Investigations of Lithium-Ion Battery Thermal Management System with Hybrid PCM/Liquid Cooling Plate
Abstract
1. Introduction
2. Simulation Model
2.1. Battery Details
2.2. Thermal Behavior of the Battery
2.3. Model Analysis
2.4. Control Equation
2.5. Mesh Independent Verification
2.6. Scheme Validation
3. Results and Discussion
3.1. Impact of Battery Spacing
3.2. Impact of Battery to Cold Plate Spacing
3.3. Impact of Cold Plate Flow Layout
3.4. Impact of Mass Flow Rate
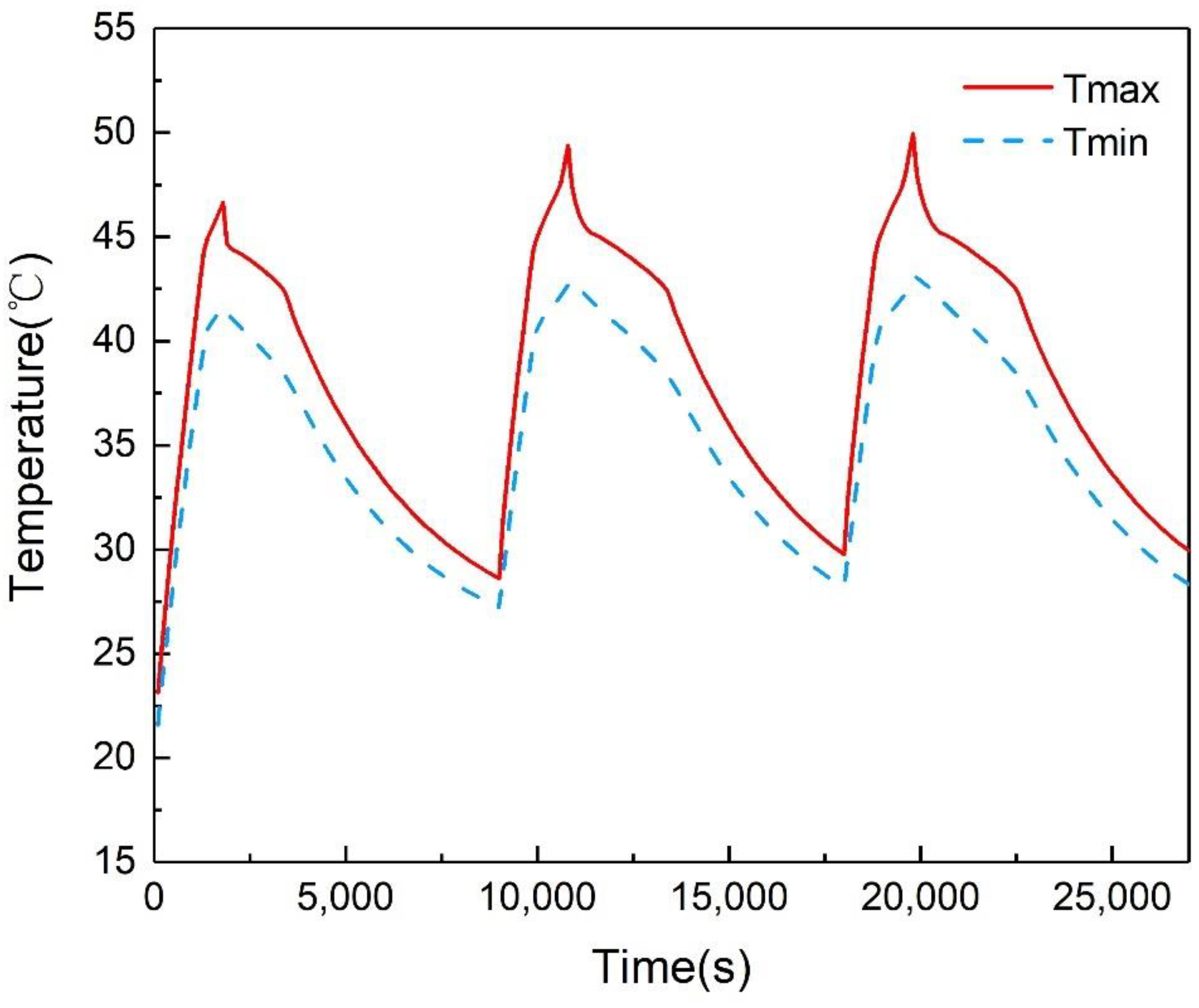
3.5. Thermal Performance of PCM/Liquid-Cooled Plates
4. Conclusions
Author Contributions
Funding
Institutional Review Board Statement
Informed Consent Statement
Data Availability Statement
Conflicts of Interest
Nomenclature
| E | Open-circuit voltage (V) |
| F | faraday constant |
| H | total enthalpy (J/kg) |
| h | heat transfer coefficient (W m−3·°C−1) |
| I | current per unit volume (A·m−3) |
| L | characteristic length (m) |
| P | static pressure (Pa) |
| L | latent heat of paraffin (J/kg) |
| heat generation rate (W) | |
| t | time (s) |
| T | static temperature (°C) |
| Tmax | maximum temperature (°C) |
| Tmin | minimum temperature (°C) |
| V | operating voltage (V) |
| average velocity (m·s−1) | |
| thermal conductivity (W/m·K) | |
| ∆S | entropy change (W °C−1) |
| ∆T | maximum temperature difference (°C) |
| Greek symbols | |
| density (kg·m−3) | |
| gradient operator | |
| γ | liquid fraction (%) |
| Subscripts | |
| B | battery |
| J | joule heat |
| max | maximum |
| min | minimum |
| p | polarization |
| r | reaction |
| m1, m2 | lower and upper limits of the PCM melting temperature, respectively |
| l | coolant |
| pcm | phase change material |
| ref | reference |
| Acronyms | |
| BTM | battery thermal management |
| PCM | phase change material |
| LCP | liquid cold plate |
References
- Masayoshi, W. Research and development of electric vehicles for clean transportation. J. Environ. Sci. 2009, 21, 745–749. [Google Scholar]
- Chen, J.; Kang, S.; E, J.; Huang, Z.; Wei, K.; Zhang, B.; Zhu, H.; Deng, Y.; Zhang, F.; Liao, G. Effects of different phase change material thermal management strategies on the cooling performance of the power lithium-ion batteries: A review. J. Power Sources 2019, 442, 227228. [Google Scholar] [CrossRef]
- Wan, H.; Xu, D.; Jia, G.; Mao, Z.; Gong, Y.; He, B.; Wang, R.; Fan, H.J. Integration of Flexibility, Cyclability and High-Capacity into one Electrode for Sodium-Ion Hybrid Capacitors with Low Self-Discharge Rate. Energy Storage Mater. 2019, 25, 114–123. [Google Scholar]
- Saw, L.H.; Ye, Y.; Tay, A. Electro-thermal analysis and integration issues of lithium-ion battery for electric vehicles. Appl. Energy 2014, 131, 97–107. [Google Scholar] [CrossRef]
- Wang, Q.; Ping, P.; Zhao, X.; Chu, G.; Sun, J.; Chen, C. ChemInform Abstract: Thermal Runaway Caused Fire and Explosion of Lithium Ion Battery. J. Power Sources 2012, 208, 210–224. [Google Scholar] [CrossRef]
- Sun, J.; Li, J.; Zhou, T.; Yang, K.; Wei, S.; Tang, N.; Dang, N.; Li, H.; Qiu, X.; Chen, L. Toxicity, a serious concern of thermal runaway from commercial Li-ion battery. Nano Energy 2016, 27, 313–319. [Google Scholar] [CrossRef]
- Senyshyn, A.; Mühlbauer, M.J.; Dolotko, O.; Ehrenberg, H. Low-temperature performance of Li-ion batteries: The behavior of lithiated graphite. J. Power Sources 2015, 282, 235–240. [Google Scholar] [CrossRef]
- Lv, Y.; Yang, X.; Li, X.; Zhang, G.; Wang, Z.; Yang, C. Experimental study on a novel battery thermal management technology based on low density polyethylene-enhanced composite phase change materials coupled with low fins. Appl. Energy 2016, 178, 376–382. [Google Scholar] [CrossRef]
- Liu, Y.; Zhang, J. Design a J-type air-based battery thermal management system through surrogate-based optimization. Appl. Energy 2019, 252, 113426. [Google Scholar] [CrossRef]
- Zhang, H.; Wu, X.; Wu, Q.; Xu, S. Experimental Investigation of Thermal Performance of Large-Sized Battery Module Using Hybrid PCM and Bottom Liquid Cooling Configuration. Appl. Therm. Eng. 2019, 159, 113968. [Google Scholar] [CrossRef]
- Tran, T.H.; Harmand, S.; Sahut, B. Experimental investigation on heat pipe cooling for Hybrid Electric Vehicle and Electric Vehicle lithium-ion battery. J. Power Sources 2014, 265, 262–272. [Google Scholar] [CrossRef]
- Yang, X.; Yang, P.; Zhang, Z.; Duan, Y.; Hu, J. Experimental and numerical study on thermal performance of Li(NixCoyMnz)O2 spiral-wound Lithium-ion batteries. Appl. Therm. Eng. 2018, 138, 446–455. [Google Scholar] [CrossRef]
- Murali, G.; Mayilsamy, K. Spiral phase-change material for enhancing natural circulation solar water heater: An experimental study. Exp. Heat Transf. 2016, 30, 151–161. [Google Scholar] [CrossRef]
- Kizilel, R.; Sabbah, R.; Selman, J.R.; Al-Hallaj, S. An alternative cooling system to enhance the safety of Li-ion battery packs. J. Power Sources 2009, 194, 1105–1112. [Google Scholar] [CrossRef]
- Chen, K.; Hou, J.; Song, M.; Wang, S.; Wu, W.; Zhang, Y. Design of battery thermal management system based on phase change material and heat pipe. Appl. Therm. Eng. 2021, 188, 116665. [Google Scholar] [CrossRef]
- Temel, U.N. Passive thermal management of a simulated battery pack at different climate conditions. Appl. Therm. Eng. 2019, 158, 113796. [Google Scholar] [CrossRef]
- Babapoor, A.; Azizi, M.; Karimi, G. Thermal management of a Li-ion battery using carbon fiber-PCM composites. Appl. Therm. Eng. 2015, 82, 281–290. [Google Scholar] [CrossRef]
- Sun, Z.; Fan, R.; Zheng, N. Thermal management of a simulated battery with the compound use of phase change material and fins: Experimental and numerical investigations. Int. J. Therm. Sci. 2021, 165, 106945. [Google Scholar] [CrossRef]
- Samimi, F.; Babapoor, A.; Azizi, M.; Karimi, G. Thermal management analysis of a Li-ion battery cell using phase change material loaded with carbon fibers. Energy 2016, 96, 355–371. [Google Scholar] [CrossRef]
- Zhou, H.; Zhou, F.; Wang, Q.; Ding, Y. Active cooling-based battery thermal management using composite phase change materials. Energy Procedia 2019, 158, 4933–4940. [Google Scholar] [CrossRef]
- Zhou, H.; Zhou, F.; Zhang, Q.; Wang, Q.; Song, Z. Thermal management of cylindrical Lithium-ion battery based on a liquid cooling method with half-helical duct. Appl. Therm. Eng. 2019, 162, 114257. [Google Scholar] [CrossRef]
- Chen, D.; Jiang, J.; Kim, G.-H.; Yang, C.; Pesaran, A. Comparison of different cooling methods for lithium-ion battery cells. Appl. Therm. Eng. 2016, 94, 846–854. [Google Scholar] [CrossRef]
- Wang, H.; Tao, T.; Xu, J.; Mei, X.; Liu, X.; Gou, P. Cooling capacity of a novel modular liquid-cooled battery thermal management system for cylindrical lithium-ion batteries. Appl. Therm. Eng. 2020, 178, 115591. [Google Scholar] [CrossRef]
- Monika, K.; Chakraborty, C.; Roy, S.; Dinda, S.; Singh, S.A.; Datta, S.P. An improved mini-channel based liquid cooling strategy of prismatic LiFePO4 batteries for electric or hybrid vehicles. J. Energy Storage 2021, 35, 102301. [Google Scholar] [CrossRef]
- Wiriyasart, S.; Hommalee, C.; Sirikasemsuk, S.; Prurapark, R.; Naphon, P. Thermal management system with nanofluids for electric vehicle battery cooling modules. Case Stud. Therm. Eng. 2020, 18, 100583. [Google Scholar] [CrossRef]
- Rui, L.; Chen, J.; Xun, J.; Jiao, K.; Du, Q. Numerical investigation of thermal behaviors in lithium-ion battery stack discharge. Appl. Energy 2014, 132, 288–297. [Google Scholar]
- Smith, K.; Wang, C.Y. Power and thermal characterization of a lithium-ion battery pack for hybrid-electric vehicles. J. Power Sources 2006, 160, 662–673. [Google Scholar] [CrossRef]
- Onda, K.; Ohshima, T.; Nakayama, M. Thermal behavior of small lithium-ion battery during rapid charge and discharge cycles. J. Power Sources 2006, 158, 535–542. [Google Scholar] [CrossRef]
- Lei, S.; Zhang, Z.; Lin, S.; Zhang, H.; Zhang, H.; Li, K.; Fang, Y.; Ye, W. A calibration calorimetry method to investigate the thermal characteristics of a cylindrical lithium-ion battery—SetcienceDirect. Int. J. Therm. Sci. 2021, 165. [Google Scholar]
- Chen, K.; Li, X. Accurate determination of battery discharge characteristics—A comparison between two battery temperature control methods. J. Power Sources 2014, 247, 961–966. [Google Scholar] [CrossRef]












| Parameters | Values |
|---|---|
| Height (mm) | 70 |
| Diameter (mm) | 21 |
| Density (kg/m−3) | 2560 |
| Heat Capacity (J/(kg⋅K)) | 1000 |
| Radial Thermal Conductivity (W/(m⋅K)) | 1 |
| Axial Thermal Conductivity (W/(m⋅K)) | 25 |
| Tangential Thermal Conductivity (W/(m⋅K)) | 25 |
| Parameters | Values |
|---|---|
| Thermal conductivity (W⋅m−2⋅K−1) | 16.6 |
| Latent heat (kJ⋅kg−1) | 123 |
| PCM melting range (°C) | 42–45 |
| Specific heat (kJ⋅kg−1⋅K−1) | 1.98 |
| Bulk density of composite (kg⋅m−3) | 789 |
| Density of liquid (kg⋅m−3) | 1071.11 |
| Specific heat of liquid (kJ⋅kg−1⋅K−1) | 3.281 |
| Thermal conductivity of liquid (W⋅m−1⋅K−1) | 0.384 |
| Viscosity of liquid (kg⋅m−1⋅s−1) | 0.00339 |
| Parameter | Design 1 | Design 2 | Design 3 | Design 4 |
|---|---|---|---|---|
| Tmax (°C) | 49.33 | 48.22 | 49.02 | 48.92 |
| ΔT (°C) | 1.98 | 3.05 | 4.64 | 4.26 |
| ΔP (pa) | 51.77 | 10.33 | 9.77 | 12.24 |
Disclaimer/Publisher’s Note: The statements, opinions and data contained in all publications are solely those of the individual author(s) and contributor(s) and not of MDPI and/or the editor(s). MDPI and/or the editor(s) disclaim responsibility for any injury to people or property resulting from any ideas, methods, instructions or products referred to in the content. |
© 2022 by the authors. Licensee MDPI, Basel, Switzerland. This article is an open access article distributed under the terms and conditions of the Creative Commons Attribution (CC BY) license (https://creativecommons.org/licenses/by/4.0/).
Share and Cite
Zhang, Y.; Fu, Q.; Liu, Y.; Lai, B.; Ke, Z.; Wu, W. Investigations of Lithium-Ion Battery Thermal Management System with Hybrid PCM/Liquid Cooling Plate. Processes 2023, 11, 57. https://doi.org/10.3390/pr11010057
Zhang Y, Fu Q, Liu Y, Lai B, Ke Z, Wu W. Investigations of Lithium-Ion Battery Thermal Management System with Hybrid PCM/Liquid Cooling Plate. Processes. 2023; 11(1):57. https://doi.org/10.3390/pr11010057
Chicago/Turabian StyleZhang, Ying, Qinwen Fu, Yao Liu, Bozhen Lai, Zhaoqing Ke, and Wei Wu. 2023. "Investigations of Lithium-Ion Battery Thermal Management System with Hybrid PCM/Liquid Cooling Plate" Processes 11, no. 1: 57. https://doi.org/10.3390/pr11010057
APA StyleZhang, Y., Fu, Q., Liu, Y., Lai, B., Ke, Z., & Wu, W. (2023). Investigations of Lithium-Ion Battery Thermal Management System with Hybrid PCM/Liquid Cooling Plate. Processes, 11(1), 57. https://doi.org/10.3390/pr11010057
