc, N.; Aprodu, I. Optimization of ultrasound assisted extraction of phenolic compounds from cornelian cherry fruits using response surface methodology. CyTA J. Food 2019, 17, 814–823. [Google Scholar] [CrossRef]
- Yılmaz, F.M.; Karaaslan, M.; Vardin, H. Optimization of extraction parameters on the isolation of phenolic compounds from sour cherry (Prunus cerasus L.) pomace. J. Food Sci. Technol. 2015, 52, 2851–2859. [Google Scholar] [CrossRef] [PubMed] [Green Version]
- Borges, G.D.S.C.; Vieira, F.G.K.; Copetti, C.; Gonzaga, L.V.; Fett, R. Optimization of the extraction of flavanols and anthocyanins from the fruit pulp of Euterpe edulis using the response surface methodology. Food Res. Int. 2011, 44, 708–715. [Google Scholar] [CrossRef]
- Kelley, D.S.; Adkins, Y.; Laugero, K.D. A review of the health benefits of cherries. Nutrients 2018, 10, 368. [Google Scholar] [CrossRef] [Green Version]





| Experiments | X1 (min) | X2 (g/mL) | Cyanidin-3-O-Rutinoside (µg/mL) | Quercetin-3-O-Rutinoside (µg/mL) | trans-3-O-Coumaroylquinic Acid (µg/mL) |
|---|---|---|---|---|---|
| 6 a | 4.41 | 0.25 | 61.8 | 10.9 | 79.3 |
| 3 b | 4.00 | 0.20 | 49.2 | 10.2 | 57.2 |
| 11 (C) c | 3.00 | 0.25 | 61.9 | 10.7 | 79.8 |
| 10 (C) c | 3.00 | 0.25 | 64.2 | 12.7 | 85.4 |
| 4 b | 4.00 | 0.30 | 49.7 | 11.6 | 73.3 |
| 12 (C) c | 3.00 | 0.25 | 56.1 | 10.6 | 80.7 |
| 5 a | 1.59 | 0.25 | 64.6 | 11.3 | 75.7 |
| 1 b | 2.00 | 0.20 | 37.5 | 8.2 | 54.6 |
| 9 (C) c | 3.00 | 0.25 | 60.6 | 11.5 | 83.6 |
| 2 b | 2.00 | 0.30 | 53.0 | 12.5 | 79.8 |
| 7 a | 3.00 | 0.18 | 36.2 | 7.6 | 53.8 |
| 8 a | 3.00 | 0.32 | 34.7 | 9.2 | 72.4 |
| Compound | Equation | R2 a | R2adj b | Lack of Fit (p c) |
|---|---|---|---|---|
| Cyanidin-3-O-rutinoside | −327.29 d + 2885.25 e X2 − 5220.75X22 | 0.9249 | 0.8624 | 0.3002 |
| Quercetin-3-O-rutinoside | −35.43 + 315.93X2 − 505.70X22 | 0.7713 | 0.5806 | 0.4497 |
| trans-3-O-coumaroylquinic acid | −291.93 + 32.23X1 − 3.45X12 + 2486.85X2 − 4262.75X22 | 0.9354 | 0.8815 | 0.1616 |
| Compound | Experimental | Predicted | p |
|---|---|---|---|
| Cyanidin-3-O-rutinoside | 51 ± 9 | 60.7 | 0.228 |
| Quercetin-3-O-rutinoside | 8.5 ± 1.5 | 11.4 | 0.079 |
| trans-3-O-coumaroylquinic acid | 72 ± 10 | 82.4 | 0.213 |
Publisher’s Note: MDPI stays neutral with regard to jurisdictional claims in published maps and institutional affiliations. |
© 2022 by the authors. Licensee MDPI, Basel, Switzerland. This article is an open access article distributed under the terms and conditions of the Creative Commons Attribution (CC BY) license (https://creativecommons.org/licenses/by/4.0/).
Share and Cite
Clodoveo, M.L.; Crupi, P.; Corbo, F. Optimization of a Green Extraction of Polyphenols from Sweet Cherry (Prunus avium L.) Pulp. Processes 2022, 10, 1657. https://doi.org/10.3390/pr10081657
Clodoveo ML, Crupi P, Corbo F. Optimization of a Green Extraction of Polyphenols from Sweet Cherry (Prunus avium L.) Pulp. Processes. 2022; 10(8):1657. https://doi.org/10.3390/pr10081657
Chicago/Turabian StyleClodoveo, Maria Lisa, Pasquale Crupi, and Filomena Corbo. 2022. "Optimization of a Green Extraction of Polyphenols from Sweet Cherry (Prunus avium L.) Pulp" Processes 10, no. 8: 1657. https://doi.org/10.3390/pr10081657
APA StyleClodoveo, M. L., Crupi, P., & Corbo, F. (2022). Optimization of a Green Extraction of Polyphenols from Sweet Cherry (Prunus avium L.) Pulp. Processes, 10(8), 1657. https://doi.org/10.3390/pr10081657
