Experimental and Simulation Research on Heat Pipe Thermal Management System Coupled with Battery Thermo-Electric Model
Abstract
1. Introduction
2. Experiment Setup
3. Model Development
3.1. Cell Model
3.1.1. Electric Model of Lithium-Ion Battery
3.1.2. Battery Thermal Model
- (1)
- It is assumed that the battery is a uniformly hot mass.
- (2)
- The cell pole lug temperature is assumed to replace the cell center temperature.
- (3)
- The cylindrical cell is assumed to be radially and transversely anisotropic, but with uniform thermal conductivity.
3.1.3. Battery Heat Generation Model
- (1)
- electric loss heat production (irreversible heat);
- (2)
- entropy heat (reversible heat);
- (3)
- side reaction heat;
- (4)
- mixing heat.
3.1.4. Cell Heat Transfer Model
3.2. Heat Pipe Model
4. Offline Parameter Identification
4.1. Experimental Results and Analysis
Battery Transient Terminal Voltage and Temperature Changes under Different Working Conditions
4.2. Parameter Identification Results
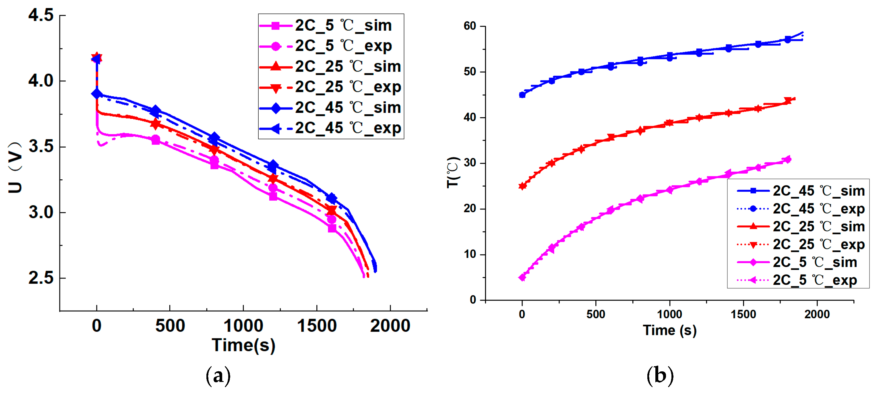
4.3. Model Validation
5. Numerical Analysis Results of Heat Pipe Heat Management System
5.1. Ambient Temperature Variation Influence
5.2. Impact of the Refrigerant Temperature
6. Conclusions
- (1)
- When the ambient temperature is at 25 °C, the battery parameters exhibit minimal changes during the charging and discharging process, resulting in better battery performance compared to temperatures of 5 °C and 45 °C.
- (2)
- The heat management battery system with heat pipes outperforms the non-heat pipe battery system during battery discharge, effectively controlling battery temperature at both low and high temperatures.
- (3)
- While lowering the refrigerant temperature can reduce the transient temperature during battery discharge, the effect is not significant. In practical applications, the energy consumption required to lower the refrigerant temperature and the battery cooling effect should be considered comprehensively, balancing thermal management effectiveness and economy.
- (4)
- At an ambient temperature of 25 °C, adjusting the refrigerant temperature yields better thermal management results compared to other temperature conditions. Thus, achieving optimal thermal management requires adjusting the refrigerant temperature under suitable ambient temperature conditions.
Author Contributions
Funding
Institutional Review Board Statement
Informed Consent Statement
Data Availability Statement
Conflicts of Interest
References
- Hallaj, A.S.; Maleki, H.; Hong, J.S. Thermal modeling and design considerations of lithium-ion batteries. J. Power Sources 1999, 83, 1–8. [Google Scholar] [CrossRef]
- Damay, N.; Forgez, C.; Bichat, M.; Friedrich, G. Thermal modeling of large prismatic LiFePO4/graphite battery. Coupled thermal and heat generation models for characterization and simulation. J. Power Sources 2015, 283, 37–45. [Google Scholar] [CrossRef]
- Andrey, S.; Miroslav, K.; Nalin, C.; Ahmed, J.; Kojic, A. PDE model for thermal dynamics of a large Li-ion battery pack. In Proceedings of the 2011 American Control Conference, San Francisco, CA, USA, 29 June 2011. [Google Scholar]
- Hu, Y.; Yurkovich, S. Linear parameter varying battery model identification using subspace methods. J. Power Sources 2011, 196, 2913–2923. [Google Scholar] [CrossRef]
- Chris, M.; Ben, L.; Derrick, B. Advanced Electro-Thermal Modeling of Lithium-Ion Battery System for Hybrid Electric Vehicle Applications. In Proceedings of the Vehicle Power and Propulsion Conference, Arlington, TX, USA, 9–12 September 2007. [Google Scholar]
- Shrimali, H.; Patel, P.; Patel, R.; Ray, A.; Mukhopadhyay, I. Electrochemical-thermal modelling of commercially available cylindrical lithium-ion cells for the tropical climate of India. Mater. Today Proc. 2021, 47, 647–651. [Google Scholar] [CrossRef]
- Oehler, F.F.; Nürnberger, K.; Sturm, J.; Jossen, A. Embedded real-time state observer implementation for lithium-ion cells using an electrochemical model and extended Kalman filter. J. Power Sources 2022, 525, 231018. [Google Scholar] [CrossRef]
- Lin, X.; Perez, H.E.; Mohan, S.; Siegel, J.B.; Stefanopoulou, A.G.; Ding, Y.; Castanier, M.P. A lumped-parameter electro-thermal model for cylindrical batteries. J. Power Sources 2014, 257, 1–11. [Google Scholar] [CrossRef]
- Shu, X.; Yang, W.; Guo, Y.; Wei, K.; Qin, B.; Zhu, G. A reliability study of electric vehicle battery from the perspective of power supply system. J. Power Sources 2020, 451, 227805. [Google Scholar] [CrossRef]
- Report of Investigation: Hybrids Plus Plug in Hybrid Electric Vehicle. Available online: https://prius-touring-club.com/librairie/mediatheque/pdf/toyota-prius-a123-car-fire-investigation-report-2008.pdf (accessed on 26 June 2008).
- Lei, S.; Shi, Y.; Chen, G. A lithium-ion battery-thermal-management design based on phase-change-material thermal storage and spray cooling. Appl. Therm. Eng. 2020, 168, 114792. [Google Scholar] [CrossRef]
- Wang, Q.; Mao, B.; Stoliarov, S.I.; Sun, J. A review of lithium ion battery failure mechanisms and fire prevention strategies. Prog. Eng. Combust. 2019, 73, 95–131. [Google Scholar] [CrossRef]
- Choudhari, V.G.; Dhoble, D.A.S.; Sathe, T.M. A review on effect of heat generation and various thermal management systems for lithium ion battery used for electric vehicle. J. Energy Storage 2020, 32, 101729. [Google Scholar] [CrossRef]
- Chen, J.; Kang, S.; E, J.; Huang, Z.; Wei, K.; Zhang, B.; Zhu, H.; Deng, Y.; Zhang, F.; Liao, G. Effects of different phase change material thermal management strategies on the cooling performance of the power lithium ion batteries: A review. J. Power Sources 2019, 442, 227228. [Google Scholar] [CrossRef]
- Shahjalal, M.; Shams, T.; Islam, M.E.; Alam, W.; Modak, M.; Hossain, S.B.; Ramadesigan, V.; Ahmed, M.R.; Ahmed, H.; Iqbal, A. A review of thermal management for Li-ion batteries: Prospects, challenges, and issues. J. Energy Storage 2021, 39, 102518. [Google Scholar] [CrossRef]
- Jaguemont, J.; Van Mierlo, J. A comprehensive review of future thermal management systems for battery-electrified vehicles. J. Energy Storage 2020, 31, 101551. [Google Scholar] [CrossRef]
- Kim, J.; Oh, J.; Lee, H. Review on battery thermal management system for electric vehicles. Appl. Therm. Eng. 2019, 149, 192–212. [Google Scholar] [CrossRef]
- Panchal, S.; Khasow, R. Numerical modeling and experimental investigation of a prismatic battery subjected to water cooling. Numer. Heat Transf. Part A Appl. 2017, 71, 626–637. [Google Scholar] [CrossRef]
- Park, H. A design of air flow configuration for cooling lithium ion battery in hybrid electric vehicles. J. Power Sources 2013, 239, 30–36. [Google Scholar] [CrossRef]
- Yu, K.; Yang, X.; Cheng, Y.; Li, C. Thermal analysis and two-directional air flow thermal management for lithium-ion battery pack. J. Power Sources 2014, 270, 193–200. [Google Scholar] [CrossRef]
- Fathabadi, H. High thermal performance lithium-ion battery pack including hybrid active–passive thermal management system for using in hybrid/electric vehicles. Energy 2014, 70, 529–538. [Google Scholar] [CrossRef]
- Lin, K.; Gómez-Bombarelli, R. A redox-flow battery with an alloxazine-based organic electrolyte. Nat. Energy 2016, 1, 16102. [Google Scholar] [CrossRef]
- Hakeem, A.; Solyali, D. Empirical thermal performance investigation of a compact lithium ion battery module under forced convection cooling. Appl. Sci. 2020, 10, 3732. [Google Scholar] [CrossRef]
- Mali, V.; Saxena, R.; Kumar, K.; Kalam, A.; Tripathi, B. Review on battery thermal management systems for energy-efficient electric vehicles. Renew. Sustain. Energy Rev. 2021, 151, 111611. [Google Scholar] [CrossRef]
- Li, W.; Peng, X.; Xiao, M. Multi-objective design optimization for mini-channel cooling battery thermal management system in an electric vehicle. Int. J. Energy Res. 2019, 43, 3668–3680. [Google Scholar] [CrossRef]
- Lan, C.; Xu, J.; Qiao, Y.; Ma, Y. Thermal management for high power lithium-ion battery by minichannel aluminum tubes. Appl. Therm. Eng. 2016, 101, 284–292. [Google Scholar] [CrossRef]
- Kairat, I.; Desmond, A. On using splitter plates and flow guide-vanes for battery module cooling. Heat Mass Transf. 2017, 53, 1–10. [Google Scholar]
- Qian, Z.; Li, Y.; Rao, Z. Thermal performance of lithium-ion battery thermal management system by using mini-channel cooling. Energy Convers. Manag. 2016, 126, 622–631. [Google Scholar] [CrossRef]
- Najjar, A.; Hussein, M.T.; Jasim, M.M.; Dmitry, O.B.; Nidhal, B.K.; Naif, K.A.; Maria, J.O.; Moram, A.F.; Wahiba, Y.; Pouyan, T.M. Improving the Melting Duration of a PV/PCM System Integrated with Different Metal Foam Configurations for Thermal Energy Management. Nanomaterials 2022, 12, 423. [Google Scholar] [CrossRef]
- Nidhal, B.K.; Rashad, A.B.; Lioua, K.; Mohamed, O. Performance investigation of a vertically configured LHTES via the combination of nano-enhanced PCM and fins: Experimental and numerical approaches. Int. Commun. Heat Mass Transf. 2022, 137, 106246. [Google Scholar]
- Wilke, S.; Schweitzer, B.; Khateeb, S.; Al-Hallaj, S. Preventing thermal runaway propagation in lithium ion battery packs using a phase change composite material: An experimental study. J. Power Sources 2017, 340, 51–59. [Google Scholar] [CrossRef]
- Qiu, F.; Li, X.; Deng, H.; Wang, D.; Mu, X.; He, P.; Zhou, H. A Concentrated Ternary-Salts Electrolyte for High Reversible Li Metal Battery with Slight Excess Li. Adv. Energy Mater. 2019, 9, 1803372. [Google Scholar] [CrossRef]
- Heyhat, M.M.; Mousavi, S.; Siavashi, M. Battery thermal management with thermal energy storage composites of PCM, metal foam, fin and nanoparticle. J. Energy Storage 2020, 28, 101235. [Google Scholar] [CrossRef]
- Jilte, R.; Afzal, A.; Panchal, S. A novel battery thermal management system using nano-enhanced phase change materials. Energy 2021, 219, 119564. [Google Scholar] [CrossRef]
- Aslam, S.; Sagar, R.U.R.; Liu, Y.; Anwar, T.; Zhang, L.; Zhang, M.; Mahmood, N.; Qiu, Y. Graphene decorated polymeric flexible materials for lightweight high areal energy lithium-ion batteries. Appl. Mater. Today 2019, 17, 123–129. [Google Scholar] [CrossRef]
- Nidhal, B.K.; Fatih, S.; Lioua, K. Performance Optimization of a Thermoelectric Device by Using a Shear Thinning Nanofluid and Rotating Cylinder in a Cavity with Ventilation Ports. Mathematics 2022, 10, 1075. [Google Scholar]
- Lyu, Y.; Siddique, A.R.M.; Majid, S.H.; Biglarbegian, M.; Gadsden, S.A.; Mahmud, S. Electric vehicle battery thermal management system with thermoelectric cooling. Energy Rep. 2019, 5, 822–827. [Google Scholar] [CrossRef]
- Lyu, Y.; Siddique, A.R.M.; Gadsden, S.A.; Mahmud, S. Experimental investigation of thermoelectric cooling for a new battery pack design in a copper holder. Results Eng. 2021, 10, 100214. [Google Scholar] [CrossRef]
- Liao, G.; Jiang, K.; Zhang, F.; Liu, L.; Chen, J.; Leng, E. Thermal performance of battery thermal management system coupled with phase change material and thermoelectric elements. J. Energy Storage 2021, 43, 103217. [Google Scholar] [CrossRef]
- Liang, J.; Gan, Y.; Li, Y. Investigation on the thermal performance of a battery thermal management system using heat pipe under different ambient temperatures. Energy Convers. Manag. 2018, 155, 1–9. [Google Scholar] [CrossRef]
- Yuan, W.; Yan, Z.; Chen, W. Heat-pipe-based thermal management and temperature characteristics of Li-ion batteries. Can. J. Chem. Eng. 2016, 94, 1901–1908. [Google Scholar] [CrossRef]
- Kalbasi, R. Introducing a novel heat sink comprising PCM and air—Adapted to electronic device thermal management. Int. J. Heat Mass Transf. 2021, 169, 120914. [Google Scholar] [CrossRef]
- Zhao, J.; Lv, P.; Rao, Z. Experimental study on the thermal management performance of phase change material coupled with heat pipe for cylindrical power battery pack. Exp. Therm. Fluid Sci. 2017, 82, 182–188. [Google Scholar] [CrossRef]
- Yamada, T.; Koshiyama, T.; Yoshikawa, M. Analysis of a lithiumion battery cooling system for electric vehicles using a phase-change material and heat pipes. J. Therm. Sci. 2017, 12, JTST0011. [Google Scholar] [CrossRef]
- Tran, T.; Harmand, S.; Desmet, B.; Filangi, S. Experimental investigation on the feasibility of heat pipe cooling for HEV/EV lithium-ion battery. Appl. Therm. Eng. 2014, 63, 551–558. [Google Scholar] [CrossRef]
- Wang, Q.; Jiang, B.; Xue, Q.F.; Sun, H.L.; Li, B.; Zou, H.M.; Yan, Y.Y. Experimental investigation on EV battery cooling and heating by heat pipes. Appl. Therm. Eng. 2015, 88, 54–60. [Google Scholar] [CrossRef]
- Alihosseini, A.; Shafaee, M. Experimental study and numerical simulation of a Lithium-ion battery thermal management system using a heat pipe. J. Energy Storage 2021, 39, 102616. [Google Scholar] [CrossRef]
- Tran, T.; Harmand, S.; Sahut, B. Experimental investigation on heat pipe cooling for Hybrid Electric Vehicle and Electric Vehicle lithium-ion battery. J. Power Sources 2014, 265, 262–272. [Google Scholar] [CrossRef]










| Cooling Method | Research Methodology | Heat Source | Cold Source | Author |
|---|---|---|---|---|
| TEC + Liquid cooling | Experimental Simulation | Cell | Water | Lyu [37] |
| TEC-based cooling | Experimental | Heater | Water | Lyu [38] |
| TEC + PCM | Simulation | Battery | TEE | Liao [39] |
| Tubular HPC | Experimental | Electric heater | Water-cooled channel | Liang et al. [40] |
| Tube HPC | Experimental Simulation | Electric heater | Forced convection (with finned array) | Yuan et al. [41] |
| L-shaped flat HPC | Experimental | Cell | Forced convection | Wu et al. [42] |
| HPC with cylindrical fins | Experimental | Heating rod | -Air cooling -PCM coupled heat pipe | Zhao et al. [43] |
| HPC | Experimental Simulation | A polyimide heater | Natural convection | Yamada et al. [44] |
| Flat HPC | Experimental | Electric heater | Natural and forced convection | Tran et al. [45] |
| HPC | Experimental | Analog cell tank | Liquid tank | Wang et al. [46] |
| HPC | Experimental | Electric heater | -Adiabatic -Forced Convection | Tran et al. [48] |
| Battery Specification | Value | Geometrical Parameter | Value | Chemical Composition | Value |
|---|---|---|---|---|---|
| Type | 21,700 A | Diameter (m) | 0.021 | Positive electrode | Lithium cobaltate ternary |
| Rated Capacity | 4800 mAh | Mass (kg) | 0.069 | Negative electrode | Silicon-based graphite |
| Nominal Voltage | 3.7 V | Height (m) | 0.07 | Electrolyte | EC:DMC:EMC |
| Charge Cut-off Voltage | 4.2 V | - | - | Diaphragm | Polyethylene coating ceramics |
| Discharge Cut-off Voltage | 2.5 V | - | - | - | - |
| Hot Domains | Electric Domains |
|---|---|
| Temperature | Voltage |
| Heating Power | Current Source |
| Heat Capacity | Capacity |
| Heat Resistance | Resistance |
| Ambient Temp | 5 °C | 25 °C | 45 °C | |
|---|---|---|---|---|
| Discharge Rate | ||||
| 1C | 4.3 Ah | 4.46 Ah | 4.56 Ah | |
| 1.5C | 4.55 Ah | 4.64 Ah | 4.78 Ah | |
| 2C | 4.54 Ah | 4.61 Ah | 4.75 Ah | |
| Model in This Paper | Model in Lin [8] | Model in Ref | DST | FUDS | |
|---|---|---|---|---|---|
| Model description | RC&thermal | RC&thermal | RC + hysteresis | RC + hysteresis | RC + hysteresis |
| Temperature variation (°C) | 5~45 | 25~38 | −5~40 | Constant | Constant |
| (Root Mean Square Error) RMSE of Voltage (mV) | 49 | 20.3 | 26 | 8 | 8 |
| RMSE of Ts (°C) | 0.31 | 0.65 | — | — | — |
Disclaimer/Publisher’s Note: The statements, opinions and data contained in all publications are solely those of the individual author(s) and contributor(s) and not of MDPI and/or the editor(s). MDPI and/or the editor(s) disclaim responsibility for any injury to people or property resulting from any ideas, methods, instructions or products referred to in the content. |
© 2023 by the authors. Licensee MDPI, Basel, Switzerland. This article is an open access article distributed under the terms and conditions of the Creative Commons Attribution (CC BY) license (https://creativecommons.org/licenses/by/4.0/).
Share and Cite
Xu, Y.; Wang, Z.; Ke, Z.; Lai, B.; Zhang, Y.; Huang, X. Experimental and Simulation Research on Heat Pipe Thermal Management System Coupled with Battery Thermo-Electric Model. Processes 2023, 11, 1204. https://doi.org/10.3390/pr11041204
Xu Y, Wang Z, Ke Z, Lai B, Zhang Y, Huang X. Experimental and Simulation Research on Heat Pipe Thermal Management System Coupled with Battery Thermo-Electric Model. Processes. 2023; 11(4):1204. https://doi.org/10.3390/pr11041204
Chicago/Turabian StyleXu, Ying, Zhiqiang Wang, Zhaoqing Ke, Bozhen Lai, Ying Zhang, and Xingyuan Huang. 2023. "Experimental and Simulation Research on Heat Pipe Thermal Management System Coupled with Battery Thermo-Electric Model" Processes 11, no. 4: 1204. https://doi.org/10.3390/pr11041204
APA StyleXu, Y., Wang, Z., Ke, Z., Lai, B., Zhang, Y., & Huang, X. (2023). Experimental and Simulation Research on Heat Pipe Thermal Management System Coupled with Battery Thermo-Electric Model. Processes, 11(4), 1204. https://doi.org/10.3390/pr11041204
