Abstract
Mahu conglomerate oilfield has strong heterogeneity. Currently, large-scale hydraulic fracturing is commonly used for reservoir reconstruction. The geometry of hydraulic fractures is influenced by gravel. By referring to the scanning and logging results of a conglomerate reservoir, and considering the characteristics of gravel development in the Mahu Oilfield reservoir, python programming is used to establish a finite element model containing a matrix, bonding interface, and gravel, which considers the random distribution of gravel position and size. The model uses cohesive element global embedding to study the geometry of a hydraulic fracture. The results show that the hydraulic fracture in the gravel reservoir mainly spreads around the gravel, and the propagation path of the hydraulic fracture is affected by the horizontal stress difference. When the interfacial bonding strength is greater than 2 MPa, the conglomerate is more likely to be penetrated by hydraulic fractures, or the hydraulic fractures stop expanding after entering the conglomerate. The strength of the conglomerate largely determines whether hydraulic fractures can pass through it. When the strength of gravel is greater than 7 MPa, hydraulic fractures will stop expanding after entering the gravel. During the hydraulic fracturing process of conglomerate reservoirs, using a large injection rate can result in longer hydraulic fractures and larger fracture volumes.
1. Introduction
Mahu Oilfield is a typical tight conglomerate oil reservoir with reserves of billions of tons [1,2,3]. Large-scale hydraulic fracturing is commonly used for Mahu tight conglomerate oil reservoirs [4,5,6]. Due to the presence of gravel with different particle sizes in the reservoir, the reservoir exhibits strong heterogeneity, which in turn affects the tortuous propagation path of hydraulic fractures [7,8,9]. Uniaxial and triaxial compression tests of conglomerate samples intuitively demonstrate their heterogeneity [10]. In the process of hydraulic fracture propagation, there are three modes: passing through gravel, bypassing the gravel, and stopping at the gravel, which leads to high tortuosity in the fracture and may affect the final fracturing modification effect [11].
The problem of hydraulic fracture propagation in conglomerate reservoirs can be studied using experimental and numerical simulation methods. In terms of experiments, Meng et al. [12] and Li et al. [13] used a true triaxial simulation fracturing test system to conduct a simulation test on the mechanism of hydraulic fracture propagation on artificial conglomerate samples, and qualitatively analyzed the impact of conglomerate on fracture propagation. Li et al. [14] analyzed the mineral composition and mechanical properties of the matrix, conglomerate, and bonding interface. They conducted experimental research on natural conglomerate samples using a true triaxial fracturing simulation test system, and analyzed the effects of horizontal stress difference, conglomerate particle size and distribution patterns, as well as the viscosity and injection rate of fracturing fluid on hydraulic fracture propagation morphology.
The experimental research results indicate that the presence of conglomerate can affect the propagation morphology of hydraulic fractures, but the propagation path of hydraulic fractures under different conglomerate strength and conglomerate matrix bonding interface strength is difficult to study through experiments. These experimental studies can to some extent characterize the hydraulic fracture propagation paths of conglomerate reservoirs under different construction conditions, but there are significant difficulties in sampling and processing rock samples containing gravel.
With the development of numerical simulation technology, numerical simulation methods have been used by many scholars to study the hydraulic fracture propagation path of conglomerate reservoirs. Luo et al. [15] studied the fracture propagation law of gravels with different particle sizes, contents, and fracture toughness through programming simulation. Ju et al. [16] used microfocus computed tomography (CT) imaging and X-ray diffraction techniques to construct a three-dimensional reconstruction model of conglomerate. Based on the continuum-based discrete element method (CDEM), the initiation and propagation behavior of hydraulic fractures in conglomerate under different horizontal stress conditions were simulated and analyzed. Wang et al. [17] established a two-dimensional fluid–solid fully coupled fracture propagation model with gravel based on the CDEM and studied the effects of stress difference, gravel content, and injection rate on the fracture propagation morphology. Rui et al. [18] established a hydraulic fracture propagation model for conglomerate reservoirs considering seepage stress damage and studied the effects of rock and gravel properties on hydraulic fracture propagation. Shi et al. [15] and Tang et al. [8] established a hydraulic fracture propagation model for gravel reservoirs using the global embedding of cohesive elements and studied the mechanism of hydraulic fracture propagation in conglomerate reservoirs. Mansour et al. [19] established a conglomerate model based on the combined finite-discrete element method (FDEM). The influence of a single or multiple types of blocks is studied in the conglomerate models. These numerical simulation methods can generally be divided into DEM and FEM, among which DEM has the problem of high computational costs [20]. FEM can be combined with cohesive elements to establish models with discontinuous interfaces, where conglomerate oil reservoirs can be seen as a whole composed of matrix, conglomerate, and bonding interfaces. Therefore, FEM and cohesive elements can effectively establish conglomerate reservoir models.
In these existing studies, the established models consider the reservoir as a combination of conglomerate and reservoir matrix. In actual reservoirs, there is a bonding interface formed between conglomerate and matrix, and the strength of conglomerate and c bonding interface is crucial for the propagation path and morphology of hydraulic fractures. Based on this, this paper takes Mahu conglomerate reservoir as the research background and uses a FEM and cohesive element to establish the model of conglomerate hydraulic fracturing considering the matrix, conglomerate and bonding interface. Finally, the path law of hydraulic fractures under different stress, interfacial bonding strength, gravel strength, and injection rate values was simulated and calculated.
2. Characteristics of Mahu Conglomerate Reservoir
The research object is the Junggar Basin of Mahu Oilfield. This block is a typical conglomerate reservoir. Taking Well X as an example, according to the RoqSCN interpretation results, the gravel shape in the reservoir is irregular and microcracks are developed. The distribution range of gravel particle size is 9–50 mm, with gravel with a particle size of 20–40 mm accounting for over 90%. The gravel content of the reservoir ranges from 5% to 43%, with an average gravel content of 25% in the reservoir reconstruction area. Figure 1 shows the RoqSCN results of Well X.
Figure 1.
Gravel sample and RoqSCAN results of well X.
3. Theoretical Model
3.1. Basic Control Equation
The formation is considered a saturated porous elastic medium, and based on Biot’s law, the following relationship holds in a saturated porous elastic medium [21].
where σ, and Pw are the total stress, effective stress, and pore pressure of porous elastic formations, respectively. α is the biot coefficient.
According to the principle of virtual work, the equilibrium equation can be expressed as [22].
where I is the identity matrix; and δv represent the virtual strain field and virtual velocity field of porous elastic formations, respectively. T and f represent surface force and volume force of porous elastic formations. φ is the porosity of the formation; ρw is the density of fluid; S is the integral area; and Ω is the formation.
According to Darcy‘s law, the seepage velocity of fluid in porous elastic formation can be expressed as [23].
where k is the formation permeability, nw is the formation void ratio, and g is gravity acceleration.
3.2. Damage and Initiation Criteria
The cohesive element is used to simulate the initiation and propagation process of hydraulic fractures. The failure process of the cohesive element follows the bilinear constitutive relationship shown in Figure 2, which includes the linear elastic stage before the peak load and the damage evolution process after the peak load. The triangular area enclosed by the bilinear constitutive curve and the horizontal axis represents the fracture energy of the formation rock during the fracture propagation process.
Figure 2.
Bilinear traction separation criterion (Black indicates the normal loading process, and red indicates the uninstallation process.).
For the linear elastic stage of the bilinear constitutive relationship, the relationship between the stress and strain on the surface of the cohesive element can be written as [24,25].
where T is the stress exerted on the cohesive element; K is the elastic modulus of the formation rock; ε is the strain generated by the cohesive element; subscript n represents the normal direction perpendicular to the cohesive element surface; and s and t represent two orthogonal tangents along the cohesive element surface.
Using the quadratic nominal stress criterion as shown in Formula (5) as the damage initiation criterion, when the sum of the squares of the stress to strength ratio on the surface of the cohesive element reaches 1, the cohesive element damage begins [26].
where is the tensile strength; and is the shear strength.
The damage variable D is used to describe the damage and failure process of cohesive elements, with damage variables ranging from 0 to 1. When the stress on the cohesive element reaches the peak load, the damage variable is 0, and the damage evolution begins. When the cohesive element is completely damaged, the damage variable is 1. The calculation method for damage variables is as follows [27].
where δm represents the displacement generated by the cohesive element. The superscript o and f represents the displacement at the beginning and complete destruction from the damage. The superscript max represents the displacement during the failure process.
In this study, the maximum energy release rate theory is used as the propagation criterion for hydraulic fractures. The B-K criterion shown in Formula (7) is used to calculate the fracture energy during the propagation process of hydraulic fractures [28]. When the energy release rate at the tip of the hydraulic fracture is greater than the fracture energy of the reservoir rock, the hydraulic fracture expands forward.
where and represent type I and type II fracture energies, respectively; G is the equivalent fracture energy.
3.3. Fracturing Fluid Flow Model
Figure 3 depicts the flow of fracturing fluid in hydraulic fractures. The fracturing fluid in hydraulic fractures first flows forward along the fracture, promoting the hydraulic fracture expansion. This flow becomes tangential flow. Hydraulic fractures also filter out into the formation through the surface of the fractures, which becomes normal flow.
Figure 3.
Fluid flow in cohesive element.
For convenience, the flow of fracturing fluid in hydraulic fractures is considered as laminar flow in parallel plates, and the fracturing fluid is considered incompressible. The flow is simplified as one-dimensional flow, and its continuity equation is [29].
where qf is the average flow velocity of the fluid, and w is the width of the fracture.
The tangential flow in hydraulic fractures can be considered as laminar flow in parallel plates, and its flow process is described using Poiseuille’s equation. Poiseuille’s equation can be expressed as [29].
where kt is the permeability coefficient of the tangential flow of fluid in the fracture.
q1 can be determined by the normal flow equation on the upper and lower surfaces of the fracture.
For the normal flow on the upper and lower surfaces of fractures, the flow equation can be expressed as [30].
where ct and cb are the filtration coefficients of the upper and lower crack surfaces, respectively.
4. Finite Element Model of Conglomerate Reservoirs
4.1. Finite Element Model
The cohesive element is a three-layer structure as shown in Figure 4, where node 1 and node 2 are upper nodes, node 3 and node 4 are down nodes, and node 5 and node 6 are middle nodes. Each upper and down node has two degrees of freedom for displacement, and each middle node has one degree of freedom for pore pressure.
Figure 4.
Cohesive element Structure (1, 2 represents the upper displacement node; 3, 4 represents the lower displacement node; 5, 6 represents the pore pressure node.).
For gravel reservoirs, in order to achieve the random path propagation of hydraulic fractures, cohesive elements are inserted into the matrix, bonding interface, and gravel after meshing the model. As shown in Figure 5, after the cohesive element is inserted, there are multiple displacement nodes and pore pressure nodes of the cohesive element at the same position. In order to achieve the flow of fracturing fluid in different cohesive elements and the expansion of hydraulic fractures along any path, the cohesive element nodes at the same position are merged. Figure 6 shows the scenario where four cohesive elements intersect. For example, nodes 6, 12, 17, and 23 in the figure represent the pore pressure nodes of the four cohesive elements, nodes 2 and 8 represent the displacement nodes of the two cohesive elements, the four pore pressure nodes merge into pore pressure node 6, and the two displacement nodes merge into displacement node 2.
Figure 5.
Cohesive element node merging (Green represents the displacement nodes and red represents the pore pressure nodes.).
Figure 6.
Finite element model of conglomerate reservoir.
Based on this, the entire modeling process includes four steps, specifically: (1) determining the model size and establishing a reservoir matrix model; (2) writing code based on Python to add randomly distributed gravel to the reservoir matrix model; (3) meshing the model; (4) inserting cohesive elements; (5) merging cohesive element nodes.
A two-dimensional finite element model of the conglomerate reservoir was established as shown in Figure 6. The length and width of the model are both 500 mm. The injection point of the model is set at the center of the model. The gravel content in the model is 25%, and the gravel diameter distribution range is 20 mm~40 mm. Python script is used in the modeling process to achieve the random distribution of gravel location and size. The distribution law conforms to the characteristics of normal distribution. The geometric modeling was meshed with a quadrilateral unstructured mesh.
Figure 7 shows the number of meshes in the model under different mesh sizes. It can be seen that as the mesh size increases, the number of grids will show an exponential decrease. In order to save computational costs, when the global mesh size of the model is 10 mm, the number of model grids is 4312. The processor used for model solving is Intel (R) Core (TM) i7-10700 CPU @ 2.60 GHz, and the calculation time of the model is 1.6 h.
Figure 7.
The number of meshes at different mesh sizes.
After the model is meshed, quality checks are conducted on the meshes, and local mesh refinement is performed on the area where the distorted meshes are located until there are no distorted meshes in the model. According to the mesh division results, Python is used to write a script to achieve the global embedding of cohesive elements. Cohesive elements are divided into a matrix, gravel and cementation interface.
The model was solved by the Newton–Raphson method. We treated the process of hydraulic fracture propagation as a quasi-static process [20,31]. In the calculation process, with the injection of fracturing fluid, the pressure in the fracture increased, and the load on the reservoir rock increased. When an incremental step calculation was completed, we calculated the internal force of the reservoir rock based on the displacement generated by reservoir deformation. When the difference between the internal and external forces was less than the threshold, it was considered that the calculation step converged.
4.2. Model Accuracy Verification
A hydraulic fracture propagation KGD model was established using the method of global embedding of cohesive element. The model was set with an elastic modulus of 30 GPa, Poisson’s ratio of 0.25, injection rate of 0.001 m3/s, fracturing fluid viscosity of 0.001 Pa·s, fracturing fluid filtration coefficient of 1 × 10−14 m·Pa−1·s−1, and injection test pieces of 100 s.
The energy dissipation in the process of hydraulic fracture propagation can be divided into viscosity-dominated and toughness-dominated. These two energy dissipation modes can be judged by calculating dimensionless fracture toughness Km and dimensionless filtration coefficient Cm. Detournay provides the calculation formulas for these two dimensionless parameters as follows [32]:
where KIC is the fracture toughness; CL is the Carter filtration coefficient; and Q is the flow rate.
According to the parameters of the KGD model, Km = 0.806 and Cm = 5.07 × 10−12 were calculated. The judgment method for the energy dissipation mode is shown in Table 1 [33], and it can be seen that viscosity dominates.
Table 1.
The judgment method for energy dissipation mode.
The calculation results of the numerical simulation and the KGD model are shown in Figure 8. It can be seen that the calculation results of the two are very close, and the correctness of the proposed method can be considered.
Figure 8.
Model accuracy verification.
4.3. Model Basic Parameter Settings
The input parameters required for model calculation include matrix strength parameters, gravel strength parameters, bonding interface strength parameters, reservoir parameters, and fracturing construction parameters. According to the logging interpretation results, the parameter settings are shown in Table 2. The injection rate is 3.5 × 10−7 m3/s · m, the viscosity of the fracturing fluid is 10 mPa · s, the initial pore pressure of the formation is 20 MPa, the minimum horizontal crustal stress is 5 MPa, and the cementation strength of gravel at the matrix interface is 1 MPa. During the calculation process, only one parameter is changed, while the remaining parameters remain unchanged.
Table 2.
Basic Parameter Settings.
5. Calculation Results
5.1. Influence of Horizontal Stress Difference
Our process is as follows: keep the minimum horizontal stress difference of 5 MPa; set the maximum horizontal stress of 5 MPa, 10 MPa, and 15 MPa, respectively; and calculate the hydraulic fracture propagation path as shown in Figure 9. When the horizontal stress difference is 0 MPa, due to the weak strength of the bonding interface, the hydraulic fracture is affected by the gravel after the initiation of the fracture, resulting in a gravel-surrounded fracture, and the hydraulic fracture expands longitudinally. When the horizontal stress difference is 5 MPa, the hydraulic fracture expands along the direction of the maximum horizontal stress. As the left side of the fracture is blocked by gravel in the process of expansion, the hydraulic fracture on both sides expands unevenly. When the horizontal stress difference is 10 MPa, the uneven expansion of the fractures is more obvious because the left side fractures are blocked by gravel, forming asymmetric double-wing fractures.
Figure 9.
Fracture propagation path under different horizontal stress differences.
Figure 10 shows the fracture parameters under different horizontal stress differences. It can be seen that the shorter hydraulic fracture length is formed under the condition of larger horizontal stress differences. This is because the expansion of one side of the hydraulic fracture is blocked by gravel under the condition of larger horizontal stress differences, forming asymmetric double-wing joints, resulting in the reduction in the final fracture length. In the calculation process, the filtration process of fracturing fluid from the fracture to the formation is considered. When the horizontal stress difference is 5 MPa and 15 MPa, the final fracture area is 25.9 mm2. When the horizontal stress difference is 0 MPa, the hydraulic fracture length is longer, and some small branch fractures are formed, resulting in more fracturing fluid filtration, and the final fracture area is 20.56 mm2.
Figure 10.
Fracture parameters under different horizontal stress differences.
In general, the hydraulic fracture mainly expands around the gravel, and the hydraulic fracture propagation path is affected by the combined effect of horizontal stress which is lower than the gravel. When the hydraulic fracture encounters the gravel, it may cause the hydraulic fracture to stop expanding and finally form an asymmetric double-wing fracture.
5.2. Effect of Interface Bonding Strength
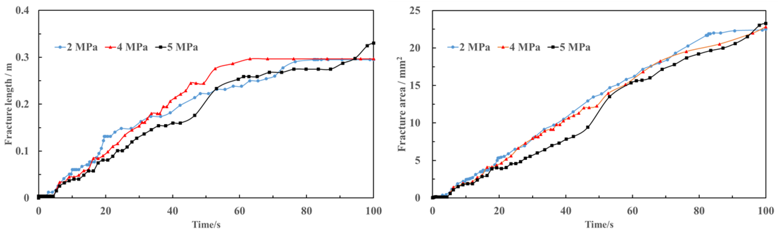
In order to study the influence of matrix and gravel bonding interface strength on hydraulic fracture propagation path, the horizontal stress difference is 5 MPa, and the interface bonding strength is set as 40%, 80% and 100% of the matrix tensile strength, and the corresponding interface bonding strength is 2 MPa, 4 MPa and 5 MPa. The calculation of hydraulic fracture propagation path is shown in Figure 11. When the interfacial bonding strength is 20% of the matrix interface strength, all hydraulic fractures propagate around the gravel, and the tip of the left fracture does not enter the gravel after encountering it. The left fracture stops expanding forward. When the interfacial bonding strength is 40% and 80% of the matrix interface strength, the tip of the left fracture extends into the gravel and enters it. Under the influence of the gravel, the left fracture stops expanding forward, and the hydraulic fracture is an obvious asymmetric double-wing fracture. When the interfacial bonding strength is 100% of the matrix interface strength, the hydraulic fracture on the left side passes through the gravel, forming a through gravel fracture. The tip of the right fracture encounters the gravel at a distance, and the fracture stops expanding. The length of the fractures on both sides is relatively balanced.
Figure 11.
Fracture propagation path under different interfacial bonding strength.
Figure 12 shows the fracture parameters under different interface bonding strength conditions. It can be seen that when the interface bonding strength is 2 MPa and 4 MPa, due to the formation of obvious asymmetric double wing fractures, the final hydraulic fracture length is 0.33 m and the fracture area is 22.83 mm2. When the interfacial bonding strength is 5 MPa, hydraulic fractures are more likely to form through gravel fractures, and the fractures on both sides have expanded. The final fracture length is 0.3 m, and the fracture area is 23.27 mm2.
Figure 12.
Fracture parameters under different interfacial bonding strength.
Overall, when the interfacial bonding strength between the matrix and gravel is 1 MPa, hydraulic fractures are prone to propagate around the gravel. When the interfacial bonding strength is greater than 2 MPa, hydraulic fractures are more likely to enter the gravel, which may cause hydraulic fractures to stop expanding.
5.3. Impact of Gravel Strength
Our process is a follows: keep the tensile strength of the matrix at 5 MPa; set the tensile strength of gravel at 5 MPa, 6 MPa, 7 MPa, and 9 MPa; and set the tensile strength of gravel at 10 MPa when the difference of crustal stress is 5 MPa. The calculation of the hydraulic fracture propagation path is shown in Figure 13. It can be seen that when the gravel strength is 5 MPa and 6 MPa, hydraulic fractures are more likely to propagate through the gravel, and there is no phenomenon of hydraulic fractures on the left and right sides stopping propagation when encountering gravel. When the gravel strength is 7 MPa, the difficulty of hydraulic fracture passing through the gravel increases, and the left hydraulic fracture ultimately stops expanding due to encountering gravel. When the gravel strength is 9 MPa, the hydraulic fractures did not propagate through the gravel, and all hydraulic fractures did not propagate around the gravel. Finally, the left hydraulic fracture stopped expanding due to encountering gravel. When the gravel strength was 10 MPa, due to the obstruction of the gravel on the left side of the fracture, the uneven expansion of the fracture became more obvious, forming an asymmetric double-wing fracture.
Figure 13.
Fracture propagation path under different gravel strength.
Figure 14 shows the fracture parameters under different gravel strength conditions. It can be seen that as the gravel strength increased, the final hydraulic fracture length showed an increasing trend. When the gravel strength was 7 MPa, due to the influence of gravel, the left fracture propagation was hindered, resulting in the smallest final fracture length. The strength of gravel had little effect on the final fracture area, which was approximately 25.94 mm2.
Figure 14.
Fracture parameters under different gravel strength.
Overall, the strength of gravel largely determines whether hydraulic fractures can propagate through the gravel. When the gravel strength is greater than 7 MPa, it is difficult for hydraulic fractures to propagate through the gravel, and hydraulic fractures are prone to stopping propagation after encountering gravel.
5.4. Impact of Injection Rate
We set the injection rate to 0.5 × 10−7 m3/s*m, 1.5 × 10−7 m3/s*m, and 5.5 × 10−7 m3/s*m, and calculated the hydraulic fracture propagation path as shown in Figure 15. When the horizontal stress difference is 5 MPa, the corresponding injection rate is 3.5 × 10−7 m3/s*m. It can be seen that when the injection rate was 0.5 × 10−7 m3/s*m and 1.5 × 10−7 m3/s*m, shorter hydraulic fractures were formed. When the injection rate was 5.5 × 10−7 m3/s*m, the hydraulic fracture was relatively long, the hydraulic fracture extended around and through the gravel, and the hydraulic fracture propagation path did not fully extend in the direction of the maximum horizontal stress.
Figure 15.
Fracture propagation path under different injection rate.
Figure 16 shows the fracture parameters under different gravel strength conditions. It can be seen that when the injection rate was 0.5 × 10−7 m3/s*m and 1.5 × 10−7 m3/s*m, the hydraulic fracture lengths were 0.04 m and 0.16 m, and the fracture areas were 1.56 mm2 and 8.29 mm2, respectively.
Figure 16.
Fracture parameters under different injection rates.
Therefore, during the hydraulic fracturing process of conglomerate reservoirs, using a large injection rate can obtain longer hydraulic fractures and larger fracture volumes.
6. Conclusions
In this study, a hydraulic fracture propagation model for a conglomerate reservoir referencing the Mahu Oilfield reservoir was established. The model characterizes the matrix, gravel, and interface bonding strength based on a cohesive element, and achieves the random distribution of gravel size and position through Python programming, as well as the calculation of any hydraulic fracture propagation path. Finally, the influence of horizontal stress difference, interface bonding strength, gravel strength, and injection rate on the hydraulic fracture propagation path is calculated, and the following conclusions are obtained:
(1) Mahu Oilfield is a typical heterogeneous conglomerate reservoir with well-developed conglomerate. The expansion of hydraulic fractures around and through conglomerate after encountering conglomerate will form different forms and paths of hydraulic fractures.
(2) The hydraulic fracture of the gravel reservoir mainly spreads around the gravel, and the hydraulic fracture propagation path is affected by the combined effect of horizontal stress, which is worse than gravel. When the hydraulic fracture encounters gravel, it may cause the hydraulic fracture to stop expanding and finally form an asymmetric double-wing fracture.
(3) When the interfacial bonding strength is greater than 2 MPa, hydraulic fractures are more likely to enter the gravel, which may cause the cessation of hydraulic fracture propagation.
(4) The strength of gravel largely determines whether hydraulic fractures can propagate through the gravel. When the strength of the gravel is greater than 7 MPa, it is difficult for hydraulic fractures to propagate through the gravel, and hydraulic fractures are prone to stopping propagation after encountering the gravel.
(5) During the hydraulic fracturing process of conglomerate reservoirs, using large injection rate can result in longer hydraulic fractures and larger fracture volumes.
Author Contributions
Conceptualization, Y.P. and J.L.; methodology, D.X. and X.M.; software, D.X. and X.M.; validation, B.X. and X.M.; formal analysis, Y.P.; investigation, Y.P.; resources, X.M.; data curation, X.M.; writing—original draft preparation, D.X.; writing—review and editing, X.M. and D.X.; visualization, X.M.; supervision, Y.P.; project administration, Y.P.; funding acquisition, Y.P. All authors have read and agreed to the published version of the manuscript.
Funding
This research received no external funding.
Data Availability Statement
No new data were created.
Conflicts of Interest
The authors declare no conflict of interest.
References
- Hou, Q.j.; He, H.Q.; Li, J.Z.; Tao, Y. Recent Progress and Prospect of Oil and Gas Exploration by Petro China Company Limited. China Pet. Explor. 2018, 23, 1–13. [Google Scholar]
- Jia, C.Z.; Zou, C.N.; Yang, Z.; Zhu, R.; Chen, Z.; Zhang, B.; Jiang, L. Significant Progress of Continental Petroleum Geology Theory in Basins of Central and Western China. Pet. Explor. Dev. 2018, 45, 546–560. [Google Scholar] [CrossRef]
- Guo, H.; Ji, B.Q.; Yang, S.; Ran, W.; Zhang, S.; Li, J.; Zhang, S.; Zou, N.; Shi, J. Formation of Zeolite Cements in Permian Sandy Conglomerate Reservoir in the Circum-Mahu Sag, Junggar Basin and its Petroleum Geological Significance. Acta Pet. Sin. 2022, 43, 341–354. [Google Scholar]
- Xu, J.W.; Li, J.M.; Wu, Y.Y.; Kun, D.; Hong, J. Exploration and Practice of Volume Fracturing Technology in Horizontal Well of Mahu Tight Conglomerate Reservoirs. China Pet. Explor. 2019, 24, 241–249. [Google Scholar]
- Zou, L.Z.; Zou, L.X.; Jiang, X.M.; Liu, Z.Y.; Lu, W.X. The Horizontal Drilling Technology in Tight Sandy Conglomerate Reservoirs in Mahuu Sag. Xinjiang Oil Gas 2018, 14, 19–24. [Google Scholar]
- Li, W.X.; Song, L.; Xi, C.M.; Rong, K.S. Drilling and Completion Technology for Horizontal Well with Ultra-Long Horizontal Section in Tight Conglomerate Reservoir of Xinjiang Mahu Oilfield Sag. Xinjiang Oil Gas 2021, 17, 86–91. [Google Scholar]
- Zhang, G.; Sun, S.; Chao., K.; Niu, R.; Liu, B.; Li, Y.; Wang, F. Investigation of the Nucleation Propagation and Coalescence of Hydraulic Fractures in Glutenite Reservoirs Using a Coupled Fluid Flow-DEM Approach. Powder Technol. 2019, 354, 301–313. [Google Scholar] [CrossRef]
- Tang, H.Y.; Liang, H.P.; Zhang, L.H.; Kin, J.; Li, Y.; Zhang, J. Hydraulic Fracture Extension Patterns of Conglomerate Reservoirs and Relevant Influencing Factors. Acta Pet. Sin. 2022, 43, 871–884. [Google Scholar]
- Xu, Z.H.; Liu, X.J.; Liang, L.X. Numerical Investigation of Hydraulic Fracture Propagation Morphology in the Conglomerate Reservoir. Geofluids 2022, 22, 6811300. [Google Scholar] [CrossRef]
- Li, J.R.; Duan, K.; Meng, H.; Wang, J.; Zhang, Q.; Wang, L. On the Mechanical Properties and Failure Mechanism of Conglomerate Specimens Subjected to Triaxial Compression Tests. Rock Mech. Rock Eng. 2023, 56, 973–995. [Google Scholar] [CrossRef]
- Li, S.F.; Li, T.W.; Wang, J.T.; Yin, Y.P. The Performance Test and Application of the Fracture Fiction in Glutenite Reservoir. Sci. Technol. Eng. 2015, 15, 127–130. [Google Scholar]
- Meng, Q.M.; Zhang, S.C.; Guo, X.M.; Chen, X.H.; Zhang, Y. A Primary Investigation on Propagation Mechanism for Hydraulic Fractures in Glutenite Formation. J. Oil Gas Technol. 2010, 32, 119–123. [Google Scholar]
- Li, N.; Zhang, S.C.; Ma, X.F.; Zhang, Z.; Li, S.; Chen, M.; Sun, Y. Experimental Study on the Propagation Mechanism of Hydraulic Fracture in Glutenite Formations. Chin. J. Rock Mech. Eng. 2017, 36, 2383–2392. [Google Scholar]
- Li, L.C.; Li, G.; Meng, Q.M.; Wang, Z. Numerical Simulation of Propagation of Hydraulic Fractures in Glutenite Formation. Rock Soil Mech. 2013, 34, 1501–1507. [Google Scholar]
- Luo, P.; Li, Y.M.; Jiang, Y.S.; Li, Y. esearch on Micro-morphology Characteristics of Hydraulic Fractures for Conglomerate Reservoir. Pet. Geol. Recovery Effic. 2013, 20, 103–106. [Google Scholar]
- Ju, Y.; Yang, Y.M.; Chen, J.L.; Liu, P.; Dai, T.; Guo, Y.; Zheng, L.G. 3D Reconstruction of Low-permeability Heterogeneous Glutenites and Numerical Simulation of Hydraulic Fracturing behavior. Chin. Sci. Bull. 2016, 61, 82–93. [Google Scholar]
- Wang, T.; Cheng, L.M.; Xiang, Y.K.; Cheng, N.; Wang, B.; Zhou, H. Numerical Simulation of Fracture Propagation Pattern in the Presence of Gravel. Xinjiang Oil Gas 2023, 19, 42–48. [Google Scholar]
- Rui, Z.H.; Guo, T.K.; Feng, Q.; Qu, Z.; Qi, N.; Gong, F. Influence of Gravel on the Propagation Pattern of Hydraulic Fracture in the Glutenite Reservoir. J. Pet. Sci. Eng. 2018, 165, 627–639. [Google Scholar] [CrossRef]
- Sharafisafa, M.; Sato, A.; Sainoki, A.; Shen, L.; Aliabadian, Z. Combined finite-discrete element modelling of hydraulic fracturing in deep geologically complex reservoirs. Int. J. Rock Mech. Min. Sci. 2023, 167, 105406. [Google Scholar] [CrossRef]
- Xiong, D.; Ma, X.F. Influence of natural fractures on hydraulic fracture propagation behaviour. Eng. Fract. Mech. 2022, 276, 108932. [Google Scholar] [CrossRef]
- Biot, M. General Theory of Three-dimensional Consolidation. J. Appl. Phys. 1941, 12, 155–164. [Google Scholar] [CrossRef]
- Zienkiewicz, O.; Taylor, R. The Finite Element Method, 5th ed.; Elsevier Pte Ltd.: London, UK, 2005. [Google Scholar]
- Gong, D.; Qu, Z.; Li, J.; Qu, G.Z.; Cao, Y.C.; Guo, T.K. Extended Finite Element Simulation of Hydraulic Fracture based on ABAQUS Platform. Rock Soil Mech. 2016, 37, 302–310. [Google Scholar]
- Haddad, M.; Sepehrnoori, K. Simulation of Hydraulic Fracturing in Quasi-brittle Shale Formations using Characterized Cohesive Layer: Simulation Controlling Factors. J. Unconv. Oil Gas Resour. 2015, 9, 65–83. [Google Scholar] [CrossRef]
- Abaqus, S. Abaqus Analysis User’s Manual; Dassault Systémes Simulia Corp.: Providence, RI, USA, 2014. [Google Scholar]
- Sun, X.; Yu, L.; Rentschler, M.; Wu, H.; Long, R. Delamination of a Rigid Punch from an Elastic Substrate under Normal and Shear Forces. J. Mech. Phys. Solids 2019, 122, 141–160. [Google Scholar] [CrossRef]
- Camanho, P.; Davila, C. Mixed-Mode Decohesion Finite Elements for the Simulation of Delamination in Composite Materials; Technical Report NASA/TM-2002-211737; NASA: Washington, DC, USA, 2002; pp. 1–42.
- Benzeggagh, M.; Kenane, M. Measurement of Mixed-mode Delamination Fracture Toughness of Unidirectional Glass/Epoxy Composites with Mixed-mode Bending Apparatus. Compos. Sci. Technol. 1996, 56, 439–449. [Google Scholar] [CrossRef]
- Boone, T.; Ingraffea, A. A numerical Procedure for Simulation of Hydraulically Driven Fracture Propagation in Poroelastic Media. Int. J. Rock Mech. Min. Sci. Geomech. Abstr. 1990, 27, 27–47. [Google Scholar] [CrossRef]
- Chen, Z. Finite Element Modeling of Viscosity-dominated Hydraulic Fractures. J. Pet. Sci. Eng. 2012, 9, 136–144. [Google Scholar] [CrossRef]
- Khoei, A.R.; Mortazavi, S.M.S.; Simoni, L.; Schrefler, B. Irregular and Stepwise Behaviour of Hydraulic Fracturing: Insights from Linear Cohesive Crack Modelling with Maximum Stress Criterion. Comput. Geotech. 2023, 161, 105570. [Google Scholar] [CrossRef]
- Detournay, E. Mechanics of Hydraulic Fractures. Annu. Rev. Fluid Mech. 2016, 48, 311–339. [Google Scholar] [CrossRef]
- Hu, J.; Garagashd, I. Plane-strain Propagation of a Fluid-driven Crack in a Permeable Rock with Fracture Toughness. J. Eng. Mech. 2010, 136, 1152–1166. [Google Scholar] [CrossRef]
Disclaimer/Publisher’s Note: The statements, opinions and data contained in all publications are solely those of the individual author(s) and contributor(s) and not of MDPI and/or the editor(s). MDPI and/or the editor(s) disclaim responsibility for any injury to people or property resulting from any ideas, methods, instructions or products referred to in the content. |
© 2023 by the authors. Licensee MDPI, Basel, Switzerland. This article is an open access article distributed under the terms and conditions of the Creative Commons Attribution (CC BY) license (https://creativecommons.org/licenses/by/4.0/).















