Ruthenium Catalysts Supported on Hydrothermally Treated Carbon from Rice Husk: The Effect of Reduction Temperature on the Hydrogenation Reaction of Levulinic Acid to γ-Valerolactone
Abstract
1. Introduction
2. Materials and Methods
2.1. Catalyst Preparation
2.1.1. Hydrothermal Treatment
2.1.2. Preparation of 2% Ru Supported Catalysts
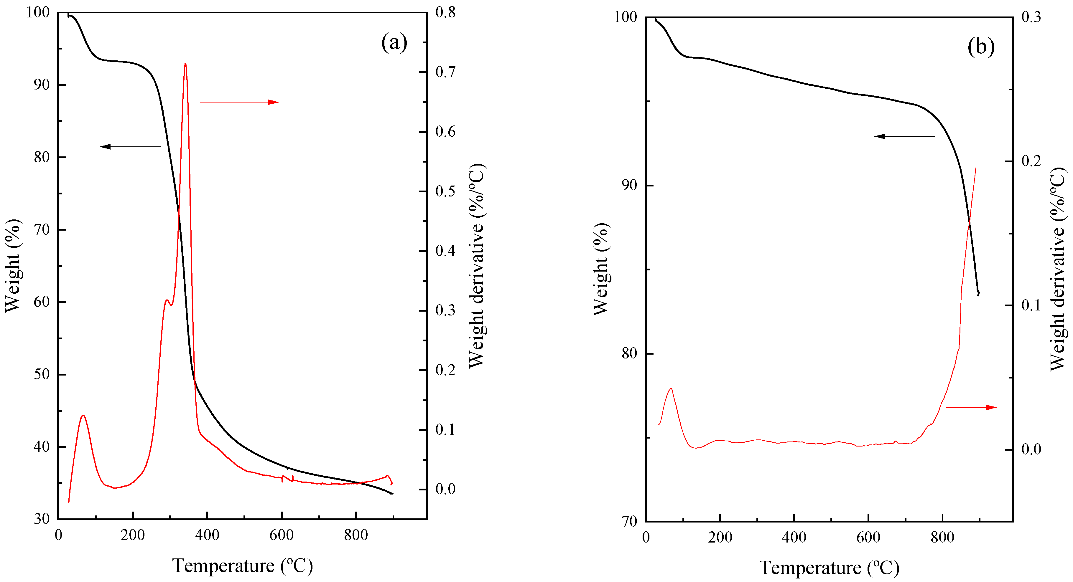
2.2. Characterization
2.3. Reactions
3. Results and Discussion
4. Conclusions
Author Contributions
Funding
Institutional Review Board Statement
Informed Consent Statement
Data Availability Statement
Conflicts of Interest
References
- Vispute, T.P.; Zhang, H.Y.; Sanna, A.; Xiao, R.; Huber, G.W. Renewable chemical commodity feedstocks from integrated catalytic processing of pyrolysis oils. Science 2010, 330, 1222–1227. [Google Scholar] [CrossRef] [PubMed]
- Stocker, M. Biofuels and biomass-to-liquid fuels in the biorefinery: Catalytic conversion of lignocellulosic biomass using porous materials. Angew Chem. Int. Ed. 2008, 47, 9200–9211. [Google Scholar] [CrossRef] [PubMed]
- Wong, S.; Ngadi, N.; Inuwa, I.M.; Hassan, O. Recent advances in applications of activated carbon from biowaste for wastewater treatment: A short review. J. Clean. Prod. 2018, 175, 361–375. [Google Scholar] [CrossRef]
- Villota, E.M.; Lei, H.; Qian, M.; Yang, Z.; Villota, S.M.A.; Zhang, Y.; Yadavalli, G. Optimizing microwave-assisted pyrolysis of phosphoric acid-activated biomass: Impact of concentration on heating rate and carbonization time. ACS Sustain. Chem. Eng. 2017, 6, 1318–1326. [Google Scholar] [CrossRef]
- Chingombe, P.; Saha, B.; Wakeman, R.J. Surface modification and characterisation of a coal-based activated carbon. Carbon 2005, 43, 3132–3143. [Google Scholar] [CrossRef]
- Yu, X.; Wang, S.; Zhang, J. Preparation of high adsorption performance activated carbon by pyrolysis of waste polyester fabric. J. Mater. Sci. 2018, 53, 5458–5466. [Google Scholar] [CrossRef]
- Zhang, P.; Zhu, H.; Dai, S. Porous Carbon Supports: Recent Advances with Various Morphologies and Compositions. ChemCatChem 2015, 7, 2788–2805. [Google Scholar] [CrossRef]
- Iwanow, M.; Gärtner, T.; Sieber, V.; König, B. Activated carbon as catalyst support: Precursors, preparation, modification and characterization. Beilstein J. Org. Chem. 2020, 16, 1188–1202. [Google Scholar] [CrossRef]
- Shetty, A.; Molahalli, V.; Sharma, A.; Hegde, G. Biomass-Derived Carbon Materials in Heterogeneous Catalysis: A Step towards Sustainable Future. Catalysts 2023, 13, 20. [Google Scholar] [CrossRef]
- Zubrik, A.; Matik, M.; Hredzak, S.; Lovás, M.; Danková, Z.; Kovácová, M.; Briancin, J. Preparation of chemically activated carbon from waste biomass by singlestage and two-stage pyrolysis. J. Clean. Prod. 2017, 143, 643–653. [Google Scholar] [CrossRef]
- García, J.R.; Sedran, U.; Ahmad Zaini, M.A.; Akmar Zakaria, Z. Preparation, characterization, and dye removal study of activated carbon prepared from palm kernel shell. Environ. Sci. Pollut. Res. 2018, 25, 5076–5085. [Google Scholar] [CrossRef] [PubMed]
- Namane, A.; Mekarzia, A.; Benrachedi, K.; Belhaneche-Bensemra, N.; Hellal, A. Determination of the adsorption capacity of activated carbon made from coffee grounds by chemical activation with ZnCl2 and H3PO4. J. Hazard. Mater. 2005, 119, 189–194. [Google Scholar] [CrossRef] [PubMed]
- Fu, Y.; Shen, Y.; Zhang, Z.; Ge, X.; Chen, M. Activated biochars derived from rice husk via one- and two-step KOH catalyzed pyrolysis for phenol adsorption. Sci. Total Environ. 2019, 646, 1567–1577. [Google Scholar] [CrossRef] [PubMed]
- Li, Y.; Zhang, X.; Yang, R.; Li, G.; Hu, C. The role of H3PO4 in the preparation of activated carbon from NaOH treated rice husk residue. RSC Adv. 2015, 5, 32626–32636. [Google Scholar] [CrossRef]
- Titirici, M.M.; Antonietti, M. Chemistry and materials options of sustainable carbon materials made by hydrothermal carbonization. Chem. Soc. Rev. 2010, 39, 103–116. [Google Scholar] [CrossRef] [PubMed]
- Quesada-Plata, F.; Ruiz-Rosas, R.; Morallón, E.; Cazorla-Amorós, D. Activated carbons prepared through H3PO4-assisted hydrothermal carbonization from biomass wastes: Porous texture and electrochemical performance. ChemPlusChem 2016, 81, 1349–1359. [Google Scholar] [CrossRef]
- Xue, Z.; Jiang, J.; Li, G.; Zhao, W.; Wang, J.; Mu, T. Zirconium-cyanuric acid coordination polymer: Highly efficient catalyst for conversion of levulinic acid to γ-valerolactone. Catal. Sci. Technol. 2016, 6, 5374–5379. [Google Scholar] [CrossRef]
- Luan, Q.J.; Liu, L.J.; Gong, S.W.; Lu, J.; Wang, X.; Lv, D.M. Clean and efficient conversion of renewable levulinic acid to levulinate esters catalyzed by an organic-salt of H4SiW12O40. Process Saf. Environ. Prot. 2018, 117, 341–349. [Google Scholar] [CrossRef]
- Albani, D.; Li, Q.; Vilé, G.; Mitchell, S.; Almora-Barrios, N.; Witte, P.T.; López, N.; Pérez-Ramírez, J. Interfacial acidity in ligand-modified ruthenium nanoparticles boosts the hydrogenation of levulinic acid to gamma-valerolactone. Green Chem. 2017, 19, 2361–2370. [Google Scholar] [CrossRef]
- Fang, S.; Cui, Z.; Zhu, Y.; Wang, C.; Bai, J.; Zhang, X.; Xu, Y.; Liu, Q.; Chen, L.; Zhang, Q.; et al. In situ synthesis of biomass-derived Ni/C catalyst by self-reduction for the hydrogenation of levulinic acid to γ–valerolactone. J. Energy Inst. 2019, 37, 204–214. [Google Scholar] [CrossRef]
- Wang, S.; Dorcet, V.; Roisnel, T.; Bruneau, C.; Fischmeister, C. Ruthenium and Iridium Dipyridylamine Catalysts for the Efficient Synthesis of γ-Valerolactone by Transfer Hydrogenation of Levulinic Acid. Organometallics 2017, 36, 708–713. [Google Scholar] [CrossRef]
- Orlowski, I.; Douthwaite, M.; Iqbal, S.; Hayward, J.S.; Davies, T.E.; Bartley, J.K.; Miedziak, P.J.; Hirayama, J.; Morgan, D.J.; Willock, D.J.; et al. The hydrogenation of levulinic acid to γ-valerolactone over Cu–ZrO2 catalysts prepared by a pH-gradient methodology. J. Energy Chem. 2019, 36, 15–24. [Google Scholar] [CrossRef]
- Schutte, H.A.; Thomas, R.W. Normal valerolactone. iii. Its preparation by the catalytic reduction of levulinic acid with hydrogen in the presence of platinum oxide. J. Am. Chem. Soc. 1930, 52, 3010–3012. [Google Scholar] [CrossRef]
- Christian, R.V.; Brown, H.D.; Hixon, R.M. Derivatives of γ-valerolactone, 1,4-pentanediol and 1,4-Di-(β-cyanoethoxy)-pentane. J. Am. Chem. Soc. 1947, 69, 1961–1963. [Google Scholar] [CrossRef]
- Wang, J.; Wang, Y.; Tong, X.; Wang, Y.; Jin, G.; Guo, X. Highly active Ir/SiC catalyst for aqueous hydrogenation of levulinic acid to γ-valerolactone. Catal. Commun. 2020, 139, 105971–105975. [Google Scholar] [CrossRef]
- Du, X.; Liu, Y.; Wang, J.; Cao, Y.; Fan, K. Catalytic conversion of biomass-derived levulinic acid into γ-valerolactone using iridium nanoparticles supported on carbon nanotubes. Chin. J. Catal. 2013, 34, 993–1001. [Google Scholar] [CrossRef]
- Shen, L.; Zheng, Q.; Liu, Y.; Wu, J.; Lua, Z.; Tu, T. Efficient hydrogenation of levulinic acid catalysed by spherical NHC-Ir assemblies with atmospheric pressure of hydrogen. Green Chem. 2021, 23, 5037–5042. [Google Scholar] [CrossRef]
- Amarasekara, A.S.; Hasan, M.A. Pd/C catalyzed conversion of levulinic acid to γ-valerolactone using alcohol as a hydrogen donor under microwave conditions. Catal. Commun. 2015, 60, 5–7. [Google Scholar] [CrossRef]
- Damayanti, A.P.; Dewi, H.P. Selective hydrogenation of levulinic acid to γ-valerolactone using bimetallic Pd-Fe catalyst supported on titanium oxide. IOP Conf. Ser.: Mater. Sci. Eng. 2020, 980, 012013. [Google Scholar] [CrossRef]
- Feng, J.; Li, M.; Zhong, Y.; Xu, Y.; Meng, X.; Zhao, Z.; Feng, C. Hydrogenation of levulinic acid to γ-valerolactone over Pd@UiO-66-NH2 with high metal dispersion and excellent reusability. Microporous Mesoporous Mater. 2020, 294, 109858–109867. [Google Scholar] [CrossRef]
- Parapat, R.Y.; Yudatama, F.A.; Musadi, M.R.; Schwarze, M.; Schomacker, R. Antioxidant as structure directing agent in nanocatalyst preparation. Case study: Catalytic activity of supported Pt nanocatalyst in levulinic acid hydrogenation. Ind. Eng. Chem. Res. 2019, 58, 2460–2470. [Google Scholar] [CrossRef]
- Wang, Y.; Bao, J.; Zuo, C.; Dong, G.; Sheng, X.; Huang, Y.; Zhang, Y.; Zhou, Y. Ultra-small PtNi bimetallic encapsulated in silicalite-1zeolite with fine-tuned surface acidity for selective conversion of levulinic acid. Appl Organomet Chem. 2023, 37, e6935. [Google Scholar] [CrossRef]
- Meng, F.; Yang, X.; Zhao, S.; Li, Z.; Zhang, G.; Qi, Y.; Chu, S.; Wang, G.; Zhang, J.; Qin, Y.; et al. Shifting reaction path for levulinic acid aqueous-phase hydrogenation by Pt-TiO2 metal-support interaction. Appl. Catal. B Environ. 2023, 324, 122236–122245. [Google Scholar] [CrossRef]
- Upare, P.P.; Lee, J.-M.; Hwang, D.W.; Halligudi, S.B.; Hwang, Y.K.; Chang, J.-S. Selective hydrogenation of levulinic acid to γ-valerolactone over carbon-supported noble metal catalysts. J. Ind. Eng. Chem. 2011, 17, 287–292. [Google Scholar] [CrossRef]
- Seretis, A.; Diamantopoulou, P.; Thanou, I.; Tzevelekidis, P.; Fakas, C.; Lilas, P.; Papadogianakis, G. Recent advances in ruthenium-catalyzed hydrogenation reactions of renewable biomass-derived levulinic acid in aqueous media. Front. Chem. 2020, 8, 221–243. [Google Scholar] [CrossRef] [PubMed]
- Manzer, L.E. Catalytic synthesis of α-methylene-γ-valerolactone: A biomass-derived acrylic monomer. Appl. Catal. A Gen. 2004, 272, 249–256. [Google Scholar] [CrossRef]
- Manzer, L.E. Production of 5-Methylbutyrolactone from Levulinic Acid. US Patent 6617464 B2, 9 September 2003. Available online: https://patentimages.storage.googleapis.com/a8/d5/42/16a704c75f7ce5/US6617464.pdf (accessed on 1 March 2023).
- Manzer, L.E.; Hutchenson, K.W. Production of 5-methyl-dihydro-furan-2-one from Levulinic Acid Supercritical Media. US Patent 6946563 B2, 20 September 2005. [Google Scholar]
- Bourne, R.A.; Stevens, J.G.; Ke, J.; Poliakoff, M. Maximising opportunities in supercritical chemistry: The continuous conversion of levulinic acid to γ-valerolactone in CO2. Chem. Commun. 2007, 44, 4632–4634. [Google Scholar] [CrossRef] [PubMed]
- Yan, Z.P.; Lin, L.; Liu, S. Synthesis of γ-Valerolactone by Hydrogenation of Biomass-derived Levulinic Acid over Ru/C Catalyst. Energy Fuels 2009, 23, 3853–3858. [Google Scholar] [CrossRef]
- Tan, J.; Cui, J.; Cui, X.; Deng, T.; Li, X.; Zhu, Y.; Li, Y. Graphene-Modified Ru Nanocatalyst for Low-Temperature Hydrogenation of Carbonyl Groups. ACS Catal. 2015, 5, 7379–7384. [Google Scholar] [CrossRef]
- Ftouni, J.; Muñoz-Murillo, A.; Goryachev, A.; Hofmann, J.P.; Hensen, E.J.M.; Lu, L.; Kiely, C.J.; Bruijnincx, P.C.A.; Weckhuysen, B.M. ZrO2 Is Preferred over TiO2 as Support for the Ru-Catalyzed Hydrogenation of Levulinic Acid to γ-Valerolactone. ACS Catal. 2016, 6, 5462–5472. [Google Scholar] [CrossRef]
- Cao, S.; Monnier, J.R.; Regalbuto, J.R. Alkali promotion of alumina-supported ruthenium catalysts for hydrogenation of levulinic acid to γ-valerolactone. J. Catal. 2017, 347, 72–78. [Google Scholar] [CrossRef]
- Cao, W.; Luo, W.; Ge, H.; Su, Y.; Wang, A.; Zhang, T. UiO-66 derived Ru/ZrO2@C as a highly stable catalyst for hydrogenation of levulinic acid to γ-valerolactone. Green Chem. 2017, 19, 2201–2211. [Google Scholar] [CrossRef]
- Wang, R.; Chen, L.; Zhang, X.; Zhang, Q.; Li, Y.; Wang, C.; Ma, L. Conversion of levulinic acid to g-valerolactone over Ru/Al2O3–TiO2 catalyst under mild conditions. RSC Adv. 2018, 8, 40989–40995. [Google Scholar] [CrossRef] [PubMed]
- Li, S.; Wang, Y.; Yang, Y.; Chen, B.; Tai, J.; Liu, H.; Han, B. Conversion of levulinic acid to γ valerolactone over ultra-thin TiO2 nanosheets decorated with ultrasmall Ru nanoparticle catalysts under mild condition. Green Chem. 2019, 21, 770–774. [Google Scholar] [CrossRef]
- Liu, X.; Lan, G.; Su, P.; Qia, L.; Ramirez Reina, T.; Wang, L.; Li, X.; Liu, J. Highly stable Ru nanoparticles incorporated in mesoporous carbon catalysts for production of γ-valerolactone. Catal. Today 2020, 351, 75–82. [Google Scholar] [CrossRef]
- Wang, F.; Shi, R.; Zhou, G. Manipulating the interfacial species on carbon nanospheres supported nanoparticulate Ru to boost the electronic metal support interaction for enhancing selective hydrogenation of levulinic acid. Appl. Surf. Sci. 2022, 588, 152913–152926. [Google Scholar] [CrossRef]
- Channiwala, S.A.; Parikh, P.P. A unified correlation for estimating HHV of solid, liquid and gaseous fuels. Fuel 2002, 81, 1051–1063. [Google Scholar] [CrossRef]
- Muniandy, L.; Adam, F.; Mohamed, A.R.; Ng, E.P. The synthesis and characterization of high purity mixed microporous/mesoporous activated carbon from rice husk using chemical activation with NaOH and KOH. Microporous Mesoporous Mater. 2014, 197, 316–323. [Google Scholar] [CrossRef]
- Abdel-Nasser, A. An insight into the KOH activation mechanism through the production of microporous activated carbon for the removal of Pb2+ cations. Appl. Surf. Sci. 2009, 255, 3723–3730. [Google Scholar]
- Somasundaram, S.; Sekar, K.; Gupta, V.K.; Ganesan, S. Synthesis and characterization of mesoporous activated carbon from rice husk for adsorption of glycine from alcohol-aqueous mixture. J. Mol. Liq. 2013, 177, 416–425. [Google Scholar] [CrossRef]
- Kastanaki, E.; Vamvuka, D.; Grammelis, P.; Kakaras, E. Thermogravimetric studies of the behavior of lignite–biomass blends during devolatilization. Fuel Process. Technol. 2002, 77, 159–166. [Google Scholar] [CrossRef]
- Luo, Y.; Li, D.; Chen, Y.; Sun, X.; Cao, Q.; Liu, X. The performance of phosphoric acid in the preparation of actived carbon-containing phosphorus species from rice husk. J. Mater. Sci. 2019, 54, 5008–5021. [Google Scholar] [CrossRef]
- Cordero-Lanzac, T.; Rodriguéz-Mirasol, J.; Cordero, T.; Bilbao, J. Advances and Challenges in the Valorization of Bio-Oil: Hydrodeoxygenation Using Carbon-Supported Catalysts. Energy Fuels 2021, 35, 17008–17031. [Google Scholar] [CrossRef]
- Mohammad, Y.S.; Shaibu-Imodagbe, E.M.; Igboro, S.B.; Giwa, A.; Okuofu, C.A. Effect of Phosphoric Acid Modification on Characteristics of Rice Husk Activated Carbon. Irani. J. Energy Environ. 2015, 6, 20–25. [Google Scholar]
- Rosas, J.; Bedia, J.; Rodríguez-Mirasol, J.; Cordero, T. HEMP-derived activated carbon fibers by chemical activation with phosphoric acid. Fuel 2009, 88, 19–26. [Google Scholar] [CrossRef]
- Kang, S.; Li, X.; Fan, J.; Chang, J. Characterization of Hydrochars Produced by Hydrothermal Carbonization of Lignin, Cellulose, d-Xylose, and Wood Meal. Ind. Eng. Chem. Res. 2012, 51, 9023–9031. [Google Scholar] [CrossRef]
- Sevilla, M.; Fuertes, A.B. The production of carbon materials by hydrothermal carbonization of cellulose. Carbon 2009, 47, 2281–2289. [Google Scholar] [CrossRef]
- Falco, C.; Baccile, N.; Titirici, M.M. Morphological and structural differences between glucose, cellulose and lignocellulosic biomass derived hydrothermal carbons. Green Chem. 2011, 13, 3273–3281. [Google Scholar] [CrossRef]
- Titirici, M.M.; White, R.J.; Falco, C.; Sevilla, M. Black perspectives for a green future: Hydrothermal carbons for environment protection and energy storage. Energy Environ. Sci. 2012, 5, 6796–6822. [Google Scholar] [CrossRef]
- Yu, Z.; Lu, X.; Bai, H.; Xiong, J.; Feng, W.; Ji, N. Effects of solid acid supports on the bifunctional catalysis of levulinic acid to γ-valerolactone: Catalytic activity and stability. Chem. Asian J. 2020, 15, 1182–1201. [Google Scholar] [CrossRef] [PubMed]
- Almeida, L.A.; Rocha, A.L.A.; Rodrigues, T.S.; Robles-Azocar, P.A. Highly selective hydrogenation of levulinic acid catalyzed by Ru on TiO2-SiO2 hybrid support. Catal. Today 2020, 344, 158–165. [Google Scholar] [CrossRef]
- Mazzieri, V.A.; Sad, M.R.; Vera, C.R.; Pieck, C.L. Preparation and characterization of Ru-Sn/Al2O3 catalysts for the hydrogenation of fatty acid methyl esters. Quim. Nova 2010, 33, 269–272. [Google Scholar] [CrossRef]
- García-García, F.R.; Gallegos-Suarez, E.; Fernández-García, M.; Guerrero-Ruiz, A.; Rodríguez-Ramos, I. Understanding the role of oxygen surface groups: The key for a smart ruthenium-based carbon-supported heterogeneous catalyst design and synthesis. Appl. Catal. A-Gen. 2017, 544, 66–76. [Google Scholar] [CrossRef]
- Lan, G.; Tang, H.; Zhou, Y.; Han, W.; Liu, H.; Li, H.; Li, Y. Direct Synthesis of Ruthenium-Containing Ordered Mesoporous Carbon with Tunable Embedding Degrees by Using a Boric Acid-Assisted Approach. ChemCatChem 2014, 6, 353–360. [Google Scholar] [CrossRef]
- Ugur, D.; Storm, A.J.; Verberk, R.; Brouwer, J.C.; Sloof, W.G. Kinetics of Reduction of a RuO2(110) Film on Ru(0001) by H2. J. Phys. Chem. C 2012, 116, 26822–26828. [Google Scholar] [CrossRef]
- Wisniewski, M.; Zawadzki, J. Reduction of NO by H2 on carbon film supported Ni catalysts—In situ FTIR study. Catal. Lett. 2004, 94, 135–141. [Google Scholar] [CrossRef]
- Choe, S.J.; Kang, H.J.; Kim, S.J.; Park, S.B.; Park, D.H.; Huh, S.D. Adsorbed Carbon Formation and Carbon Hydrogenation for CO2 Methanation on the Ni(111) Surface: ASED-MO Study. Bull. Korean Chem. Soc. 2005, 26, 1682–1688. [Google Scholar]
- Bennett, C.J.; Hama, T.; Kim, Y.S.; Kawasaki, M.; Kaiser, R.I. Laboratory studies on the formation of formic acid (HCOOH) in interstellar and cometary ices. Astrophys. J. 2011, 27, 727–741. [Google Scholar] [CrossRef]
- Chen, H.; Wang, J.; Huang, D.; Chen, X.; Zhu, J.; Sun, D.; Huang, J.; Li, Q. Plant-mediated synthesis of size-controllable Ni nanoparticles with alfalfa extract. Mater. Lett. 2014, 122, 166–169. [Google Scholar] [CrossRef]
- Zheng, J.; Wang, C.; Chu, W.; Zhou, Y.; Kohler, K. CO2 Methanation over Supported Ru/Al2O3 Catalysts: Mechanistic Studies by In situ Infrared Spectroscopy. Chem. Select. 2016, 1, 3197–3203. [Google Scholar]
- Ma, Y.; Huang, Y.; Cheng, Y.; Wang, L.; Li, X. Biosynthesized ruthenium nanoparticles supported on carbon nanotubes as efficient catalysts for hydrogenation of benzene to cyclohexane: An eco-friendly and economical bioreduction method. Appl. Catal. A-Gen. 2014, 484, 154–160. [Google Scholar] [CrossRef]
- Yang, X.; Li, Q.; Wang, H.; Huang, J.; Lin, L.; Wang, W.; Sun, D.; Su, Y.; Berya Opiyo, J.; Hong, L.; et al. Green synthesis of palladium nanoparticles using broth of Cinnamomum camphora leaf. J. Nanopart. Res. 2010, 12, 1589–1598. [Google Scholar] [CrossRef]
- Stuart, B. Infrared Spectroscopy: Fundamentals and Applications; Wiley-VCH Verlag Gmbh & Co. KGaA: Weinheim, Germany, 2004; pp. 1–208. [Google Scholar]
- Wisniewski, M.; Pacholczyk, A.; Terzyk, A.P.; Rychlicki, G. New phosphorus-containing spherical carbon adsorbents as promising materials in drug adsorption and release. J. Colloid Interface Sci. 2011, 354, 891–894. [Google Scholar] [CrossRef] [PubMed]
- Bourbigot, S.; Le Bras, M.; Delobel, R. Carbonization mechanisms resulting from intumescence—Part ii. Association with an ethylene terpolymer and the ammonium polyphosphate-pentaerythritol fire retardant system. Carbon 1995, 33, 283–294. [Google Scholar] [CrossRef]
- Iqbal, S.; Kondrat, S.A.; Jones, D.R.; Schoenmakers, D.C.; Edwards, J.K.; Lu, L.; Yeo, B.R.; Wells, P.P.; Gibson, E.K.; Morgan, D.J.; et al. Ruthenium Nanoparticles Supported on Carbon: An Active Catalyst for the Hydrogenation of Lactic Acid to 1,2-Propanediol. ACS Catal. 2015, 5, 5047–5059. [Google Scholar] [CrossRef]
- Pan, T.; Deng, J.; Xu, Q.; Xu, Y.; Guo, Q.-X.; Fu, Y. Catalytic conversion of biomass-derived levulinic acid to valerate esters as oxygenated fuels using supported ruthenium catalysts. Green Chem. 2013, 15, 2967–2974. [Google Scholar] [CrossRef]
- Gundekari, S.; Srinivasana, K. Hydrous ruthenium oxide: A new generation remarkable catalyst precursor for energy efficient and sustainable production of γ-valerolactone from levulinic acid in aqueous medium. Appl. Catal. A-Gen. 2019, 569, 117–125. [Google Scholar] [CrossRef]
- Al-Shaal, M.G.; Wright, W.R.H.; Palkovits, R. Exploring the ruthenium catalysed synthesis of γ-valerolactone in alcohols and utilisation of mild solvent-free reaction conditions. Green Chem. 2012, 14, 1260–1263. [Google Scholar] [CrossRef]
- Zhang, B.; Wu, Q.; Zhang, C.; Su, X.; Shi, R.; Lin, W.; Li, Y.; Zhao, F. A Robust Ru/ZSM-5 Hydrogenation Catalyst: Insights into the Resistances to Ruthenium Aggregation and Carbon Deposition. ChemCatChem 2017, 9, 3646–3654. [Google Scholar] [CrossRef]
- Piskun, A.; Winkelman, J.G.M.; Tang, Z.; Heeres, H.J. Support Screening Studies on the Hydrogenation of Levulinic Acid to γ-Valerolactone in Water Using Ru Catalysts. Catalysts 2016, 6, 131. [Google Scholar] [CrossRef]
- Li, B.; Zhao, H.; Fang, J.; Li, J.; Gao, W.; Ma, K.; Liu, C.; Yang, H.; Ren, X.; Dong, Z. Ru nanoparticles anchored on porous N-doped carbon nanospheres for efficient catalytic hydrogenation of Levulinic acid to c-valerolactone under solvent-free conditions. J. Colloid Interface Sci. 2022, 623, 905–914. [Google Scholar] [CrossRef] [PubMed]
- Ding, D.; Wang, J.; Xi, J.; Liu, X.; Lu, G.; Wang, Y. High-yield production of levulinic acid from cellulose and its upgrading to γ-valerolactone. Green Chem. 2014, 16, 3846–3853. [Google Scholar] [CrossRef]








| Biomass | VRH | HTC |
|---|---|---|
| Moisture content (wt.%) | 8.6 | 5.2 |
| Proximate analysis (wt.%, dry basis) | ||
| Volatile matter | 60.9 | 12.7 |
| Ash content | 23.1 | 51.0 |
| Fixed carbon | 15.9 | 36.3 |
| Elemental analysis (wt.%, dry basis) | ||
| Carbon | 39.2 | 38.7 |
| Hydrogen | 4.4 | 1.7 |
| Oxygen | 32.9 | 8.1 |
| Nitrogen | 0.3 | 0.5 |
| Sample | SBET (m2/g) | Total Pore Volume (cm3/g) | Average Pore Diameter (nm) |
|---|---|---|---|
| VRH | 6 | 0.0097 | 10.2 |
| HTC | 158 | 0.0600 | 4.1 |
| Catalyst | Time (min) | Temperature (°C) | Pressure (MPa) | GVL Yield (%) | Ref. |
|---|---|---|---|---|---|
| 5%Ru/SiO2 | 160 | 130 | 1.2 | 75 | [81] |
| 5%Ru/Al2O3 | 160 | 130 | 1.2 | 76 | [81] |
| 5%Ru/ZSM-5C | 240 | 70 | 3.0 | 93 | [82] |
| 1%Ru/H-β | 120 | 90 | 4.5 | 66 | [83] |
| 3%Ru/HPNC | 120 | 75 | 2.5 | 55 | [84] |
| 5%Ru/C | 720 | 180 | 3.0 | 57 | [85] |
| 2%Ru/C-200 | 120 | 70 | 1.5 | 74 | This work |
| Run | XLA (%) | SGVL (%) | ηGVL (%) |
|---|---|---|---|
| 1 | 82 | 90 | 74 |
| 2 | 78 | 82 | 64 |
| 3 | 72 | 78 | 56 |
Disclaimer/Publisher’s Note: The statements, opinions and data contained in all publications are solely those of the individual author(s) and contributor(s) and not of MDPI and/or the editor(s). MDPI and/or the editor(s) disclaim responsibility for any injury to people or property resulting from any ideas, methods, instructions or products referred to in the content. |
© 2023 by the authors. Licensee MDPI, Basel, Switzerland. This article is an open access article distributed under the terms and conditions of the Creative Commons Attribution (CC BY) license (https://creativecommons.org/licenses/by/4.0/).
Share and Cite
Rodríguez, V.I.; Mendow, G.; Sánchez, B.S.; García, J.R.; Pujro, R.A.; de Miguel, S.R.; Veizaga, N.S. Ruthenium Catalysts Supported on Hydrothermally Treated Carbon from Rice Husk: The Effect of Reduction Temperature on the Hydrogenation Reaction of Levulinic Acid to γ-Valerolactone. Processes 2023, 11, 1421. https://doi.org/10.3390/pr11051421
Rodríguez VI, Mendow G, Sánchez BS, García JR, Pujro RA, de Miguel SR, Veizaga NS. Ruthenium Catalysts Supported on Hydrothermally Treated Carbon from Rice Husk: The Effect of Reduction Temperature on the Hydrogenation Reaction of Levulinic Acid to γ-Valerolactone. Processes. 2023; 11(5):1421. https://doi.org/10.3390/pr11051421
Chicago/Turabian StyleRodríguez, Virginia I., Gustavo Mendow, Bárbara S. Sánchez, Juan Rafael García, Richard A. Pujro, Sergio R. de Miguel, and Natalia S. Veizaga. 2023. "Ruthenium Catalysts Supported on Hydrothermally Treated Carbon from Rice Husk: The Effect of Reduction Temperature on the Hydrogenation Reaction of Levulinic Acid to γ-Valerolactone" Processes 11, no. 5: 1421. https://doi.org/10.3390/pr11051421
APA StyleRodríguez, V. I., Mendow, G., Sánchez, B. S., García, J. R., Pujro, R. A., de Miguel, S. R., & Veizaga, N. S. (2023). Ruthenium Catalysts Supported on Hydrothermally Treated Carbon from Rice Husk: The Effect of Reduction Temperature on the Hydrogenation Reaction of Levulinic Acid to γ-Valerolactone. Processes, 11(5), 1421. https://doi.org/10.3390/pr11051421

