Synthesis and Mechanism Study of Temperature- and Salt-Resistant Amphoteric Polyacrylamide with MAPTAC and DTAB as Monomers
Abstract
:1. Introduction
2. Methodology
2.1. Materials
2.2. Experimental Setup and Procedure
2.2.1. Synthesis and Characterization of Thickener
2.2.2. Determination of Viscosity Average Molecular Weight Mw
2.2.3. Rheological Test and Viscosity Test of Thickener Aqueous Solution
3. Results and Discussion
3.1. Characterization and Mechanism of the Product
3.1.1. Synthesis Results and Characterization
3.1.2. Study on Synthesis Mechanism
3.2. Evaluation and Mechanism of Temperature Resistance
- Hydrogen bonding [24]. There are N atoms and O atoms with large electronegativity in NaAMPS, NVP and DTAB introduced by polymer molecules, which form hydrogen bonds with H atoms in the system, thus increasing the viscoelasticity of polymer solutions.
- The strong electrostatic repulsion (anion) effect of the added -SO3 ion group makes the sulfonate polymer have high hydration ability, which can enhance the steric hindrance of the polymer straight chain, play a major role in the increase of the hydraulic radius, and improve the temperature stability of the polymer solution.
- Hydrophobic association [16]. Dodecyl ammonium bromide was introduced into the polymer, and the hydrophobic long chain formed a hydrophobic micro-region in the aqueous solution, which significantly increased the viscoelasticity of the polymer aqueous solution. For this kind of polymer, even if the molecular chain breaks during aging at high temperature, the existence of a steric hindrance effect of rigid groups makes the molecular chain movement resistance larger. The introduction of halogen and methyl increases the rigidity of the hydrophobic chain, making the hydrophobic carbon chain not easy to curl, which is conducive to the formation of intermolecular hydrophobic association structure. At the same time, this structure can shield the influence of some ions on the amide group, so as to improve the temperature resistance of the polymer.
- Performance differences with other polymers. GTY−1 and GTY−2 polymers are quaternary polymers. The more monomers are added, the higher the total mass concentration of the material, the larger the molecular weight of the corresponding polymer, and the better the tackifying effect. The added raw materials include temperature-resistant monomers such as NVP, AMPS, DTAB and MAPTAC. The number of temperature-resistant groups contained in quaternary polymers GTY−1 and GTY−2 is higher than that of other polymers, and the strength of the spatial network structure formed is greater. MAPTAC and DTAB are introduced into the molecule, which makes the molecule contain rigid chain structure and strong temperature resistance.
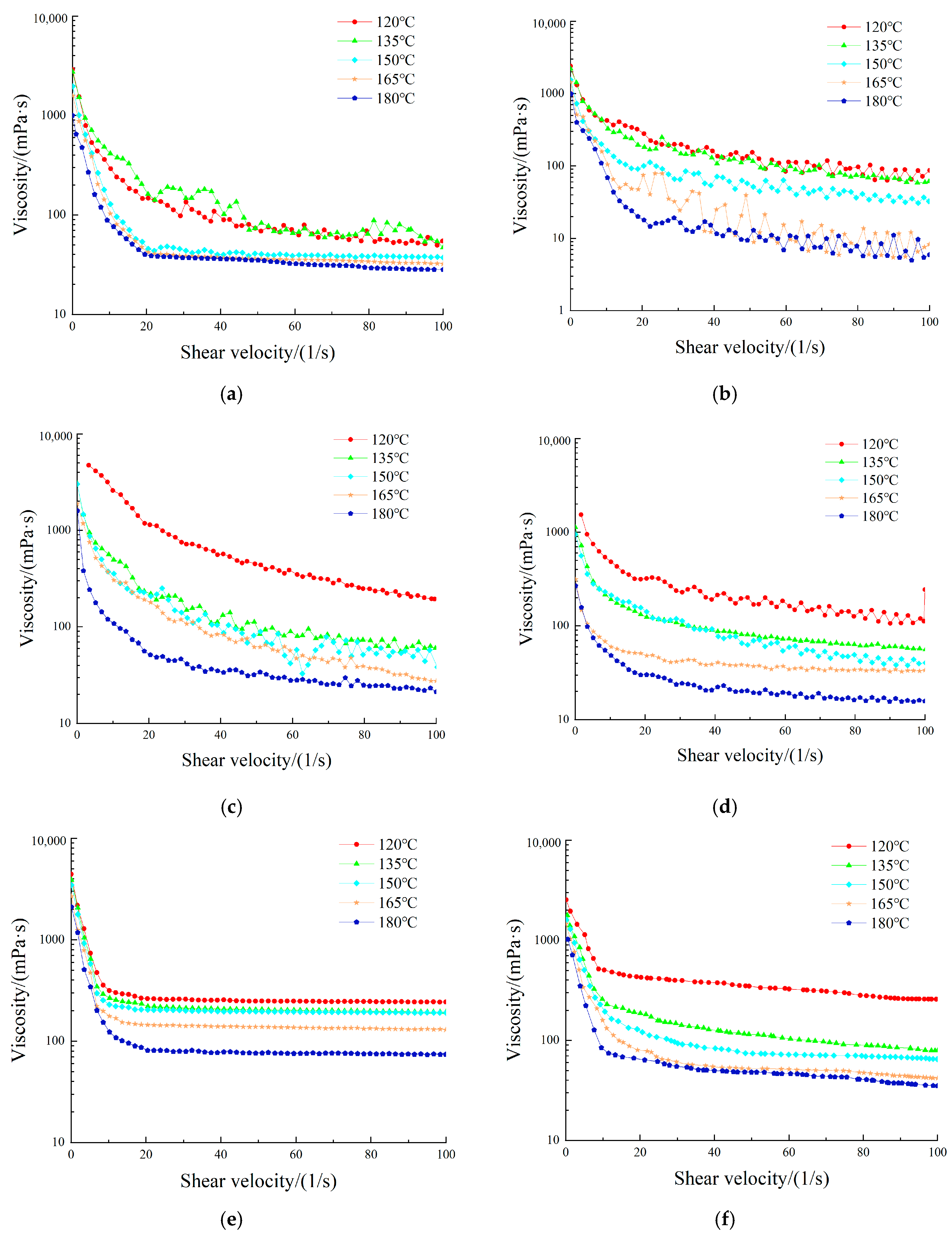
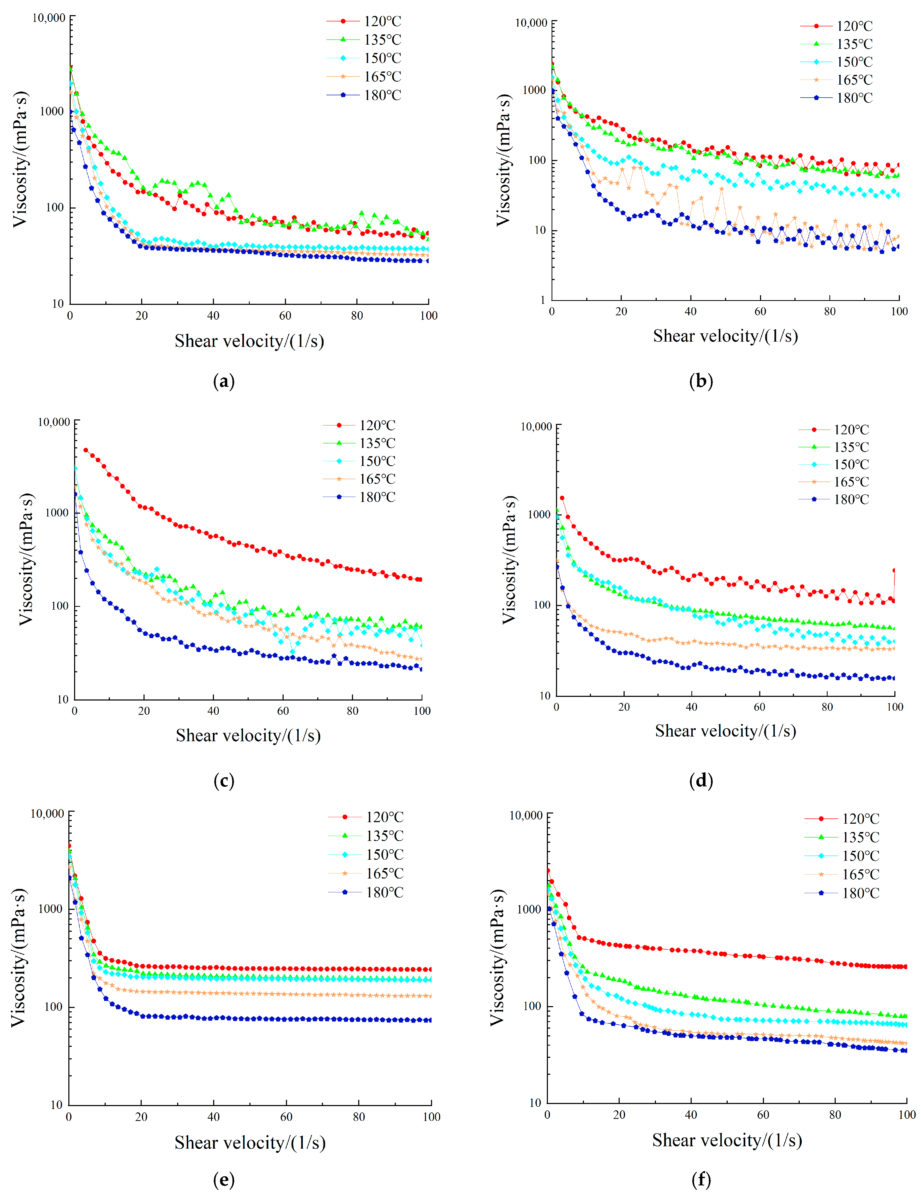
- NaAMPS is used in the synthesis of GTY−1 and GTY−2. Amps and NaAMPS are often used in the synthesis of high molecular polymers. The thickener was synthesized with both as raw materials. The results are shown in Figure 6a,b. It can be seen from the figure that the rheological properties of the No. 1 and No. 2 polymers have little difference. At 120 °C, 100 s−1, the viscosity is 54.69 mPa·s and 66.89 mPa·s, respectively; at 180 °C, 100 s−1, the viscosity is 8.11 mPa·s and 8.65 mPa·s, respectively. From the figure, it can be seen that at 120 °C, 100 s−1, the viscosity of the No. 1 and No. 2 polymers is 54.69 mPa·s and 66.89 mPa·s, respectively, and at 180 °C, 100 s−1, the viscosity is 8.11 mPa·s and 8.65 mPa·s, respectively. It can be seen that the rheological properties of polymers 1 and 2 are similar, and amps and NaAMPS as reaction raw materials have little effect on the properties of polymers. However, from the rheological comparison results of No. 4 and No. 6, the viscosities of the No. 4 and No. 6 polymers at 120 °C and 100 s−1 are 197 mPa·s and 258 mPa·s, respectively, and the viscosity of the No. 6 polymer is significantly higher than that of No. 4. The variables of the two are only amps and NaAMPS, but they are inconsistent with the results of No. 1 and No. 2, which is caused by the difference in molecular weight. The reason for the difference in molecular weight is the concentration. The reaction environment requires pH = 6, while amps is a strong acid, which needs to be adjusted by a certain amount of 40% NaOH solution, which will have a great impact on the material concentration in the solution.
- It can be seen from Figure 6c,d that the viscosity loss rates of polymer No. 4 are 50.05%, 63.92%, 69.94% and 85.94%, respectively, and the viscosity loss rates of polymer No. 3 are 68.96%, 80.22%, 85.77% and 89.05%, respectively. This shows that the temperature resistance of polymer No. 4 is higher than that of polymer No. 3. The molecular chain of DTAB is longer than that of MAPTAC, the side chain of the synthesized polymer molecule is also larger, and the molecular volume of the synthesized polymer is larger. At the same time, because DTAB belongs to quaternary ammonium salts, its structure is a typical surfactant amphiphilic structure [11], containing hydrophilic groups. Therefore, the molecular hydration film of polymer No. 4 is thicker, stronger and more temperature-resistant. The performance difference between GTY−1 and GTY−2 is due to MAPTAC and DTAB, resulting in the stronger temperature resistance of GTY−2 than GTY−1.
3.3. Evaluation and Mechanism of Acid and Salt Resistance
3.4. Evaluation and Mechanism of Shear Resistance
4. Conclusions
- (1)
- GTY−2 and GTY−1 have the highest molecular weight, 8.59 × 105 and 8.95 × 105, respectively.
- (2)
- At 180 °C and 100 s−1, the viscosity of GTY−2 is 181.52 mPa·s. The viscosity loss rate is 56.89%, and the temperature resistance is the best. GTY−1 has the second best temperature resistance, with a viscosity of 160.73 mPa·s and a viscosity loss rate of 60.70%.
- (3)
- GTY−1 and GTY−2 have the strongest acid and salt resistance. Due to the hydrophilicity of DTAB, the hydration membrane of the GTY−2 molecule is thicker than that of GTY−1, and the solution effect of H+ and metal ions in the aqueous solution of GTY−2 is better, which has a greater impact on the molecule. Therefore, the acid and salt resistance of GTY−2 is slightly weaker than that of GTY−1.
- (4)
- The introduction of methyl groups in the molecular chain enhances the polarity and rigidity of polymer molecules. With the good hydrophilicity of DTAB groups, a thick hydrated film is formed, which enhances the resistance to shear force. Therefore, GTY−2 has the strongest shear resistance, followed by GTY−1.
Author Contributions
Funding
Conflicts of Interest
References
- Wei, W.; Varavei, A.; Sanaei, A.; Sepehrnoori, K. Geochemical modeling of Wormhole propagation in carbonate acidizing considering Mineralogy heterogeneity. SPE J. 2019, 24, 2163–2181. [Google Scholar] [CrossRef]
- Xue, H.; Zhao, L.; Liu, P.; Cui, M. Simulation and analysis of wormhole propagation in carbonates through the use of models with different dimensions. Chem. Technol. Fuels Oils 2017, 53, 987. [Google Scholar] [CrossRef]
- Zhao, J.; Wang, Q.; Hu, Y.; Ren, L.; Zhao, C. Numerical investigation of shut-in time on stress evolution and tight oil production. J. Petrol. Sci. Eng. 2019, 179, 716–733. [Google Scholar] [CrossRef]
- Liu, Z.; Wang, S.; Zhao, H.; Wang, L.; Geng, Y.; Tao, S.; Zhang, G.; Chen, M. Effect of random natural fractures on hydraulic fracture propagation geometry in fractured carbonate rocks. Rock Mech. Rock Eng. 2017, 51, 491–511. [Google Scholar] [CrossRef]
- Lv, Y.X.; Wei, P.; Zhu, X.H.; Gan, Q.; Li, H.B. THMCD modeling of carbonate acdizing with HCl acid. J. Pet. Sci. Eng. 2021, 206, 108940. [Google Scholar] [CrossRef]
- Sui, Y.; Cao, G.; Guo, T.; Zhang, Z.; Bai, Y.; Wu, J.; Yao, L. Evaluation of deep penetration of high-temperature sustained-release acid based on the reaction kinetics and conductivity of acid-etched fractures. Case Stud. Therm. Eng. 2022, 38, 102336. [Google Scholar] [CrossRef]
- Sapale, P.; Bhadariya, V.; Rana, S.S.; Subbaiah, T.; Chavhan, M.V.; Kaur, P. Empirical study of Gum Ghatti as an alternative thickening agent in hydraulic fracturing. Petroleum 2021. [Google Scholar] [CrossRef]
- Min, P.; Dajun, C. Development of a cationic viscous acid. Drill. Fluid Completion Fluid 2007, 24, 50–52. [Google Scholar]
- Bai, J.; Tao, X.; Han, H.; Zhu, L.; Yang, C.; Zhai, X.; Guo, Z. Single-agent thickened acid for acid fracturing of carbonate reservoirs in the eastern area of Sulige Gas Field. Nat. Gas Ind. 2019, 39, 88–94. [Google Scholar]
- Zhang, Y.; Li, Z.; Liu, J.; Ye, J.; Bai, H. Study on a hydrophobically associating polymer viscosifier for fracturing fluids. Drill. Fluid Completion Fluid 2016, 33, 119–123. [Google Scholar]
- Wang, Z.; Fu, M.; Song, Q.; Wang, M.; Zhao, X.; Wang, Y. Preparation and Characteristic of Cross-linked Acid for High-temperature Acid Fracturing System of Deep Carbonate Reservoirs. Chem. Oilfield 2016, 33, 601–606. [Google Scholar]
- Liu, T.; Wang, M.; Chen, G.; Dai, X. Study on a New Temperature-controlled Variable Viscosity Acid. Drill. Fluid Completion Fluid 2019, 36, 109–114. [Google Scholar]
- Zhang, K.; Hou, B.; Chen, M.; Zhou, C.; Liu, F. Fatigue acid fracturing: A method to stimulate highly deviated and horizontal wells in limestone formation. J. Pet. Sci. Eng. 2022, 208, 109409. [Google Scholar] [CrossRef]
- Larry, E.; Dwyann, D.; Reddy, B.R. Development of associative polymer technology for acid diversion in sandstone and carbonate lithology. SPE Prod. Facil. 2005, 20, 250–256. [Google Scholar]
- Jin, L.; Shangguan, Y.; Ye, T.; Yang, H.; An, Q.; Zheng, Q. Shear induced self-thickening in chitosan-grafted polyacrylamide aqueous solution. Soft Matter 2013, 9, 1835–1843. [Google Scholar] [CrossRef]
- Gou, S.; Luo, S.; Liu, T.; Zhao, P.; He, Y.; Pan, Q.; Guo, Q. A novel water-soluble hydrophobically associating polyacrylamide based on oleic imidazoline and sulfonate for enhanced oil recovery. N. J. Chem. 2015, 39, 7805–7814. [Google Scholar] [CrossRef]
- Wu, Q.; Xu, Y.; Wang, X.; Wang, T.; Zhang, S. Volume fracturing technology of unconventional reservoirs: Connotation, optimization design and imple- mentation. Petrol. Explor. Dev. 2012, 39, 352–358. [Google Scholar] [CrossRef]
- Tian, H.; Quan, H.; Huang, Z. Investigation on rheological properties and thickening mechanism of a novel thickener based on hydrophobically associating water-soluble polymer during the acid rock reaction. J. Pet. Sci. Eng. 2020, 188, 106895. [Google Scholar] [CrossRef]
- Kai, C.; Yongli, L.; Dan, W.; Anhai, Z.; Tao, Y. Preparation and Structure-Properties Relationship of High-Temperature Synthetic Polymer-Based Fracturing Fluid. Chem. Eng. Oil Gas 2011, 40, 385–389. [Google Scholar]
- Zhang, X.; Lai, X.; Tang, M.; Wang, L.; Li, P.; Liu, W. Preparation and properties of temperature resistant and salt resistant emulsion fracturing fluid thickener. Appl. Chem. Ind. 2022, 51, 455–459. [Google Scholar]
- Prakash, C.; Achalpurkar, M.; Uppuluri, R. Evaluation of Fracturing Fluid for Extreme Temperture Applications. SPE 2015, 172726. [Google Scholar] [CrossRef]
- Wang, Z.; Zhou, C.; Ji, J.; An, L.; Shi, Y. Study on determination method of molecular weight of ultra high resolution polyacrylamide for oil displacement. China Pet. Chem. Ind. Stand. Qual. 2020, 40, 54–55. [Google Scholar]
- GB/T 17514-2017; Water Treatment Agents Anionic and Nonionic Polyacrylamide Beijing General Administration of quality supervision, inspection and Quarantine of the people’s Republic of China. China National Standardization Administration: Beijing, China, 2017.
- Sui, Y.; Cao, G.; Guo, T.; Li, Z.; Bai, Y.; Li, D.; Zhang, Z. Development of gelled acid system in high-temperature carbonate reservoirs. J. Pet. Sci. Eng. 2022, 216, 110836. [Google Scholar] [CrossRef]










| Bat Model | Name | CAS | Specifications (%) | Packing | Target | 
|---|---|---|---|---|---|
|  | (AM) Acrylamide | 76-06-1 | AR | 500 g | Molecular chain | 
|  | (AMPS) 2-Acrylamide-2-Methylpropanesulfonic Acid | 15214-89-8 | 98 | 100 g | Temperature and salt resistance | 
|  | (NaAMPS) Sodium 2-Acrylamide-2-Methylpropanesulfonate | 5165-97-9 | 50 wt | 25 mL | Temperature and salt resistance | 
|  | (NVP) N-Vinylpyrrolidone | 88-12-0 | 99 | 100 mL | Temperature resistance | 
|  | (MAPTAC) Methacrylamide propyl Trimethyl Ammonium Chloride | 51410-72-1 | 50 wt | 100 mL | Temperature resistance | 
|  | (DTAB) Dodecyl Trimethyl Ammonium Bromide | 1119-94-4 | 99 | 100 g | Temperature resistance | 
| (K2S2O8) Potassium Persulfate | 7727-21-1 | 99.5 | 100 g | Initiator | 
| Number | Raw Material | Mole Proportion | 
|---|---|---|
| 1 | AM, AMPS | 4:1 | 
| 2 | AM, NaAMPS | 4:1 | 
| 3 | AM, NaAMPS, MAPTAC | 4:1:0.1 | 
| 4 | AM, NaAMPS, DTAB | 4:1:0.1 | 
| 5 | AM, NaAMPS, NVP | 4:1:0.1 | 
| 6 | AM, AMPS, DTAB | 4:1:0.1 | 
| 7 (GTY−1) | AM, NaAMPS, NVP, MAPTAC | 4:1:0.1:0.1 | 
| 8 (GTY−2) | AM, NaAMPS, NVP, DTAB | 4:1:0.1:0.1 | 
| 9 | Commercial products (from Liaohe Oilfield Co., Ltd., Shenyang, China) | None | 
| Location (cm−1) | The Characteristic Absorption Peak | 
|---|---|
| 3429 | Free -NH2 | 
| 3216 | Associated -NH2 | 
| 2926 | Methylene antisymmetric stretching vibration | 
| 2850 | Methylene symmetric stretching vibration | 
| 1650 | Amide group | 
| 1620 | Amide II (N-H bending vibration) | 
| 1561 | The bending vibration of secondary amide N-H | 
| 1453 | Methylene deformation | 
| 1180 | Acyloxy group | 
| 1038 | Sulfonic acid group | 
| Polymer | Viscosity (mPa·s) | Loss Rate (%) | 
|---|---|---|
| GTY−1 | 181.52 | 58.26 | 
| GTY−2 | 170.73 | 56.89 | 
| Type | 1 | 2 | 3 | 4 | 5 | 6 | GTY−1 | GTY−2 | 
|---|---|---|---|---|---|---|---|---|
| 20% HCl | 94.36 | 92.94 | 90.86 | 91.58 | 85.59 | 91.56 | 84.90 | 85.89 | 
| 3200 mg/L Ca2+ | 86.67 | 84.88 | 81.82 | 82.02 | 80.46 | 83.12 | 81.78 | 82.36 | 
| 3200 mg/L Mg2+ | 87.26 | 86.28 | 81.80 | 84.45 | 81.16 | 84.76 | 81.20 | 81.91 | 
| 3200 mg/L Na+ | 75.69 | 73.29 | 69.68 | 72.03 | 72.89 | 72.45 | 68.53 | 71.03 | 
| Publisher’s Note: MDPI stays neutral with regard to jurisdictional claims in published maps and institutional affiliations. | 
© 2022 by the authors. Licensee MDPI, Basel, Switzerland. This article is an open access article distributed under the terms and conditions of the Creative Commons Attribution (CC BY) license (https://creativecommons.org/licenses/by/4.0/).
Share and Cite
Sui, Y.; Cao, G.; Guo, T.; Zhang, Z.; Zhang, Z.; Xiao, Z. Synthesis and Mechanism Study of Temperature- and Salt-Resistant Amphoteric Polyacrylamide with MAPTAC and DTAB as Monomers. Processes 2022, 10, 1666. https://doi.org/10.3390/pr10081666
Sui Y, Cao G, Guo T, Zhang Z, Zhang Z, Xiao Z. Synthesis and Mechanism Study of Temperature- and Salt-Resistant Amphoteric Polyacrylamide with MAPTAC and DTAB as Monomers. Processes. 2022; 10(8):1666. https://doi.org/10.3390/pr10081666
Chicago/Turabian StyleSui, Yu, Guangsheng Cao, Tianyue Guo, Zihang Zhang, Zhiqiu Zhang, and Zhongmin Xiao. 2022. "Synthesis and Mechanism Study of Temperature- and Salt-Resistant Amphoteric Polyacrylamide with MAPTAC and DTAB as Monomers" Processes 10, no. 8: 1666. https://doi.org/10.3390/pr10081666
APA StyleSui, Y., Cao, G., Guo, T., Zhang, Z., Zhang, Z., & Xiao, Z. (2022). Synthesis and Mechanism Study of Temperature- and Salt-Resistant Amphoteric Polyacrylamide with MAPTAC and DTAB as Monomers. Processes, 10(8), 1666. https://doi.org/10.3390/pr10081666
 
         
                                                



 
       