Abstract
Chemical safety is closely related to public health, safety, and environmental concerns. Strengthening chemical safety supervision is not only vital for ensuring safe production but also plays a crucial role in maintaining overall social safety. This paper aims to analyze the evolutionary game strategies between chemical enterprises and government regulators under different regulatory modes, namely, ‘special rectification’ and ‘normal regulation’. The results indicate that under the ‘special rectification’ pattern, the strategic choices of chemical enterprises regarding safety investment rely on the cost–benefit analysis of safety non-investment. Conversely, in the ‘normal regulation’ mode, the decision to invest in safety is based on the comparison between the cost of safety investment and the cost of not investing in safety. Increasing government sanctions encourages chemical enterprises to prioritize safety investment under both supervision modes. Notably, while punishment significantly impacts safety investment behavior under the ‘normal regulation’ mode, it exhibits negligible influence under the ‘special rectification’ pattern. These research findings provide valuable decision-making support for government agencies tasked with effectively supervising the safety production of chemical enterprises.
1. Introduction
With the continuous development of China’s chemical industry, the widespread use of chemical products in various aspects of social life and production has contributed to the rapid growth of the national economy. However, owing to the hazardous nature of most chemical products, such as flammability, explosiveness, toxicity, and radioactivity, inadequate handling during production, storage, and usage can lead to severe casualties, property damage, and environmental pollution [1,2]. Despite the efforts made by chemical enterprises and relevant departments to mitigate safety risks, frequent chemical accidents continue to occur in China due to loopholes in safety supervision and production processes. This study aims to analyze the game behavior of government supervision departments and chemical enterprises from the perspective of ‘special rectification’ and ‘normal regulation’. By exploring the evolutionary process of strategic choices made by these two players, this study seeks to compare the evolutionary stability and equilibrium of their behavior strategies. For example, on 15 January 2023, a leakage, explosion, and fire accident occurred in the alkylation unit of Liaoning Panjin Haoye Chemical Co., Ltd. (Panjin, China), resulting in 13 deaths and 35 injuries. Chemical enterprises generally store a large amount of flammable and explosive hazardous materials, posing high risks during production. Once a fire occurs, it will have extremely serious consequences. These major safety accidents have exposed some problems in the safety supervision of the chemical industry, such as weak safety awareness, unclear main responsibilities, and inadequate hazard identification [3]. Therefore, studying the safety supervision and governance of chemical enterprises has significant practical significance.
One important reason for the frequent occurrence of safety accidents in chemical enterprises is the incomplete safety regulatory system, which means there are significant regulatory gaps in the production, transportation, storage, and use of chemical products, resulting in loopholes in supervision [4,5]. Wang et al. [6] believe that local government regulatory behavior can be excessive or delayed, and excessive reactions can harm the legitimate rights and interests of enterprises, while delays can neglect supervision. Therefore, it is necessary to improve the safety regulatory system and take risk-prevention measures in advance. Acheampong et al. [7] explored the linear relationship between the regulatory system of safety products in the petrochemical industry and safety outcomes by constructing a multiple linear regression model and applying regression analysis. Zhang et al. [8] pointed out that by implementing dynamic monitoring and early warnings, as well as targeted precise supervision based on the site selection of chemical enterprises and the type and quantity of hazardous substances stored, major accidents involving hazardous chemicals can be prevented. Hou [9] provided reference suggestions for the safety evaluation index system of enterprises and safety supervision departments by constructing a left-bowtie analysis model. Yu et al. [10] proposed the method of safety grid supervision, explaining the necessity of improving safety supervision methods from various aspects such as regulatory subjects, regulatory processes, and regulatory blind spots. Wang [11] suggested that regular safety analysis, training, and summarization should be conducted within the company to prevent unsafe accidents. Applying computer algorithms, deep learning, artificial intelligence, and other technologies to modern enterprise safety production supervision can achieve intelligent production, supervision, and early warning. Dakkoune [12] constructed a risk matrix including frequency and severity indicators, which divided the severity of accidents for industry regulators and provided risk reference standards. Wang et al. [13] compared and analyzed the differences in safety management between the coal mining industry and the chemical industry from aspects such as industry status, specialization, personnel quality, special occupations, and accident trends. The study found problems in the chemical industry such as missing regulations, inconsistent industry standards, and weak regulatory capabilities. Wang et al. [14], based on the blind number theory and the maturity theory, analyzed the emergency response capabilities of chemical industrial parks from the perspectives of emergency organizations and systems, emergency management support, emergency response capabilities, and emerging technologies, providing a basis for the improvement of the safety regulatory system.
The primary purposes of this study are to analyze the game behavior of government supervision departments and chemical enterprises from the perspective of ‘special rectification’ and ‘normal regulation’. By exploring the evolutionary process of strategic choices made by these two players, this study seeks to compare the evolutionary stability and equilibrium of their behavior strategies. The primary contributions of this thesis are as follows:
- (1)
- Introduction of an evolutionary game model for chemical safety supervision under the modes of “special rectification” and “normal regulation”;
- (2)
- Introduction of the probability of chemical safety accidents as a factor influencing strategy choices for the game players;
- (3)
- Consideration of the evolutionary process of strategy choices by each game subject under the government punishment mechanism, along with a comparative analysis of the evolution, stability, and balance of behavior strategies for chemical enterprises and government supervision departments. The research employs simulation analysis using the MATLAB software environment to simulate the game’s evolution under different conditions, analyzes the trend of the two players’ strategies, and assesses the impact of various factors on strategy choices.
The rest of this article is arranged as follows. Section 2 reviews and sorts out the related literature from the perspective of chemical safety and its regulation. Section 3 introduces the analysis and discussion of the evolutionary game model between chemical companies and government regulatory agencies under the different modes of ‘special rectification’ and ‘routine supervision’. Section 4 conducts MATLAB simulation and related sensitivity analysis through equilibrium point analysis. Section 5 summarizes and discusses the article, and provides suggestions to government regulatory agencies for the safety supervision of chemical companies.
2. Literature Review
2.1. Analysis of Chemical Accident
The main causes of accidents in chemical companies are chemical leaks, fires, explosions, and thermal runaways. Therefore, it is necessary to conduct necessary production safety analysis and scientific management of chemical companies as a prerequisite to prevent major chemical accidents [15]. Jung et al. [16] explored safety accidents that occurred in Korean chemical companies from 2008 to 2018 and pointed out that 76.1% of chemical accidents were caused by human errors and were closely related to workers’ ability to handle dangers. Yang [17] analyzed 228 production safety accidents in domestic and foreign chemical companies from 2000 to 2020 and found that 51% of production safety accidents were caused by workers’ violations of regulations, while 30% of accidents were caused by design or technical defects. Li et al. [18] found in their study that factors such as long working hours, lack of experience, and inadequate supervision of workers would increase the probability of unsafe accidents. Yang and Sun [19] suggested that the probability of related accidents and risks could be reduced by setting quantity standards, establishing safety indicators, and providing government support and policy guidance. Smith et al. [20] further proposed the strengthening of safety training and guidance for employees engaged in hazardous work, as well as time monitoring and identification of employee information that could cause harm. The safety production of chemical companies involves multiple stakeholders. Existing research has used game theory to analyze the issue of safety production regulation in companies. Li et al. [21] pointed out that companies face significant compensation if production safety accidents occur.
2.2. Safety Supervision of Chemical Companies
The safety production of chemical enterprises involves many stakeholders. Given the conflicting interests of the participants, existing research employs game theory to analyze the regulatory oversight of safety production in enterprises. Taking the regulatory failure in the Jiangsu Xiangshui “3.21” explosion accident as an example [22,23], Jiang et al. [24], based on the premise of bounded rationality, utilized evolutionary game models and benefit analysis methods to conduct a multidimensional dynamic analysis of value selection and the behavioral game between the government and enterprises, ranging from project introduction and business development stages to the stage after the occurrence of accidents. The study suggests that the government’s regulatory game strategy needs to reconstruct the leverage of interests and values based on a cost–benefit balance. Wang et al. [25], based on evolutionary game models, analyzed the effectiveness of government regulation and indicated that increasing the intensity of rewards and punishments by the government’s safety supervision departments will affect the safety production of enterprises, with the effect of punishment being more significant than that of rewards. Liu et al. [26], considering the evolutionary impact of negative externalities on strategy selection, revealed that the government’s adoption of a “one-size-fits-all” (comprehensive rectification) policy can strengthen the interdependence among enterprises and reduce the occurrence rate of unsafe accidents, but it may lower the enthusiasm for enterprise production. Guo et al. [27], based on scenario perception, construction, and deduction methods, constructed the emergency management CIA-DISM model to further analyze the evolutionary process of a chemical industrial park disaster after the Wenchuan earthquake and provided technical support for preventing accidents in enterprises. Tong L [28], using evolutionary game models as the main theoretical tool, analyzed the evolutionary stable strategies among the regulatory authority, chemical plants, and workers, and obtained the optimal strategy (government regulation, compliance with the company’s safety culture investment, and non-reporting by employees). Increasing workers’ compensation will promote their more effective participation in safety culture construction, and appropriate punishment by the regulatory authority will accelerate the cultural safety construction of enterprises. Campos et al. [29] investigated how different stakeholders (industry, government, and the public) perceive the current application of omics data in chemical safety assessment and identified key advancements needed to provide valuable solutions, enhance confidence in chemical safety assessment, and ultimately incorporate them into the global regulatory framework.
The multi-party game participants involved in the regulation of chemical enterprises possess characteristics of information uncertainty and bounded rationality, making it inappropriate to apply traditional game theory for analysis. Unlike traditional game theory, evolutionary game theory assumes that all game participants are fully rational. It focuses on game participants with bounded rationality and opens up new perspectives in game theory research. Shan et al. [30] applied game theory to analyze the collaborative governance and prevention of sudden public crises in complex environments in cities. Song et al. [31] constructed a payoff matrix for the regulatory department and chemical plants based on evolutionary game theory using replicator dynamic equations. They analyzed the optimal behavioral strategy choices for both parties and provided management principles and recommendations for chemical plants. Xin [32] constructed an evolutionary game model based on safety regulations in the chemical industry. Through system dynamics simulation, it was discovered that the higher the probability of government regulatory agencies adopting strict regulatory strategies, the faster the speed at which evolutionary stable equilibrium is reached, and the higher the efficiency of safety regulation. Evolutionary game theory overcomes the limitations of traditional game theory by incorporating rational participants with bounds, thus providing a theoretical basis for analyzing the governance of regulatory oversight in chemical enterprises.
To sum up, although previous studies have analyzed the supervision of chemical safety, unfortunately, there is still a lack of analysis of the game mechanism between government regulatory authorities and chemical enterprises from the perspective of game theory, and there are few studies on the strategic choice and reward and punishment mechanism between the two parties. Therefore, this paper will analyze the actual process of chemical safety supervision based on the perspective of ‘special rectification’ and ‘normal regulation’, and provide optimization measures to promote effective regulation in chemical enterprises.
3. Materials and Methods
3.1. Problem Description and Model Hypothesis
Evolutionary game theory overcomes the limitations of traditional game theory and incorporates finite rational participants into the study. In the process of chemical safety production, chemical enterprises make safety investment the key to ensure safe production, and it is necessary for government regulators to supervise chemical enterprises in order to ensure social safety. Government regulators and chemical enterprises, as finite rational game subjects, have different strategies to participate in the game, and both subjects have related interests and conflicts. Therefore, this paper analyzes the dynamic game process of the regulators and chemical enterprises as the subjects of a finite rational game. The research framework for this paper is shown in Figure 1, and the following hypotheses are proposed for the research problem of this paper:
Figure 1.
Research methods and framework.
Assumption 1.
Chemical companies are participant 1 and government regulators are participant 2. Both parties are finite rational participants and the strategy choice evolves over time to stabilize at the optimal strategy.
Assumption 2.
The behavior strategies of chemical enterprises are two strategies: safety without investment or safety investment , and the strategy set is . The behavior strategies of government regulatory departments are two strategies: strict supervision or loose supervision . The strategy set is . In the game process, assuming that the proportion of local governments adopting strict supervision strategy is , the proportion of local governments adopting loose supervision strategy , , the proportion of safety investment in the chemical industry is , the proportion of safety without investment is , .
Assumption 3.
Corporate benefits of chemical companies making safety inputs into production are , and the cost of safety investment is . When the government regulatory authorities strictly supervise, the chemical enterprises engaged in safety investment will be rewarded . At this time, the revenue of the regulatory authorities is , and the cost of strict supervision and enforcement is .
Assumption 4.
When a chemical enterprise does not invest in safety, it is easy to cause chemical accidents. Assuming that the incidence of chemical accidents is , the cost of engaging in safety non-investment in chemical transactions is , . When the regulatory authorities strictly supervise, the enterprises engaged in safety non-investment in the chemical industry will be punished , . When the regulatory authorities relax their supervision, once a chemical accident occurs, the regulatory authorities will bear the losses caused by their default in supervision, and the chemical enterprises will bear the social damage caused by chemical accidents.
Assumption 5.
If the government regulatory authorities relax supervision and the chemical enterprises do not invest in safety when a chemical accident occurs, it will have a serious impact on public health, social stability, and economic development, and the higher-level government authorities will pursue the responsibility of the government regulatory authorities (including dismissal, warning, punishment, etc.), and the penalty amount is .
Based on the above assumptions, the evolutionary game model between two types of subjects, government regulators and chemical enterprises, is constructed, and the benefits of different strategic combinations of the two types of subjects are shown in Table 1.
Table 1.
Assumptions on parameters relevant to both subjects of the game.
According to the above model assumptions, we can obtain the game income matrix between government regulatory authorities and chemical enterprises, as shown in Table 2.
Table 2.
Game income matrix between government regulatory authorities and chemical enterprises.
3.2. Analysis of Evolutionary Game Model under ‘Special Rectification’ Mode
In April 2020, the State Council Security Committee issued the Three-Year Action Plan for Special Remediation of National Production Safety [33], which defined two special implementation plans and nine special remediation implementation plans, mainly focusing on coal mines, dangerous chemicals, fire protection, industrial parks, hazardous wastes and other industries with high risks, many hidden dangers and frequent accidents, and organized and carried out special remediation actions for national production safety. Concerning the special rectification of hazardous chemicals, the General Offices of the General Office of the Central Committee of the CPC and the State Council issued the Opinions on Comprehensively Strengthening the Safety Production of Hazardous Chemicals in February 2020, which strengthened the safety production of hazardous chemicals from the aspects of strengthening safety risk management and control, implementing the main responsibility of enterprises, and strengthening safety supervision ability. In May 2020, the Emergency Management Department carried out a special inspection and supervision of enterprises with major risk sources of hazardous chemicals throughout the country. This is the ‘special rectification’ mode of safety production in chemical enterprises; let , then form the evolutionary game model of safety supervision of chemical enterprises under the ‘special rectification’ mode. At this point, the government regulatory authorities and business operators have a game income matrix, as shown in Table 3.
Table 3.
‘Special rectification’ mode game return matrix.
3.2.1. Replicator Dynamics Equation of Chemical Enterprises
The expected income of chemical enterprises adopting the strategy of ‘safety investment’ and the expected income of ‘safety non-investment and the average expected income are, respectively:
The evolutionary game replicator dynamic equation of chemical enterprises is as follows:
3.2.2. Replicator Dynamics Equation of Government Regulatory Authorities
The expected return of the government adopting strict supervision strategy , the expected return of loose supervision strategy , and the average expected return are:
The evolutionary game replicator dynamic equation of government regulatory departments is:
3.2.3. Stochastic Petri Net Model of Major Hazardous Chemicals Accidents
From Equations (4) and (8), the two-dimensional dynamic system (I) composed of government regulatory departments and chemical enterprises can be obtained as follows:
The stability of the equilibrium point of the two-dimensional dynamic system is obtained by analyzing the local stability of the Jacobian matrix of the two-dimensional dynamic system composed of two groups [25]. The Jacobian matrix of system (I) is:
Calculate the values and symbols of the determinant and trace of the matrix at five points (0, 0), (0, 1), (1, 0), (1, 1), (,),, , thereby judging the local stability of the system (I), and the evolutionary game stability strategy (ESS) of the replicator dynamic equation system can be obtained from the analysis of the systematic Jacobian matrix (J), that is, if, and only if, the determinant and , then the evolutionary game can reach equilibrium. The analysis results of equilibrium point and local stability of system (I) are shown in Table 4.
Table 4.
Equilibrium point judgments and stability results for system (I).
Inference 1: When the condition and is met, system (I) has a unique evolutionary stability strategy of (0,0). That is, when the difference between the profit and cost of safety non-investment by chemical enterprises is greater than the sum of the safety non-investment cost and the safety non-investment loss compensation, and the cost of strict government supervision is greater than the sum of fines, strict supervision gains, loose supervision default losses, and any additional penalties, then chemical enterprises tend to choose the safety non-investment strategy, and government supervision departments tend to choose the loose supervision strategy.
Inference 2: When the condition and is met, system (I) has an evolutionary stability strategy of (0,1). If the difference between the profit and cost of safety non-investment in chemical enterprises is less than the sum of the safety non-investment cost and the safety non-investment loss compensation, then chemical enterprises will choose a safety investment strategy. At this time, the government supervision department will relax supervision and adopt a loose supervision strategy.
Inference 3: When the condition and is met, system (I) has a unique evolutionary stable strategy of (1,0). If the penalty amount of the higher-level government is greater than the supervision cost of the local government, and the difference between the benefits and costs of chemical enterprises adopting a safe non-investment is greater than the government penalty, then the chemical enterprises tend to choose the safe non-investment strategy, and the government departments will choose the strict supervision strategy.
3.3. Analysis of the Construction of Evolutionary Game Model under ‘Normal Regulation’ Mode
Under the ‘normal regulation’ mode in which chemical enterprises are forbidden from safety non-investment, make , and the evolution game model of chemical enterprises under the ‘normal regulation’ mode is obtained. At this point, the government regulatory authorities and chemical enterprises play the game income matrix, as shown in Table 5.
Table 5.
Game return matrix under ‘normal regulation’ mode.
3.3.1. Replicator Dynamics Equation of Chemical Enterprises
The expected income of chemical enterprises adopting the strategy of ‘safe investment’ and the expected income of ‘safe non-investment’ and the average expected income are as follows:
The evolutionary game replicator dynamic equation of chemical enterprises is as follows:
3.3.2. Replicator Dynamics Equation of Government Regulatory Authorities
The expected return of the government adopting strict supervision strategy , the expected return of loose supervision strategy , and the average expected return are:
The evolutionary game replicator dynamic equation of government regulatory departments is:
3.3.3. Mixed Strategy Stability Analysis
The two-dimensional power system (I) composed of chemical enterprises and government regulatory departments can be obtained from Equations (14) and (18) as follows:
The stability of the equilibrium point of the two-dimensional dynamic system is obtained by analyzing the local stability of the Jacobian matrix of the two-dimensional dynamic system composed of two groups. The Jacobian matrix of system (II) is:
Calculate the values and symbols of the determinant and trace of the matrix at five points (0, 0), (0, 1), (1, 0), (1, 1), (,), where , . From this, the local stability of system (II) is judged, and the evolutionary game stability strategy (ESS) of the replicator dynamic equation system, according to the method proposed by Friedman [27], can be obtained from the analysis of the Jacobian matrix (J) of the system, that is, if, and only if, the determinant and , then the evolutionary game can reach an equilibrium state. The equilibrium point and local stability analysis results of system (II) are shown in Table 6.
Table 6.
System (II) equilibrium point and local stability analysis.
Inference 4: When the condition and is met, system (II) has a unique evolutionary stability strategy of (0, 0). When the difference between the cost of safety investment and the cost of safety non-investment is greater than the sum of the income of safety investment and the compensation for the loss of safety non-investment, and safety non-investment obtains high profits and the cost of strict government supervision is greater than the sum of fines, the income of strict supervision, the loss of default in loose supervision, and any additional punishment, then chemical enterprises tend to choose the strategy of safety non-investment, and government regulatory departments tend to choose the strategy of loose supervision.
Inference 5: When the condition and is met, system (II) has an evolutionary stability strategy of (0, 1). If the difference between the cost of safety investment and the cost of safety non-investment is less than the sum of the income of safety investment and the compensation for loss of safety non-investment, the chemical enterprises will choose a strategy of safety investment, and then the government supervision department will relax supervision and adopt a loose supervision strategy.
Inference 6: When the condition and is met, system (II) has a unique evolutionary stable strategy of (1, 0). The stability of the equilibrium point is analyzed, and the results are shown in Table 2. If the penalty amount of higher-level government is greater than the supervision cost of local government, and the difference between the cost of safety investment and the cost of safety non-investment of chemical enterprises is greater than the sum of government rewards and punishments, then chemical enterprises tend to choose the strategy of safety non-investment, and government departments will choose the strategy of strict supervision.
According to the above analysis, under the ‘special rectification’ mode, the strategic choice of safety non-investment in chemical enterprises depends on ; that is, the difference between the income and cost of safety non-investment in chemical enterprises. However, under the ‘normal regulation’ mode, the strategy choice of safety non-investment depends on ; that is, the difference between the cost of safety investment and the cost of safety non-investment. For the government supervision departments, their strategy choices are in two different modes depending on the supervision cost, superior punishment, and extra penalty income, which has no significant influence on their behavior strategy choices.
4. Results
According to the above analysis, no matter the perspective of government supervision departments or chemical safety production, chemical enterprises should abide by the safety investment policy. Therefore, it is necessary to analyze the influencing factors that affect the safety investment behavior choice of chemical enterprises, find out their laws, and strengthen the safety production supervision of chemical enterprises. In this paper, a chemical company is chosen as a case study for a MATLAB simulation analysis. The enterprise engaged in a safety input: the enterprise benefit is CNY 420,000, the cost of the safety input is CNY 320,000, the cost of the safety non-input is CNY 240,000, the cost of strict government supervision is CNY 180,000, the benefit of supervision is CNY 260,000, the government reward is CNY 50,000, the supervision penalty is CNY 50,000, the loss the government bears is CNY 100,000, the loss the chemical enterprise bears is CNY 80,000, the higher-government penalty is CNY 200,000, the chemical accident with a probability of occurrence of 40% which meet condition (2) of Theorem 1. The system simulation parameters are set as follows: , , , , , , , ,, The initial strategy selection ratios of government regulatory authorities and chemical enterprises are, respectively, as follows: , , and the period is taken [0, 50]. The abscissa in the figure indicates the period, and the ordinate , indicate the change in the behavior strategy ratio between the government regulatory authorities and chemical enterprises.
4.1. Analysis of the Impact of Penalty on the Evolution of the System
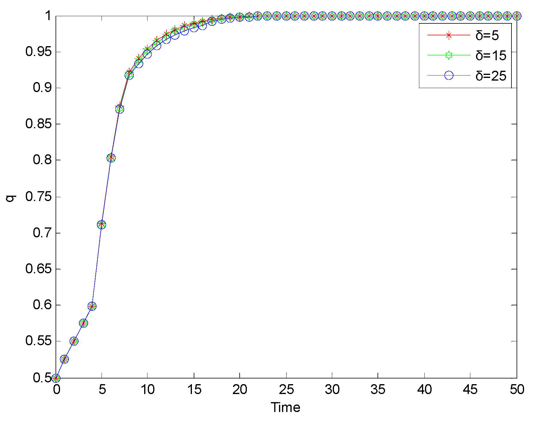
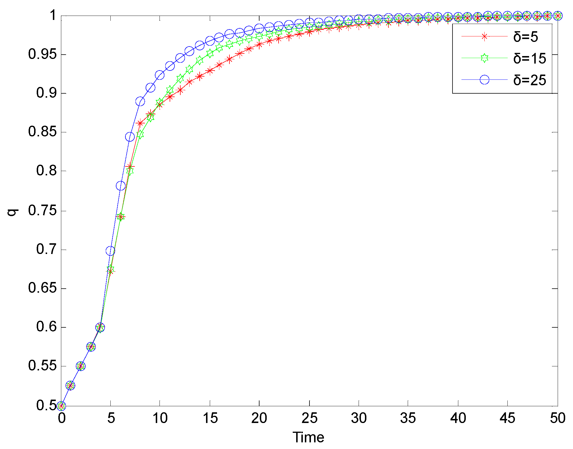
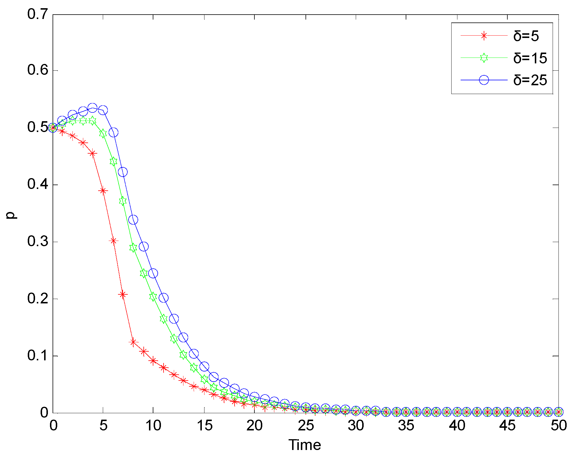
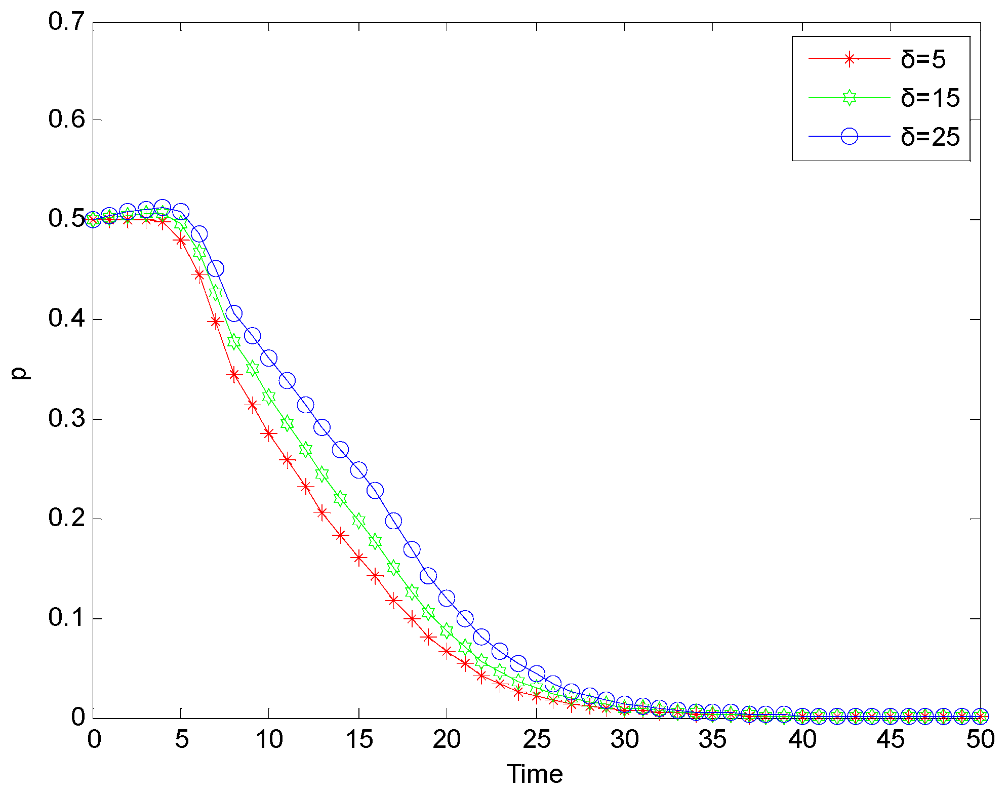
The fines imposed by the government are 5, 15, and 25, respectively, and the simulation results are shown in Figure 2, Figure 3, Figure 4 and Figure 5.
Figure 2.
The process of chemical enterprise strategy selection under special rectification.
Figure 3.
The process of chemical enterprise strategy selection under normal supervision.
Figure 4.
The process of government strategy selection under special rectification.
Figure 5.
The process of government strategy selection under normal supervision.
Figure 2 shows that in the ‘special rectification’ mode, with the increase in punishment intensity, the impact on the choice of the safety investment strategy of chemical enterprises is not significant. Figure 3 shows that under the ‘normal supervision’ mode, with the increase in punishment, the convergence speed of chemical enterprises’ choice of safety investment strategy will be accelerated. Figure 4 shows that in the ‘special rectification’ mode, with the increase in punishment, the convergence speed of the strict supervision strategy adopted by the regulatory authorities will slow down. Figure 5 shows that in the ‘normal supervision’ mode, the convergence speed of the strict supervision strategy adopted by the regulatory authorities will slow down with the increase in punishment intensity.
As can be seen from Figure 2 and Figure 4, when the conditions of inference 2 and are met, the government regulatory authorities and chemical enterprises will finally choose the strategy (loose supervision and safe investment). As can be seen from Figure 3 and Figure 5, when the conditions of inference 5 and are met, the government regulatory authorities and chemical enterprises will finally choose the strategy (loose supervision and safe investment). This shows that by increasing the safety non-investment cost of chemical enterprises and reducing the safety investment cost at the same time, it will be beneficial for enterprises to adopt safety input behavior, but it will inhibit the government’s strict supervision behavior.
Comparing Figure 2 and Figure 3, with the increase in punishment , it can be found that under the ‘normal regulation’ mode, chemical enterprises will evolve to a stable strategy, that is, safety investment, faster, while under the ‘special rectification’ mode, their strategy evolution process remains unchanged; that is, it has no significant impact on their strategic behavior. At the same time, by comparing Figure 4 and Figure 5, it can be seen that the strict supervision behavior of the government supervision department shows a stronger inhibitory effect with the increase in punishment, and the inhibitory effect of the government supervision behavior in the ‘special rectification’ mode is more significant than that in the ‘normal regulation’ mode. This shows that increasing punishment can effectively encourage enterprises to choose safety investment, but it is not conducive to the government supervision departments to better fulfill their strict supervision responsibilities in the supervision of chemical safety production. Therefore, it is necessary to consider the introduction of higher-level government punishment measures, so that government supervision departments can perform their duties and avoid serious chemical accidents caused by supervision default.
4.2. Analyze the Impact of the Probability of Chemical Accidents on the Evolution of the System
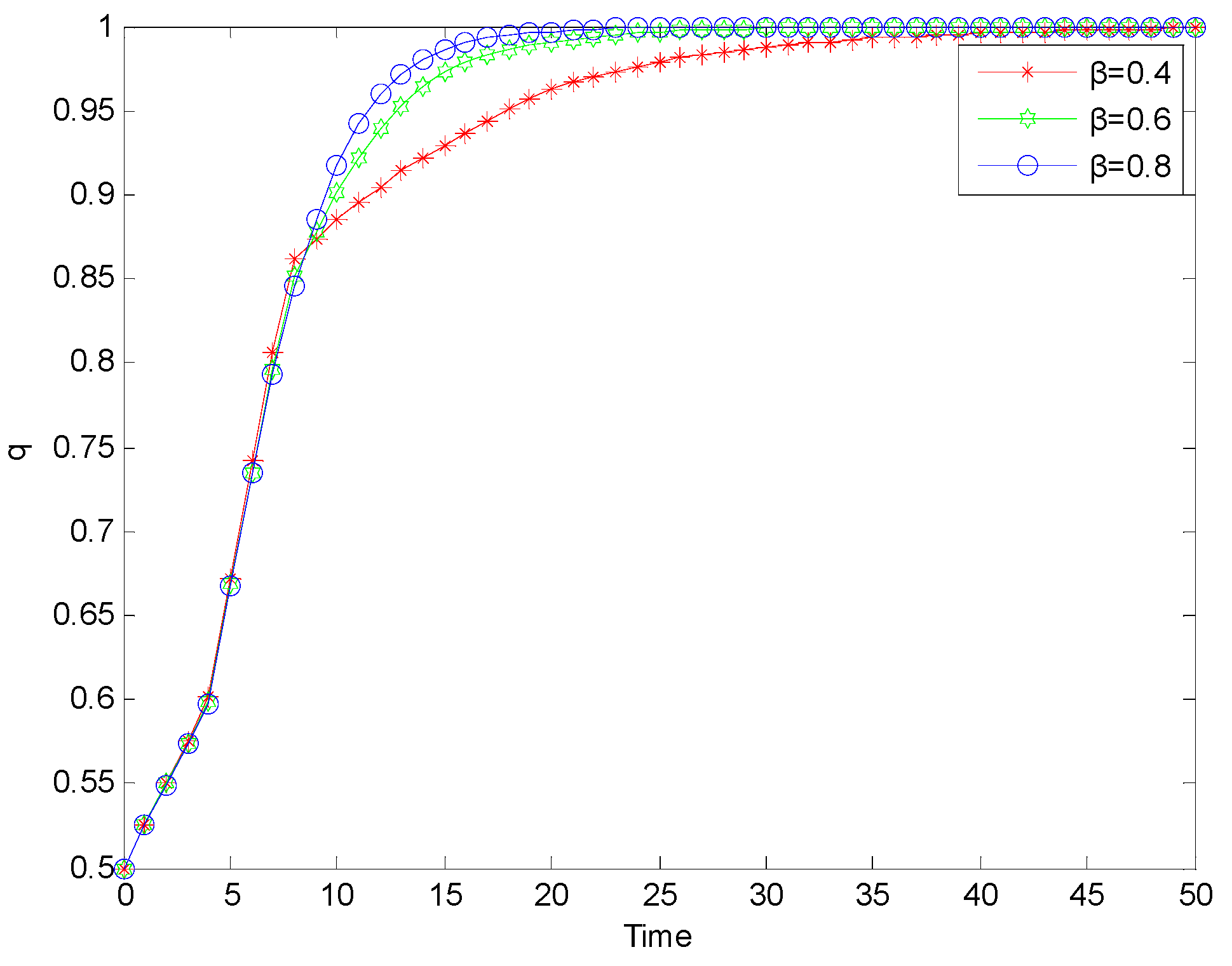
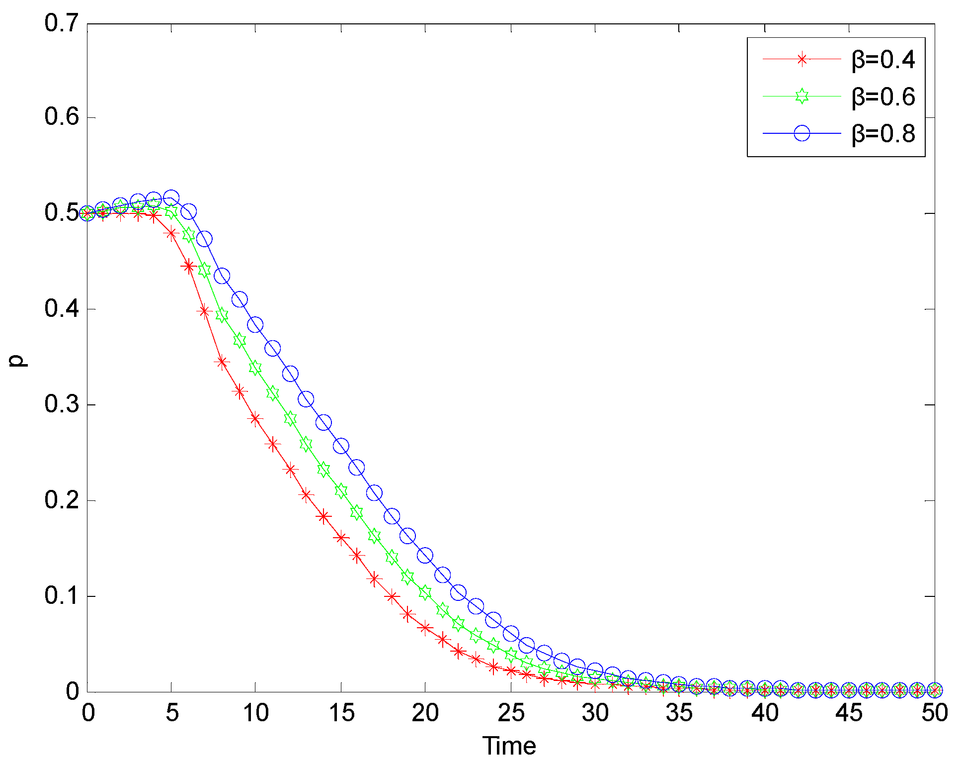
The probabilities are 0.4, 0.6, and 0.8, respectively, and the simulation results are shown in Figure 6, Figure 7, Figure 8 and Figure 9.
Figure 6.
The process of chemical enterprise strategy selection under special rectification.
Figure 7.
The process of chemical enterprise strategy selection under normal supervision.
Figure 8.
The process of government strategy selection under special rectification.
Figure 9.
The process of government strategy selection under normal supervision.
As the probability of chemical accidents increases, comparing Figure 6 and Figure 7, it can be found that under the ‘normal regulation’ mode, chemical enterprises will evolve to a stable strategy, that is, safety investment, faster, while under the ‘special rectification’ mode, their strategy evolution process remains unchanged; that is, it has no significant impact on their strategic behavior. At the same time, by comparing Figure 8 and Figure 9, it can be seen that, unlike the inhibition effect of a punishment increase, the inhibition effect of government supervision behavior in the ‘normal regulation’ mode is more obvious than that in the ‘special rectification’ mode.
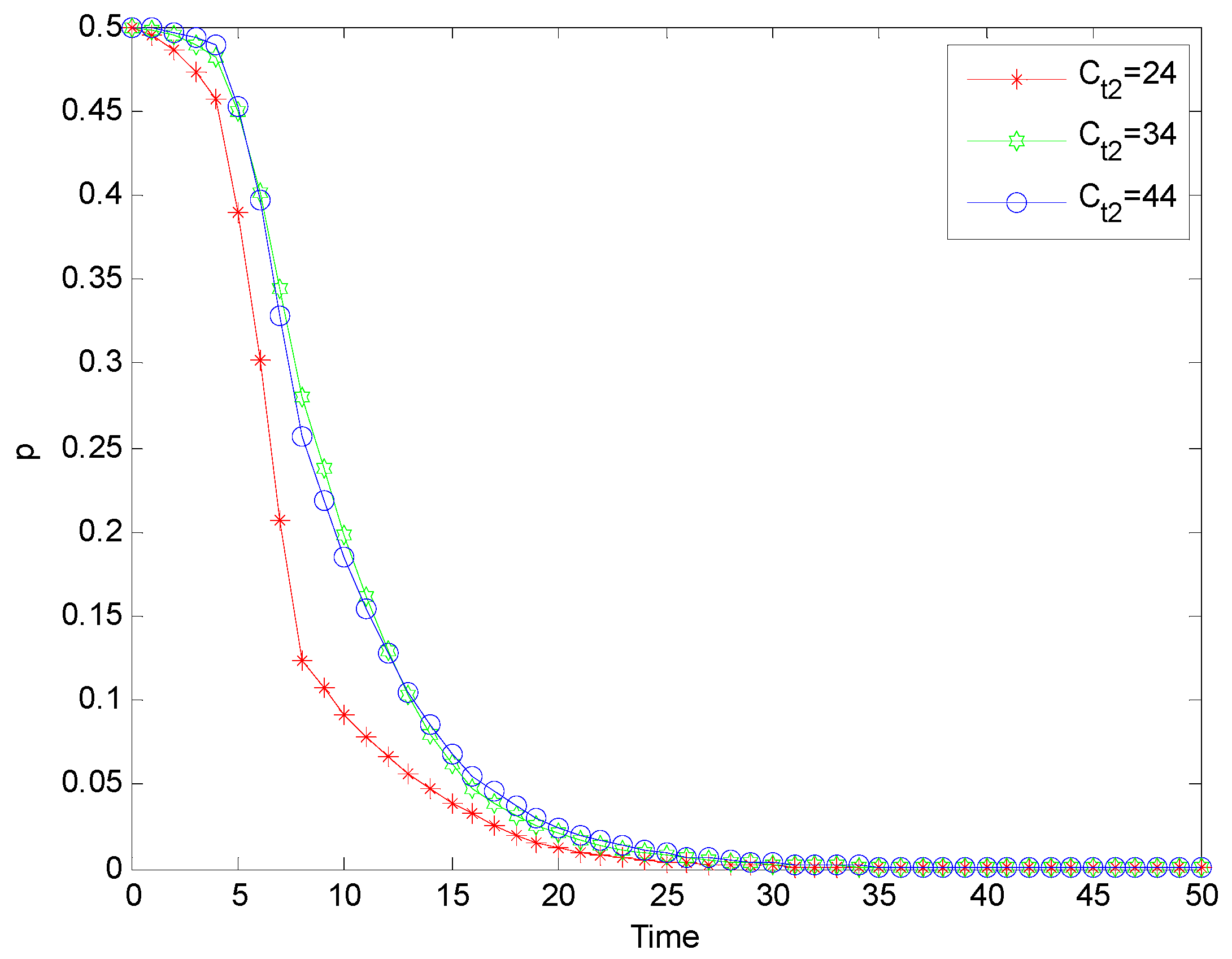
4.3. Analyze the Impact of Safety Non-Investment Cost on System Evolution
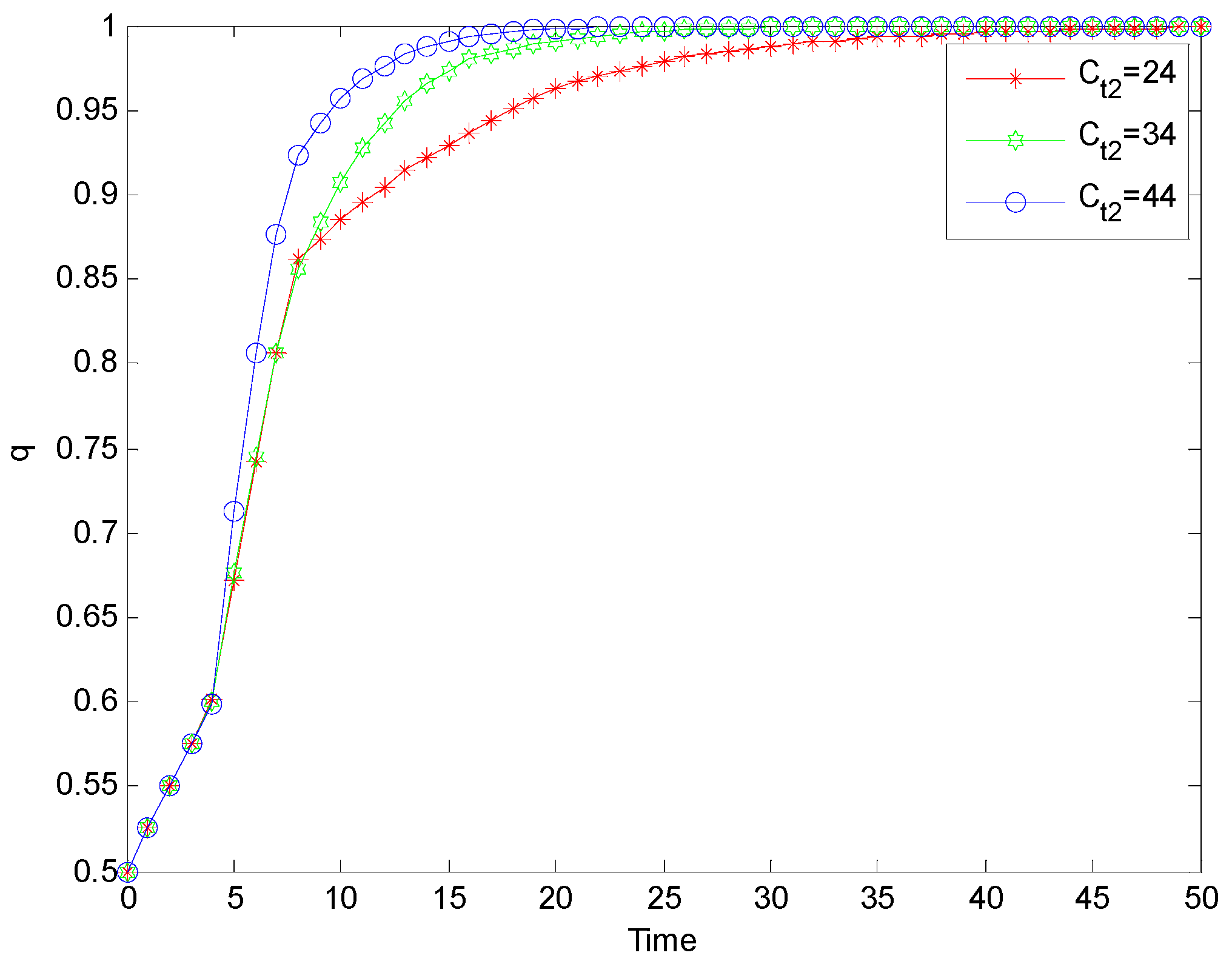
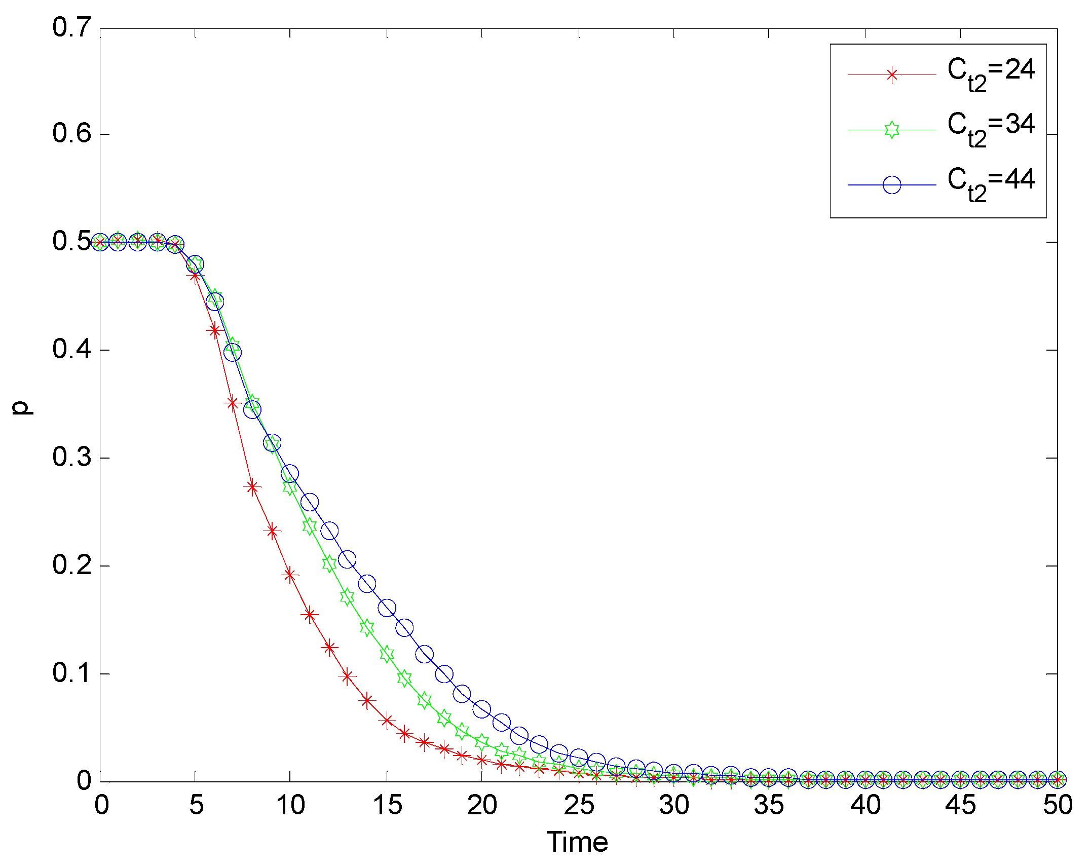
Safety non-investment cost are taken as 24, 34, and 44, respectively, and the simulation results are shown in Figure 10, Figure 11, Figure 12 and Figure 13.
Figure 10.
The process of chemical enterprise strategy selection under special rectification.
Figure 11.
The process of chemical enterprise strategy selection under normal supervision.
Figure 12.
The process of government strategy selection under special rectification.
Figure 13.
The process of government strategy selection under normal supervision.
As the cost of safety non-investment increases, comparing Figure 10 and Figure 11, it can be found that under the two modes of ‘normal regulation’ and ‘special rectification’, chemical enterprises will evolve to a stable strategy, namely, safety investment, more quickly. This shows that the choice of behavior strategy for illegal chemical enterprises is relatively simple. When the cost of safety non-investment is high, chemical enterprises will give up the safety non-investment strategy. Therefore, it is an effective supervision measure to improve the safety non-investment cost of chemical enterprises to crack down on the safety production behavior of illegal chemical enterprises.
Compared with Figure 12 and Figure 13, the strict supervision behavior of the government supervision department shows a stronger inhibitory effect with the increase in the safety non-investment cost of chemical enterprises, but the inhibitory effect is the same under the two different modes of ‘special rectification’ and ‘normal regulation’. This shows that the increase in the safety no-investment cost has no significant impact on the government supervision department because the behavior strategy of the government supervision department is mainly affected by the supervision cost, the punishment strength of the superior, and the penalty income, and has nothing to do with the unsafe input cost of the enterprise.
5. Conclusions
This paper aims to investigate the game behavior of the government supervision departments and chemical enterprises in the process of chemical safety supervision, based on the perspective of ‘special rectification’ and ‘normal regulation’, whereby the evolutionary game models of chemical enterprises and government supervision departments under different supervision modes are established. Based on evolutionary game theory, this paper studies the evolutionary process of the two-game players’ strategy choices and compares and analyzes the evolutionary stability and equilibrium of the behavior strategies of chemical enterprises and government supervision departments. Finally, based on the numerical simulation, a numerical experiment and simulation analysis of the model are carried out. Combined with the simulation results, the results show that (1) Under the ‘special rectification’ mode, the strategic choice of chemical enterprises engaging in safety investment depends on the difference between the benefits and costs of safety non-investment. (2) In the ‘normal regulation’ mode, the choice of its safety non-investment strategy depends on the difference between the cost of engaging in safety investment and the cost of safety non-investment. (3) Increasing punishments by the government will encourage chemical enterprises to take safety investment behavior under the two supervision modes. (4) Increasing punishments has a significant impact on the safety investment behavior of enterprises under the ‘normal regulation’ mode, but it has no significant impact on the behavior of chemical enterprises under the ‘special rectification’ mode. At the same time, increasing punishments will inhibit the government’s strict supervision behavior.
6. Discussion
A review of previous literature suggested that chemical accidents are caused by a combination of factors, such as workers’ operational errors, inadequate government supervision, and a lack of safety training, and often suggest government regulatory activities in the normal regulation mode. This paper focuses on the factors affecting safety investment in chemical enterprises, and provides differentiated suggestions for government regulatory activities in both the normal and special regulation modes. The paper focuses on the factors that affect the safety investment of chemical enterprises and provides differentiated recommendations on governmental regulatory activities under the two models of regular and special regulation. This study provides some insights and recommendations for the regulation of chemical enterprise safety:
Under the ‘special rectification’ mode, the strategic choice of safety investment in chemical enterprises depends on the difference between the benefits and costs of safety investment. In order to gain higher profits, the probability of chemical enterprises choosing safety investment strategies will decrease. At this point, the government can increase the penalties for safety non-investment in chemical enterprises through administrative means, strictly investigate and punish violations found by the law, increase the cost of unsafe investment, further improve the relevant legal system [34], refine the rules for chemical enterprises in terms of emission standards, penalties, and protection of consumer rights, and strengthen the enforcement of social security protection, all of which should prompt chemical enterprises to choose safe investment strategies.
In the ‘normal regulation’ mode, the choice of safety investment strategy depends on the difference between the cost of engaging in safety investment and the cost of safety investment. In addition to increasing the cost of safety investment in chemical enterprises, it is also necessary to consider reducing the cost of safety investment in chemical enterprises. The government should increase incentives for chemical enterprises to engage in safety investment behavior by, on the one hand, directly rewarding chemical enterprises that excel in safety investment through transfer payments, and, on the other hand, reducing the tax burden on quality enterprises, where appropriate, to reduce the cost of safety investment by enterprises and promote a shift toward safe investment behavior by chemical enterprises.
To improve the efficiency of government regulation of chemical enterprises, information technology can be used to reduce the regulatory costs of government departments and improve the efficiency of strict government regulation. For example, a data analysis platform for big data regulation can fully utilize the advantages of internet information, reduce regulatory costs, and strengthen government regulatory behavior supervision under the ‘normal regulation’ model. In addition, the supervision of chemical enterprises that relies on the government alone is far from enough, it also requires the participation of multiple main forces, encouraging the participation of a wide range of people from all walks of life and comprehensive supervision.
7. Limitations
However, there are still some shortcomings in this model. Chemical enterprises are a complex dynamic game evolution process, and many influencing factors and conditions have not been considered in the game process. In the next step, more game conditions will be considered for simulation analysis. At the same time, with the rapid development of new media, there is a new impact on the behavior strategy of game players. The model has not considered the impact of the new media environment on the safety production of chemical enterprises, which will be further analyzed in the follow-up research.
Author Contributions
Conceptualization, X.W. and X.H.; Methodology, X.S.; Software, H.Z.; Validation, X.W., X.H. and N.Z.; Formal Analysis, X.W.; Investigation, X.S.; Resources, N.Z.; Writing—Original Draft Preparation, X.W.; Writing—Review and Editing, X.W. and X.H.; Visualization, H.Z. All authors have read and agreed to the published version of the manuscript.
Funding
This research was funded by the National Natural Science Foundation of China (grant number, 72274111), and by the National Natural Science Foundation of Shandong (grant number, ZR2021MG025).
Data Availability Statement
Data can be obtained from the corresponding author upon reasonable request.
Acknowledgments
All authors thank the editor and anonymous reviewers for their constructive comments and suggestions to improve the quality of this paper.
Conflicts of Interest
The authors declare no conflict of interest. The funders had no role in the design, execution, interpretation, or writing of research.
References
- Yang, D.; Zheng, Y.; Peng, K.; Pan, L.; Zheng, J.; Xie, B.; Wang, B. Characteristics and Statistical Analysis of Large and above Hazardous Chemical Accidents in China from 2000 to 2020. Int. J. Environ. Res. Public Health 2022, 19, 15603. [Google Scholar] [CrossRef] [PubMed]
- Chen, Q.; Wood, M.; Zhao, J. Case Study of the Tianjin Accident: Application of Barrier and Systems Analysis to Understand Challenges to Industry Loss Prevention in Emerging Economies. Process Saf. Environ. Prot. 2019, 131, 178–188. [Google Scholar] [CrossRef]
- Ding, L.; Khan, F.; Ji, J. Risk-Based Safety Measure Allocation to Prevent and Mitigate Storage Fire Hazards. Process Saf. Environ. Prot. 2020, 135, 282–293. [Google Scholar] [CrossRef]
- Chen, C.; Reniers, G. Chemical industry in China: The current status, safety problems, and pathways for future sustainable development. J. Saf. Sci. 2020, 128, 104741. [Google Scholar] [CrossRef]
- Silvestre, B.S.; Gimenes, F.A.P. A sustainability paradox? Sustainable operations in the offshore oil and gas industry: The case of Petrobras. J. Clean. Prod. 2016, 142, 360–370. [Google Scholar] [CrossRef]
- Wang, H.; Zeng, Z. Discussion on Preventive Social Regulation: Taking Risk Regulation of Chemical Industry as Example. Theory Reform. 2020, 235, 97–114. [Google Scholar]
- Acheampong, T.; Phimister, E.; Kemp, A. What difference has the Cullen Report made? Empirical analysis of offshore safety regulations in the United Kingdom’s oil and gas industry. J. Energy Policy 2021, 155, 112354. [Google Scholar] [CrossRef]
- Zhang, D. Risk classification and early warning methods for enterprises in chemical parks. Mod. Chem. Ind. 2022, 42, 12–15. [Google Scholar]
- Hou, W.; Xu, Z.; Wang, L. Research and Application of Left-Bowtie Graph Analysis Based on Double Prevention Mechanism for Enterprise Safety Production. Saf. Environ. Eng. 2023, 30, 21–26. [Google Scholar]
- Yu, C.; Yang, F.; Wu, Y. Grid-based supervision method of safety in major overhaul site of petrochemical enterprises. China Saf. Sci. J. 2022, 32, 6–10. [Google Scholar]
- Wang, Y. Safety Production Supervision of Industrial Enterprises Based on Deep Learning and Artificial Intelligence. Mob. Inf. Syst. 2022, 2022, 1–9. [Google Scholar] [CrossRef]
- Dakkoune, A.; Vernières-Hassimi, L.; Leveneur, S.; Lefebvre, D.; Estel, L. Risk analysis of French chemical industry. Saf. Sci. 2018, 105, 77–85. [Google Scholar] [CrossRef]
- Wang, Y.; Shi, L.; Wang, R.; Duo, Y. Comparative Analysis and Countermeasure Suggestions for Safety Management in Chemical and Coal Mining Industries. J. Saf. Sci. Technol. 2021, 17, 172–176. [Google Scholar]
- Wang, R.; Xu, Y.; Du, J.; Shen, Z. Evaluation of Emergency Response Capability of Fire and Explosion Accidents in Chemical Industry Park Based on Blind Number and Maturity Theory. Saf. Environ. 2021, 28, 30–35+43. [Google Scholar]
- Lefebvre, D.; Leveneur, S. Special Issue on “Thermal Safety of Chemical Processes”. Processes 2021, 9, 1054. [Google Scholar] [CrossRef]
- Jung, S.; Woo, J.; Kang, C. Analysis of severe industrial accidents caused by hazardous chemicals in South Korea from January 2008 to June 2018. J. Saf. Sci. 2020, 124, 104580. [Google Scholar] [CrossRef]
- Yang, R. Analysis of Production Safety Accidents in Chemical Enterprises from 2000 to 2020. China Plast. Ind. 2023, 51, 17–22+78. [Google Scholar]
- Li, R.Y.M.; Chau, K.W.; Zeng, F. Ranking of Risks for Existing and New Building Works. Sustainability 2019, 11, 2863. [Google Scholar] [CrossRef]
- Yang, Y.; Sun, Z.; Liu, X.; Jia, W.; Wu, J. Optimal Decisions on Harmful Chemical Limits in Consumer Goods within an Acceptable Risk Level. Processes 2022, 10, 2259. [Google Scholar] [CrossRef]
- Smith, P.M.; Saunders, R.; Lifshen, M.; Black, O.; Lay, M.; Breslin, F.C.; LaMontagne, A.D.; TOmpa, E. The development of a conceptual model and self-reported measure of occupational health and safety vulnerability. Accid. Anal. Prev. 2015, 82, 234–243. [Google Scholar] [CrossRef]
- Li, R.Y.M. Dynamic Panel Study of Building Accidents. In Construction Safety Informatics; Springer: Singapore, 2019. [Google Scholar]
- Deng, J.; Zhang, X.; Fu, Z.; Wei, Q. Research on Public Opinion Dissemination of Sudden Events Network Based on System Dynamics: A Case Study of “Jiangsu Xiangshui Explosion Accident”. Data Anal. Knowl. Discov. 2020, 4, 110–121. [Google Scholar]
- Yu, J.; Song, X.; Xu, L.; Kang, X.; Du, C.; Wu, Y. Reflections on the Environmental Emergency Monitoring in Jiangsu Xiangshui Explosion. Environ. Monit. China. 2021, 37, 148–156. [Google Scholar]
- Jiang, Y. Local Government’s Safety Supervision of Chemical Enterprises Based on Evolutionary Game Model: A Case Study of “3·21” Explosion Accident of Jiangsu Province. J. Beijing Univ. Aeronaut. 2021, 34, 58–69. [Google Scholar]
- Wang, X.; Liu, K.; Sun, X.; Zhong, J. Evolutionary game model and simulation analysis of gas safety supervision considering the incidence of accidents. J. Shanghai Univ. Sci. Ed. 2022, 28, 932–945. [Google Scholar]
- Liu, S.; Cheng, Y.; Mei, Q. Research on the evolution of strategy choice for work safety of enterprises in the industrial park—From the perspective of spillover effect. Syst. Eng.-Theory Pract. 2020, 40, 3284–3297. [Google Scholar]
- Guo, L.; Liang, J.; Chen, T.; Gao, Y.; Yang, Z. Scenario-Driven Methodology for Cascading Disasters Risk Assessment of Earthquake on Chemical Industrial Park. Processes 2022, 11, 32. [Google Scholar] [CrossRef]
- Liu, T.; Zhang, M.G.; Song, J.; Zhao, Y. Multi-agent evolutionary game of process safety culture in Chinese chemical industry based on system dynamics. J. Syst. Eng. 2021, 25, 107–114. [Google Scholar] [CrossRef]
- Campos, B.; Colbourne, J.K. How omics technologies can enhance chemical safety regulation: Perspectives from academia, government, and industry. Environ. Toxicol. Chem. 2018, 37, 1252–1259. [Google Scholar] [CrossRef]
- Shan, S.; Zhang, Z.; Ji, W.; Wang, H. Analysis of Collaborative Urban Public Crisis Governance in Complex System: A Multi-Agent Stochastic Evolutionary Game Approach. Sustain. Cities Soc. 2023, 91, 104418. [Google Scholar] [CrossRef]
- Song, Q.; Jiang, P.; Zheng, S. Application of Evolutionary Game Theory in Safety Management of Chemical Production. Processes 2020, 8, 472. [Google Scholar] [CrossRef]
- Xin, X. Research on Safety Regulation of Chemical Enterprise under Third-Party Mechanism: An Evolutionary Approach. Symmetry 2019, 11, 1057. [Google Scholar] [CrossRef]
- Zhang, A.; Pan, W.; Li, M.; Hu, J.; Lin, N.; Wang, Y.; Liu, C.; Zhang, A. Integrating development and safety the three-year action of special rectification of production safety was successfully concluded. China Occup. Saf. Health 2023, 10–25. [Google Scholar]
- Li, R.Y.M.; Zuo, J.; Fanen, T. Supply and Demand of Construction Safety Regulations in Developing Countries. In Construction Safety and Waste Management. Risk Engineering; Springer International Publishing: Cham, Switzerland, 2015; pp. 93–109. [Google Scholar]
Disclaimer/Publisher’s Note: The statements, opinions and data contained in all publications are solely those of the individual author(s) and contributor(s) and not of MDPI and/or the editor(s). MDPI and/or the editor(s) disclaim responsibility for any injury to people or property resulting from any ideas, methods, instructions or products referred to in the content. |
© 2023 by the authors. Licensee MDPI, Basel, Switzerland. This article is an open access article distributed under the terms and conditions of the Creative Commons Attribution (CC BY) license (https://creativecommons.org/licenses/by/4.0/).












