Three-Parameter P-S-N Curve Fitting Based on Improved Maximum Likelihood Estimation Method
Abstract
1. Introduction
2. Improved Methods
2.1. BSIM
2.2. GM
- (1)
- Calculate the sample mean and standard deviation of the logarithmic lives at all stresses, respectively;
- (2)
- Search σ0,50 in the region [0, σmin] and set the step size as 0.1 MPa. For each σ0,50, the median S-N equation, = log(C50) − m50log(σ − σ0,50), is derived by fitting all sample means by the least squares method;
- (3)
- Search σ0,99 in the region [0, σmin] and set the step size as 0.1 MPa. For each σ0,99, the logarithmic life at p can be calculated by log(np) = . Finally, the P-S-N equation can be obtained by fitting the relation between log(np) and stress with the least squares method.
2.3. IMLM
3. Validations
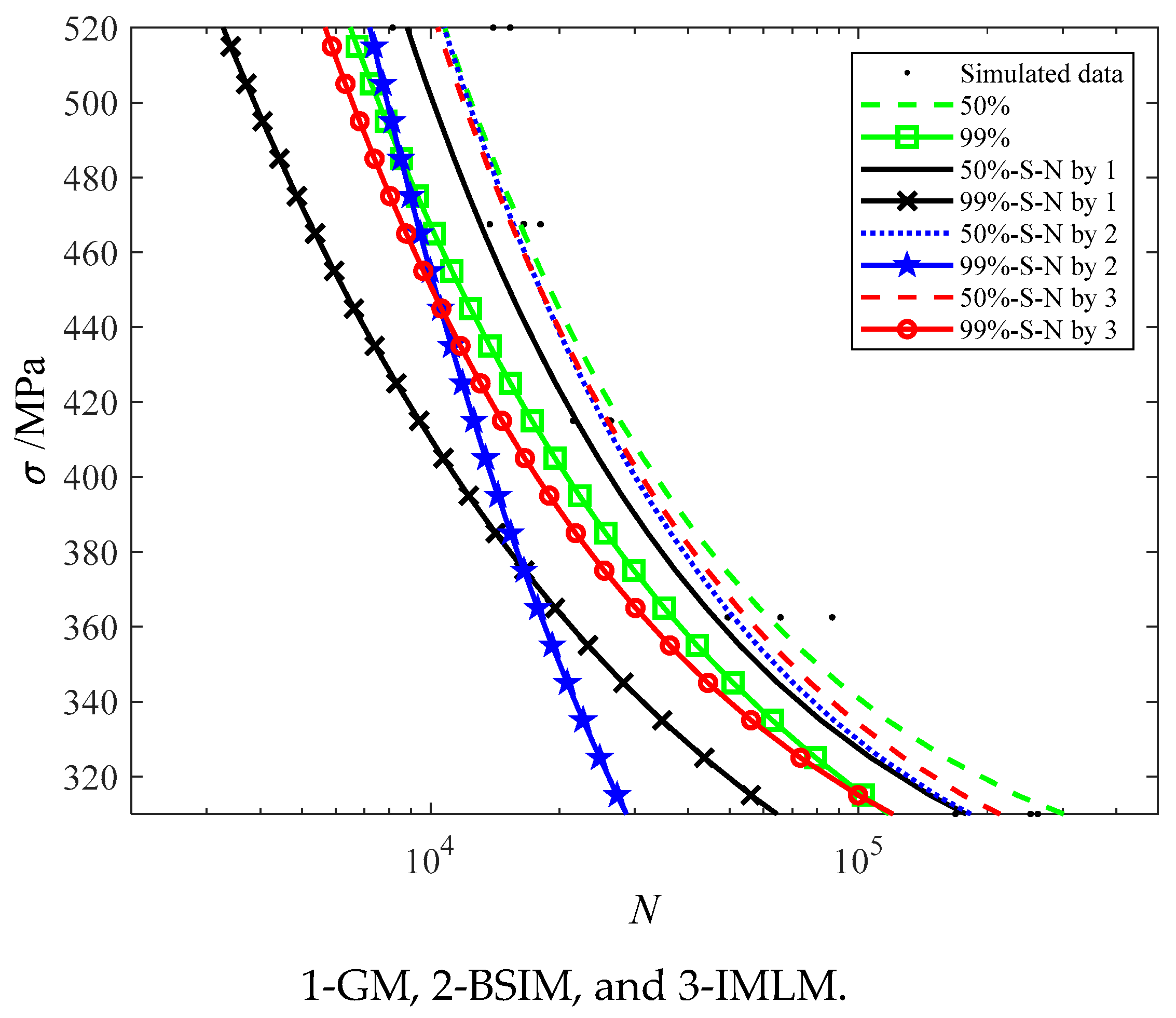
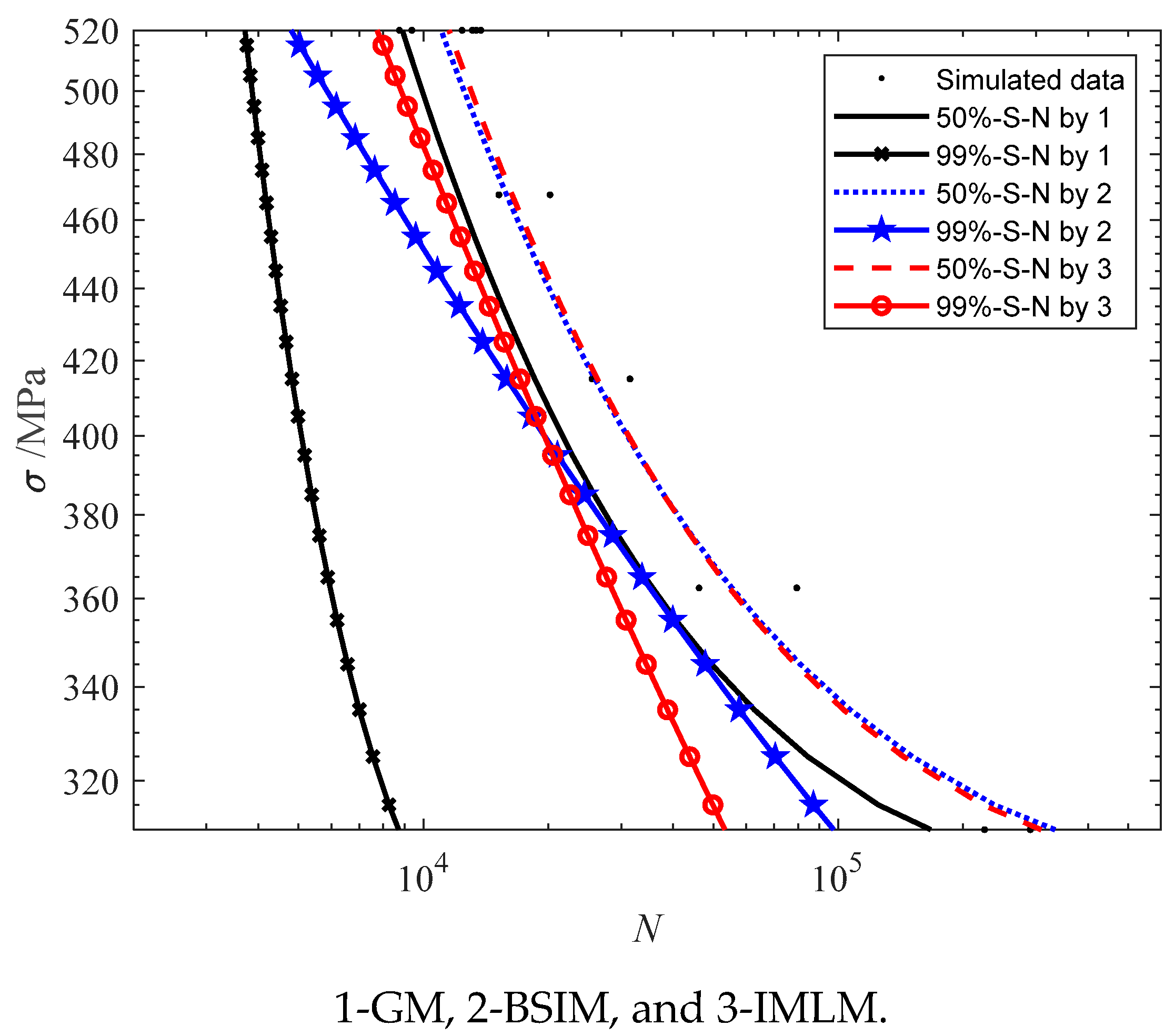
3.1. Simulation Comparisons
- (1)
- The first simulation test.
- (2)
- The second simulation test.
3.2. Experimental Comparisons
4. Arrangement of Specimens in a P-S-N Test
5. Conclusions
- (1)
- Through the simulation test, the comparison with the original P-S-N curve proves that IMLM has the best fitting effect among the three methods, followed by BSIM. The GM method has an application limitation; it cannot be used in a situation where the stress level has only one life sample;
- (2)
- The fatigue test shows that, among the three methods, IMLM can reflect the characteristic of life dispersion increasing with the decrease of stress, and the fitting result is reasonable;
- (3)
- The IMLM combining the advantages of BSIM and the maximum likelihood estimation has high-fitting accuracy. The advantage of IMLM is that it expands the sample information, so it improves the disadvantage caused by the small sample size. At the same time, it has a reasonable optimal solution search criterion, which makes up for the deficiency of the BSIM method;
- (4)
- According to the test scheme proposed according to the IMLM, a large number of samples are saved compared with the traditional method under the same precision requirement.
Author Contributions
Funding
Data Availability Statement
Conflicts of Interest
References
- Amiri, N.; Farrahi, G.; Kashyzadeh, K.R.; Chizari, M. Applications of ultrasonic testing and machine learning methods to predict the static & fatigue behavior of spot-welded joints. J. Manuf. Process. 2020, 52, 26–34. [Google Scholar]
- Jouini, N.; Revel, P.; Thoquenne, G. Influence of surface integrity on fatigue life of bearing rings finished by precision hard turning and grinding. J. Manuf. Process. 2020, 57, 444–451. [Google Scholar] [CrossRef]
- Tan, X.; Xie, L. Fatigue reliability evaluation method of a gear transmission system under variable amplitude loading. IEEE Trans. Reliab. 2018, 68, 599–608. [Google Scholar] [CrossRef]
- Hoole, J.; Sartor, P.; Booker, J.; Cooper, J.; Gogouvitis, X.V.; Schmidt, R.K. Systematic statistical characterisation of stress-life datasets using 3-Parameter distributions. Int. J. Fatigue 2019, 129, 105216. [Google Scholar] [CrossRef]
- Zheng, X.L.; Wei, J.F. On the prediction of P-S-N curves of 45 steel notched elements and probability distribution of fatigue life under variable amplitude loading from tensile properties. Int. J. Fatigue 2005, 27, 601–609. [Google Scholar] [CrossRef]
- Shimizu, S.; Tosha, K.; Tsuchiya, K. New data analysis of probabilistic stress-life (P-S-N) curve and its application for structural materials. Int. J. Fatigue 2010, 32, 565–575. [Google Scholar] [CrossRef]
- Fouchereau, R.; Celeux, G.; Pamphile, P. Probabilistic modeling of S-N curves. Int. J. Fatigue 2014, 68, 217–223. [Google Scholar] [CrossRef]
- Xie, L.Y.; Liu, J.Z. Principle of sample polymerization and method of P-S-N curve fitting. J. Mech. Eng. 2013, 49, 96–104. [Google Scholar] [CrossRef]
- Gao, J.; An, Z.; Liu, B. A new method for obtaining P-S-N curves under the condition of small sample. Proc. Inst. Mech. Eng. Part O J. Risk Reliab. 2017, 231, 130–137. [Google Scholar] [CrossRef]
- Huang, T.; An, Z.W.; Ma, Q.; Han, M.Q. Fitting method of small sample psn curve based on weibull distribution. In IOP Conference Series: Materials Science and Engineering; IOP Publishing: Bristol, UK, 2021; Volume 1043, p. 022034. [Google Scholar]
- Castillo, E.; Fernández-Canteli, A.; Siegele, D. Obtaining S–N curves from crack growth curves: An alternative to self-similarity. Int. J. Fract. 2014, 187, 159–172. [Google Scholar] [CrossRef]
- Guida, M.; Penta, F. A Bayesian analysis of fatigue data. Struct. Saf. 2010, 32, 64–76. [Google Scholar] [CrossRef]
- Weibull, W. Fatigue Testing and Analysis of Results; Elsevier: Amsterdam, The Netherlands, 2013. [Google Scholar]
- Leonetti, D.; Maljaars, J.; Snijder, H.H.B. Fitting fatigue test data with a novel SN curve using frequentist and Bayesian inference. Int. J. Fatigue 2017, 105, 128–143. [Google Scholar] [CrossRef]
- ASTM. E739-91; Standard Practice for Statistical Analysis of Linear or Linearized Stress-Life (S-N) and Strain-Life (ε-N) Fatigue Data. ASTM: Conshohocken, PA, USA, 1991.
- Gu, Y.J.; Jin, T.Z.; Zu, H.D.; Xu, J.; Chen, D.C. High-cycle fatigue PSN curve estimating method based on maximum likelihood method for turbine coupling bolt materials. In Applied Mechanics and Materials; Trans Tech Publications Ltd.: Zurich, Switzerland, 2014; Volume 541, pp. 592–598. [Google Scholar]
- Liu, W.; Zhang, Y.; He, L.; Gao, Z.; Pu, X. Maximum likelihood method based on specimen information reconstruction and life equivalent principle for PSN curve fitting. Authorea 2020, Preprints. [Google Scholar]
- Jing, L.; Pan, J. A maximum likelihood method for estimating P-S-N curves. Int. J. Fatigue 1997, 19, 415–419. [Google Scholar]
- Schijve, J. Fatigue of Structures and Materials; Springer Science & Business Media: New York, NY, USA, 2001. [Google Scholar]
- GJB/Z 18A; Data Reduction and Presentation of Mechanical Property for Metallic Materials. State Commission of Science and Technology for National Defense Industry: Beijing, China, 2005. (In Chinese)
- Zhao, Y.X.; Zhang, Y.; He, H.W. Improved measurement on probabilistic fatigue limits/strengths by test data from staircase test method. Int. J. Fatigue 2017, 94, 58–80. [Google Scholar] [CrossRef]
- ISO 12107; Metallic Materials-Fatigue Testing-Statistical Planning and Analysis of Data. ISO: London, UK, 2003.
- Silva, A.; Correia, J.A.; Xin, H.; Lesiuk, G.; De Jesus, A.M.; Fernandes, A.A.; Berto, F. Fatigue strength assessment of riveted details in railway metallic bridges. Eng. Fail. Anal. 2021, 121, 105120. [Google Scholar] [CrossRef]
- Liu, X.; Presas, A.; Luo, Y.; Wang, Z. Crack growth analysis and fatigue life estimation in the piston rod of a Kaplan hydro turbine. Fatigue Fract. Eng. Mater. Struct. 2018, 41, 2402–2417. [Google Scholar] [CrossRef]
- Borsato, T.; Berto, F.; Ferro, P.; Carollo, C. Influence of solidification defects on the fatigue behaviour of heavy-section silicon solution-strengthened ferritic ductile cast irons. Fatigue Fract. Eng. Mater. Struct. 2018, 41, 2231–2238. [Google Scholar] [CrossRef]
- Terrin, A.; Meneghetti, G. A comparison of rolling contact fatigue behaviour of 17NiCrMo6-4 case-hardened disc specimens and gears. Fatigue Fract. Eng. Mater. Struct. 2018, 41, 2321–2337. [Google Scholar] [CrossRef]
- Fu, H.; Gao, Z.; Liang, M. P-S-N curve fitting method. Chin. J. Aeronaut. 1988, 7, 42–45. (In Chinese) [Google Scholar]
- Xie, L.; Liu, J.; Wu, N.; Qian, W. Backwards statistical inference method for P–S–N curve fitting with small-sample experiment data. Int. J. Fatigue 2014, 63, 62–67. [Google Scholar] [CrossRef]
- Li, C.; Wu, S.; Zhang, J.; Xie, L.; Zhang, Y. Determination of the fatigue PSN curves–A critical review and improved backward statistical inference method. Int. J. Fatigue 2020, 139, 105789. [Google Scholar] [CrossRef]
- Tan, X. P–S–N curve fitting method based on sample aggregation principle. J. Fail. Anal. Prev. 2019, 19, 270–278. [Google Scholar] [CrossRef]
- Bai, X.; Zhang, P.; Zhang, Z.-J.; Liu, R.; Zhang, Z.-F. New method for determining P-S-N curves in terms of equivalent fatigue lives. Fatigue Fract. Eng. Mater. Struct. 2019, 42, 2340–2353. [Google Scholar] [CrossRef]
- Zhao, Y.X.; Yang, B.; Feng, M.F.; Wang, H. Probabilistic fatigue S– N curves including the super-long life regime of a railway axle steel. Int. J. Fatigue 2009, 31, 1550–1558. [Google Scholar] [CrossRef]
- Liu, X.-W.; Lu, D.-G. Survival analysis of fatigue data: Application of generalized linear models and hierarchical Bayesian model. Int. J. Fatigue 2018, 117, 39–46. [Google Scholar] [CrossRef]
- Faghidian, S.; Jozie, A.; Sheykhloo, M.; Shamsi, A. A novel method for analysis of fatigue life measurements based on modified Shepard method. Int. J. Fatigue 2014, 68, 144–149. [Google Scholar] [CrossRef]
- Liu, X.W.; Lu, D.G.; Hoogenboom, P.C.J. Hierarchical Bayesian fatigue data analysis. Int. J. Fatigue 2017, 100, 418–428. [Google Scholar] [CrossRef]
- Bučar, T.; Nagode, M.; Fajdiga, M. A neural network approach to describing the scatter of S–N curves. Int. J. Fatigue 2006, 28, 311–323. [Google Scholar] [CrossRef]
- Al-Assaf, Y.; Kadi, H.E. Fatigue life prediction of composite materials using polynomial classifiers and recurrent neural networks. Compos. Struct. 2007, 77, 561–569. [Google Scholar] [CrossRef]
- Gope, P.C. Determination of sample size for estimation of fatigue life by using Weibull or log-normal distribution. Int. J. Fatigue 1999, 21, 745–752. [Google Scholar] [CrossRef]
- Gope, P.C. Determination of minimum number of specimens in SN testing. Trans.-Am. Soc. Mech. Eng. J. Eng. Mater. Technol. 2002, 124, 421–427. [Google Scholar]
- Efron, B. Computers and the theory of statistics: Thinking the unthinkable. Siam Rev. 1979, 21, 460–480. [Google Scholar] [CrossRef]
- Fu, H. A confidence lower limit of population percentile. J. Beijing Univ. Aeronaut. Astronaut. 1990, 3, 1–8. [Google Scholar]
- Wirsching, P.; Wu, Y. Probabilistic and statistical methods of fatigue analysis and design, in Pressure Vessel and Piping Technology 1985. In A Decade of Progress 1985; Raj, C., Sundararajan, Eds.; American Society of Mechanical Engineers: New York, NY, USA, 1985; pp. 793–819. [Google Scholar]
- ASTM. E466-07; Standard Practice for Conducting Force Controlled Constant Amplitude Axial Fatigue Tests of Metallic Materials. ASTM International: West Conshohocken, PA, USA, 2015.








| σ (MPa) | 310 | 325 | 340 | 355 | 370 | 
| 385 | 400 | 415 | 430 | 445 | |
| 460 | 475 | 490 | 505 | 520 | |
| log10(Ni) | 5.3717 | 5.3353 | 5.0782 | 4.7968 | 4.6973 | 
| 4.5450 | 4.2898 | 4.3398 | 4.2268 | 4.2127 | |
| 4.2826 | 4.3331 | 4.0443 | 4.0524 | 4.1151 | 
| σ (MPa) | log10(Ni) | ||
|---|---|---|---|
| 520 | 3.9113 | 4.1861 | 4.1465 | 
| 467.5 | 4.2175 | 4.1384 | 4.2570 | 
| 415 | 4.4192 | 4.3334 | 4.4213 | 
| 362.5 | 4.6947 | 4.9385 | 4.8176 | 
| 310 | 5.4189 | 5.4020 | 5.2264 | 
| σ (MPa) | log10(Ni) | |||||
|---|---|---|---|---|---|---|
| 520 | 4.0932 | 3.9722 | 4.1182 | 3.9422 | 4.1272 | 4.1384 | 
| 467.5 | 4.3053 | 4.1819 | ||||
| 415 | 4.4065 | 4.4978 | ||||
| 362.5 | 4.9001 | 4.6645 | ||||
| 310 | 5.4628 | 5.3531 | 5.8742 | |||
| σ/MPa | log10(Ni) | |||||||||
|---|---|---|---|---|---|---|---|---|---|---|
| 520 | 4.0629 | 4.1664 | 4.0710 | 4.1211 | 3.8806 | |||||
| 467 | 4.1395 | 4.2850 | 4.1073 | 4.0806 | 4.2742 | 4.1390 | ||||
| 415 | 4.5359 | 4.3766 | 4.3600 | 4.3306 | 4.4868 | 4.6893 | 4.5071 | |||
| 362 | 4.7545 | 4.7930 | 4.7122 | 4.6393 | 4.8050 | 4.7825 | 4.9039 | 4.8656 | ||
| 310 | 5.4868 | 5.5560 | 5.6568 | 5.6376 | 5.3726 | 5.6099 | 5.5003 | 5.3834 | 5.2650 | 5.5819 | 
| Disclaimer/Publisher’s Note: The statements, opinions and data contained in all publications are solely those of the individual author(s) and contributor(s) and not of MDPI and/or the editor(s). MDPI and/or the editor(s) disclaim responsibility for any injury to people or property resulting from any ideas, methods, instructions or products referred to in the content. | 
© 2023 by the authors. Licensee MDPI, Basel, Switzerland. This article is an open access article distributed under the terms and conditions of the Creative Commons Attribution (CC BY) license (https://creativecommons.org/licenses/by/4.0/).
Share and Cite
Tan, X.; Li, Q.; Wang, G.; Xie, K. Three-Parameter P-S-N Curve Fitting Based on Improved Maximum Likelihood Estimation Method. Processes 2023, 11, 634. https://doi.org/10.3390/pr11020634
Tan X, Li Q, Wang G, Xie K. Three-Parameter P-S-N Curve Fitting Based on Improved Maximum Likelihood Estimation Method. Processes. 2023; 11(2):634. https://doi.org/10.3390/pr11020634
Chicago/Turabian StyleTan, Xiufeng, Qiang Li, Guanqin Wang, and Kai Xie. 2023. "Three-Parameter P-S-N Curve Fitting Based on Improved Maximum Likelihood Estimation Method" Processes 11, no. 2: 634. https://doi.org/10.3390/pr11020634
APA StyleTan, X., Li, Q., Wang, G., & Xie, K. (2023). Three-Parameter P-S-N Curve Fitting Based on Improved Maximum Likelihood Estimation Method. Processes, 11(2), 634. https://doi.org/10.3390/pr11020634
 
        

 
       