Experimental and Numerical Investigations on the Effect of MWCNT-COOH and Al2O3 Hybrid Nanofillers Dispersed CFRP Laminates Subjected to Projectile Impact
Abstract
1. Introduction
2. Experiment
2.1. Material and Specimen Preparation
2.2. Material Testing
2.3. Projectile Impact Testing
3. Theoretical Background
3.1. Material Model
3.2. Failure Model for Delamination
3.3. Strain Rate Effect on CFRP Composite
3.4. Ballistic Limit Velocity
4. Finite Element Modeling
5. Results and Discussion
5.1. Experimental
5.2. Damage Area Representation
5.3. Delamination
5.4. Numerical
5.4.1. Strain Rate and Dynamic Strength Calculation
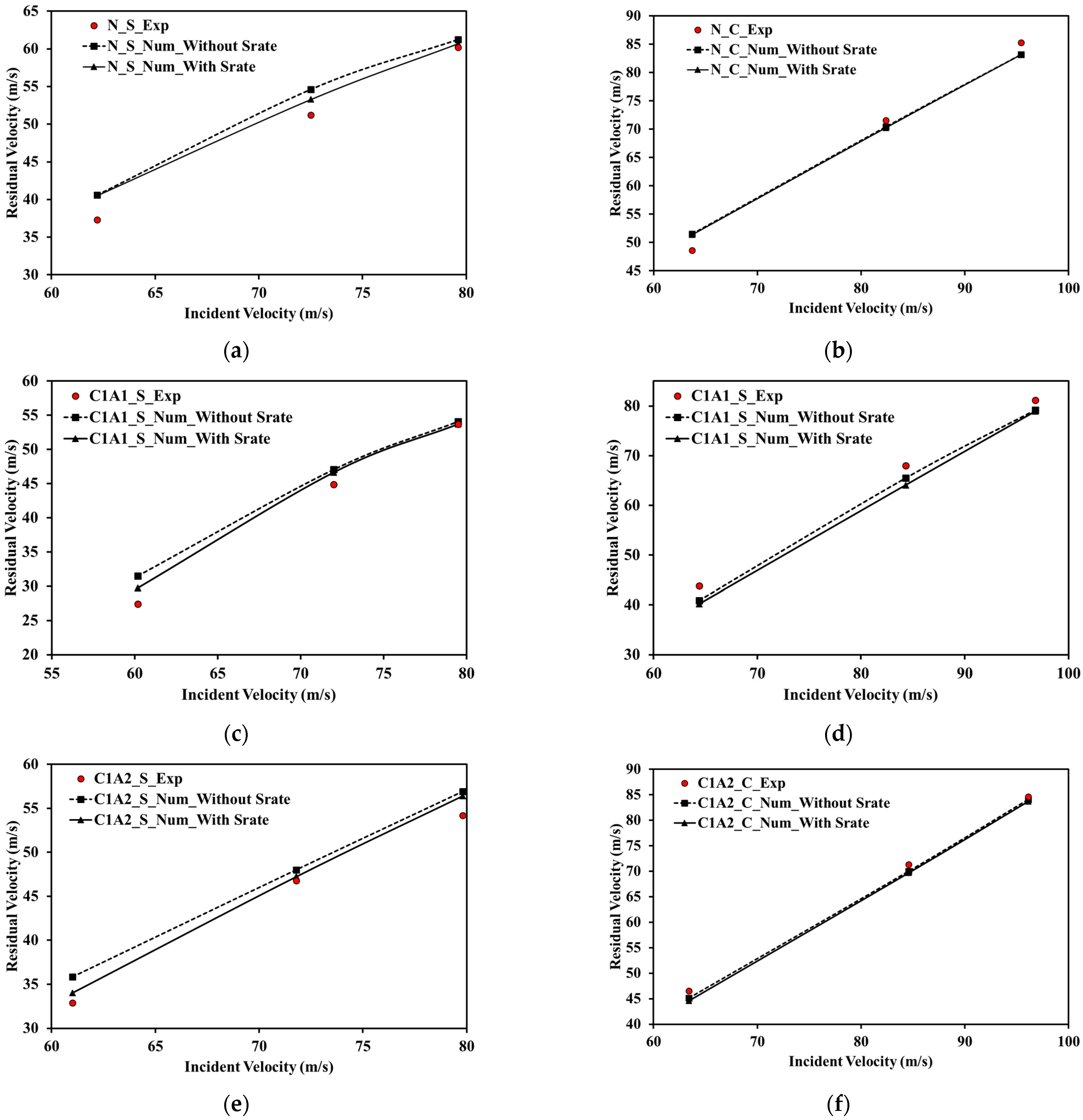
5.4.2. Rate Dependence Effect on Residual Velocity
5.4.3. Ballistic Limit Velocity
5.4.4. Damage Contour
5.4.5. Damage Progressive Failure Modes
5.4.6. Delamination Area
5.4.7. Denting
6. Conclusions
- In comparison to neat CFRP laminates, hybridization of MWCNT and nanofillers have a significant impact on energy absorption capability. Furthermore, the laminate with 0.1 wt% MWCNT-COOH + 1 wt% has better performance.
- According to the experimental results, the panel has a rhombus-shaped failure at the back face and a pyramidal-shaped indentation after the projectile perforates the panel.
- In the case of the C1A1 CFRP laminate, the ballistic limit velocity is increased by 10.7% for spherical projectile impact and 19.9% for conical projectile impact.
- C-scan shows that the damaged area is larger than the visibly damaged area. When compared to neat CFRP, the damaged area for C1A1 and C1A2 samples was found to be lower, indicating that the nanofillers in the matrix provided additional reinforcement to absorb more energy.
- The FE model produced good results in terms of residual velocity, ballistic limit velocity, damaged area, and delamination as compared to the experimental data. The simulation method was able to capture the nanofiller hybridization influence on the impact behavior of CFRP laminate. The developed model can be further used for different nanofiller hybridized composite laminates under projectile impact loading.
7. Future Scopes
- Utilizing better experimental methods with improved data collection methodologies to understand the mechanism that governs the impact behavior of CFRP laminates. For example: utilizing a high-speed camera with 3D imaging capability to study the deformation in the laminate during the impact event.
- Another potential improvement can be introduced by using the meso-heterogeneous approach in the numerical simulation. Using such complex modeling mythologies with strain rate effect can effectively determine the failure sequence and methods to prevent such failure modes.
Author Contributions
Funding
Data Availability Statement
Conflicts of Interest
References
- Forintos, N.; Czigany, T. Multifunctional application of carbon fiber reinforced polymer composites: Electrical properties of the reinforcing carbon fibers—A short review. Compos. Part B Eng. 2019, 162, 331–343. [Google Scholar] [CrossRef]
- van de Werken, N.; Tekinalp, H.; Khanbolouki, P.; Ozcan, S.; Williams, A.; Tehrani, M. Additively manufactured carbon fiber-reinforced composites: State of the art and perspective. Addit. Manuf. 2019, 31, 100962. [Google Scholar] [CrossRef]
- Zhang, J.; Chevali, V.S.; Wang, H.; Wang, C.-H. Current status of carbon fibre and carbon fibre composites recycling. Compos. Part B Eng. 2020, 193, 108053. [Google Scholar] [CrossRef]
- Shah, S.; Karuppanan, S.; Megat-Yusoff, P.; Sajid, Z. Impact resistance and damage tolerance of fiber reinforced composites: A review. Compos. Struct. 2019, 217, 100–121. [Google Scholar] [CrossRef]
- Buitrago, B.L.; García-Castillo, S.K.; Barbero, E. Influence of shear plugging in the energy absorbed by thin carbon-fibre laminates subjected to high-velocity impacts. Compos. Part B Eng. 2013, 49, 86–92. [Google Scholar] [CrossRef]
- Hosur, M.; Vaidya, U.; Ulven, C.; Jeelani, S. Performance of stitched/unstitched woven carbon/epoxy composites under high velocity impact loading. Compos. Struct. 2004, 64, 455–466. [Google Scholar] [CrossRef]
- Ayatollahi, M.R.; Shadlou, S.; Shokrieh, M.M. Fracture toughness of epoxy/multi-walled carbon nanotube nano-composites under bending and shear loading conditions. Mater. Des. 2011, 32, 2115–2124. [Google Scholar] [CrossRef]
- Kostopoulos, V.; Baltopoulos, A.; Karapappas, P.; Vavouliotis, A.; Paipetis, A. Impact and after-impact properties of carbon fibre reinforced composites enhanced with multi-wall carbon nanotubes. Compos. Sci. Technol. 2010, 70, 553–563. [Google Scholar] [CrossRef]
- Tsantzalis, S.; Karapappas, P.; Vavouliotis, A.; Tsotra, P.; Kostopoulos, V.; Tanimoto, T.; Friedrich, K. On the improvement of toughness of CFRPs with resin doped with CNF and PZT particles. Compos. Part A Appl. Sci. Manuf. 2007, 38, 1159–1162. [Google Scholar] [CrossRef]
- Tehrani, M.; Boroujeni, A.; Hartman, T.; Haugh, T.; Case, S.; Al-Haik, M. Mechanical characterization and impact damage assessment of a woven carbon fiber reinforced carbon nanotube–epoxy composite. Compos. Sci. Technol. 2013, 75, 42–48. [Google Scholar] [CrossRef]
- Kara, M.; Kırıcı, M.; Tatar, A.C.; Avcı, A. Impact behavior of carbon fiber/epoxy composite tubes reinforced with multi-walled carbon nanotubes at cryogenic environment. Compos. Part B Eng. 2018, 145, 145–154. [Google Scholar] [CrossRef]
- Cheon, J.; Kim, M. Impact resistance and interlaminar shear strength enhancement of carbon fiber reinforced thermoplastic composites by introducing MWCNT-anchored carbon fiber. Compos. Part B Eng. 2021, 217, 108872. [Google Scholar] [CrossRef]
- Rahman, M.M.; Hosur, M.; Zainuddin, S.; Vaidya, U.; Tauhid, A.; Kumar, A.; Trovillion, J.; Jeelani, S. Effects of amino-functionalized MWCNTs on ballistic impact performance of E-glass/epoxy composites using a spherical projectile. Int. J. Impact Eng. 2013, 57, 108–118. [Google Scholar] [CrossRef]
- NaghiZadeh, Z.; Faezipour, M.; Pol, M.H.; Liaghat, G.H.; Abdolkhani, A. Improvement in impact resistance performance of glass/epoxy composite through carbon nanotubes and silica nanoparticles. Proc. Inst. Mech. Eng. Part L J. Mater. Des. Appl. 2016, 232, 785–799. [Google Scholar] [CrossRef]
- Wang, B.; Xiong, J.; Wang, X.; Ma, L.; Zhang, G.-Q.; Wu, L.-Z.; Feng, J.-C. Energy absorption efficiency of carbon fiber reinforced polymer laminates under high velocity impact. Mater. Des. 2013, 50, 140–148. [Google Scholar] [CrossRef]
- Menna, C.; Asprone, D.; Caprino, G.; Lopresto, V.; Prota, A. Numerical simulation of impact tests on GFRP composite laminates. Int. J. Impact Eng. 2011, 38, 677–685. [Google Scholar] [CrossRef]
- Nunes, S.G.; Scazzosi, R.; Manes, A.; Amico, S.C.; Júnior, W.F.D.A.; Giglio, M. Influence of projectile and thickness on the ballistic behavior of aramid composites: Experimental and numerical study. Int. J. Impact Eng. 2019, 132, 103307. [Google Scholar] [CrossRef]
- Morka, A.; Jackowska, B. Ballistic resistance of the carbon nanotube fibres reinforced composites—Numerical study. Comput. Mater. Sci. 2011, 50, 1244–1249. [Google Scholar] [CrossRef]
- Pernas-Sanchez, J.; Artero-Guerrero, J.A.; Viñuela, J.Z.; Varas, D.; López-Puente, J. Numerical analysis of high velocity impacts on unidirectional laminates. Compos. Struct. 2014, 107, 629–634. [Google Scholar] [CrossRef]
- Giannaros, E.; Kotzakolios, A.; Kostopoulos, V.; Campoli, G. Hypervelocity impact response of CFRP laminates using smoothed particle hydrodynamics method: Implementation and validation. Int. J. Impact Eng. 2018, 123, 56–69. [Google Scholar] [CrossRef]
- Scazzosi, R.; de Souza, S.D.B.; Amico, S.C.; Giglio, M.; Manes, A. Experimental and numerical evaluation of the perforation resistance of multi-layered alumina/aramid fiber ballistic shield impacted by an armor piercing projectile. Compos. Part B Eng. 2021, 230, 109488. [Google Scholar] [CrossRef]
- Shyamsunder, L.; Khaled, B.; Rajan, S.D.; Pereira, J.M.; DuBois, P.; Blankenhorn, G. Numerical validation of composite panel impact tests. Int. J. Impact Eng. 2022, 159, 104032. [Google Scholar] [CrossRef]
- Abu-Okail, M.; Alsaleh, N.A.; Farouk, W.; Elsheikh, A.; Abu-Oqail, A.; Abdelraouf, Y.A.; Ghafaar, M.A. Effect of dispersion of alumina nanoparticles and graphene nanoplatelets on microstructural and mechanical characteristics of hybrid carbon/glass fibers reinforced polymer composite. J. Mater. Res. Technol. 2021, 14, 2624–2637. [Google Scholar] [CrossRef]
- Dass, K.; Chauhan, S.R.; Gaur, B. Study on the effects of nanoparticulates of SiC, Al2O3, and ZnO on the mechanical and tribological performance of epoxy-based nanocomposites. Part. Sci. Technol. 2016, 35, 589–606. [Google Scholar] [CrossRef]
- Shi, G.; Zhang, M.Q.; Rong, M.Z.; Wetzel, B.; Friedrich, K. Sliding wear behavior of epoxy containing nano-Al2O3 particles with different pretreatments. Wear 2004, 256, 1072–1081. [Google Scholar] [CrossRef]
- Wetzel, B.; Haupert, F.; Zhang, M.Q. Epoxy nanocomposites with high mechanical and tribological performance. Compos. Sci. Technol. 2003, 63, 2055–2067. [Google Scholar] [CrossRef]
- Zhao, S.; Schadler, L.S.; Duncan, R.; Hillborg, H.; Auletta, T. Mechanisms leading to improved mechanical performance in nanoscale alumina filled epoxy. Compos. Sci. Technol. 2008, 68, 2965–2975. [Google Scholar] [CrossRef]
- Kaybal, H.B.; Ulus, H.; Demir, O.; Şahin, S.; Avcı, A. Effects of alumina nanoparticles on dynamic impact responses of carbon fiber reinforced epoxy matrix nanocomposites. Eng. Sci. Technol. Int. J. 2018, 21, 399–407. [Google Scholar] [CrossRef]
- Ávila, A.F.; Neto, A.S.; Junior, H.N. Hybrid nanocomposites for mid-range ballistic protection. Int. J. Impact Eng. 2011, 38, 669–676. [Google Scholar] [CrossRef]
- Bandaru, A.K.; Vetiyatil, L.; Ahmad, S. The effect of hybridization on the ballistic impact behavior of hybrid composite armors. Compos. Part B Eng. 2015, 76, 300–319. [Google Scholar] [CrossRef]
- Koricho, E.G.; Khomenko, A.; Haq, M.; Drzal, L.T.; Belingardi, G.; Martorana, B. Effect of hybrid (micro- and nano-) fillers on impact response of GFRP composite. Compos. Struct. 2015, 134, 789–798. [Google Scholar] [CrossRef]
- Gregori, D.; Scazzosi, R.; Nunes, S.G.; Amico, S.C.; Giglio, M.; Manes, A. Analytical and numerical modelling of high-velocity impact on multilayer alumina/aramid fiber composite ballistic shields: Improvement in modelling approaches. Compos. Part B Eng. 2020, 187, 107830. [Google Scholar] [CrossRef]
- Wu, S.; Xu, Z.; Hu, C.; Zou, X.; He, X. Numerical simulation study of ballistic performance of Al2O3/aramid-carbon hybrid FRP laminate composite struc-tures subject to impact loading. Ceram. Int. 2022, 48, 6423–6435. [Google Scholar] [CrossRef]
- Vedernikov, A.; Safonov, A.; Tucci, F.; Carlone, P.; Akhatov, I. Analysis of Spring-in Deformation in L-shaped Profiles Pultruded at Different Pulling Speeds: Mathematical Simulation and Experimental Results. In Proceedings of the 24th International Conference on Material Forming, Digital Event, 14–16 April 2021. [Google Scholar] [CrossRef]
- Zhou, P.; Li, C.; Bai, Y.; Dong, S.; Xian, G.; Vedernikov, A.; Akhatov, I.; Safonov, A.; Yue, Q. Durability study on the interlaminar shear behavior of glass-fibre reinforced polypropylene (GFRPP) bars for marine applications. Constr. Build. Mater. 2022, 349. [Google Scholar] [CrossRef]
- ASTM D3039/D3039M-08; In Standard Test Method for Tensile Properties of Polymer Matrix Composite Materials. ASTM International: West Conshohocken, PA, USA, 2014.
- ASTM D6641/D6641M-16e2; In Standard Test Method for Compressive Properties of Polymer Matrix Composite Materials Using a Combined Loading Compression (CLC) Test Fixture. ASTM International: West Conshohocken, PA, USA, 2021.
- ASTM D7078/D7078M-05; In Standard Test Method for Shear Properties of Composite Materials by V-Notched Rail Shear Method. ASTM International: West Conshohocken, PA, USA, 2012.
- Körbelin, J.; Junge, N.; Fiedler, B. Modelling of low-velocity impact and compression after impact of CFRP at elevated temperatures. Compos. Part A Appl. Sci. Manuf. 2021, 147, 106418. [Google Scholar] [CrossRef]
- Muflikhun, M.A.; Chua, A.Y. Load-displacement experimental data from axial tensile loading of CFRP-SPCC hybrid laminates. Data Brief 2020, 29, 105306. [Google Scholar] [CrossRef] [PubMed]
- Totry, E.; Molina-Aldareguía, J.M.; González, C.; Llorca, J. Effect of fiber, matrix and interface properties on the in-plane shear deformation of carbon-fiber reinforced composites. Compos. Sci. Technol. 2010, 70, 970–980. [Google Scholar] [CrossRef]
- Liao, B.; Liu, P. Finite element analysis of dynamic progressive failure of plastic composite laminates under low velocity impact. Compos. Struct. 2016, 159, 567–578. [Google Scholar] [CrossRef]
- Li, X.; Ma, D.; Liu, H.; Tan, W.; Gong, X.; Zhang, C.; Li, Y. Assessment of failure criteria and damage evolution methods for composite laminates under low-velocity impact. Compos. Struct. 2018, 207, 727–739. [Google Scholar] [CrossRef]
- Bandaru, A.K.; Patel, S.; Sachan, Y.; Ahmad, S.; Alagirusamy, R.; Bhatnagar, N. Mechanical behavior of Kevlar/basalt reinforced polypropylene composites. Compos. Part A Appl. Sci. Manuf. 2016, 90, 642–652. [Google Scholar] [CrossRef]
- Liu, P.; Liao, B.; Jia, L.; Peng, X. Finite element analysis of dynamic progressive failure of carbon fiber composite laminates under low velocity impact. Compos. Struct. 2016, 149, 408–422. [Google Scholar] [CrossRef]
- Naresh, K.; Shankar, K.; Velmurugan, R.; Gupta, N. High strain rate studies for different laminate configurations of bi-directional glass/epoxy and carbon/epoxy composites using DIC. Structures 2020, 27, 2451–2465. [Google Scholar] [CrossRef]
- Afrouzian, A.; Aleni, H.M.; Liaghat, G.; Ahmadi, H. Effect of nano-particles on the tensile, flexural and perforation properties of the glass/epoxy composites. J. Reinf. Plast. Compos. 2017, 36, 900–916. [Google Scholar] [CrossRef]
- Chocron, S.; Carpenter, A.J.; Scott, N.L.; Bigger, R.P.; Warren, K. Impact on carbon fiber composite: Ballistic tests, material tests, and computer simulations. Int. J. Impact Eng. 2019, 131, 39–56. [Google Scholar] [CrossRef]
- Stergiou, T.; Baxevanakis, K.P.; Roy, A.; Silberschmidt, V.V. Mechanics of ballistic impact with non-axisymmetric projectiles on thin aluminium targets. Part II: Energy considerations. Eng. Fail. Anal. 2023, 143, 106818. [Google Scholar] [CrossRef]
- Mitrevski, T.; Marshall, I.H.; Thomson, R. The influence of impactor shape on the damage to compo-site laminates. Compos. Struct. 2006, 76, 116–122. [Google Scholar] [CrossRef]
- Chen, X.; Li, Y.; Zhi, Z.; Guo, Y.; Ouyang, N. The compressive and tensile behavior of a 0/90 C fiber woven composite at high strain rates. Carbon 2013, 61, 97–104. [Google Scholar] [CrossRef]
























| Property | Values | ASTM Standards | ||
|---|---|---|---|---|
| Neat CFRP | C1A1 | C1A2 | ||
| Density ρ (kg/m3) | 1480 ± 5 | 1500 ± 5 | 1500 ± 5 | ASTM D3171 |
| Elastic Modulus (GPa) | 18.27 ± 0.66 | 24.74 ± 0.82 | 22.42 ± 0.64 | ASTM D3039 |
| Shear Modulus (GPa) | 4.80 ± 0.01 | 5.10 ± 0.09 | 4.80 ± 0.38 | ASTM D7078 |
| Major Poisson’s ratio (mm/mm) | 0.07 | 0.07 | 0.07 | DIC-MATLAB |
| Tensile Strength, = (MPa) | 463.45 ± 18.43 | 583.41 ± 40.34 | 546.69 ± 65.92 | ASTM D3039 |
| Compressive Strength, (MPa) | 324.41 ± 1.66 | 414.21 ± 4.33 | 382.68 ± 0.86 | ASTM D6641 |
| Shear strength (MPa) | 53.42 ± 0.13 | 82.39 ± 0.87 | 59.93 ± 2.07 | ASTM D7078 |
| Normal failure stress, NFLS (MPa) | 52 ± 6 | 88 ± 4 | 52 ± 2 | ASTM D638 |
| Shear failure stress, SFLS (MPa) | 31 ± 5 | 61 ± 5 | 41 ± 4 | ASTM D2344 |
| Test No | Panel Designation | Impactor Nose Shape | Incident Velocity | Incident Energy | Residual Velocity | Residual Energy |
|---|---|---|---|---|---|---|
| Vi (m/s) | Ei (J) | Vr (m/s) | Er (J) | |||
| 1 | N_S1 | Spherical | 42.80 | 6.52 | Rebound | - |
| 2 | N_S2 | 62.20 | 13.77 | 37.30 | 4.95 | |
| 3 | N_S3 | 72.50 | 18.71 | 51.20 | 9.33 | |
| 4 | N_S4 | 79.60 | 22.56 | 60.20 | 12.90 | |
| 5 | C1A1_S1 | 42.00 | 6.28 | Rebound | - | |
| 6 | C1A1_S2 | 60.20 | 12.90 | 24.70 | 2.17 | |
| 7 | C1A1_S3 | 72.00 | 18.46 | 44.90 | 7.18 | |
| 8 | C1A1_S4 | 79.50 | 22.50 | 53.70 | 10.27 | |
| 9 | C1A2_S1 | 42.20 | 6.34 | Rebound | - | |
| 10 | C1A2_S2 | 61.00 | 13.25 | 32.90 | 3.85 | |
| 11 | C1A2_S3 | 71.80 | 18.35 | 46.80 | 7.80 | |
| 12 | C1A2_S4 | 79.80 | 22.67 | 54.20 | 10.46 | |
| 13 | N_C1 | Conical | 40.20 | 6.16 | Rebound | - |
| 14 | N_C2 | 63.70 | 15.46 | 48.60 | 9.00 | |
| 15 | N_C3 | 82.40 | 25.87 | 71.60 | 19.53 | |
| 16 | N_C4 | 95.40 | 34.68 | 85.30 | 27.72 | |
| 17 | C1A1_C1 | 38.20 | 5.56 | Rebound | - | |
| 18 | C1A1_C2 | 64.40 | 15.80 | 43.80 | 7.31 | |
| 19 | C1A1_C3 | 84.30 | 27.08 | 68.00 | 17.62 | |
| 20 | C1A1_C4 | 96.80 | 35.70 | 81.20 | 25.12 | |
| 21 | C1A2_C1 | 41.00 | 6.40 | Rebound | - | |
| 22 | C1A2_C2 | 63.40 | 15.31 | 46.50 | 8.24 | |
| 23 | C1A2_C3 | 84.60 | 27.27 | 71.30 | 19.37 | |
| 24 | C1A2_C4 | 96.10 | 35.19 | 84.60 | 27.27 |
| Panel Designation | Incident Velocity (m/s) | Average Strain Rate (s−1) | Quasi-Static Strenght (MPa) |
Dynamic Strenghts (MPa) |
|---|---|---|---|---|
| N_S1 | 42.8 | 916.65 | 463.45 | 538.27 |
| N_S2 | 62.2 | 1002.82 | 463.45 | 545.93 |
| N_S3 | 72.5 | 1054.57 | 463.45 | 550.55 |
| N_S4 | 79.6 | 1217.43 | 463.45 | 565.20 |
| C1A1_S1 | 42 | 820.36 | 583.41 | 666.94 |
| C1A1_S2 | 60.2 | 1040.88 | 583.41 | 691.51 |
| C1A1_S3 | 72 | 1161.55 | 583.41 | 705.14 |
| C1A1_S4 | 79.5 | 1269.68 | 583.41 | 717.46 |
| C1A2_S1 | 42.2 | 924.59 | 546.69 | 635.79 |
| C1A2_S2 | 61 | 1007.93 | 546.69 | 644.52 |
| C1A2_S3 | 71.8 | 1244.10 | 546.69 | 669.57 |
| C1A2_S4 | 79.8 | 1350.34 | 546.69 | 680.97 |
| N_C1 | 40.2 | 895.91 | 463.45 | 536.45 |
| N_C2 | 63.7 | 1175.25 | 463.45 | 561.39 |
| N_C3 | 82.4 | 1306.89 | 463.45 | 573.32 |
| N_C4 | 95.4 | 1423.25 | 463.45 | 583.96 |
| C1A1_C1 | 38.2 | 827.53 | 583.41 | 667.73 |
| C1A1_C2 | 64.4 | 1078.82 | 583.41 | 695.78 |
| C1A1_C3 | 84.3 | 1325.11 | 583.41 | 723.81 |
| C1A1_C4 | 96.8 | 1443.77 | 583.41 | 737.48 |
| C1A2_C1 | 41 | 957.26 | 546.69 | 639.20 |
| C1A2_C2 | 63.4 | 1111.20 | 546.69 | 655.42 |
| C1A2_C3 | 84.6 | 1197.03 | 546.69 | 664.54 |
| C1A2_C4 | 96.1 | 1446.44 | 546.69 | 691.35 |
| Panel Designation | Impact Velocity | Delamination Area (mm × mm) | |
|---|---|---|---|
| Experimental | Numerical | ||
| N_S1 | 79.6 m/s | 28.06 × 27.10 | 27.52 × 26.07 |
| C1A1_S1 | 79.5 m/s | 22.60 × 22.03 | 21.77 × 21.03 |
| C1A2_S2 | 79.8 m/s | 25.95 × 25.29 | 24.71 × 24.06 |
| N_C1 | 95.4 m/s | 21.65 × 21.87 | 21.27 × 20.37 |
| C1A1_S1 | 96.8 m/s | 17.21 × 23.66 | 18.76 × 22.10 |
| C1A2_S2 | 96.1 m/s | 20.60 × 19.75 | 20.57 × 20.86 |
Disclaimer/Publisher’s Note: The statements, opinions and data contained in all publications are solely those of the individual author(s) and contributor(s) and not of MDPI and/or the editor(s). MDPI and/or the editor(s) disclaim responsibility for any injury to people or property resulting from any ideas, methods, instructions or products referred to in the content. |
© 2023 by the authors. Licensee MDPI, Basel, Switzerland. This article is an open access article distributed under the terms and conditions of the Creative Commons Attribution (CC BY) license (https://creativecommons.org/licenses/by/4.0/).
Share and Cite
Ghosh, P.; Ramajeyathilagam, K. Experimental and Numerical Investigations on the Effect of MWCNT-COOH and Al2O3 Hybrid Nanofillers Dispersed CFRP Laminates Subjected to Projectile Impact. Processes 2023, 11, 1435. https://doi.org/10.3390/pr11051435
Ghosh P, Ramajeyathilagam K. Experimental and Numerical Investigations on the Effect of MWCNT-COOH and Al2O3 Hybrid Nanofillers Dispersed CFRP Laminates Subjected to Projectile Impact. Processes. 2023; 11(5):1435. https://doi.org/10.3390/pr11051435
Chicago/Turabian StyleGhosh, Pritam, and K. Ramajeyathilagam. 2023. "Experimental and Numerical Investigations on the Effect of MWCNT-COOH and Al2O3 Hybrid Nanofillers Dispersed CFRP Laminates Subjected to Projectile Impact" Processes 11, no. 5: 1435. https://doi.org/10.3390/pr11051435
APA StyleGhosh, P., & Ramajeyathilagam, K. (2023). Experimental and Numerical Investigations on the Effect of MWCNT-COOH and Al2O3 Hybrid Nanofillers Dispersed CFRP Laminates Subjected to Projectile Impact. Processes, 11(5), 1435. https://doi.org/10.3390/pr11051435
