Abstract
Fungi of the Monascus species are used in Asia for the production of fermented foods, mainly due to the ability of these fungi to produce secondary metabolites such as pigments. Due to the growing discussion about the use of synthetic dyes and the fact that their ingestion is associated with harm to human health, studies have sought to replace these dyes using natural pigments, and new alternatives for the production of these natural pigments have been presented. In this context, Monascus pigments are a viable alternative for application in the food industry. This study aimed to evaluate different main carbon sources and pH conditions in the red pigment production of Monascus sp. We found that mannitol, when used as the only carbon source, stimulated the production of extracellular red pigment, reaching a concentration of 8.36 AU in 48 h, while glucose and sucrose reached concentrations of 1.08 and 1.34 AU, respectively. Cultivation in a bioreactor using mannitol showed great potential for optimizing pigment production and obtaining a high concentration of extracellular pigment in a short time, reaching a concentration of 25 AU in 60 h of cultivation. The change in pH altered the production of extracellular red pigment in a culture medium containing mannitol as a carbon source, demonstrating less potential than the use of static pH during cultivation in a bioreactor. Mannitol proved to be an efficient carbon source for M. pupureus under static pH conditions for both flask and benchtop bioreactor cultivation.
1. Introduction
Color is a sensory property of foods with a relevant role in the process of acceptability and product choice by the consumer [1]. The food industry has used synthetic dyes to provide, improve, or correct the color of processed foods [2,3]; some of them, such as erythrosine, carmoisine, and ponceau 4R [4] have been closely associated with side effects such as hyperactivity in children, allergenicity, problems toxicological, and carcinogenicity [5,6,7].
In this context, pigments such as carotenoids, anthocyanins, and betacyanins from natural sources (plants, animals, and microorganisms) stand out [8]. Natural pigments are considered safe, nontoxic, noncarcinogenic, biodegradable, and with low risk to the environment [9]. The global trade in natural dyes in 2011 represented around USD 600 million, equivalent to an increase of 29% compared with 2007, with an annual growth of more than 7%. In this sense, natural pigments obtained by microorganisms stand out [10].
The pigments obtained by microbial fermentations have several advantages over pigments extracted from plant/animal sources, such as low production cost, higher yields, simpler and cleaner extraction and purification steps, no seasonal variation, as well as ease of scalability [11,12].
The genus Monascus sp. is well known for producing metabolites such as lovastatin and polysaccharides, as well as pigments such as monascin and ankaflain (yellow); rubropunctatin and monascorubrin (orange); and rubropunctamine and monascorubramine (purple-red) (Figure 1) [13]. The genus Monascus is described as aerobic, saprophytic, prototrophic, mesophilic (optimal temperature of 30–35 °C), and with respirofermentative metabolism. When the fungus is in a medium with an excess of glucose, Monascus sp. can form ethanol under aerobic conditions, and therefore can be classified as Cabtree negative with limited respiration [14].
Figure 1.
Structure of pigments produced by Monascus species. An aminophilic structure in rubropunctamine and monascorubrine incorporating an amino group. This incorporation results in a color change from orange (rubropunctatin and monascorubrin) to purple-red (rubropunctamine and monascorubramine).
Monascus sp. can produce pigments in both solid fermentation (such as in the case of red rice in Asia countries such as China and Japan) and submerged fermentation processes [15,16]. Submerged fermentation has demonstrated good homogenization and control of process parameters such as oxygenation, pH, and temperature, which easily can influence the production of Monascus pigments [17].
Some studies have evaluated the result of changing several components in the culture medium and their response regarding the production of pigment by M. purpureus [18,19,20]. These components are factors that limit the growth of the fungus as well as the production of metabolites. In this sense, the choice of the carbon/nitrogen source is essential to ensure the growth of M. purpureus, in addition to directly interfering with the cost of the production process. Research related to M. purpureus has indicated that glucose [21,22], sucrose [21], and glycerol [21,22], as carbon sources can maximize red pigment production, while studies with other carbon sources are still scarce.
Mannitol is a six-carbon polyol that is abundant in the biosphere, and this molecule has been assigned a multitude of roles in filamentous fungi, including carbohydrate storage, a reservoir of reducing power, stress tolerance, and displacement and/or dispersal of spores. For these reasons, mannitol seems to be an interesting carbon source for the growth of microorganisms, especially fungi [23].
However, until now, the cultivation of this fungus using mannitol as the only carbon source has not been achieved, to the best of our knowledge. Therefore, the present work aimed to evaluate mannitol use in comparison with other carbon sources in the production of the red pigment of M. purpureus and the scaling up of the process to the benchtop bioreactor.
2. Materials and Methods
2.1. Microorganism and Culture Media
The strain of M. purpureus ATCC 36928 lot T19/05/H was acquired from Fundação André Tosello–Coleção de Culturas Tropicais (Campinas, Brazil) in slant form and kept under refrigeration at 4 °C until replete in Petri dishes.
The potato dextrose agar (PDA) medium was composed of potato infusion (200 g/L), glucose (20.0 g/L), and agar (17.0 g/L). The seed medium was composed of glucose (20 g/L), peptone (5 g/L), yeast extract (1 g/L), KH2PO4 (1 g/L), and MgSO4.7H2O (0.5 g/L). The fermentation medium was composed of carbon source (60 g/L) (glucose, sucrose, or mannitol), peptone (5 g/L), yeast extract (1 g/L), KH2PO4 (1 g/L), and MgSO4.7H2O (1 g/L). The pH of the media was adjusted to 7.0 by adding NaOH (5M) and HCl (1N). All media were autoclaved at 121 °C for 20 min.
2.2. Erlenmeyer and Benchtop Bioreactor Cultivations
The M. purpureus strain was inoculated into inclined tubes (slants) containing PDA medium and incubated in a BOD oven (TECNAL, Piracicaba, Brazil) for seven days at 30 °C. After the incubation period, a suspension of fungal spores in the order of 106 spores/mL was transferred to 250 mL flasks containing 50 mL of seed medium; the flasks were incubated in an orbital at 300 rpm and 28 °C for three days (Figure 2(1)).
Figure 2.
Monascus purpureus cultivation scheme. Step 1 consisted of transferring the fungus to the slants, and after the incubation time, transfer was carried out from slants to flasks. Step 2 consisted of fermentation in different carbon sources. Step 3 consisted of cultivation in a bioreactor.
A volume of the seed medium of 1% (v/v) was transferred to 500 mL flasks containing 100 mL of fermentation medium with a single carbon source: mannitol (MAN), glucose (GLU), or sucrose (SUC). The flasks were incubated on an orbital shaker at 140 rpm and 30 °C for four days, and 1 mL samples were collected in triplicate (Figure 2(2)).
Cultivation in a bioreactor (4 L BIO-TEC-PRO, TECNAL, Piracicaba, Brazil) was carried out with 3.0 L of useful volume. The pH was controlled at 7.0 through the addition of 1M NaOH and 1N HCL as needed, the temperature was maintained at 30 °C, and the dissolved oxygen concentration (DOC) was maintained above 40% by varying the stirring speed and with compressed air flow at 1 volume of air per volume of medium per minute (vmm). A volume of 1% (v/v) fungal suspension was transferred to the bioreactor and samples were taken throughout the cultivation every 12 h (Figure 2(3)). In an attempt to maximize extracellular pigment production, a second experiment was performed, varying the pH as reported by Orozco and Kilikian [20]. In this case, cultivation was started with pH 5.5 and later corrected to pH 8.5 (after 30 h of cultivation as explained in 3.3 item). For the pH change, the oxygen demand was observed through the variation in dissolved oxygen in the medium (DO) measured by a sensor (Hamilton, Nevada, USA).
2.3. Cell Biomass and Extracellular Red Pigment Production
The determination of dry mass was performed with the gravimetric method. Briefly, an aliquot (1 mL) of sample in a 2 mL microtube (previously weighed and identified) was centrifuged at 12,000× g for 10 min. The supernatant was destined for extracellular pigment reading, and the cell pellet was resuspended in 1 mL of distilled water and centrifuged again, followed by drying in an oven at 70 °C until constant weight. The dry mass obtained was divided by the initial volume, and the cell concentration is expressed in grams per liter. A wavelength scan of the supernatant in a UV1800 spectrophotometer (Shimadzu, Kyoto, Japan) was performed to define the maximum wavelength, which was set at 496.20 nm. The pigment production rate was calculated by dividing the value obtained for pigment concentration (AU) by biomass (g).
2.4. Calculation of the Maximum Specific Growth Rate, Coefficient of Pigment Production by Biomass, and Productivity
The maximum specific growth rate () was calculated for cultures with static and varied pH as the slope of the ln graph of biomass concentration versus time during the exponential phase of the curve (Equation (1)).
The coefficient of pigment production by biomass was obtained as the slope of the graph of pigment concentration as a function of biomass concentration (Equation (2)).
Finally, productivity was obtained using Equation (3).
where and are the concentrations of pigment and biomass (g/L), respectively; and and are the initial and final times, respectively.
2.5. Statistical Analysis
The experimental error was obtained through the standard deviation of the triplicate samples. The results for the comparison between carbon sources were evaluated using mean and standard deviation and submitted to analysis of variance (ANOVA) followed by Tukey’s test (5% significance).
3. Results
3.1. Effects of Different Carbon Sources on Cellular Biomass Production by Monascus purpureus in Shaken Flasks
Figure 3 shows the effects of the different main carbon sources on the production of cellular biomass of M. purpureus. In the first 24 h of cultivation, the behavior of cellular biomass did not greatly vary in the studied sources, indicating that the microorganism was undergoing a phase of adaptation to the culture medium. After inoculation, the cell concentration often undergoes a period of stasis, called the latency phase, which represents a time of adaptation to its environment, where the synthesis of adaptive enzymes occurs. The time in this phase depends as much on the change in nutrient composition as it does on the age and size of the inoculum [24]. Although the glucose medium used in this study had the same composition as the seed medium, in this culture medium, the glucose concentration was 3× higher (60 g/L) than in the seed medium (20 g/L), with an increase in the gradient of glucose concentration in the medium.
Figure 3.
Monascus purpureus cultivation after 48 h under different carbon sources (MAN: mannitol, GLU: glucose, and SUC: sucrose) in submerged cultivation.
After 24 h, GLU and SUC treatments produced higher biomass concentrations (2.7 and 3.2 g/L, respectively) than the MAN treatment (1 g/L). Within 48 h of cultivation, the biomass production demonstrated no significant difference between the treatments (p = 0.4996) (Figure 3).
With 96 h of cultivation, the MAN treatment presented a cell biomass concentration of 35.1 g/L, surpassing the GLU and SUC treatments by approximately 2.8 and 4 times, respectively (Figure 4).
Figure 4.
Monascus purpureus biomass under different carbon sources (MAN: mannitol, GLU: glucose, and SUC: sucrose) in submerged cultivation.
Table 1 shows the change in colors obtained after 24 and 48 h, where it was possible to observe that (i) the MAN treatment changed from a light red hue on the first day to an intense red hue on the last day, obtaining a single absorbance peak in the range of 496.2 nm (considered as maximum absorbance); (ii) the GLU treatment changed from a golden yellow hue in the first 24 h to an orange hue after 48 h of cultivation, not showing an absorbance peak in the red range (450–600 nm); and (iii) the SUC treatment changed from a light red hue to an intense orange hue on the last day, demonstrating two absorbance peaks (420.5 and 496.2 nm). Statistical difference was demonstrated in the MAN × GLU treatments and MAN × SUC treatments (p = 0.01). Although two peaks were obtained in the SUC treatment, the best wavelength for a given solution is the one at which there is higher absorption and, therefore, less light transmission [25]. Thus, it was established that the absorbance reading of the solution containing the pigment would be performed at 496.20 nm.
Table 1.
The difference in colors absorbed by spectrophotometry within 24 and 48 h under different carbon sources (MAN: mannitol, GLU: glucose, and SUC: sucrose) in submerged cultivation.
The production of extracellular red pigment was impacted by the change in the main carbon source; the highest production of the pigment was observed in MAN treatment (8.36 AU) (Figure 5). In contrast, the other carbon sources tested in this trial showed a final concentration of 1.34 and 1.08 AU in the GLU for SUC treatments, respectively. The AU obtained in the present study for the MAN treatment, which is directly related to the concentration of red pigment, was twice as high as that obtained by Almeida et al. [16], who used a culture medium containing peptone (30 g/L), corn bran (42.5 g/L), and other salts.
Figure 5.
Red pigment from Monascus purpureus under different carbon sources (MAN: mannitol, GLU: glucose, and SUC: sucrose) in submerged cultivation.
In the present work, the maximum production of the red pigment was obtained after 48 h (Figure 5) in the MAN treatment. Silbir and Goksungur [26] reported that there was no production of red pigment from M. purpureus at the same time in a medium containing hydrolyzed beer pomace, monosodium glutamate (8 g/L), and ZnSO4.7H2O (0.01 g/L). These authors also demonstrated that pigment production only exceeded 8.0 AU after 5 days of cultivation, even though the proportion of inoculum used was 2% (v/v) (twice that used in the present work).
Although mannitol appears to be a promising carbon source for the production of cellular biomass and red pigment of M. purpureus, only one study evaluated the combined efficiency of mannitol, lactose, and starch with jackfruit seed as a substrate in solid-state fermentation [27].
Mannitol can act in different ways in filamentous fungi, such as in the reserve of carbohydrates [28,29], as a protector against osmotic stress and oxidative [30,31], and in fungus sporulation [32,33]. However, the role of mannitol seems to differ from fungus to fungus [23], and, therefore, the role of mannitol for M. purpureus needs further study.
3.2. Cultivation in a Bioreactor Using Mannitol as the Single Carbon Source
In the cultivation in a bioreactor using mannitol as the only carbon source, the red pigment production by M. purpureus was obtained (Figure 6). In the first 24 h of cultivation, there was no pigment production, as also shown by the pigment production rate (Figure 9B). This behavior was already described by Silbir and Goksungur [26] and can indicates that the pigment is a secondary metabolite, and its production occurs exclusively after the exponential growth stage of the microorganism [34].
Figure 6.
Monascus red pigment production under mannitol as carbon source (MAN) in bioreactor submerged cultivation with static pH.
After 61 h of cultivation, the highest pigment concentration (25.5 AU) was obtained, which was three times higher than what was obtained in shaken flasks with the same culture medium (as described in Section 3.1). This was likely due to the parameter control that was possible in the bioreactor such as (i) pH, which was maintained at 7 for the entire bioreactor cultivation by the addition of 1M NaOH and 1M HCL per requirement; and (ii) a percentage of dissolved oxygen, which was maintained at 40% for the entire culture by varying agitation and 1 vmm of aeration. We hypothesized that maintaining these parameters in the bioreactor decreased the time required to reach a high pigment concentration in the medium. Although Silbir and Goksungur [26] demonstrated the possibility of obtaining red pigment production above 20 AU after 7 days of cultivation, in the present work, we found this pigment concentration in just 61 h. To the best of our knowledge, our result is the highest concentration of pigment produced by this fungus obtained in the shortest time in a bioreactor.
After 48 h of cultivation in a benchtop bioreactor (Figure 7), the maximum Monascus biomass was obtained (13.97 g/L); after that, a decrease in cell biomass was observed, although the pigment production continued to increase up to 61 h (Figure 6). This decrease in biomass could be attributed to cell autolysis, which is the destruction of a cell through the action of enzymes produced by this microorganism [19].
Figure 7.
Monascus purpureus biomass under mannitol as carbon source (MAN) in bioreactor submerged cultivation with static pH.
Orozco and Kilikian [20] observed a high production of red pigment (11.3 AU) from M. purpureus CCT3802 when they changed the pH from 5.5 in the growth phase of the microorganism to 8.5 in the pigment production phase. In an attempt to increase pigment production, we changed the static pH throughout the previously tested cultivation for a culture with a pH variation from 5.5 (in the microorganism growth stage) to 8.5 (in the pigment production stage). The pH change occurred when a lower demand for dissolved oxygen (DO) by the microorganism was detected by the bioreactor sensor, as indicated by the decrease in agitation speed with constant compressed air flow (Figure 8A). This strategy was adopted due to the relationship between the microbial growth phase and oxygen demand reported by Pinches and Pallent [35]. These authors described that the decrease in DO concentration in culture media occurs due to the high demand during the rapid growth of the microorganism until they reach the stationary phase, with a consequent increase in DO concentration as the demand becomes lower. This OD profile also fits with the behavior of other microorganisms described in the literature [36].
Figure 8.
Dissolved oxygen concentration (DO) (black line) in the percentage of oxygen (PO2) and agitation (red line) (A) and biomass (g/L) (B) in rotations per minute (rpm) of Monascus purpureus with mannitol as carbon source (MAN) in bioreactor submerged cultivation with pH variation.
In the present work, the DO decreased in the first 20 h of cultivation without changing the agitation speed (200 rpm). After that, there was an increase in agitation to supply the oxygen demand required by the microorganisms, reaching 450 rpm at the 30th hour, indicating increased cellular activity. After 30 h of cultivation, the oxygen demand decreased, indicating the stationary growth phase of the microorganisms, observed by the decrease in the need for agitation (red line, Figure 8A). At this time, there was a pH change to 8.5, indicated by the arrow in Figure 8A.
During the first 24 h of cultivation (pH 5.5), we observed accelerated cell growth and a high yield in cellular biomass (Figure 8B) (47.9 g/L of dry biomass) compared with the growth observed in the culture with constant pH 7 (2.64 g/L). At 38 h of cultivation, there was a tendency toward decreased cellular biomass, which coincided with the moment when the pH was changed from 5.5 to 8.5, confirming what we observed through the DO demand. In the present work, a pH of 5.5 demonstrated greater biomass production, but changing the pH to 8.5 (at 37 h) for the pigment production step did not increase the extracellular red pigment concentration, different from what as reported by Orozco and Kilikian [20].
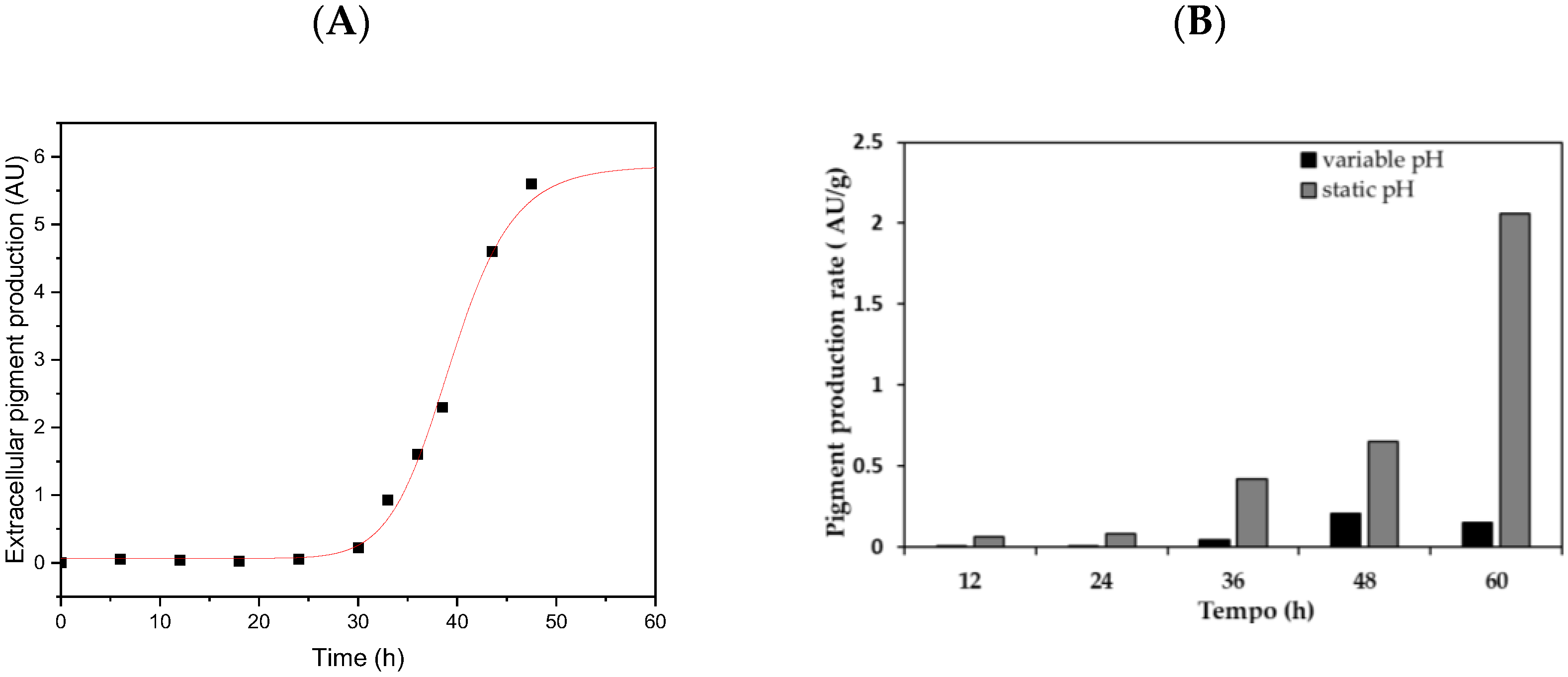
Figure 9 demonstrates the production of red pigment by Monascus purpureus in the bioreactor varying the pH. Although the fungus started producing pigments after 30 h of cultivation, as occurred in the other experiments, the maximum concentration of pigment was obtained after 48 h of cultivation, with a value of 5.65 AU, which was below what was found for the experiment with static pH at the same time (9.1 AU) (Figure 6). Furthermore, at no time that the experiment was controlled was there pigment production demonstrated in the previous experiment.
Figure 9.
(A) Production of Monascus red pigment under mannitol as a carbon source (MAN) in submerged cultivation in a bioreactor with varying pH of the media, and (B) pigment production ratio under mannitol as a carbon source (MAN) in submerged cultivation in a bioreactor.
Finally, the calculation of the pigment production rate (Figure 9B) corroborated the previously discussed results: (i) there was no pigment production in the first 24 h for the variable pH treatment, while some pigment production occurred for the static pH treatment; (ii) the pigment production rate was much higher in the static pH treatment compared to the variable pH treatment.
3.3. Calculation of the Maximum Specific Growth Rate, Coefficient of Pigment Production by Biomass, and Productivity
Table 2 presents the results obtained for maximum specific growth rate, coefficient of pigment production by biomass, and productivity.
Table 2.
Maximum specific growth rate, coefficient of pigment production by biomass, and productivityof Monascus red pigment under mannitol as a carbon source (MAN) in submerged cultivation in a bioreactor with static and varying pH of the media.
Although benchtop bioreactor cultivations with static or varied pH resulted in different biomass yields, the maximum specific growth rates were very similar. This may be an indication that the pH change in culture may not cause variation in the maximum specific velocity of cell growth, but only an increase in pigment production.
The coefficients of pigment production by biomass and productivity were 3.8 and 3.5 higher for the test using static pH compared with the varied pH assays. As we suspected from reading the extract absorbance unit (Figure 9A), the use of static pH 7 (with adjustments by adding NaOH to increase the pH and HCl to decrease the pH, as described in Section 2.2) throughout the cultivation resulted in a greater production of red pigment by M. purpureus.
4. Conclusions
The present study demonstrated that mannitol was efficient as a carbon source both in the production of Monascus biomass and in the production of extracellular red pigment. Furthermore, we demonstrated that it was possible to obtain the same concentration of red pigment reported in other studies in a shorter time using mannitol as the only carbon source and controlled cultivation in a bioreactor.
When the pH was maintained at 7, cultivation in a bioreactor potentiated extracellular pigment production, which increased three times compared with that of cultivation in flasks, indicating reproducibility and scalability for industrial reactors. The cultivation with pH ranging from 5.5 to 8.5 in the media containing mannitol did not prove to be efficient for increasing the pigment productivity, obtaining a much lower concentration than the cultivation with static pH, although pH 5.5 produced a higher yield in biomass concentration. Even so, it is necessary to carry out new tests to understand how mannitol acts as a carbon source in the metabolism of M. purpureus.
Author Contributions
Conceptualization, A.G.L., L.A.D. and M.B.E.; methodology, A.G.L., L.A.D. and M.B.E.; investigation, A.G.L., L.A.D. and M.B.E.; data curation, A.G.L., L.A.D. and M.B.E.; writing—original draft preparation, A.G.L. and L.A.D.; writing—review and editing, M.B.E.; supervision, M.B.E.; funding acquisition, M.B.E. All authors have read and agreed to the published version of the manuscript.
Funding
This research received no external funding.
Data Availability Statement
Not applicable.
Acknowledgments
The authors acknowledge the financial support of CNPq, FAPEG, CAPES (001), and IF Goiano.
Conflicts of Interest
The authors declare no conflict of interest.
References
- Downham, A.; Collins, P. Colouring our foods in the last and next millennium. Int. J. Food Sci. Technol. 2000, 35, 5–22. [Google Scholar] [CrossRef]
- Watson, D. Food Chemical Safety: Volume 2: Additives; Woodhead Publishing: Sawston, UK, 2002; Volume 2. [Google Scholar]
- Burrows, J.A. Palette of our palates: A brief history of food coloring and its regulation. Compr. Rev. Food Sci. Food Saf. 2009, 8, 394–408. [Google Scholar] [CrossRef]
- Mittal, J. Permissible synthetic food dyes in India. Resonance 2020, 25, 567–577. [Google Scholar] [CrossRef]
- McCann, D.; Barrett, A.; Cooper, A.; Crumpler, D.; Dalen, L.; Grimshaw, K.; Kitchin, E.; Lok, K.; Porteous, L.; Prince, E. Food additives and hyperactive behaviour in 3-year-old and 8/9-year-old children in the community: A randomised, double-blinded, placebo-controlled trial. Lancet 2007, 370, 1560–1567. [Google Scholar] [CrossRef] [PubMed]
- Potera, C. Diet and Nutrition: The Artificial Food Dye Blues; National Institute of Environmental Health Sciences: Research Triangle Park, NC, USA, 2010. [Google Scholar]
- Oplatowska-Stachowiak, M.; Elliott, C.T. Food colors: Existing and emerging food safety concerns. Crit. Rev. Food Sci. Nutr. 2017, 57, 524–548. [Google Scholar] [CrossRef] [PubMed]
- Fernández-López, J.A.; Fernández-Lledó, V.; Angosto, J.M. New insights into red plant pigments: More than just natural colorants. RSC Adv. 2020, 10, 24669–24682. [Google Scholar] [CrossRef]
- Wrolstad, R.E.; Culver, C.A. Alternatives to those artificial FD&C food colorants. Annu. Rev. Food Sci. Technol. 2012, 3, 59–77. [Google Scholar]
- Tuli, H.S.; Chaudhary, P.; Beniwal, V.; Sharma, A.K. Microbial pigments as natural color sources: Current trends and future perspectives. J. Food Sci. Technol. 2015, 52, 4669–4678. [Google Scholar] [CrossRef]
- Galaffu, N.; Bortlik, K.; Michel, M. An industry perspective on natural food colour stability. In Colour Additives for Foods and Beverages; Elsevier: Amsterdam, The Netherlands, 2015; pp. 91–130. [Google Scholar]
- Panesar, R.; Kaur, S.; Panesar, P.S. Production of microbial pigments utilizing agro-industrial waste: A review. Curr. Opin. Food Sci. 2015, 1, 70–76. [Google Scholar] [CrossRef]
- Chen, W.; Chen, R.; Liu, Q.; He, Y.; He, K.; Ding, X.; Kang, L.; Guo, X.; Xie, N.; Zhou, Y. Orange, red, yellow: Biosynthesis of azaphilone pigments in Monascus fungi. Chem. Sci. 2017, 8, 4917–4925. [Google Scholar] [CrossRef]
- Chen, M.-H.; Johns, M.R. Effect of carbon source on ethanol and pigment production by Monascus purpureus. Enzym. Microb. Technol. 1994, 16, 584–590. [Google Scholar] [CrossRef]
- Almeida, A.d.; Lima, T.d.; Santos, N.; Santana, R.; Santos, S.d.; Egea, M. An alternative for corn bran byproduct: Fermentation using Monascus purpureus. Nutr. Food Sci. 2019, 50, 515–527. [Google Scholar] [CrossRef]
- Almeida, A.d.; Santos, N.; de Lima, T.; Santana, R.; de Oliveira Filho, J.; Peres, D.; Egea, M. Pigment bioproduction by Monascus purpureus using corn bran, a byproduct of the corn industry. Biocatal. Agric. Biotechnol. 2021, 32, 101931. [Google Scholar] [CrossRef]
- Yang, J.; Chen, Q.; Wang, W.; Hu, J.; Hu, C. Effect of oxygen supply on Monascus pigments and citrinin production in submerged fermentation. J. Biosci. Bioeng. 2015, 119, 564–569. [Google Scholar] [CrossRef]
- Keivani, H.; Jahadi, M.; Ghasemisepero, N. Optimizing submerged cultivation for the production of red pigments by Monascus purpureus on soybean meals using Response Surface Methodology. Appl. Food Biotechnol. 2020, 7, 143–152. [Google Scholar]
- Huawei, Z.; Chengtao, W.; Jie, Q.; Bingjing, Z.; Bing, Z.; Chuangyun, D. Determining a suitable carbon source for the production of intracellular pigments from Monascus purpureus HBSD 08. Pigment Resin Technol. 2019, 48, 547–554. [Google Scholar] [CrossRef]
- Orozco, S.F.B.; Kilikian, B.V. Effect of pH on citrinin and red pigments production by Monascus purpureus CCT3802. World J. Microbiol. Biotechnol. 2008, 24, 263–268. [Google Scholar] [CrossRef]
- Zhang, L.; Li, Z.; Dai, B.; Zhang, W.; Yuan, Y. Effect of submerged and solid-state fermentation on pigment and citrinin production by Monascus purpureus. Acta Biol. Hung. 2013, 64, 385–394. [Google Scholar] [CrossRef]
- Huang, Z.-R.; Zhou, W.-B.; Yang, X.-L.; Tong, A.-J.; Hong, J.-L.; Guo, W.-L.; Li, T.-T.; Jia, R.-B.; Pan, Y.-Y.; Lin, J. The regulation mechanisms of soluble starch and glycerol for production of azaphilone pigments in Monascus purpureus FAFU618 as revealed by comparative proteomic and transcriptional analyses. Food Res. Int. 2018, 106, 626–635. [Google Scholar] [CrossRef]
- Solomon, P.S.; Waters, O.D.; Oliver, R.P. Decoding the mannitol enigma in filamentous fungi. Trends Microbiol. 2007, 15, 257–262. [Google Scholar] [CrossRef]
- Clarke, K.G. Bioprocess Engineering: An Introductory Engineering and Life Science Approach; Elsevier: Amsterdam, The Netherlands, 2013. [Google Scholar]
- Stavenga, D.; Smits, R.; Hoenders, B. Simple exponential functions describing the absorbance bands of visual pigment spectra. Vis. Res. 1993, 33, 1011–1017. [Google Scholar] [CrossRef] [PubMed]
- Silbir, S.; Goksungur, Y. Natural red pigment production by Monascus purpureus in submerged fermentation systems using a food industry waste: Brewer’s spent grain. Foods 2019, 8, 161. [Google Scholar] [CrossRef] [PubMed]
- Subhasree, R.; Babu, P.D.; Vidyalakshmi, R.; Mohan, V.C. Effect of carbon and nitrogen sources on stimulation of pigment production by Monascus purpureus on jackfruit seeds. Int. J. Microbiol. Res. (IJMR) 2011, 2, 184–187. [Google Scholar]
- Corina, D.; Munday, K. Studies on polyol function in Aspergillus clavatus: A role for mannitol and ribitol. Microbiology 1971, 69, 221–227. [Google Scholar] [CrossRef]
- Hult, K.; Veide, A.; Gatenbeck, S. The distribution of the NADPH regenerating mannitol cycle among fungal species. Arch. Microbiol. 1980, 128, 253–255. [Google Scholar] [CrossRef]
- Voegele, R.T.; Hahn, M.; Lohaus, G.; Link, T.; Heiser, I.; Mendgen, K. Possible roles for mannitol and mannitol dehydrogenase in the biotrophic plant pathogen Uromyces fabae. Plant Physiol. 2005, 137, 190–198. [Google Scholar] [CrossRef]
- Ruijter, G.J.; Bax, M.; Patel, H.; Flitter, S.J.; van de Vondervoort, P.J.; de Vries, R.P.; vanKuyk, P.A.; Visser, J. Mannitol is required for stress tolerance in Aspergillus niger conidiospores. Eukaryot. Cell 2003, 2, 690–698. [Google Scholar] [CrossRef]
- Webster, J.; Davey, R.; Smirnoff, N.; Fricke, W.; Hinde, P.; Tomos, D.; Turner, J. Mannitol and hexoses are components of Buller’s drop. Mycol. Res. 1995, 99, 833–838. [Google Scholar] [CrossRef]
- Trail, F.; Xu, H. Purification and characterization of mannitol dehydrogenase and identification of the corresponding cDNA from the head blight fungus, Gibberella zeae (Fusarium graminearum). Phytochemistry 2002, 61, 791–796. [Google Scholar] [CrossRef]
- Schmidell, W.; de Almeida Lima, U.; Borzani, W.; Aquarone, E. Biotecnologia Industrial-Vol. 2: Engenharia Bioquímica; Editora Blucher: São Paulo, Brazil, 2001; Volume 2. [Google Scholar]
- Pinches, A.; Pallent, L.J. Rate and yield relationships in the production of xanthan gum by batch fermentations using complex and chemically defined growth media. Biotechnol. Bioeng. 1986, 28, 1484–1496. [Google Scholar] [CrossRef]
- Garcia-Ochoa, F.; Gomez, E.; Santos, V.E.; Merchuk, J.C. Oxygen uptake rate in microbial processes: An overview. Biochem. Eng. J. 2010, 49, 289–307. [Google Scholar] [CrossRef]
Disclaimer/Publisher’s Note: The statements, opinions and data contained in all publications are solely those of the individual author(s) and contributor(s) and not of MDPI and/or the editor(s). MDPI and/or the editor(s) disclaim responsibility for any injury to people or property resulting from any ideas, methods, instructions or products referred to in the content. |
© 2023 by the authors. Licensee MDPI, Basel, Switzerland. This article is an open access article distributed under the terms and conditions of the Creative Commons Attribution (CC BY) license (https://creativecommons.org/licenses/by/4.0/).

















