Abstract
The flow of nanoparticles has many dynamic applications in solar systems, the thermal sciences, heating and cooling mechanisms, energy-producing sources, and many other disciplines. Following invaluable applications and inspiration, the current study is carried out by focusing on the thermal efficiency of spherical nanoparticles of - in ethylene glycol through the non-Newtonian Maxwell fluid flow model. In the current analysis, the inclined stretching sheet equipped with suction effects is embedded in porous media, including the magnetohydrodynamics effects. The mathematical representation of the proposed problem is given a form in terms of partial differential equations. Then, this system is reduced to a system of ordinary differential equations by using appropriate similarity variable formulations. The obtained model is solved with bvp4c solver for the graphical and tabular aspects of the velocity field, the temperature field along with the skin friction coefficient, and the Nusselt number. The main outcomes of the results indicate that fluid velocity increases with increasing values for the angle of inclination, Maxwell fluid parameter, and suction parameter; however, the reverse process is seen for the porous medium parameter and magnetic field parameter. Moreover, the fluid temperature rises for augmenting values of the magnetic field parameter and porous medium parameter, whereas the opposite behavior is seen against the suction parameter. The present results are compared with the published ones and it is concluded that there is excellent agreement between them, which endorses the validity and accuracy of the current study.
1. Introduction
Conventional fluids, such as water and ethylene glycol, have low thermal conductivity values. Adding nanosized particles enhances the thermal properties of conventional fluids. Researchers are attempting to use nanofluids in various applications across practically all disciplines. The advanced types of nanofluids, known as hybrid nanofluids, are created by combining several substances in a base fluid of two distinct nanoparticles. In comparison with base fluids and nanofluids, hybrid nanofluids have better thermal properties. The thermal conductivity of nanofluids can be improved by adding nanoparticles; the first time that this term was used was by Choi and Eastman [1]. Choi [2] highlighted the significance of the thermal efficiency of nanofluids. He reported on a series of experiments that showed that nanofluids have a novel transport phenomenon. He basically emphasized the real-time applications of nanofluids. Turcu et al. [3] was possibly the first person to prepare hybrid nanofluids using carbon nanotubes (CNTs) and multiwall carbon nanotubes (MWCNTs) on magnetic ferro-oxide hybrid nanoparticles. Yeseen at al. [4] proposed the study of ternary hybrid nanofluid flow and heat transfer along flat plates, wedges, and cones. In this study, the authors considered gyrotactic microorganisms along with generalized heat and mass transfer laws. Kavya et al. [5] discussed non-Newtonian Williamson hybrid nanofluids past the stretching and shrinking cylinder. Kavya and his co-researchers considered the effects of the variable thermal conductivity, magnetic field, and transpiration. The thermophoretic particle deposition and solar radiation influence on carbon nanotube hybrid nanofluids at the stagnation point was studied Rasmesh et al. [6]. Wakif and Nehad [7] investigated magnetohydrodynamics and the chemical reaction effects on Von Karman nanofluid flow. They considered zero mass flux and convective boundary conditions in their study. Ragupathi et al. [8] explored bioconvective flow in the presence of nanoparticles past the curved stretching sheet under the influence of slip conditions. Zhang et al. [9] scrutinized the Falkner–Skan hybrid nanofluid flow under the influence of radiation and magnetic field effects in porous space. Abbas et al. [10] explored magnetichyrdodyanmic non-Newtonian Williamson fluid in the presence of nanoparticles over the inclined moving plate in a porous space. Ali et al. [11] conducted a numerical simulation of nanofluid flow over a vertical cylinder under thermal conductivity and thermal radiation. The heat transfer in micropolar nanofluid under the impact of the diameter of the nanoparticles along the stretching sheet were discussed by Ali et al. [12]. Radiation and thermal convective boundary conditions were also encountered. Magnetohydrodynamic bioconvective micropolar nanofluid flow over a stretching sheet under mass and thermal convective boundary conditions were examined by Ali et al. [13]. The bioconvective flow of nanofluids with thermal radiation, generalized Fourier’s and Fick’s laws, and aligned magnetic field effects was encountered by Ali et al. [14]. The tangent hyperbolic nanofluid flow with the influence of thermal radiation, magnetic fields, heat source, and convective boundary conditions was tackled numerically by Ali et al. [15]. Lee [16] studied the measurement of thermal conductivities of fluids that have oxide nanoparticles. Das et al. [17] performed an analysis of thermal conductivity that is dependent on temperature. Godson et al. [18] wrote a review on the heat transfer enhancement of using nanofluids.
The performance of various base fluids under the influence of convective heat transfer was considered by Labib et al. [19]. In their study, the authors created a hybrid nanofluid by mixing with carbon nanotubes and a water-based nanofluid; it was discovered that this enhanced thermal transfer properties. Sarkar et al. [20] offered a review to compile the useful uses of hybrid nanofluids, such as enhancing conductivity, reducing pressure increase, and better stability. Khan et al. [21] used the optimal homotopy analysis approach to examine water-based fluid across an exponentially expanding surface while analyzing the effects of three types of nanoparticles, including titanium dioxide, copper, and aluminum oxide. The Cattaneo-Christov heat flux and performance of NF, which is made out of carbon nanotubes with little entropy formation, were studied by Lu et al. [22]. A recent study by Muhammad et al. [23] numerically analyzed the bioconvective Sutter by nanofluid flow under the influence of the activation energy variable. Oryeni et al. [24] examined the thermal efficiency of the Oldroyd-B hybrid nanofluid under the influence of solar radiation and generalized heat and mass transfer laws. Asghar et al. [25] conducted investigations on magnetized convective hybrid nanofluid flow under heat source and sink and slip flow conditions. Koriko et al. [26] explored bioconvective heat transfer in non-Newtonian thixotropic nanofluid flow along the vertical surface. Their study was confined to nanoparticles and gyrotactic microorganisms. Waini et al. [27] proposed a study based on hybrid nanofluids along porous thin needles. Qureshi [28] paid attention to the entropy nanomaterial flow of Prandtl–Erying fluid in solar aircraft applications. Obalalu et al. [29] coupled the generalized Fourier’s and Fick’s laws with hybrid nanofluid equations using carbon nanotubes as nanoparticles along cylindrical geometry. The authors focused their study on ships that are solar powered. Since the fluid course depicts many important contemporary fluids, such as synthetic fibers and microfilm in production, meticulously, the concept of non-Newtonian fluids has spurred a rush of active research. The engineering research community has concentrated on these fluids as they have many uses in various industries. Convective heat transport through viscoelastic fluid past the vertical surface in a stagnation point flow was analyzed by Hayat et al. [30]. They used the homophony analysis method to solve the model. They deduced from the findings that when using the Newtonian scenario, the opposite flow zone is established in the opposing flow region. The confirmation tensor in viscoelastic fluid was discussed by Balci et al. [31]. They concluded that it was simple to employ in numerical simulations, which provided benefits for accuracy and stability. A study on heat and mass transmission in Oldryed B-fluid in porous media was suggested by Hayat and Alsaedi [32]. While performing numerical simulation using the homophony analysis method, they faced radiation, thermophoresis, and Ohmic heating effects. With heat radiation, Hayat et al. [33] focused on the fluid flow beneath carbon nanotubes. They used the homotopy analysis method to solve the governing equations while taking into account Maragoni convection. Micropolar non-Newtonian fluid flow along a contracting sheet in a stagnation point is found in [34]. Khan and Pop [35] discussed the nanofluid flow, heat, and mass transfer phenomena using a single phase model for nanofluids over a stretching sheet. Devi and Devi [36] conducted numerical investigation on -/water-based hybrid nanofluid flow over a permeable stretching sheet with suction effects. Rauf et al. [37] performed an examination on mixed convection flow along the stretching sheet via the Maxwell fluid model using thermal diffusion and diffusion thermal effects under a magnetic field influence. Ashraf et al. [38] explored the optically dense gray fluid flow and heat and mass transfer in a nanofluid along the sphere surface by using the finite difference method. Abbas et al. [39] investigated the generalized Fourier’s and Fick’s laws in a non-Maxwell fluid flow over an inclined stretching sheet. Abbas et al. [40] conducted their investigations into the solar radiation effect on non-Newtonian Casson fluid flow along the surface of an exponentially stretching sheet. Abbas et al. [41] discussed the reduced gravity effects combined with magnetic field and solar radiation along the sphere. Abbas et al. [42] studied the reduced gravity effects, solar radiation, and magnetic field along the sphere surface using the finite difference method.
Receiving motivation from the above applications in many industry sectors, such as thermal power plants, industrial machinery, and aerospace and a review of the literature, the current model is proposed to investigate the thermal efficiency of spherical-shaped nanoparticles of - in ethylene glycol. Fluid flow and heat transfer in the Maxwell hybrid nanofluid model along the inclined stretching sheet with suction effects is performed. The applied magnetic field is taken in the normal direction of fluid flow and the fluid is saturated with porous space. The controlling parameters that are used as influencing factors are the Maxwell fluid parameter, buoyancy parameter, suction parameter, porosity parameter, magnetic field parameter, and Prandtl number, for which results are graphed and tabulated.
2. Mathematical Modeling
A steady two-dimensional laminar flow of the stretching sheet with suction in porous space in an electrically conducting viscous Maxwell hybrid nanofluid was analyzed. A magnetic field of strength was applied in the perpendicular direction. A flow diagram representing the full flow structure is shown in Figure 1. In Figure 1, the flow pattern is shown, where the surface was kept inclined at an angle of ,which is an appropriate choice. The plate stretched due to whichever flow was induced. The surface was considered permeable, and suction effects were encountered to control the boundary layer thickness. This surface was embedded in a porous medium and the fluid was saturated with and spherical-shaped nanoparticles, as shown in Figure 1. The flow direction was along the -axis, so the component of the velocity is shown in this direction, and the -axis is normal to it;the component of velocity was taken, and the suction of the plate was in the direction, as shown in Figure 1. A magnetic field of strength was applied in a normal to flow direction to control flow speed and to maximize the temperature by generating the current. The model presented in [36] is extended to the Maxwell Fluid model using an inclined stretching sheet that was placed at an angle of . The corresponding flow equations are given below:
Figure 1.
Flow Structure.
Equations (1)–(3) are subjected to the boundary conditions:
Here, and are the horizontal and vertical coordinates, respectively, and accordingly the velocity components are and , respectively. The symbols ,, and are dynamic viscosity, kinematic viscosity, density, the mal conductivity, specific heat, electrical conductivity, and thermal expansion of a hybrid nanofluid, respectively. The symbols , and are dynamic viscosity, kinematic viscosity, density, thermal conductivity, specific heat, electrical conductivity, and thermal expansion of base, respectively. The notations and are the temperature of the fluid, temperature at the surface of the stretching sheet, and temperature of the free stream region. The designations and are the time relaxation constant, angle of inclination of the stretching sheet, gravity force, magnetic field strength, and porosity constant, respectively.
3. Solutions Mythology
In this section, the entire solution methodology for Equations (1)–(3) (with flow conditions given in Equation (4)) is solved. In the next subsections, the formulation procedure through which the partial differential Equations (1)–(3) (with flow conditions given in Equation (4)) are converted to ordinary differential equations is outlined. Additionally, the solution technique by which we obtained the ordinary differential equations is solved.
3.1. Similarity Variable Formulation
In this subsection, the similarity formulation given in Equation (5) will be utilized to reduce the system of coupled and non-linear partial differential equations presented in Equations (1)–(3) (with flow conditions given in Equation (4)) into ordinary differential equations by following [36]. We have the following similar variables
By putting the similarity variables given in Equation (5) into Equations (1)–(4), the continuity equation is satisfied automatically and the remaining equations take the following forms:
The considered boundary conditions
where is the Maxwell fluid parameter with as the time relaxation parameter, is the buoyancy parameter with , is the magnetic field parameter, is the dimensionless porosity parameter, is the Prandtl number with as thermal diffusivity, is the suction parameter . Here, is the similarity variable and the prime notation, , differentiates w.r.t, .
3.2. Quantities of Engineering
The physical quantities of interest are the skin friction coefficient and Nusselt number, which are given by
Using Equation (5) in Equation (10) and performing the some algebra, we have the following transformed engineering quantities
where is the local Reynolds number. In Table 1, the thermophysical properties of the base fluid ethylene glycol, , and are given.
Table 1.
Thermophysical properties given in [37].
The thermophysical properties of the formulae for hybrid nanofluids (HNs) given in [37] are shown below:
where and are the volume fractions of the solid nanoparticles aluminum ( and copper (), respectively. Here, and are used to differentiate the thermophysical characteristics of the base fluid, the nanoparticles of first type , and nanoparticles of the second type .
3.3. Solution Technique
Equations (7) and (8) (with the imposed boundary conditions given in Equation (9)) are solved by using the built-in numerical solver bvp4c. This solver is based on a collocation formula. Equations (7) and (8) (with the boundary conditions given in Equation (9)) are first transformed into a system of first-order ordinary differential equations and then put into the numerical algorithm of bvp4c in MATLAB for numerical fallout. The solution technique is given below:
Boundary conditions
4. Results and Discussion
Here, the results of the proposed model produced by the built-in numerical solver bvp4c are displayed by graphical and tabular representation. The thermophysical properties, such as density , specific heat , thermal conductivity , electrical conductivity , and thermal expansion are given in Table 1. These properties are given in the formula given in Equation (11); this equation is further given in Equations (12)–(15) in the numerical algorithm for the numerical solutions of physical properties. The shape parameter for the nanoparticles and involved in the formula given in Equation (11) is taken as . This value is for the spherical shape of the nanoparticles. The results for the velocity field and temperature field are graphed, and the results for the skin friction coefficient 𝑅 and Nusselt number are tabulated. The sundry parameters for which these fallouts are computed are the Maxwell fluid parameter , buoyancy parameter , magnetic field parameter , dimensionless porosity parameter , Prandtl number , and suction parameter .
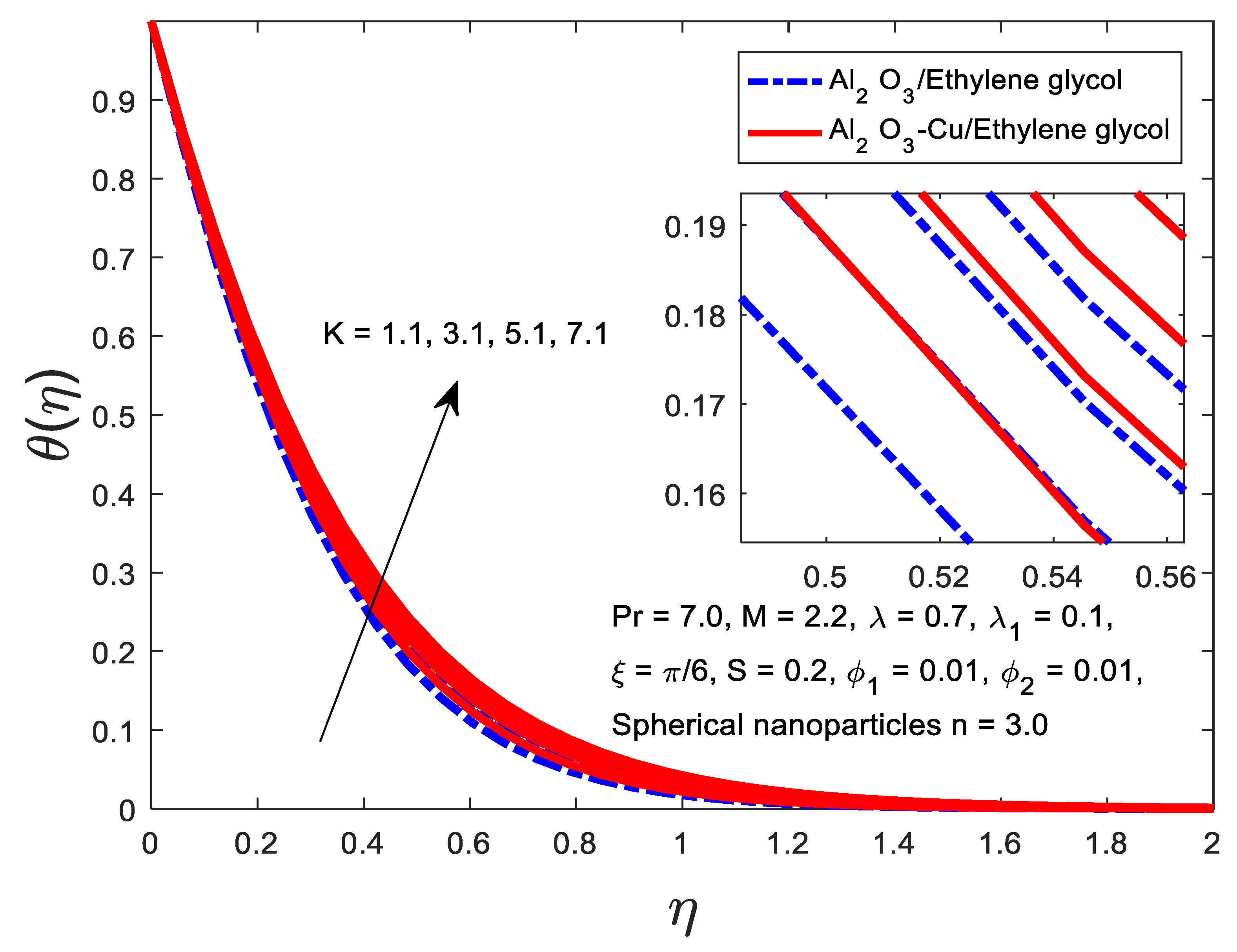
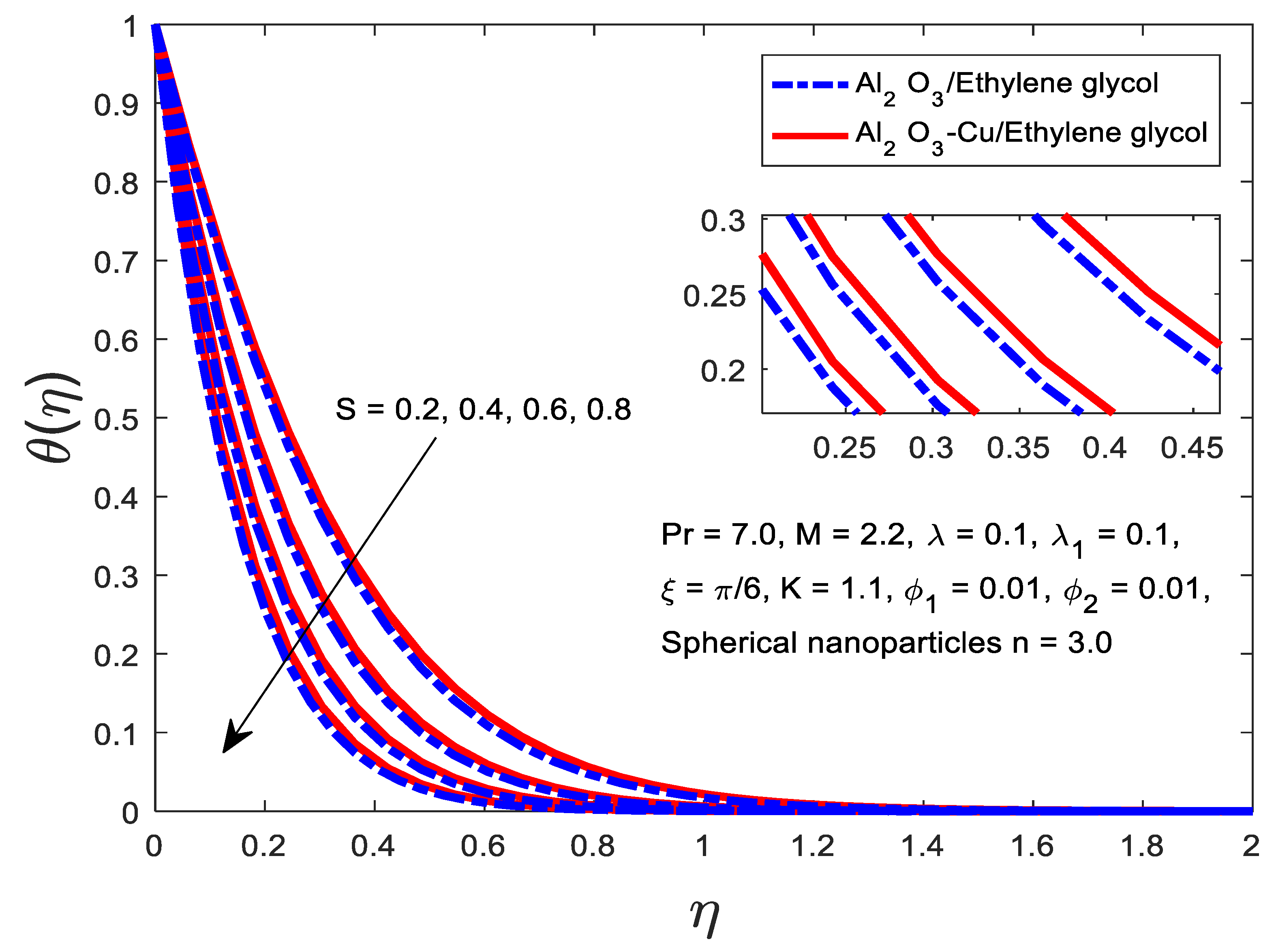
Figure 2 and Figure 3 depict the variations in the velocity field and temperature field , respectively, under the incorporation of the magnetic number . Figure 2 and Figure 3 indicate that augmentation in causes the velocity to become reduced and the temperature to become enhanced for both /ethylene glycol and -/ethylene glycol. This is due to fact that increases in cause the production of more resistance and hence retards the motion and temperature rise. The inclusion of magnetic field leads to the generation of Lorentz force. This force induces the resistance, which slows down the speed of the fluid. This resistance causes a rise in the temperature of the fluid flow domain. A notable point is that the magnitudes of the curves for the velocity of /ethylene glycol are larger than for -/ethylene glycol. Furthermore, for , the mechanism is entirely reversed. The illustration of , with the impact of the Maxwell fluid parameter , is given in Figure 4. As is increased, rises accordingly. This is due to the fact that the relaxation time increases and the stretching rate constant increases owing to a decrease in the density of the base fluid, which helps to increase the fluid speed. Moreover, the graphs for /ethylene glycol are higher than that for -/ethylene glycol. Figure 5 highlights the influence the of angle of the inclination parameter on . The graphs show that as changes from to , is intensified. It is true, according to the physics of the angle of inclination, that when , the surface is vertical so speed is very slow; however, when the angle is changed to , the speed continues increasing as the opposition to the flow speed is minimized. When , the surface position is horizontal and fluid flows without any resistance. Additionally, in this situation the buoyancy force is also delineated. The effects of the porous medium parameter on and are presented in Figure 6 and Figure 7. It can be seen that as increases, declines. Moreover, the curves of for /ethylene glycol are higher than those of -/ethylene glycol. However, the reverse is found for . When we look at the definition of the porosity parameter, we can conclude that the increase in is because of an increase in the kinematic viscosity and a decrease in the amount of porous spaces; this hinders the flow of fluid and hence the speed is reduced. Furthermore, when we compare the cases of nanofluid and hybrid nanofluid, the nanoparticle volume fraction is smaller in nanofluid than in hybrid nanofluid; therefore, the curve magnitudes of velocity for nanofluid are stronger than those for hybrid nanofluid. Figure 8 and Figure 9 are plotted to show the physical behavior of and , respectively, against the distinct values for the suction parameter . As is increased, is increased and is decreased. It is worth noting that for /ethylene glycol, the curves of are stronger than those for -/ethylene glycol. However, in the case of , an entirely opposite phenomenon is observed. The maximized magnitude of is due to the increasing values for the vertical speed component and the decrease in kinematic viscosity, hence the flow speed is enhanced.
Figure 2.
Variation in velocity profile
for varying values of the magnetic field parameter
, when
, and at an angle of inclination of
.
Figure 3.
Variation in temperature profile for varying values of the magnetic field parameter , when , and at an angle of inclination of .
Figure 4.
Variation in velocity profile for varying values of the Maxwell fluid parameter , when , and at an angle of inclination of .
Figure 5.
Variation in velocity profile for varying values of the angle of inclination , when , , and .
Figure 6.
Variation in velocity profile for varying values of the porosity parameter , when , , and at an angle of inclination of .
Figure 7.
Variation in temperature profile for varying values of the porosity parameter , when , , and at an angle of inclination of .
Figure 8.
Variation in velocity profile for varying values of the suction parameter , when , , and at an angle of inclination of .
Figure 9.
Variation in temperature profile for varying values of suction parameter when , , and at angle of inclination .
In order to validate the current results, a comparison of the present solutions for the Nusselt number with the already published results is given in Table 2. From the comparison, we can conclude that there is excellent agreement between the present and published solutions, which confirms the accuracy of the proposed model. In Table 3, the effects of the porous medium parameter on the skin friction coefficient and the Nusselt number are shown. It is shown that as increases, the skin friction coefficient also increases but the Nusselt number is minimized. Table 4 illustrates and under the effects of the Prandtl number. As the is intensified, rises and is gradually reduced. As the is enhanced, the thermal conductance of the fluid reduces, causing a reduction in the temperature distribution that leads to a reduction in heat transfer.
Table 2.
Comparison of the Nusselt number when against several values of
.
Table 3.
Numerical values for against several values of .
Table 4.
Numerical values for against several values of .
5. Conclusions
The current study investigates the effects of suction and magnetohydrodynamics on hybrid nanofluid flow and heat transfer based on the non-Newtonian Maxwell fluid model along the angled stretching sheet in porous space. The solution outcomes of the molded problems are summarized below:
- The main outcomes of the results are that fluid velocity increases with increasing values for the angle of inclination number, Maxwell fluid parameter, and suction parameter;
- The fluid velocity decreases for rising values of the porous medium parameter and the magnetic field parameter;
- Due to a decrease in the density of the base fluid, the stretching rate constant and relaxation time increase, which aids in the fluid’s increase in speed;
- A Lorentz force is produced when a magnetic field is present. This force causes resistance, which reduces the fluid’s speed. This resistance raises the fluid flow domain’s temperature;
- According to the definition for the porosity parameter, an increase in the porosity parameter results from an increase in the kinematic viscosity and a decrease in the porous spaces, which impedes fluid flow and reduces speed. Additionally, when we compare nanofluid and hybrid nanofluid, the volume proportion of nanoparticles in nanofluid is lower than that in hybrid nanofluid, which results in stronger velocity curves for nanofluids;
- As the Prandtl number increases, the fluid’s thermal conductance decreases, causing the temperature distribution to be smaller and reducing heat transmission;
- All the graphs satisfy the given boundary conditions asymptotically;
- For validation of the current results, a comparison between the present solutions for the Nusselt number and the already published results is given. From the comparison, it was concluded that there is excellent agreement between the present and published solutions, which confirms the accuracy of the proposed model.
Author Contributions
Conceptualization, A.A.; Methodology, A.A.; Software, A.A.; Validation, A.A.; Formal analysis, A.A.; Investigation, M.B.J.; Resources, M.B.J.; Data curation, A.A.; Writing – original draft, A.A.; Writing—review & editing, M.B.J. and A.A.; Project administration, M.B.J.; Funding acquisition, M.B.J. All authors have read and agreed to the published version of the manuscript.
Funding
The authors extend their appreciation to the Deputyship for Research & Innovation, Ministry of Education in Saudi Arabia for funding this research through the project number IFP-IMSIU-2023116. The authors also appreciate the Deanship of Scientific Research at the Imam Mohammad Ibn Saud Islamic University (IMSIU) for supporting and supervising this project.
Data Availability Statement
Not applicable.
Acknowledgments
The authors extend their appreciation to the Deputyship for Research & Innovation, Ministry of Education in Saudi Arabia for funding this research through the project number IFP-IMSIU-2023116. The authors also appreciate the Deanship of Scientific Research at the Imam Mohammad Ibn Saud Islamic University (IMSIU) for supporting and supervising this project.
Conflicts of Interest
The authors declare no conflict of interest.
Nomenclature
| Dynamic viscosity of hybrid nanofluid: Unit | Maxwell fluid parameter | ||
| Dynamic viscosity of base fluid: Unit | Buoyancy parameter | ||
| Kinematic viscosity of hybrid nanofluid: Unit | Magnetic field parameter | ||
| Density of hybrid nanofluid: Unit | Porous medium parameter | ||
| Density of base fluid: Unit | Thermal diffusivity of hybrid nanofluid | ||
| Thermal conductivity of hybrid nanofluid: Unit | Thermal diffusivity of base fluid | ||
| Thermal conductivity of base fluid Unit | Suction parameter | ||
| Specific heat of hybrid nanofluid: Unit | Similarity variable | ||
| Specific heat of base fluid: Unit | Reynolds number | ||
| Electrical conductivity of hybrid nanofluid | Volume fraction of solid aluminum ( nanoparticles | ||
| Electrical conductivity electrical conductivity | Volume fraction of solid copper nanoparticles | ||
| Thermal expansion of hybrid nanofluid: Unit | Skin friction coefficient | ||
| Thermal expansion of base fluid: Unit | Nussle number | ||
| Temperature of the fluid: Unit | Stretching rate constant | ||
| Temperature of the surface of stretching sheet: Unit | Porosity constant | ||
| Temperature of free stream region: Unit | Prandtl number | ||
| Time relaxation constant | Magnetic field strength | ||
| Angle of inclination of the stretching sheet | Horizontal and normal coordinates: Unit (m) | ||
| Gravity force: Unit () | Ambient conditions | ||
| Velocity components in and directions (Unit: m/s) | Wall conditions |
References
- Choi, S.U.S.; Jeffrey, A. Eastman. Enhancing Thermal Conductivity of Fluids with Nanoparticles; No. ANL/MSD/CP-84938; CONF-951135-29; Argonne National Lab. (ANL): Argonne, IL, USA, 1995. [Google Scholar]
- Choi, S.U. Nanofluids: A new field of scientific research and innovative applications. Heat Transf. Eng. 2008, 29, 429–431. [Google Scholar] [CrossRef]
- Turcu, R.; Darabont, A.L.; Nan, A.; Aldea, N.; Macovei, D.; Bica, D.; Vekas, L.; Pana, O.; Soran, M.L.; Koos, A.A.; et al. New polypyrrole-multiwall carbon nanotubes hybrid materials. J. Optoelectron. Adv. Mater. 2006, 8, 643–647. [Google Scholar]
- Yaseen, M.; Rawat, S.K.; Shah, N.A.; Kumar, M.; Eldin, S.M. Ternary hybrid nanofluid flow containing gyrotactic microorganisms over three different geometries with Cattaneo–Christov model. Mathematics 2023, 11, 1237. [Google Scholar] [CrossRef]
- Kavya, S.; Nagendramma, V.; Ahammad, N.A.; Ahmad, S.; Raju, C.S.K.; Shah, N.A. Magnetic-hybrid nanoparticles with stretching/shrinking cylinder in a suspension of MoS4 and copper nanoparticles. Int. Commun. Heat Mass Transf. 2022, 136, 106150. [Google Scholar] [CrossRef]
- Ramesh, G.K.; Madhukesh, J.K.; Shah, N.A.; Yook, S.J. Flow of hybrid CNTs past a rotating sphere subjected to thermal radiation and thermophoretic particle deposition. Alex. Eng. J. 2023, 64, 969–979. [Google Scholar] [CrossRef]
- Wakif, A.; Shah, N.A. Hydrothermal and mass impacts of azimuthal and transverse components of Lorentz forces on reacting Von Kármán nanofluid flows considering zero mass flux and convective heating conditions. Waves Random Complex Media 2022, 1–22. [Google Scholar] [CrossRef]
- Ragupathi, P.; Ahammad, N.A.; Wakif, A.; Shah, N.A.; Jeon, Y. Exploration of multiple transfer phenomena within viscous fluid flows over a curved stretching sheet in the co-existence of gyrotactic micro-organisms and tiny particles. Mathematics 2022, 10, 4133. [Google Scholar] [CrossRef]
- Zhang, K.; Shah, N.A.; Alshehri, M.; Alkarni, S.; Wakif, A.; Eldin, S.M. Water thermal enhancement in a porous medium via a suspension of hybrid nanoparticles: MHD mixed convective Falkner’s-Skan flow case study. Case Stud. Therm. Eng. 2023, 47, 103062. [Google Scholar] [CrossRef]
- Abbas, A.; Khandelwal, R.; Ahmad, H.; Ilyas, A.; Ali, L.; Ghachem, K.; Hassen, W.; Kolsi, L. Magnetohydrodynamic Bioconvective Flow of Williamson Nanofluid over a Moving Inclined Plate Embedded in a Porous Medium. Mathematics 2023, 11, 1043. [Google Scholar] [CrossRef]
- Ali, L.; Ali, B.; Iqbal, T. Finite element analysis of the impact of particles aggregation on the thermal conductivity of nanofluid under chemical reaction. Waves Random Complex Media 2023, 1–21. [Google Scholar] [CrossRef]
- Ali, L.; Kumar, P.; Iqbal, Z.; Alhazmi, S.E.; Areekara, S.; Alqarni, M.M.; Mathew, A.; Apsari, R. The optimization of heat transfer in thermally convective micropolar-based nanofluid flow by the influence of nanoparticle’s diameter and nanolayer via stretching sheet: Sensitivity analysis approach. J. Non-Equilib. Thermodyn. 2023, 48, 313–330. [Google Scholar] [CrossRef]
- Ali, L.; Liu, X.; Ali, B.; Mujeed, S.; Abdal, S. Finite element simulation of multi-slip effects on unsteady MHD bioconvective micropolar nanofluid flow over a sheet with solutal and thermal convective boundary conditions. Coatings 2019, 9, 842. [Google Scholar] [CrossRef]
- Ali, L.; Ali, B.; Ghori, M.B. Melting effect on Cattaneo–Christov and thermal radiation features for aligned MHD nanofluid flow comprising microorganisms to leading edge: FEM approach. Comput. Math. Appl. 2022, 109, 260–269. [Google Scholar] [CrossRef]
- Kumar, P.; Poonia, H.; Ali, L.; Areekara, S. The numerical simulation of nanoparticle size and thermal radiation with the magnetic field effect based on tangent hyperbolic nanofluid flow. Case Stud. Therm. Eng. 2022, 37, 102247. [Google Scholar] [CrossRef]
- Lee, S.; Choi, S.U.-S.; Li, S.; Eastman, J.A. Measuring thermal conductivity of fluids containing oxide nanoparticles. J. Heat Transf. 1999, 121, 280–289. [Google Scholar] [CrossRef]
- Das, S.K.; Putra, N.; Thiesen, P.; Roetzel, W. Temperature dependence of thermal conductivity enhancement for nanofluids. J. Heat Transf. 2003, 125, 567–574. [Google Scholar] [CrossRef]
- Godson, L.; Raja, B.; Lal, D.M.; Wongwises, S.E.A. Enhancement of heat transfer using nanofluids—An overview. Renew. Sustain. Energy Rev. 2010, 14, 629–641. [Google Scholar] [CrossRef]
- Labib, M.N.; Nine, J.; Afrianto, H.; Chung, H.; Jeong, H. Numerical investigation on effect of base fluids and hybrid nanofluid in forced convective heat transfer. Int. J. Therm. Sci. 2013, 71, 163–171. [Google Scholar] [CrossRef]
- Sarkar, J.; Pradyumna, G.; Arjumand, A. A review on hybrid nanofluids: Recent research, development and applications. Renew. Sustain. Energy Rev. 2015, 43, 164–177. [Google Scholar] [CrossRef]
- Khan, U.; Ahmad, S.; Hayyat, A.; Khan, I.; Nisar, K.S.; Baleanu, D.J.A.S. On the Cattaneo–Christov heat flux model and OHAM analysis for three different types of nanofluids. Appl. Sci. 2020, 10, 886. [Google Scholar] [CrossRef]
- Lu, D.; Ramzan, M.; Mohammad, M.; Howari, F.; Chung, J.D. A thin film flow of nanofluid comprising carbon nanotubes influenced by Cattaneo-Christov heat flux and entropy generation. Coatings 2019, 9, 296. [Google Scholar] [CrossRef]
- Basit, M.A.; Imran, M.; Khan, S.A.; Alhushaybari, A.; Sadat, R.; Ali, M.R. Partial differential equations modeling of bio-convective sutterby nanofluid flow through paraboloid surface. Sci. Rep. 2023, 13, 6152. [Google Scholar] [CrossRef]
- Oreyeni, T.; Akindele, A.O.; Obalalu, A.M.; OlakunleSalawu, S.; Ramesh, K. Thermal performance of radiative magnetohydrodynamic Oldroyd-B hybrid nanofluid with Cattaneo–Christov heat flux model: Solar-powered ship application. Numer. Heat Transf. Part A Appl. 2023, 1–19. [Google Scholar] [CrossRef]
- Asghar, A.; Chandio, A.F.; Shah, Z.; Vrinceanu, N.; Deebani, W.; Shutaywi, M.; Lund, L.A. Magnetized mixed convection hybrid nanofluid with effect of heat generation/absorption and velocity slip condition. Heliyon 2023, 9, e13189. [Google Scholar] [CrossRef] [PubMed]
- Koriko, O.K.; Shah, N.A.; Saleem, S.; Chung, J.D.; Omowaye, A.J.; Oreyeni, T. Exploration of bioconvection flow of MHD thixotropic nanofluid past a vertical surface coexisting with both nanoparticles and gyrotactic microorganisms. Sci. Rep. 2021, 11, 16627. [Google Scholar] [CrossRef] [PubMed]
- Waini, I.; Ishak, A.; Pop, I. Hybrid nanofluid flow past a permeable moving thin needle. Mathematics 2020, 8, 612. [Google Scholar] [CrossRef]
- Qureshi, M.A. Thermal capability and entropy optimization for Prandtl-Eyring hybrid nanofluid flow in solar aircraft implementation: Thermal capability for Prandtl-Eyring hybrid nanofluid flow in solar aircraft. Alex. Eng. J. 2021. [Google Scholar] [CrossRef]
- Obalalu, A.; Salawu, S.; Memon, M.A.; Olayemi, O.; Ali, M.R.; Sadat, R.; Odetunde, C.; Ajala, O.; Akindele, A. Computational study of Cattaneo–Christov heat flux on cylindrical surfaces using CNT hybrid nanofluids: A solar-powered ship implementation. Case Stud. Therm. Eng. 2023, 45, 102959. [Google Scholar] [CrossRef]
- Hayat, T.; Abbas, Z.; Pop, I. Mixed convection in the stagnation point flow adjacent to a vertical surface in a viscoelastic fluid. Int. J. Heat Mass Transf. 2008, 51, 3200–3206. [Google Scholar] [CrossRef]
- Balci, N.; Thomases, B.; Renardy, M.; Doering, C.R. Symmetric factorization of the conformation tensor in viscoelastic fluid models. J. Non-Newton. Fluid Mech. 2011, 166, 546–553. [Google Scholar] [CrossRef]
- Hayat, T.; Alsaedi, A. On thermal radiation and Joule heating effects in MHD flow of an Oldroyd-B fluid with thermophoresis. Arab. J. Sci. Eng. 2011, 36, 1113–1124. [Google Scholar] [CrossRef]
- Hayat, T.; Khan, M.I.; Farooq, M.; Alsaedi, A.; Yasmeen, T. Impact of Marangoni convection in the flow of carbon–water nanofluid with thermal radiation. Int. J. Heat Mass Transf. 2017, 106, 810–815. [Google Scholar] [CrossRef]
- Ishak, A.; Lok, Y.Y.; Pop, I. Stagnation-point flow over a shrinking sheet in a micropolar fluid. Chem. Eng. Commun. 2010, 197, 1417–1427. [Google Scholar] [CrossRef]
- Khan, W.A.; Pop, I. Boundary-layer flow of a nanofluid past a stretching sheet. Int. J. Heat Mass Transf. 2010, 53, 2477–2483. [Google Scholar] [CrossRef]
- Devi, S.A.; Devi, S.S.U. Numerical investigation of hydromagnetic hybrid Cu–Al2O3/water nanofluid flow over a permeable stretching sheet with suction. Int. J. Nonlinear Sci. Numer. Simul. 2016, 17, 249–257. [Google Scholar] [CrossRef]
- Rauf, A.; Hussain, F.; Mushtaq, A.; Shah, N.A.; Ali, M.R. MHD mixed convection flow for Maxwell Hybrid nanofluid with Soret, Dufour and Morphology effects. Arab. J. Chem. 2023, 16, 104965. [Google Scholar] [CrossRef]
- Ashraf, M.; Khan, A.; Abbas, A.; Hussanan, A.; Ghachem, K.; Maatki, C.; Kolsi, L. Finite Difference Method to Evaluate the Characteristics of Optically Dense Gray Nanofluid Heat Transfer around the Surface of a Sphere and in the Plume Region. Mathematics 2023, 11, 908. [Google Scholar] [CrossRef]
- Abbas, A.; Wakif, A.; Shafique, M.; Ahmad, H.; Ain, Q.U.; Muhammad, T. Thermal and mass aspects of Maxwell fluid flows over a moving inclined surface via generalized Fourier’s and Fick’s laws. Waves Random Complex Media 2023, 1–27. [Google Scholar] [CrossRef]
- Abbas, A.; Noreen, A.; Ali, M.A.; Ashraf, M.; Alzahrani, E.; Marzouki, R.; Goodarzi, M. Solar radiation over a roof in the presence of temperature-dependent thermal conductivity of a Casson flow for energy saving in buildings. Sustain. Energy Technol. Assess. 2022, 53, 102606. [Google Scholar] [CrossRef]
- Abbas, A.; Ashraf, M.; Chamkha, A.J. Combined effects of thermal radiation and thermophoretic motion on mixed convection boundary layer flow. Alex. Eng. J. 2021, 60, 3243–3252. [Google Scholar] [CrossRef]
- Abbas, A.; Ashraf, M.; Sarris, I.E.; Ghachem, K.; Labidi, T.; Kolsi, L.; Ahmad, H. Numerical Simulation of the Effects of Reduced Gravity, Radiation and Magnetic Field on Heat Transfer Past a Solid Sphere Using Finite Difference Method. Symmetry 2023, 15, 772. [Google Scholar] [CrossRef]
Disclaimer/Publisher’s Note: The statements, opinions and data contained in all publications are solely those of the individual author(s) and contributor(s) and not of MDPI and/or the editor(s). MDPI and/or the editor(s) disclaim responsibility for any injury to people or property resulting from any ideas, methods, instructions or products referred to in the content. |
© 2023 by the authors. Licensee MDPI, Basel, Switzerland. This article is an open access article distributed under the terms and conditions of the Creative Commons Attribution (CC BY) license (https://creativecommons.org/licenses/by/4.0/).








