Abstract
The strategy of the nucleophilic substitution of hydrogen (SNH) was first applied for the metal-free C-H/C-H coupling reactions of 4H-imidazole 3-oxides with indoles. As a result, a series of novel bifunctional azaheterocyclic derivatives were obtained in yields up to 95%. In silico experiments on the molecular docking were performed to evaluate the binding possibility of the synthesized small azaheterocyclic molecules to the selected biotargets (BACE1, BChE, CK1δ, AChE) associated with the pathogenesis of neurodegenerative diseases. To assess the cytotoxicity for the synthesized compounds, a series of in vitro experiments were also carried out on healthy human embryo kidney cells (HEK-293). The leading compound bearing both 5-phenyl-4H-imidazole and 1-methyl-1H-indole moieties was defined as the prospective molecule possessing the lowest cytotoxicity (IC50 > 300 µM on HEK-293) and the highest binding energy in the protein–ligand complex (AChE, −13.57 kcal/mol). The developed compounds could be of particular interest in medicinal chemistry, particularly in the targeted design of small-molecule candidates for the treatment of neurodegenerative disorders.
1. Introduction
Nowadays, as life expectancy increases, the number of people being affected by neurodegenerative diseases is steadily growing as well. Such pathologies include Alzheimer’s disease (AD), which is characterized by latent onset and the gradual progression of loss [1]; Parkinson’s disease (PD), which leads to impaired functioning of the musculoskeletal system [2]; frontotemporal dementia/amyotrophic lateral sclerosis (FTD/ALS), which is characterized by the relentless progression of skeletal muscle weakness [3]; and Huntington’s disease (HD), which leads to a progressive motor disorder and cognitive disturbance culminating in dementia and psychiatric disturbances [4].
There are several approaches in modern medical practice for the treatment of neurodegenerative pathologies. One of them is the prevention of mitochondrial dysfunction, which directly affects the pathogenesis of neurodegenerative diseases [5]. The next means of therapy is the inhibition of acetylcholine (AChE) and butyrylcholine esterases (BChE), which promote the progression of AD by rapidly hydrolyzing acetylcholine (ACh), which results in the termination of signaling at the cholinergic synaptic cleft [6]. Another approach is the inhibition of casein kinase 1δ (CK1δ), a serine/threonine-selective enzyme that is responsible for the regulation of signaling pathways in most types of eukaryotic cells [7]. Additionally, the inhibition of beta-secretase-1 (BACE1) prevents the formation of amyloid plaques, which are one of the main causes of the progression of Alzheimer’s disease [8]. Therefore, the development of compounds as inhibitors of enzymes that have an impact on the progression of neurodegenerative diseases is one of the key multidisciplinary tasks for modern organic synthesis and medicinal chemistry.
It is well known that small molecules containing imidazole scaffolds have a wide range of biological activities, including neuroprotective ones (Figure 1) [9]. For example, compound I is an inhibitor of AChE, and imidazole-containing molecule II is an inhibitor of the Monoamine Oxidase-B (MAOB) associated with Parkinson’s disease progression [6,10]. Meanwhile, compound III is an inhibitor of cyclooxygenase (COX), which directly affects the progression of neurodegenerative diseases [11]. Imidazole derivatives modified by azaheterocyclic fragments, particularly indole scaffolds, form a special class of bicyclic compounds with various biological and pharmacological activities (antibacterial, anti-depressant, antioxidant, etc.) [12]. For instance, compound IV is a protein kinase C inhibitor, which is one of the targets for the treatment of AD [13], while the imidazole derivative V is of interest as an effective 5-HT7 serotonin receptor agonist [14]. Thus, the development of novel synthetic methodologies to obtain indolyl imidazole is a challenging task in the design of new drug candidates for the therapy of neurodegenerative diseases.
Figure 1.
Active pharmaceutical ingredients (APIs) based on imidazole or indolyl-derived imidazole scaffolds (Blue color indicates the imidazole ring, red color shows the indole moiety).
There have been a number of synthetic strategies to design indolyl-derived imidazole compounds. For example, these promising molecular systems can be synthesized by constructing indole or imidazole cycles (Scheme 1a) [15,16,17,18,19,20,21]. Besides this, it is possible to use direct coupling between these substrates for the synthesis of the desired compounds [22,23,24,25]. Moreover, both transitional-metal-catalyzed and metal-free couplings of imidazole and indole are also utilized (Scheme 1b). For instance, our research group previously reported C-H/C-H coupling of 2H-imidazole-1-oxides with indoles [26] (Scheme 1c). It is worth mentioning that these processes were carried out following the Pot, Atom and Step Economical (PASE) and green chemistry principles [27,28,29] (e.g., using non-toxic solvents, reducing the number of by-products, etc.) One of the most progressive synthetic methodologies that supports these principles is the C-H functionalization strategy. Subsequently, reactions of the nucleophilic substitution of hydrogen (SNH) are considered as special cases of chemical transformations that have been successfully applied to modify both aromatic and non-aromatic azaheterocyclic substrates [30,31,32]. At this time, this strategy was put into practice only for the alkylation of 4H-imidazole 3-oxides (via the Grignard addition/oxidation reaction sequence) [33]. However, there have not been any examples of heteroarylation reported so far.
Scheme 1.
Synthetic strategies towards indolyl-substituted imidazoles (Blue color indicates the imidazole ring, red color shows the indole moiety). State-of-the-art: (a) ring construction methods, (b) direct coupling methods, (c) our previous work, and (d) this work.
This work deals with the synthesis of indolyl-substituted imidazole derivatives utilizing SNH modifications of 4H-imidazole 3-oxides (Scheme 1d), the virtual screening of targets associated with neurodegenerative diseases, and the assessment of cytotoxic effects to evaluate the possibility of the further study and application of these compounds.
2. Materials and Methods
2.1. Experimental Procedure
Nuclear magnetic resonance (NMR) spectra were recorded on the Bruker AV-300, AV-400, DRX-500, and Bruker Avance II (400 MHz) spectrometers. All 1H NMR experiments were reported in δ units, parts per million (ppm), and were measured relative to residual chloroform DCCl3 (7.26 ppm) or DMSO (2.50 ppm) signals in the deuterated solvent. All 13C NMR spectra were reported in parts per million (ppm) relative to DCCl3 (77.16 ppm) or DMSO-d6 (39.52 ppm) and all spectra were obtained with 1H decoupling. All coupling constants J were reported in Hertz (Hz). The following abbreviations were used to describe peak splitting patterns (s = singlet, d = doublet, t = triplet, dd = doublet of doublet, m = multiplet, and br s = broadened singlet). The mass spectra were recorded on a mass spectrometer, SHIMADZU GCMS-QP2010 Ultra, with sample ionization by electron impact (EI). The IR spectra were recorded using a Fourier-transform infrared spectrometer (Bruker Corporation, 40 Manning Rd, Billerica, MA, USA) equipped with a diffuse reflection attachment. The elemental analysis was carried out on a Perkin Elmer Instrument equipped with the CHN PE 2400 II analyzer and on an automatic CNS analyzer EuroEA 3000. The UV–Vis spectra were obtained for EtOH solutions using a Hewlett-Packard HP 8453 spectrophotometer. The melting points were determined on the FP 81 HT instrument “METTLER TOLEDO”. The course of the reactions was monitored by TCL on 0.25 mm silica gel plates (60F 254).
Toluene, hexachloroacetone, acetone, chlorobenzene, PEG-400, 2-Me-THF, hexane, AcCl, TMS-Cl, ethyl chloroformate, oxalyl dichloride, EtOH, sodium bicarbonate, ethyl acetate, and Na2SO4 were purchased from Sigma-Aldrich and used as received.
Moreover, 2-(hydroxyamino)-2-methyl-1-phenylpropan-1-one (1a), 1-(4-bromophenyl)-2-(hydroxyamino)-2-methylpropan-1-one (1b), and 1-(4-fluorophenyl)-2-(hydroxyamino)-2-methylpropan-1-one (1c), were prepared according to a literature procedure [34,35].
2.1.1. Synthesis of 1-Hydroxy-2,5-Dihydroimidazoles 2a–c and 4H-Imidazole 3-Oxides 3a–c
First, 1-hydroxy-5,5-dimethyl-4-phenyl-2,5-dihydro-1H-imidazole (2a) was synthesized according to a slightly modified literature procedure [36]. To a suspension of 8.62 g (40 mmol) of crystallized 2-(hydroxyamino)-2-methyl-1-phenylpropan-1-one hydrochloride 1a in 25 mL of EtOH, 30% aqueous ammonia solution (15 mL) was quickly added and the mixture was stirred until a solution formed, after which 23.5 mL of 20% aqueous formaldehyde solution was added in one portion. The mixture was shaken until a homogeneous solution was formed and placed in a cold-water bath for 1 min (to prevent boiling due to an exothermic reaction). After the beginning of the formation of a precipitate of the product, the reaction flask was kept for 15 h at room temperature and 1 d at +2 °C. The precipitate was triturated, filtered off, washed with cold 40% aqueous EtOH (2 × 5 mL), and dried in a vacuum to a constant weight. Colorless needles. Yield: 38.12 mmol (7.252 g, 95%). Lit. yield: 26.08 mmol (4.962 g, 65%), mp = 183–185 °C (lit. mp = 184–185 °C). The 1H NMR spectrum of 1-hydroxy-3-imidazoline 2a corresponds to the literature one [36].
4,4-Dimethyl-5-phenyl-4H-imidazole 3-oxide (3a). To a solution of 760 mg (4 mmol) of N-hydroxy derivative 2a in 25 mL of chloroform, manganese dioxide was added (1.391 g, 16 mmol), and the reaction mixture was intensively stirred for 20 min (monitoring the conversion of the starting substrate by TLC). The reaction mixture was filtered through a glass filter with fine pores, the oxidant precipitate was washed with CHCl3 (3 × 3 mL), the combined filtrate was evaporated, and the yellow oily residue was shaken with 5 mL of hexane and cooled at −12 °C for 1 d. The precipitate was triturated, quickly filtered on a cold filter, and washed with ice-cold hexane (3 mL). Dark yellow crystals. Yield: 3.40 mmol (640 mg, 85%). Lit. yield 2.80 mmol (527 mg 70%), mp = 70–72 °C (lit. mp = 71–73 °C). The 1H and 13C NMR spectra of the sample corresponded to the spectra given in the literature [37].
General procedure for the synthesis of 4-(4-halophenyl)-1-hydroxy-5,5-dimethyl-2,5-dihydro-1H-imidazoles (Supplementary Materials, 2b,c). To a vigorously stirred suspension of 20 mmol of 2-hydroxylaminoketone hydrochloride, 1b,c in 18 mL of EtOH ammonium acetate (6.160 g, 80 mmol) was added, and, after 3 min, 6.00 g (40 mmol) of 20% aq HCHO was added dropwise to the resulting thick suspension. It was kept for 6 h at room temperature; the solvent was evaporated to a volume of 5 mL. Water (60 mL) was added to the residue, the mixture was shaken until the oily residue solidified, the precipitate was triturated till crystals formed, and the mixture was cooled at +3 °C for 72 h. The precipitate was filtered off, washed with ice water (2 × 10 mL), and dried under a vacuum to a constant weight.
4-(4-Bromophenyl)-1-hydroxy-5,5-dimethyl-2,5-dihydro-1H-imidazole (2b). Colorless fine needle-shaped crystals. Yield 19.44 mmol (5.230 g, 97%), mp = 142–143 °C (Hexane/EtOAc, 1:1). Rf 0.5 (CHCl3/MeOH, 10: 1). 1H NMR (400 MHz, DCCl3): δ 7.76 (br s, 1H); 7.62 (d, J = 7.5 Hz, 2H); 7.52 (d, J = 7.5 Hz, 2H); 4.98 (s, 2H); 1.43 (s, 6H) ppm. 13C {1H} NMR (100 MHz, DCCl3): δ 174.7 (C); 131.5 (CH); 129.3 (CH); 124.8 (C); 83.6 (CH2); 77.1 (C); 74.7 (C); 23.3 (CH3); 20.7 (CH3) ppm. IR (solid, KBr): ν 3641, 3165 (OH), 1620, 1589 (C=N), 1462, 1072, 1005, 835 cm−1. Anal. Calcd. for C11H13BrN2O: C, 49.09; H, 4.87; Br, 29.69; N, 10.41. Found: C, 49.17; H, 5.09; Br, 29.72; N, 10.53.
4-(4-Fluorophenyl)-1-hydroxy-5,5-dimethyl-2,5-dihydro-1H-imidazole (2c). Colorless needles. Yield: 18.20 mmol (3.79 g, 91%), mp = 109-110 °C (Hexane/EtOAc, 3:2). Rf 0.55 (CHCl3/MeOH, 10: 1). 1H NMR (300 MHz, DCCl3): δ 7.90 (br s, 1H); 7.77 (ddd, J = 7.5, 5.0, 1.5 Hz, 2H); 7.07 (ddd, J = 8.0, 7.5, 1.5 Hz, 2H); 4.98 (s, 2H); 1.44 (s, 6H) ppm. 13C {1H} NMR (75 MHz, DCCl3): δ 174.6 (C); 163.9 (d, J = 256 Hz, C); 129.8 (d, J = 9 Hz, CH); 128.8 (d, J = 3.2 Hz, C); 115.4 (d, J = 22.5 Hz, CH); 83.4 (CH2); 74.6 (C); 22.9 (CH3); 20.6 (CH3) ppm. 19F NMR (282.4 MHz, DCCl3): δ 52.99 (s, 1F) ppm. IR (solid, KBr,): ν 3424 (OH), 1614, 1601 (C=N), 1512, 1456, 1321, 1221, 1159, 1009, 850 cm−1. Anal. Calcd. for C11H13FN2O: C, 63.45; H, 6.29; F, 9.12; N, 13.45. Found: C, 63.22; H, 6.24; F, 9.38; N, 13.34.
5-(4-Bromophenyl)-4,4-dimethyl-4H-imidazole 3-oxide (3b). To a vigorously stirred solution of 4.79 g (17.8 mmol) of 1-hydroxy-2,5-dihydroimidazole, 2b in 50 mL of chloroform was added in one portion of manganese dioxide (3.097 g, 35.6 mmol) and the suspension was stirred for 60 min, after which 0.774 g (8.9 mmol) of fresh MnO2 was introduced. After additional stirring for 40 min (complete conversion of the initial substrate was monitored by TLC), the inorganic precipitate was filtered through a glass filter with fine pores, washed with 5 × 5 mL of chloroform and 2 × 6 mL of a mixture of CHCl3/EtOH, 5: 1, and the combined filtrate was evaporated to a thick oily residue. The latter was subjected to flash chromatography on silica gel, eluent CHCl3/MeOH, 30:1, and a yellow-greenish fraction with Rf = 0.35 was collected; then, the solvent was evaporated to form a crystalline residue of 3b.
Dark yellow long crystals. Yield 16.02 mmol (4.280 g, 90%), mp = 136.5 °C (dec., hexane-EtOAc, 2:1). Rf 0.8 (CHCl3/MeOH, 10: 1). 1H NMR (500 MHz, DCCl3): δ 7.78 (s, 1H); 7.76 (d, J = 8.5 Hz, 2H); 7.55 (d, J = 8.5 Hz, 2H); 1.61 (s, 6H) ppm. 13C {1H} NMR (125 MHz, DCCl3): δ 176.05 (C); 138.26 (CH); 132.20 (CH); 129.27 (C); 128.05 (CH); 126.36 (C); 79.13 (C); 23.68 (CH3) ppm. IR (solid, KBr): ν 1614, 1583 (C=N), 1522 (C=N-C=N-O), 1491, 1468, 1456, 1267, 1068, 1003, 831, 754 cm−1. UV (in EtOH, (lg ε)): λ 241 (3.74), 363 (4.05) nm. Anal. Calcd. for C11H11BrN2O: C, 49.46; H, 4.15; Br, 29.91; N, 10.49. Found: C, 49.81; H, 4.02; Br, 29.72; N, 10.45.
5-(4-Fluorophenyl)-4,4-dimethyl-4H-imidazole 3-oxide (3c). One portion of 3.48 g (40 mmol) of manganese dioxide was added to a solution of 4.160 g (20 mmol) of 1-hydroxy-2,5-dihydroimidazole 2c in 50 mL of chloroform and the suspension was intensively stirred for 45 min, after which 0.87 g (10 mmol) of fresh MnO2 was added. Again, the addition of a portion of fresh MnO2 (0.87 g, 10 mmol) was repeated after stirring the mixture for 1 h. The completeness of the initial substrate’s conversion was monitored by TLC. The total duration of stirring of the reaction mixture was 5.5 h. The precipitate of inorganics was filtered off through a glass filter with fine pores, washed with 5 × 8 mL of CHCl3 and 8 mL of CHCl3/EtOH, 5:1, and the combined filtrate was evaporated until the residue began to crystallize. The semisolid substance was triturated with 15 mL of hexane and the mixture was cooled at +3 °C for 1 d. The precipitate of the product was quickly filtered off on a cold filter, washed with ice-cold hexane (2 × 10 mL), and dried in a vacuum to a constant weight.
Yellow-orange needles. Yield: 18.73 mmol (3.862 g, 94%), mp = 115–116 °C (hexane). Rf 0.7 (CHCl3/MeOH, 10:1). 1H NMR (300 MHz, DCCl3): δ 7.98–7.87 (m, 2H); 7.78 (s, 1H); 7.15–7.07 (m, 2H); 1.61 (s, 6H) ppm. 13C {1H} NMR (150 MHz, DCCl3): δ 176.4 (C); 164.6 (d, J = 253.5 Hz, C); 138.4 (CH); 129.1 (d, J = 9 Hz, CH); 126.9 (d, 4JCF = 3 Hz, C); 116.3 (d, J = 22.5 Hz, CH); 79.1 (C); 23.8 (CH3) ppm. 19F NMR (282 MHz, DCCl3): δ 55.68 (s, 1F) ppm. IR (solid, KBr): ν 1603 (C=N), 1527 (C=N-C=N-O), 1512, 1227, 843, 573 cm−1. UV (in EtOH, (lg ε)): λ 233 (3.86), 276 (3.44), 359 (4.07) nm. Anal. Calcd. for C11H11FN2O: C, 64.07; H, 5.38; F, 9.21; N, 13.58. Found: C, 64.09; H, 5.34; F, 9.53; N, 13.66.
2.1.2. General Procedure for the Synthesis of Hydrochloride Salt of Indolyl Imidazole Derivatives (5a–d)
To a vigorously stirred mixture of 4H-imidazole-3-oxide 3a (0.5 mmol) and indole, 4a–e (0.5 mmol) in toluene (5 mL) at 0 °C acetyl chloride (0.5 mmol) was added. Subsequently, the resulting mixture was warmed to room temperature and subjected to continued stirring for an additional 30 min. Then, the resulting precipitate 3 was filtered off and washed with hexane (10 mL).
3-(4,4-Dimethyl-5-phenyl-4H-imidazol-2-yl)-1-methyl-1H-indole hydrochloride (5a). Light-brown solid. Yield: 0.24 mmol (81 mg, 48%), mp = 138–139 °C. Rf 0.12 (hexane/EtOAc, 7:3). 1H NMR (400 MHz, DMSO-d6): δ 7.92–7.90 (m, 2H); 7.79 (d, J = 7.9 Hz, 1H); 7.53–7.50 (m, 2H); 7.41 (d, J = 8.2 Hz, 1H); 7.33 (s, 1H); 7.16 (t, J = 8.2 Hz, 1H); 7.04 (t, J = 8.2 Hz, 1H); 6.34 (s, 1H); 3.76 (s, 3H); 1.53 (s, 3H), 1.41 (s, 3H) ppm. 13C {1H} NMR (DMSO-d6): δ 174.4; 169.6; 136.9; 132.3; 130.6; 128.6; 128.3; 127.9; 126.5; 121.2; 120.3; 118.8; 111.4; 109.6; 87.6; 74.1; 32.4; 19.1 ppm. IR (DRA): ν 3053, 2933, 1761, 1614, 1463, 1367, 1319, 1212, 1072, 1009, 940, 821, 734, 698, 598 cm−1. MS (EI): m/z 301 [M] + Anal. Calcd. for C20H20ClN3: C, 71.10; H, 5.97; Cl, 10.49; N, 12.44. Found: C, 70.96; H, 5.98; N, 12.42.
5-(Benzyloxy)-3-(4,4-dimethyl-5-phenyl-4H-imidazol-2-yl)-1H-indole hydrochloride (5b). Brown solid. Yield: 0.21 mmol (90 mg, 42%), mp = 136–137 °C. Rf 0.12 (hexane/EtOAc, 7:3). 1H NMR (400 MHz, DMSO-d6): δ 11.01 (br s, 1H); 7.94 (d, J = 8.7 Hz, 2H); 7.55–7.53 (m, 3H); 7.42–7.39 (m, 3H); 7.35–7. (m, 4H); 6.83 (dd, J = 8.8, 2.4 Hz, 1H); 6.36 (s, 1H); 5.06 (d, J = 6.7 Hz, 2H); 1.55 (s, 3H); 1.39 (s, 3H). ppm. 13C {1H} NMR (DMSO-d6): δ 175.3; 169.6; 152.0; 137.8; 131.7; 131.6; 131.1; 128.8; 128.3; 128.1; 127.6; 127.5; 126.5; 125.0; 112.1; 112.0; 103.6; 87.4; 74.2; 69.7; 21.1; 19.1 ppm. IR (DRA): ν 3127, 2410, 1756, 1617, 1579, 1453, 1359, 1212, 1017, 921, 837, 811, 746, 675, 551 cm−1. MS (EI): m/z 393 [M] +. Anal. Calcd. for C26H24ClN3O: C, 72.63; H, 5.63; Cl, 8.25; N, 9.77; O, 3.72. Found: C, 72.93; H, 5.61; N, 9.74.
3-(4,4-Dimethyl-5-phenyl-4H-imidazol-2-yl)-1H-indole hydrochloride (5c). Dark-brown solid. Yield: 0.32 mmol (105 mg, 65%), mp = 133–134 °C. Rf 0.1(hexane/EtOAc, 7:3).1H NMR (DMSO-d6): δ 11.18 (br s, 1H); 7.95–7.92 (m, 2H); 7.74 (d, J = 7.9 Hz, 1H); 7.55–7.50 (m, 2H); 7.39 (d, J = 8.1 Hz, 2H); 7.09 (t, J = 7.5 Hz, 1H); 6.99 (t, J = 7.5 Hz, 1H); 1.56 (s, 3H); 1.44 (s, 3H). ppm. 13C {1H} NMR (DMSO-d6): δ 172.0; 169.6; 136.5; 131.6; 131.1; 128.8; 128.1; 126.2; 121.2; 120.0; 118.7; 111.5; 94.1; 87.0; 74.2; 21.1; 19.1 ppm. IR (DRA): ν 3137, 2916, 2429, 1778, 1630, 1463, 1382, 1335, 1302, 1247, 1171, 933, 830, 756, 679 cm−1. MS (EI): m/z 287 [M]+. Anal. Calcd. for C19H18ClN3: C, 70.47; H, 5.60; Cl, 10.95; N, 12.98. Found: C, 70.24; H, 5.58; N, 12.92.
Ethyl 3-(4,4-dimethyl-5-phenyl-4H-imidazol-2-yl)-1H-indole-2-carboxylate hydrochloride (5d). Yellow solid. Yield: 0.105 mmol (41.6 mg, 21%), mp = 70–71 °C. Rf 0.1 (hexane/EtOAc, 7:3).1H NMR (400 MHz, DCCl3) δ 8.96 (br s, 1H); 7.85–7.82 (m, 2H); 7.69 (d, J = 7.8. Hz, 1H); 7.40–7.34 (m, 3H); 7.24 (s, 1H); 7.09 (s, 1H); 6.97 (t, J = 7.6 Hz, 1H); 4.33 (q, J = 7.2, 6.4 Hz, 2H); 1.56 (s, 3H); 1.56 (s, 3H); 1.31 (t, J = 7.1 Hz, 3H) ppm. 13C NMR (101 MHz, DCCl3): δ 207.1; 176.2; 161.6; 135.9; 132.7; 130.9; 128.8; 128.1; 127.7; 125.5; 125.2; 123.6; 120.9; 118.0; 111.9; 85.4; 61.3; 31.0; 19.0; 14.5 ppm. IR (DRA): ν 3327, 2983, 1760, 1675, 1542, 1460, 1324, 1256, 1201, 1013, 908, 803, 773, 744, 694 cm−1. MS (EI): m/z 359 [M] +. Anal. Calcd for C22H22ClN3O2: C, 66.75; H, 5.60; Cl, 8.95; N, 10.61; O, 8.08. Found: C, 66.58; H, 5.61; N, 10.59.
2.1.3. General Procedure for the Synthesis of Indolyl Imidazole Derivatives (6e–h)
To a vigorously stirred mixture of 4H-imidazole-3-oxide 3a–c (0.5 mmol) and indole, 4a–e (0.5 mmol) in toluene (5 mL) at 0 °C acetyl chloride (0.5 mmol) was added. Subsequently, the resulting mixture was warmed to room temperature and subjected to continued stirring for an additional 30 min. Then, the resulting precipitate 5 was filtered off, dissolved in EtOH (5 mL), and quenched with NaHCO3 (5% w/v H2O) to obtain pH 7–8. Water was added (50 mL) and the resulting mixture was extracted with EtOAc (3 × 15 mL), dried over Na2SO4, and evaporated in vacuo. Then, the resulting crude solid was purified by manual column chromatography using Hexane/EtOAc (8/2) as an eluent and the formed eluate was evaporated in vacuo to obtain compounds 6 as solids.
3-(5-(4-Bromophenyl)-4,4-dimethyl-4H-imidazol-2-yl)-1H-indol-5-ol (6e). Dark-green solid. Yield: 0.43 mmol (162.3 mg, 85%), mp = 135–136 °C. Rf 0.28 (hexane/EtOAc, 7:3).1H NMR (400 MHz, DCCl3): δ 8.08 (s, 1H); 7.89 (d, J = 8.6 Hz, 2H); 7.71 (dd, J = 5.7, 3.3 Hz, 3H); 7.53 (dd, J = 5.7, 3.4 Hz, 3H); 6.35 (s, 1H); 1.60 (s, 3H); 1.52 (s, 3H). ppm. 13C {1H} NMR (101 MHz, DCCl3): δ 170.3; 150.1; 132.3; 132.0; 131.6; 130.6; 129.8; 125.5; 113.1; 112.5; 112.3; 111.9; 107.0; 105.2; 89.0; 25.0; 19.4. ppm. IR (DRA): ν 3327, 2925, 2855, 1729, 1607, 1581, 1464, 1381, 1274, 1123, 1072, 935, 795, 699, 650 cm−1. MS (EI): m/z 381 [M]+, 383 [M+2]+. Anal. Calcd. for C19H16BrN3O: C, 59.70; H, 4.22; Br, 20.90; N, 10.99; O, 4.19. Found: C, 59.66; H, 4.23; N, 11.01.
3-(5-(4-Fluorophenyl)-4,4-dimethyl-4H-imidazol-2-yl)-1H-indole (6f). Light-brown solid. Yield: 0.32 mmol (97.6 mg, 64%), mp = 185–186 °C. Rf 0.3 (hexane/EtOAc, 7:3).1H NMR (400 MHz, DCCl3): δ 8.25 (s, 1H); 7.92 (dd, J = 8.6, 5.6 Hz, 2H); 7.86 (d, J = 7.9 Hz, 1H); 7.34 (d, J = 7.7 Hz, 2H); 7.18–7.11 (m, 3H); 6.40 (s, 1H); 1.61 (s, 3H); 1.54 (s, 3H). ppm. 13C {1H} NMR (101 MHz, DCCl3): δ 170.2; 164.4 (d, J = 251.4 Hz); 136.7; 130.4 (d, J = 8.5 Hz); 129.0 (d, J = 4.0 Hz); 126.7; 124.1; 123.9; 122.6; 122.4; 120.7; 120.1; 115.8 (d, J = 21.7 Hz); 111.2; 88.4; 25.1; 19.3 ppm. 19F NMR (376 MHz, DCCl3) δ -114.11 (F) ppm. IR (DRA): ν 3327, 1748, 1604, 1509, 1458, 1430, 1367, 1204, 1150, 1008, 845, 813, 746, 639, 588 cm−1. MS (EI): m/z 305 [M] +. Anal. Calcd. for C19H16FN3: C, 74.74; H, 5.28; F, 6.22; N, 13.76. Found: C, 74.49; H, 5.29; N, 13.74.
3-(5-(4-Fluorophenyl)-4,4-dimethyl-4H-imidazol-2-yl)-1-methyl-1H-indole (6g).
Note: in 13C NMR, one signal of the aromatic carbon atom is missing, probably due to overlapping in the area of 130–120 ppm. Light-brown solid. Yield: 0.475 mmol (152 mg, 95%), mp = 156–157°C. Rf 0.32 (hexane/EtOAc, 7:3).1H NMR (400 MHz, DCCl3): δ 7.95 (dd, J = 8.6, 5.5 Hz, 2H); 7.89 (d, J = 7.9 Hz, 1H); 7.33 (m, 2H); 7.21–7.15 (m, 3H); 6.42 (s, 1H), 3.80 (s, 3H); 1.64 (s, 3H); 1.57 (s, 3H). ppm. 13C {1H} NMR (101 MHz, DCCl3): δ 174.9; 170.5; 164.7 (d, J = 251.5 Hz); 137.8; 130.7 (d, J = 8.5 Hz); 129.4 (d, J = 3.3 Hz); 128.7; 127.4; 122.3; 121.1; 120.0; 116.1 (d, J = 21.7 Hz); 109.7; 88.6; 75.2; 33.3; 19.7. ppm. 19F NMR (376 MHz, DCCl3): δ -109.92 ppm. IR (DRA): ν 2971, 1749, 1614, 1505, 1367, 1318, 1212, 1151, 1097, 1072, 1009, 841, 740, 639, 563 cm−1. MS (EI): m/z 319 [M] +. Anal. Calcd. for C20H18FN3 C, 75.21; H, 5.68; F, 5.95; N, 13.16. Found: C, 75.45; H, 5.67; N, 13.18.
5-(Benzyloxy)-3-(5-(4-fluorophenyl)-4,4-dimethyl-4H-imidazol-2-yl)-1H-indole (6h). Light-brown solid. Yield: 0.4 mmol (167 mg, 81%), mp = 194–195 °C. Rf 0.35 (hexane/EtOAc, 7:3).1H NMR (400 MHz, DCCl3): δ 8.41 (s, 1H); 7.91 (dd, J = 8.6, 5.4 Hz, 2H); 7.47 (dd, J = 7.1, 2.2 Hz, 3H); 7.38 (m, 3H); 7.14 (t, J = 8.6 Hz, 2H); 7.04 (t, J = 7.9 Hz, 1H); 6.73 (d, J = 7.7 Hz, 1H); 6.38 (s, 1H); 5.20 (s, 2H); 1.60 (s, 3H); 1.53 (s, 3H). ppm. 13C {1H} NMR (101 MHz, DCCl3): δ 174.8; 170.2; 164.4 (d, J = 251.6 Hz); 145.4; 137.2; 130.4 (d, J = 8.6 Hz); 129.0 (d, J = 3.4 Hz); 128.9; 128.7; 128.3; 128.1; 128.0; 127.4; 123.4; 120.5; 115.8 (d, J = 21.7 Hz); 113.7; 103.5; 88.4; 70.4; 21.3; 19.4 ppm. 19F NMR (376 MHz, DCCl3) δ -114.18. ppm. IR (DRA): ν 3638, 3328, 2955, 1741, 1574, 1504, 1445, 1369, 1261, 1223, 1099, 1005, 843, 812, 787 cm−1. MS (EI): m/z 411 [M] +. Anal. Calcd. for C26H22FN3O: C, 75.89; H, 5.39; F, 4.62; N, 10.21; O, 3.89. Found: C, 75.91; H, 5.38; N, 10.26.
2.2. Molecular Docking Studies
To evaluate potential in silico biological activity, protein–ligand complexes with known inhibitors were downloaded from the RCSB database: (1) BACE1 in complex with CHEMBL4473080 (IC50 = 1.7 nM, PDB: 6jse); (2) BChE in complex with SCHEMBL34046 (IC50 = 300 nM, PDB: 6eqp); (3) CK1δ in complex with CHEMBL489156 (IC50 = 1000 nM, PDB: 1eh4); (4) AChE in complex with CHEMBL95 (IC50 = 105 nM, PDB: 7e3i).
Molecular docking was carried out in the selected target proteins in the Arguslab 4.0.1 software using the Lamarckian genetic algorithm GADock and the empirical scoring function AScore with default parameters. Binding sites were defined relative to the corresponding native ligands. Validation of the docking protocol was carried out by redocking native ligands with following results: RMSD6JSE = 1.98 Å, RMSD6EQP = 1.60 Å, RMSD1EH4 = 2.00 Å, RMSD7E3I = 1.98 Å. Docking scores for native ligands are also given in Table 1.
Table 1.
Results from the protein–ligand docking for targets responsible for the progression of neurodegenerative diseases (Bold for the best docking score).
2.3. In Vitro Studies
2.3.1. Cell Culture
Experiments were carried out on cultured human embryonic kidney 293 cells (Hek-293, ATCC CRL 1573) [38] obtained from a shared research facility, the “Vertebrate Cell Culture Collection” (Institute of Cytology RAS, St. Petersburg, Russia). The cells were cultured using DMEM/F-12 medium containing 10% fetal bovine serum (FBS) at 37 °C, 5% CO2 and 98% humidity. Subculturing using 0.25% trypsin solution was performed when the culture reached ≥ 90% confluency. DMEM/F-12 and FBS Qualified were purchased from Gibco™, Thermo Fisher Scientific, USA. Trypsin was purchased from Biolot Ltd., St. Petersburg, Russia.
2.3.2. Viability Assessment
The compounds were dissolved in DMSO. The solutions were diluted with DMEM/F-12 culture medium with 10% fetal bovine serum to the studied concentrations: 4, 8, 16, 32, 64, 128, 256, 512 µM (5a, 5d) and 2–256 µM (5b, 6g and 6h). In all cases, the concentration of DMSO in the final solution did not exceed 1%.
Cells were seeded in 96-well plates at a concentration of 4 × 103 cells per well. After 24 h, test compounds were added to the wells in a given concentration range. Then, the cells were incubated for 24 h, after which a solution of MTT (3-(4,5-dimethyl-2-thiazolyl)-2,5-diphenyl-2H-tetrazolium bromide) was added to the cultures at 20 µL (5 mg/mL) per well. After 2 h, the medium was removed from the wells and 200 µL of a mixture of DMSO and propanol-2, 1:1, was added. Optical density was measured on a plate spectrophotometer at a wavelength of 570 nm.
2.3.3. Statistical Analysis
Statistical data processing was carried out in the RStudio program (2022.07.1+554) using the R package (version 4.2.1). The cytotoxicity index (IC50) was calculated by plotting dose–response curves using the “drc” package [39].
3. Results and Discussion
3.1. Synthesis
The synthetic study was started by expanding the range of heterocyclic substrates 3, 4H-imidazole 3-oxide derivatives, to be involved in the key heteroarylation reaction. It should be noted that cyclic aldonitrones in the series of 4H-imidazoles are extremely rare, with only three examples of such compounds being reported in the literature [37,40]. By modifying the procedure for the preparation of 5-aryl-substituted 4H-imidazole 3-oxides based on available 2-hydroxylamino ketones 1, azaheterocyclic substrates 3 were obtained in almost quantitative yields via two-stage synthesis (Scheme 2).
Scheme 2.
General route to 5-aryl-4,4-dimethyl-4H-imidazole 3-oxides 3 (Blue color indicated the 4H-imidazole 3-oxides, which is involved in the C-H/C-H couplings).
Next, novel indolyl-derived imidazoles 6 were prepared by using the direct transition metal-free C-H/C-H coupling reactions of 4H-imidazole 3-oxides 3 with indoles 4. These transformations were shown to proceed according to the “addition–elimination” scheme of the nucleophilic substitution of hydrogen (SNH AE). According to the previously reported synthetic scheme for the C-H/C-H coupling reactions of 2H-imidazole 1-oxide with indoles [26], which proceeded via the same SNH AE scheme, the C(3) atom of indole is involved in the formation of new C-C bonds. However, there are a few examples in which the C(2) atom of the indole ring is a nucleophilic center, with special conditions being required to provide the C-C bond formation therein [41]. As a result, the desired indolyl imidazoles were isolated as hydrochloride salts 5. The latter were shown to be readily removed by quenching them with NaHCO3 (5% w/v in H2O) to give the corresponding base forms 6 (Scheme 3).
Scheme 3.
Transition metal-free C-H/C-H coupling of 4H-imidazole 3-oxides 3 (blue) with indoles 4 (red).
To define the optimal conditions, the reaction between 4H-imidazole 3-oxide 3a and 1-methylindole 4a was chosen as a model one (Scheme 4). The key reaction parameters, such as time, activating agent, temperature and solvents, were evaluated (for detailed optimization, see Supplementary Materials). Firstly, the desired compound 5a was obtained in a 25% yield in toluene, using acetyl chloride as an activating agent (Table 2, Entry 1). Reducing the reaction time from 4 to 0.5 h led to a significant increase in the yield to 48% (Table 2, Entries 2 and 3). Most likely, the salt was not sufficiently stable in the reaction conditions. On the other hand, the use of other activating agents, such as ethyl chloroformate or oxalyl chloride, led either to the trace yield of 5a or to only the starting materials (Table 2, Entries 4 and 5). All attempts to replace toluene with a greener solvent, such as PEG-400 or 2-MeTHF (Table 2, Entries 6 and 9), provided a lower yield of the reaction products.
Scheme 4.
Model reaction for optimization of C-H/C-H coupling of 4H-imidazole 3-oxide 3a (blue) with indole 4a (red).
Table 2.
Optimization of the C-H/C-H coupling reaction of 4H-imidazole 3-oxide 3a with indole 4a (bold for the best result of optimization).
With the best identified, optimal conditions in hand, eight novel indolyl-derived 4H-imidazoles were obtained in 21–95% yields (Figure 2). It should be noted that compounds 5a–d, containing a phenyl ring in the imidazole moiety, are able to be isolated only as hydrochlorides, since the corresponding free forms are unstable in solutions. On the contrary, molecules 6e–h, bearing bromine or fluorine atoms in the para-position of the phenyl ring, are not decomposed, but contain some impurities, and therefore need to be purified by column chromatography. All the novel compounds were fully characterized by 1H, 13C, 19F NMR, mass spectrometry, IR and elemental analysis, with the structures being completely confirmed.
Figure 2.
Structures and yields for the obtained indolyl-derived 4H-imidazoles. (Blue color indicates the imidazole ring, red color shows the indole moiety).
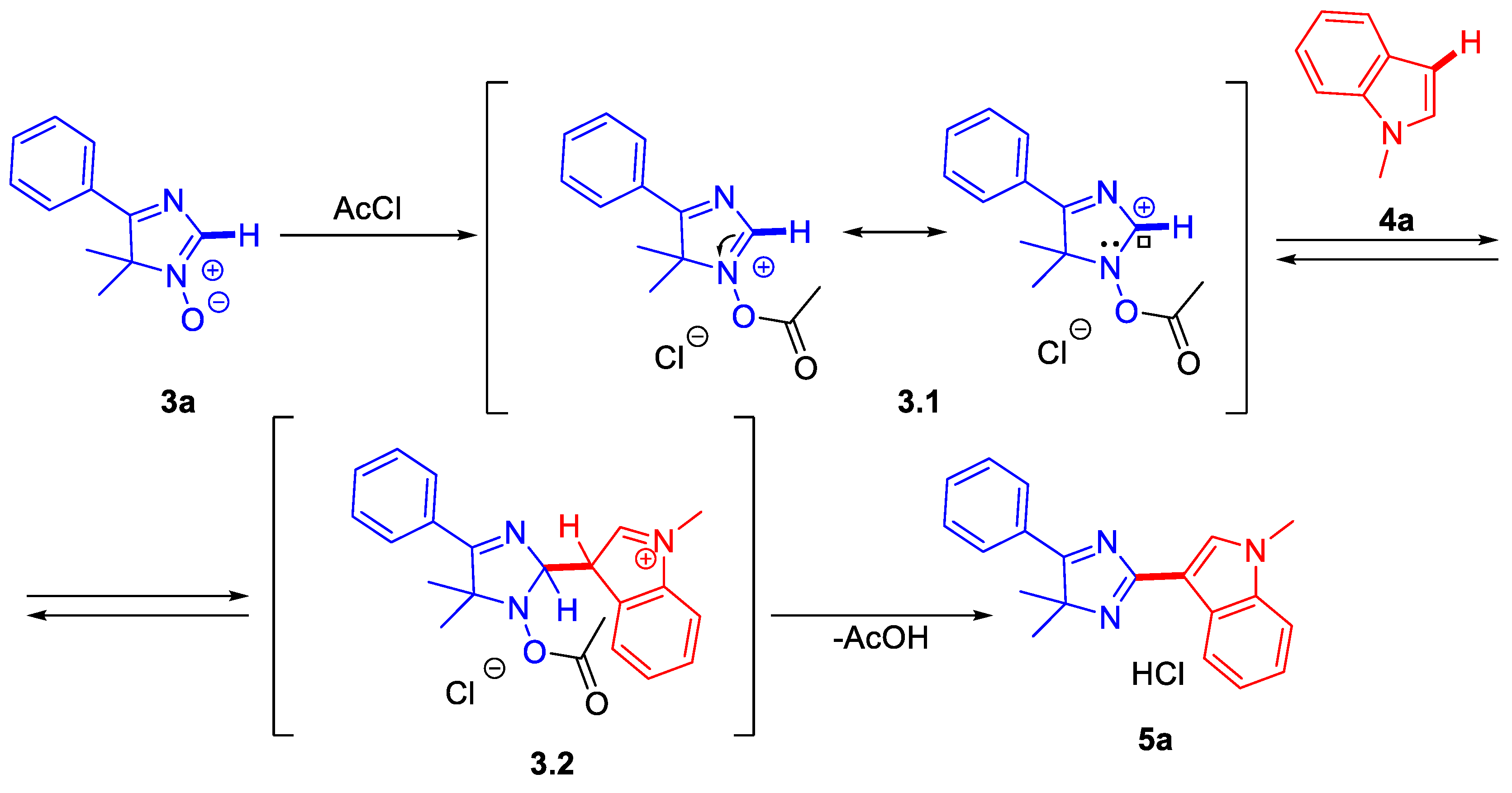
Based on the results of our previous works [26,42,43], a plausible reaction mechanism was proposed (Scheme 5, an example for coupling of 3a and 4a). At the first stage, acetyl chloride is attached to the N-oxide group of 4H-imidazole 3-oxide 3a to form structure 3.1. It is most likely to undergo the nucleophilic attack from the C-H bond of indole 4a with the formation of intermediate 3.2. Subsequently, the elimination of acetic acid leads to the indolyl-substituted 4H-imidazoles 5a in the hydrochloride salt form.
Scheme 5.
Plausible mechanism for C-H/C-H coupling of 4H-imidazole 3-oxide 3a (blue) with indole 4a (red).
3.2. In Silico Studies
As mentioned in the Introduction, biological targets, such as BACE1, AChE, BChE and CK1δ, are actively discussed in publications focused on the design of drug candidates for the treatment of neurodegenerative diseases. Potential biological activity regarding these target proteins was determined by molecular docking in the ArgusLab 4.0.1 [44] software based on the corresponding protein–ligand complexes BACE1, BChE, CK1δ and AChE with the known inhibitors (Figure 3).
Figure 3.
Examples of inhibitors of BACE1 (CHEMBL4473080, PDB: 6jse), BChE (CHEMBL34046, PDB: 6eqp), CK1δ (CHEMBL489156, PDB: 1eh4), AChE (CHEMBL95, PDB: 7e3i).
The docking results in comparison with the known inhibitors (native ligands) are presented in Table 1.
Docking scores for most compounds were found to be lower than scores for native ligands. According to SwissADME [45], all compounds have sufficient absorption, distribution, metabolism and excretion (ADME) characteristics, except for 6h, with WlogP > 5 and satisfactory blood–brain barrier (BBB) permeability values [46] (for detailed values, see ESI). However, the calculated positions of the compounds differ from the native ligands in terms of their locations in the active sites (Figure 4a,b).
Figure 4.
Leading compounds (opaque with bonds as cylinders and atoms as spheres) compared with native ligands (transparent with bonds as cylinders) in the corresponding targets (transparent, cyan): (a) 5b in BACE1; (b) 5d in BChE; (c) 5b in CK1δ; (d) 5a in AChE. – Atom colors are presented according to CPK ( Corey–Pauling–Koltun) color scheme.
Docked leading compounds 5b (Figure 5a) and 5a (Figure 5c) in the active sites of CK1δ and AChE, respectively, were shown to have several common non-covalent interactions with respect to the corresponding native ligands (Figure 5b,d)
Figure 5.
Two-dimensional maps of non-covalent interactions of ligands: (a) 5b in CK1δ; (b) native inhibitor of CK1δ; (c) 5a in AChE; (d) native ligand inhibitor of AChE.
Thus, compounds 5b and 5a could be regarded as the most promising inhibitors for CK1δ and AChE target proteins, respectively, which also have satisfactory calculated ADME values including BBB permeability in the series of obtained compounds.
3.3. In Vitro Studies
To evaluate the toxicity effect for the obtained compounds, the MTT test was performed on HEK-293 cells. Based on the results, the IC50 values were calculated (Table 3).
Table 3.
Cytotoxicity index (IC50 ± SE, n = 30) for the obtained compounds on human embryo kidney cells (HEK-293) (µM).
According to the experimental results, compounds 5b and 5d were found to be characterized as the most toxic for HEK-293 cells. This fact seems to limit the possibility for further applications, despite the revealed high affinity for biological targets. However, compounds 5a, 6g and 6h demonstrated relatively low toxicity towards cultured cells. At the same time, the cytotoxicity index for 6h exceeded the range of the studied concentrations, limited by the solubility of the compound. Nevertheless, at the maximum concentration of 256 µM, cell viability was already reduced by more than 30% compared to the control values. In addition, increasing cell viability at low concentrations was observed in the presence of compounds 5b and 6h (Figure 6).
Figure 6.
Dose–response curves of test compounds on human embryonic kidney cells HEK-293 (mean ± SD, n = 3).
Thus, regarding the results of both in silico and in vitro assays, compound 5a, 3-(4,4-dimethyl-5-phenyl-4H-imidazol-2-yl)-1-methyl-1H-indole hydrochloride, could be considered as a candidate for further studies of its possible neuroprotective activity.
4. Conclusions
In summary, the SNH strategy has been successfully applied for the heteroarylation of 4H-imidazole 3-oxides for the first time to afford a series of novel indolyl-derived 4H-imidazoles of various architectures. Notably, 4H-imidazole 3-oxides have been found to be less reactive than 2H-imidazole 1-oxides in the same chemical transformation with indoles, possibly because of the less electrophilic character of the C(2) carbon atom in the heterocyclic system. The obtained compounds have shown satisfactory results in in silico experiments for binding to biological targets (BACE1, BChE, CK1δ, AChE) applied in the computer-aided design of drug candidates for the therapy of neurodegenerative diseases. In vitro experiments have been also performed to assess the cytotoxicity of the synthesized indolyl-derived 4H-imidazole 3-oxides towards healthy human cells. The leading compound bearing 5-phenyl-4H-imidazole and 1-methyl-1H-indole moieties has been defined as the candidate molecule possessing the lowest cytotoxicity (IC50 > 300 µM towards human embryo kidney cells, HEK-293) and highest binding energy for the protein–ligand complex (AChE, −13.57 kcal/mol). Thereby, the obtained results from sequential interdisciplinary research, including chemical design, synthesis, characterization and in silico and in vitro cytotoxicity studies, could be regarded as the basis for the further investigation of the designed compounds in enzyme and model animals, as relevant steps in the development of drug candidates.
Supplementary Materials
The following supporting information can be downloaded at: https://www.mdpi.com/article/10.3390/pr11030846/s1, Figures S1–S29: Copies of NMR spectra for 2b,c, 3b,c, 5a–d, 6e–h; Figures S30,S31: Copies of UV-VIS spectra for 3b,c; Figures S32–S43: Copies of IR-spectra for 2b,c, 3b,c, 5a–d, 6e–h; Table S1: Optimization of reaction conditions; Table S2: Docking results.
Author Contributions
Conceptualization, O.N.C., V.N.C. and M.V.V.; methodology, E.A.N. and T.D.M.; software, I.I.B.; validation, D.G.M., A.Y.T., I.I.B. and V.V.M.; investigation, E.A.N., N.F.V., V.V.M., M.D.T., D.G.M. and A.Y.T.; data curation, T.D.M.; writing—original draft preparation, E.A.N. and T.D.M.; writing—review and editing, M.V.V. and V.N.C.; visualization, N.F.V.; supervision, M.V.V.; project administration, V.N.C. and O.N.C. All authors have read and agreed to the published version of the manuscript.
Funding
The chemical design, synthesis and characterization of indolyl-derived 4H-imidazoles and in vitro studies were supported by the Russian Science Foundation (Project # 20-73-10077). The in silico studies were supported by the Ministry of Science and Higher Education of the Russian Federation (Ref. # 075-15-2022-1118, dated 29 June 2022). The synthesis of starting 4H-imidazole N-oxide substrates was supported by the Ministry of Science and Higher Education of the Russian Federation (Project # 14.W03.31.0034).
Data Availability Statement
The data presented in this study are available on request from the corresponding author and co-authors.
Conflicts of Interest
The authors declare no conflict of interest.
References
- Erkkinen, M.G.; Kim, M.-O.; Geschwind, M.D. Clinical Neurology and Epidemiology of the Major Neurodegenerative Diseases. Cold Spring Harb. Perspect. Biol. 2018, 10, a033118. [Google Scholar] [CrossRef] [PubMed]
- Elbaz, A.; Carcaillon, L.; Kab, S.; Moisan, F. Epidemiology of Parkinson’s Disease. Rev. Neurol. 2016, 172, 14–26. [Google Scholar] [CrossRef]
- Min, Y.G.; Choi, S.-J.; Hong, Y.-H.; Kim, S.-M.; Shin, J.-Y.; Sung, J.-J. Dissociated Leg Muscle Atrophy in Amyotrophic Lateral Sclerosis/Motor Neuron Disease: The ‘Split-Leg’ Sign. Sci. Rep. 2020, 10, 15661. [Google Scholar] [CrossRef] [PubMed]
- Dayalu, P.; Albin, R.L. Huntington Disease. Neurol. Clin. 2015, 33, 101–114. [Google Scholar] [CrossRef]
- Murphy, M.P.; Hartley, R.C. Mitochondria as a Therapeutic Target for Common Pathologies. Nat. Rev. Drug Discov. 2018, 17, 865–886. [Google Scholar] [CrossRef] [PubMed]
- Ramrao, S.P.; Verma, A.; Waiker, D.K.; Tripathi, P.N.; Shrivastava, S.K. Design, Synthesis, and Evaluation of Some Novel Biphenyl Imidazole Derivatives for the Treatment of Alzheimer’s Disease. J. Mol. Struct. 2021, 1246, 131152. [Google Scholar] [CrossRef]
- Bolcato, G.; Cescon, E.; Pavan, M.; Bissaro, M.; Bassani, D.; Federico, S.; Spalluto, G.; Sturlese, M.; Moro, S. A Computational Workflow for the Identification of Novel Fragments Acting as Inhibitors of the Activity of Protein Kinase CK1δ. Int. J. Mol. Sci. 2021, 22, 9741. [Google Scholar] [CrossRef]
- Kaur, G.; Goyal, B. Deciphering the Molecular Mechanism of Inhibition of Β-Secretase (BACE1) Activity by a 2-Amino-imidazol-4-one Derivative. ChemistrySelect 2022, 7, e202202561. [Google Scholar] [CrossRef]
- Gujjarappa, R.; Kabi, A.K.; Sravani, S.; Garg, A.; Vodnala, N.; Tyagi, U.; Kaldhi, D.; Velayutham, R.; Singh, V.; Gupta, S.; et al. Overview on Biological Activities of Imidazole Derivatives. In Nanostructured Biomaterials. Materials Horizons: From Nature to Nanomaterials; Swain, B., Ed.; Springer: Singapore, 2022; pp. 135–227. ISBN 978-981-16-8399-2. [Google Scholar]
- Wu, J.; Liu, Q.; Hu, Y.; Wang, W.; Gao, X. Discovery of Novel Procaine-Imidazole Derivative as Inhibitor of Monoamine Oxidase-B for Potential Benefit in Parkinson’s Disease. ChemistrySelect 2020, 5, 10928–10932. [Google Scholar] [CrossRef]
- Cornec, A.-S.; Monti, L.; Kovalevich, J.; Makani, V.; James, M.J.; Vijayendran, K.G.; Oukoloff, K.; Yao, Y.; Lee, V.M.-Y.; Trojanowski, J.Q.; et al. Multitargeted Imidazoles: Potential Therapeutic Leads for Alzheimer’s and Other Neurodegenerative Diseases. J. Med. Chem. 2017, 60, 5120–5145. [Google Scholar] [CrossRef]
- Nirwan, N.; Pareek, C.; Swami, V.K. Indolylimidazoles: Synthetic Approaches and Biological Activities. Curr. Chem. Lett. 2020, 9, 31–50. [Google Scholar] [CrossRef]
- Kawano, T.; Inokuchi, J.; Eto, M.; Murata, M.; Kang, J.-H. Activators and Inhibitors of Protein Kinase C (PKC): Their Applications in Clinical Trials. Pharmaceutics 2021, 13, 1748. [Google Scholar] [CrossRef]
- Hogendorf, A.S.; Hogendorf, A.; Popiołek-Barczyk, K.; Ciechanowska, A.; Mika, J.; Satała, G.; Walczak, M.; Latacz, G.; Handzlik, J.; Kieć-Kononowicz, K.; et al. Fluorinated indole-imidazole conjugates: Selective orally bioavailable 5-HT7 receptor low-basicity agonists, potential neuropathic painkillers. Eur. J. Med. Chem. 2019, 170, 261–275. [Google Scholar] [CrossRef] [PubMed]
- Bakholdina, A.; Lukin, A.; Bakulina, O.; Guranova, N.; Krasavin, M. Dual Use of Propargylamine Building Blocks in the Construction of Polyheterocyclic Scaffolds. Tetrahedron Lett. 2020, 61, 151970. [Google Scholar] [CrossRef]
- Chen, J.; Ahn, S.; Wang, J.; Lu, Y.; Dalton, J.T.; Miller, D.D.; Li, W. Discovery of Novel 2-Aryl-4-Benzoyl-Imidazole (ABI-III) Analogues Targeting Tubulin Polymerization As Antiproliferative Agents. J. Med. Chem. 2012, 55, 7285–7289. [Google Scholar] [CrossRef] [PubMed]
- Suvorov, N.N.; Smushkevich, Y.I.; Mar’yanovskaya, N.N.; Sulima, A.V. Indole Derivatives. LXI. Synthesis of 4(5)-(Indolyl-3)-Imidazole. Pharm. Chem. J. 1970, 4, 68–70. [Google Scholar] [CrossRef]
- El-Nakkady, S.S.; Hanna, M.M.; Roaiah, H.M.; Ghannam, I.A.Y. Synthesis, Molecular Docking Study and Antitumor Activity of Novel 2-Phenylindole Derivatives. Eur. J. Med. Chem. 2012, 47, 387–398. [Google Scholar] [CrossRef] [PubMed]
- Chen, K.; Dai, M.-L.; Pan, Y.-Q.; Zhang, C.; Tu, S.-J.; Hao, W.-J. Regioselective Synthesis of 3-(Imidazol-4-Yl) Indolin-2-Ones under Microwave Heating. J. Heterocycl. Chem. 2016, 54, 1479–1485. [Google Scholar] [CrossRef]
- Hary, U.; Roettig, U.; Paal, M. Efficient Synthesis of 3-(4,5-Dihydro-1H-Imidazole-2-Yl)-1H-Indoles. Tetrahedron Lett. 2001, 42, 5187–5189. [Google Scholar] [CrossRef]
- Hao, W.; Jiang, Y.; Cai, M. Synthesis of Indolyl Imidazole Derivatives via Base-Promoted Tandem Reaction of N-[2-(1-Alkynyl)Phenyl]Carbodiimides with Isocyanides. J. Org. Chem. 2014, 79, 3634–3640. [Google Scholar] [CrossRef] [PubMed]
- Wu, W.-B.; Huang, J.-M. Highly Regioselective C–N Bond Formation through C–H Azolation of Indoles Promoted by Iodine in Aqueous Media. Org. Lett. 2012, 14, 5832–5835. [Google Scholar] [CrossRef] [PubMed]
- Stremski, Y.; Statkova-Abeghe, S.; Angelov, P.; Ivanov, I. Synthesis of Camalexin and Related Analogues. J. Heterocycl. Chem. 2018, 55, 1589–1595. [Google Scholar] [CrossRef]
- Liu, X.; He, K.; Gao, N.; Jiang, P.; Lin, J.; Jin, Y. A Radical-Mediated Multicomponent Cascade Reaction for the Synthesis of Azide-Biindole Derivatives. Chem. Commun. 2021, 57, 9696–9699. [Google Scholar] [CrossRef] [PubMed]
- Bergman, J.; Renström, L.; Sjöberg, B. Synthesis of Aromatic Aldehydes via 2-Aryl-n,n’-Diacyl-4-Imidazolines. Tetrahedron 1980, 36, 2505–2511. [Google Scholar] [CrossRef]
- Varaksin, M.V.; Utepova, I.A.; Chupakhin, O.N.; Charushin, V.N. Palladium(II)-Catalyzed Oxidative C–H/C–H Coupling and Eliminative SNH Reactions in Direct Functionalization of Imidazole Oxides with Indoles. J. Org. Chem. 2012, 77, 9087–9093. [Google Scholar] [CrossRef] [PubMed]
- Vaccaro, L. Green Shades in Organic Synthesis. Eur. J. Org. Chem. 2020, 2020, 4273–4283. [Google Scholar] [CrossRef]
- de Marco, B.A.; Rechelo, B.S.; Tótoli, E.G.; Kogawa, A.C.; Salgado, H.R.N. Evolution of Green Chemistry and Its Multidimensional Impacts: A Review. Saudi Pharm. J. 2019, 27, 1–8. [Google Scholar] [CrossRef]
- Gujral, S.S.; Sheela, M.A.; Khatri, S.; Singla, R.K. A Focus & Review on the Advancement of Green Chemistry. Indo Glob. J. Pharm. Sci. 2012, 02, 397–408. [Google Scholar] [CrossRef]
- Charushin, V.N.; Chupakhin, O.N. Nucleophilic C—H Functionalization of Arenes: A Contribution to Green Chemistry. Russ. Chem. Bull. 2019, 68, 453–471. [Google Scholar] [CrossRef]
- Chupakhin, O.N.; Charushin, V.N. Recent Advances in the Field of Nucleophilic Aromatic Substitution of Hydrogen. Tetrahedron Lett. 2016, 57, 2665–2672. [Google Scholar] [CrossRef]
- Akulov, A.A.; Varaksin, M.V.; Charushin, V.N.; Chupakhin, O.N. C(sp2)–H Functionalization of Aldimines and Related Compounds: Advances and Prospects. Russ. Chem. Rev. 2021, 90, 374–394. [Google Scholar] [CrossRef]
- Edeleva, M.V.; Parkhomenko, D.A.; Morozov, D.A.; Dobrynin, S.A.; Trofimov, D.G.; Kanagatov, B.; Kirilyuk, I.A.; Bagryanskaya, E.G. Controlled/Living Polymerization of Methyl Methacrylate Using New Sterically Hindered Imidazoline Nitroxides Prepared via Intramolecular 1,3-Dipolar Cycloaddition Reaction. J. Polym. Sci. Part A Polym. Chem. 2014, 52, 929–943. [Google Scholar] [CrossRef]
- Volodarskii, L.B.; Sevast’yanova, T.K. Synthesis and properties of α-hydroxylamino ketones. Zh. Org. Khim. 1971, 7, 1687–1692. [Google Scholar]
- Amitina, S.A.; Zaytseva, E.V.; Dmitrieva, N.A.; Lomanovich, A.V.; Kandalintseva, N.V.; Ten, Y.A.; Artamonov, I.A.; Markov, A.F.; Mazhukin, D.G. 5-Aryl-2-(3,5-Dialkyl-4-Hydroxyphenyl)-4,4-Dimethyl-4H-Imidazole 3-Oxides and Their Redox Species: How Antioxidant Activity of 1-Hydroxy-2,5-Dihydro-1H-Imidazoles Correlates with the Stability of Hybrid Phenoxyl–Nitroxides. Molecules 2020, 25, 3118. [Google Scholar] [CrossRef]
- Kirilyuk, I.A.; Grigor’ev, I.A.; Volodarskii, L.B. Synthesis of 3-imidazolines and 3-imidazoline 3-oxides containing a hydrogen atom at C-2. Izv. SO AN SSSR Ser. Khim. 1989, 2, 99–106. [Google Scholar]
- Grigor’ev, I.A.; Kirilyuk, I.A.; Volodarskii, L.B. NMR Spectra of Cyclic Nitrones. 4. Synthesis and 13C NMR Spectra of 4H-Imidazole N-Oxides and N,N-Dioxides. Chem. Heterocycl. Compd. 1988, 24, 1355–1362. [Google Scholar] [CrossRef]
- Russell, W.C.; Graham, F.L.; Smiley, J.; Nairn, R. Characteristics of a Human Cell Line Transformed by DNA from Human Adenovirus Type 5. J. Gen. Virol. 1977, 36, 59–72. [Google Scholar] [CrossRef]
- Ritz, C.; Baty, F.; Streibig, J.C.; Gerhard, D. Dose-Response Analysis Using R. PLoS ONE 2015, 10, e0146021. [Google Scholar] [CrossRef]
- Voinov, M.A.; Volodarsky, L.B. Synthesis and Properties Of N-[1-Hydroxyimino-2-Methyl-1-(2-Pyridyl)Prop-2-Yl]Hydroxylamine and Heterocyclic Derivatives Based on It. Russ. Chem. Bull. 1997, 46, 126–132. [Google Scholar] [CrossRef]
- Tayu, M.; Nomura, K.; Kawachi, K.; Higuchi, K.; Saito, N.; Kawasaki, T. Direct C2-Functionalization of Indoles Triggered by the Generation of Iminium Species from Indole and Sulfonium Salt. Chem.—A Eur. J. 2017, 23, 10925–10930. [Google Scholar] [CrossRef]
- Moseev, T.D.; Nikiforov, E.A.; Varaksin, M.V.; Charushin, V.N.; Chupakhin, O.N. Metal-Free C–H/C–H Coupling of 2 H -Imidazole 1-Oxides with Polyphenols toward Imidazole-Linked Polyphenolic Compounds. J. Org. Chem. 2021, 86, 13702–13710. [Google Scholar] [CrossRef] [PubMed]
- Varaksin, M.; Moseev, T.; Chupakhin, O.; Charushin, V.; Trofimov, B. Metal-Free C–H Functionalization of 2H-Imidazole 1-Oxides with Pyrrolyl Fragments in the Design of Novel Azaheterocyclic Ensembles. Org. Biomol. Chem. 2017, 15, 8280–8284. [Google Scholar] [CrossRef] [PubMed]
- Thompson, M.A. Molecular docking using ArgusLab, an efficient shape-based search algorithm and AScore scoring function. In Proceedings of the ACS Meeting, Philadelphia, PA, USA, 22–26 August 2004; p. 172. [Google Scholar]
- Daina, A.; Michielin, O.; Zoete, V. SwissADME: A Free Web Tool to Evaluate Pharmacokinetics, Drug-Likeness and Medicinal Chemistry Friendliness of Small Molecules. Sci. Rep. 2017, 7, 42717. [Google Scholar] [CrossRef] [PubMed]
- Gupta, M.; Lee, H.J.; Barden, C.J.; Weaver, D.F. The Blood–Brain Barrier (BBB) Score. J. Med. Chem. 2019, 62, 9824–9836. [Google Scholar] [CrossRef] [PubMed]
Disclaimer/Publisher’s Note: The statements, opinions and data contained in all publications are solely those of the individual author(s) and contributor(s) and not of MDPI and/or the editor(s). MDPI and/or the editor(s) disclaim responsibility for any injury to people or property resulting from any ideas, methods, instructions or products referred to in the content. |
© 2023 by the authors. Licensee MDPI, Basel, Switzerland. This article is an open access article distributed under the terms and conditions of the Creative Commons Attribution (CC BY) license (https://creativecommons.org/licenses/by/4.0/).










