Abstract
To explore the flotation feasibility and flotation law of iron minerals from amphibole-type iron oxide ore with full-size minerals, a systematic study on the flotation behaviors of single minerals hematite, quartz, and amphibole was carried out with the anionic reverse flotation system. The effects of collectors, depressants, activators, and pH on the floatabilities of three single minerals was investigated. The flotation separations of binary mixed minerals and ternary mixed ores were carried out, respectively. The study results show that CaCl2 is adsorbed on the surfaces of quartz and amphibole, which can activate them. The hydroxyl groups of the starch molecular chain were adsorbed on the surfaces of the hematite and amphibole in the form of hydrogen bonds, but were hardly adsorbed on surface of the quartz. Therefore, both hematite and amphibole were depressed, resulting in a poor separation effect of the three single minerals in the anionic flotation system.
1. Introduction
Iron ore is an extremely important mineral and the fundamental raw material for the steel industry, and plays a prominent role in the development of the national economy [1]. China has a diverse range of iron ore types, with complex ore-forming conditions. Many iron ores are low-grade and contain associated components lead to complex beneficiation and smelt conditions. With the development of the economy and the worsening of environmental pollution, the efficient extraction and utilization of iron ore face enormous challenges. At the same time, improving the efficiency of iron ore beneficiation has attracted increasing attention from domestic and foreign scholars.
Researchers have conducted extensive studies on the beneficiation of iron ore. Ge Yingyong et al. [2] conducted cationic flotation experiments on Dong Anshan iron ore using the collector RN-665, obtaining an iron concentrate grade of 64.02% and a recovery rate of 76.23%. Ren et al. [3] investigated the influence of CS series collectors and dodecyl amine on iron ore flotation and found that the combined collectors exhibited a comparable collecting capability to dodecyl amine and showed better selectivity. Xu [4] used coconut amine for differentiating brown iron ore in the mine pit, and under the optimal test conditions, an iron concentrate with a grade of 57.05% and a recovery rate greater than 60% could be obtained. Wang Chunmei et al. [5] conducted cationic reverse flotation experiments on hematite using GE-609 as the collector and starch as the depressant, achieving an iron concentrate grade of 67.12% and a recovery rate of 83.55%. Zhang Zhaoyuan et al. [6] conducted anionic reverse flotation experiments on hematite using a novel anionic collector LYK, obtaining an iron concentrate grade of 65.72%, a tailing grade of 14.54%, and a recovery rate of 88.39%. Liu Jing et al. [7] found that a mixed collector of sodium oleate (NaOL) and cetyltrimethylammonium bromide (CTAB) exhibited better selectivity in the flotation of magnetite and the amphiboles, at pH 5.5 and a molar ratio of 2:1 for CTAB to NaOL; the presence of NaOL in the mixed collector partially inhibited the adsorption of the CTAB on the surface of the magnetite but did not affect its adsorption on the surfaces of the amphibole minerals. Wang Ye et al. [8] studied the adsorptions of different types of starch on the surface of iron oxide ore, noting that the different contents of straight-chain starch and branched-chain starch may result in different adsorption effects. S. Pavlovic et al. [9] studied the inhibitory effects of corn starch, its polysaccharide components (straight-chain starch and branched-chain starch), monomeric glucose, and dimeric polymer maltose on hematite. Bhagyalaxmi Kar et al. [10] conducted reverse flotation inhibition experiments on hematite using four different types of starch, soluble starch, corn starch, potato starch, and rice starch, with dodecyl amine as the collector. The maximum adsorptions of the four starches on the surface of the hematite occurred at pH values between 5 and 9. However, there is currently no suitable beneficiation method to treat fine-grained amphibole-type iron oxide ore; therefore, it cannot be effectively utilized and is stored as “waste rock”.
In order to rationalize the utilization of fine-grained amphibole-type oxide ore and improve its recovery efficiency, we propose a method of reverse flotation of single minerals in the anionic system for amphibole-type iron ore. Through the study of the flotation effects of hematite, quartz, and amphibole in NaOL and the investigation of the effects of solution pH, collector dosage, and metal ion content on the floatabilities of the minerals, the anionic reverse flotation characteristics of amphibole-type iron oxide ore were determined. Meanwhile, the trend of mineral surface potential is an important indicator to determine whether minerals can be separated or not; thus, this paper also analyzes changes in mineral surface electric potential, providing a theoretical basis for the practical flotation of this ore.
2. Methods of Preparation and Study of the Test Sample
2.1. Collection and Preparation of Single Minerals
For the preparation of the single hematite mineral, a rich ore block of hematite came from the Lilou iron mine in Huoqiu, Anhui Province. After crushing and grinding, the hematite was separated by shaking the table separation many times. A small amount of magnetite in it was removed with repeated weak magnetic separation, and a small amount of nonmagnetic minerals in it was removed with strong magnetic separation. The hematite was ground to −0.074 mm with a ceramic ball mill, and qualified single hematite minerals of the sizes of 0.074–0.025 mm [11] were obtained through sieving. The 0.075 mm grade is suspected to be large and coarse, with a low monomer dissociation, difficulty in carrying gas, difficulty in flotation, and a poor sorting effect. If the particle size is less than 0.025 mm, this is due to the particle fineness, the large specific surface area of the ore, the low kinetic energy of particle movement, the low efficiencies of collision and binding with the reagent, increased reagent consumption, and serious phenomena of mud and flotation entrainment, making flotation relatively difficult. Through increasing of the intermediate particle size during the grinding process, the generation of coarse and fine particle sizes is reduced, which can effectively improve the sorting effect [12]. The particles were cleaned with distilled water many times and dried at low temperatures.
For the preparation of single amphibole minerals, the amphibole schist came from the Yuanjiacun iron ore mine. Its preparation method was the same as that of the single hematite minerals.
For the preparation of single quartz minerals, the minerals were selected from rich quartz ore in Donghai, Jiangsu Province. They were crushed with Jaw Crusher and ground with a porcelain ball mill. The ground quartz was cleaned many times by shaking the table and strong magnetic separation, then was ground to −0.074 mm. The qualified particles in the size of 0.074−0.025 mm were obtained by sieving and soaked in dilute hydrochloric acid 3 times. Each time period was 24 h. Then, the samples were cleaned to neutrality with distilled water 3 times, for 24 h each time; finally, the samples were dried at low temperatures.
2.2. Research Methods
The single minerals flotation tests were carried out in an XFG flotation machine, each time using a 2.5 g sample. Before flotation, the single minerals were washed with 20 mL of distilled water by an ultrasonic cleaner for 5 min. Then, it stood still and was transferred into a flotation tank, 25 mL distilled water was added too. Through HCl and NaOH solution for slurry solution pH value was adjusted to 7.0 for 2 min. Then, regulators, collectors, and foaming agents were added and stirred for 2 min. Its flotation time was 3 min. The foam and the tailing in the flotation tank were dried and weighed, respectively. Recovery of the foam was calculated. The flotation machine was in operation and the speed of the flotation machine was 1500 r/min. In froth flotation, the injection of air and its dispersion into bubbles in the slurry are essential considerations in affecting hydrodynamic conditions. [13] The aeration rate was 3 L/min.
3. Study on Flotation Performance of Single Minerals
3.1. Effects of Different Conditions on Floatabilities of Single Minerals in the Sodium Oleate System
3.1.1. Effect of Sodium Oleate Dosage on the Floatabilities of Hematite, Amphibole and Quartz
The floatabilities of three single pure minerals of hematite, quartz, and amphibole in the presence of sodium oleate were studied by adjusting the pH to 7.0 in distilled water with HCl and NaOH solution. Test results are shown in Figure 1.
Figure 1.
Effects of sodium oleate dosage on the recovery of single pure minerals of hematite, amphibole, and quartz (pH = 7.0).
According to Figure 1, the recovery of single pure minerals of hematite and amphibole rises with the increase in sodium oleate dosage. However, the recovery of hematite is higher than that of amphibole. When the sodium oleate dosage is 250 mg/L, the recovery of hematite is 83.36%, and the recovery of amphibole is 36.12%. Moreover, the recovery of quartz is small with the increase in sodium oleate dosage, which indicates that the pure quartz is not floated basically. When the sodium oleate dosage is 350 mg/L, the recovery of hematite is 95.38%, and the recovery of amphibole is 50.12%. But, the recovery of quartz is only 1.83%. Therefore, when the sodium oleate dosage is 350 mg/L, the difference between the recovery of hematite and that of amphibole is 45.26%, and the difference between the recovery of hematite and that of quartz is 93.55%.
3.1.2. Effect of pH on the Floatabilities of Hematite, Amphibole and Quartz in Sodium Oleate System
The existence of sodium oleate in solution is influenced by pH greatly, which is related to molecule, molecule-ion, and its association. The effect of pH on the floatabilities of hematite, amphibole, and quartz were presented in this section, and the pH of the pulp was adjusted by HCl and NaOH solution in distilled water under fixed sodium oleate of 250 mg/L. The research results are shown in Figure 2.
Figure 2.
Effect of pH on the floatabilities of single pure minerals of the hematite, amphibole and quartz (sodium oleate dosage = 250 mg/L).
It can be seen from Figure 2 that the recovery of hematite increases with going up of pH. When the pH increases to 7, the recovery of hematite reaches 83.36%. However, the recovery of hematite rises slowly at pH > 7. The flotation law of amphibole is similar to hematite, but their recovery is different. The maximum difference in their recovery occurs at pH 6~7, but the difference decreases with the increase in pH further. At almost any pH, the floatability of quartz was poor, which indicates that the quartz is difficult to float with sodium oleate.
3.1.3. Influence of pH on the Floatabilities of Hematite, Amphibole and Quartz under the Presence of Ca2+ in the Sodium Oleate System
The existence of multivalent cations in pulp has a great influence on the separation between silicate minerals and hematite when this separation uses anions. Because the existence of multivalent cations seriously weakens the differences in floatability between silicate minerals and the hematite. Metal cations can activate silicate minerals, reducing flotation’s selectivity. The hydrophilicity of mineral surfaces reflects their floatabilities and the floatabilities of mineral surfaces are related to their wetting properties. Floatabilities improve as wetting decreases and the floatabilities of minerals improve as the contact angle increases. Therefore, when pH was at 11, sodium hydroxide solution and calcium oxide solution were uniformly applied to the hematite, amphibole, and quartz, respectively. After drying, the contact angles were measured using a contact angle measurement device. After the measurements, the sample surfaces were rinsed to remove adsorbed reagents and then re-immersed in sodium hydroxide solution and calcium oxide solution. At the same time, a collector was applied, and the samples were dried for subsequent measurements. The contact angles of the three minerals without the adsorbed collectors and with different concentrations of adsorbed collectors were measured. The concentrations of sodium oleate were 50 mg/L and 100 mg/L, and the measurement results are shown in Table 1.
Table 1.
Contact angle measurements on the surfaces of the three minerals at pH 11.
After activation with calcium oxide, the contact angles of hematite, amphibole, and quartz without adsorbed collectors were 36.50°, 28.21°, and 16.24°, respectively. When adsorbed a collector with a sodium oleate concentration of 50 mg/L, the contact angles of the three minerals increased to 64.22°, 52.23°, and 90.26°, respectively. When the concentration of sodium oleate continued to increase to 100 mg/L, the contact angles of the three minerals increased to 90.64°, 82.31°, and 102.05°, respectively. The measurement results indicate that the adsorbed sodium oleate complexes on the mineral surfaces impart hydrophobicity. As the concentration of sodium oleate increases, the contact angles of the pure minerals gradually increase.
To research the effect of the presence of Ca2+ in pulp of different pH on the floatabilities of hematite, amphibole, and quartz, the floatabilities of hematite, amphibole, and quartz under the presence of Ca2+ in pulp were investigated under the condition of 150 mg/L CaCl2 and distilled water, by adjusting the pH of pulp with HCl and NaOH solution. The research results are shown in Figure 3.
Figure 3.
Effect of the pH on the flowabilities of hemitate, amphibole, and quartz under the existence of Ca2+ (CaCl2 = 150 mg/L).
It can be seen from Figure 3 that the floatability of hematite in the Ca2+ system are the same as those in distilled water, which indicates that the existence of Ca2+ has little influence on the floatability of hematite. However, the floatabilities of amphibole and quartz are greatly affected by Ca2+. When the pH increases at 2~4, the floatabilities of amphibole and quartz are not much different from that in distilled water. However, the pH increases to 6 or higher, and the recovery of amphibole and quartz increases very rapidly. It shows that the amphibole and quartz are easily activated by Ca2+ in alkaline pulp, and their activation efficiencies increase with the rise in pH. It can be concluded that the selectivity in acid flotation is the higher than that in alkaline flotation under the process of hematite using anion-positive flotation, due to the existence of high valence metal cations in pulp is inevitable under industrial production.
3.1.4. Effect of Starch on the Floatabilities of Hematite, Amphibole and Quartz in the Sodium Oleate System
Starch is a high polymer linked by α-glucose molecules through a 1,4-position glycoside bond or 1,6-position glycoside bond. Depending on its source and composition, it has a large molecular weight from the thousand to the million, starch is widely used in industry and mineral processing industry as the main depressant, flocculant, and dispersant for some minerals. In the anion reverse flotation system of iron ore, the function of starch mainly depresses the floatation of iron ore. It is generally held that the adsorption mechanism of starch and the mineral surface is “hydrogen bond adsorption”, “electrostatic adsorption”, and “chemical adsorption”. Starch has a huge macromolecule with a formula of (C6H10O5)n, with many hydrophilic-O-groups and OH-groups. It selectively adsorps iron minerals through the hydrogen bond force and Van Der Waals force, and the bridge action is formed to restrain the floatation of iron minerals [14]. Another standpoint thinks that starch adsorbs on the surfaces of hematite and forms an iron complex with iron ions on the surfaces of hematite, which makes the hematite hydrophilic and realizes the inhibition of hematite [15]. In recent years, corn starch has been widely used as a depressant for iron minerals in iron ore flotation in our country, which shows features of strong adaptability and high selectivity. Corn starch was selected as a depressant for ion minerals in this paper.
Sodium oleate dosage is 250 mg/L, pH at 10.5, and CaCl2 is 150 mg/L were used to study the effect of corn starch on the floatabilities of hematite, amphibole, and quartz in distilled water. The study result is shown in Figure 4.
Figure 4.
Effect of starch on the flowability of hematite, quartz and amphibole (sodium oleate dosage = 250 mg/L, pH = 10.5 and CaCl2 = 150 mg/L).
It can be seen from Figure 4 that the recovery of hematite decreases gradually with the increase in corn starch amounts. When the corn starch dosage increases to 20 mg/L, the recovery of hematite decreases to 3.65%, which indicates that the hematite is completely depressed with the increase in the amount of corn starch [16]. However, the recovery of quartz did not clearly change, also keeping recovery levels high. It indicates that the corn starch could not inhibit the quartz which was activated by Ca2+. The recovery of amphibole goes down with the increase in corn starch dosage, which shows that the inhibition of amphibole increases [17]. When the dosage of corn starch is 20 mg/L, the recovery of amphibole is 20.54%, which indicates that the corn starch can inhibit the amphibole, even having Ca2+ in the pulp. Amphibole belongs to an iron-bearing silicate mineral. Thus, there are some structural iron ions on the surfaces of the mineral. The presence of iron ions can form an iron complex with corn starch, forging a hydrophilic surface to depress the amphibole. Figure 4 indicates that the amphibole and the hematite have similar properties, but the inhibition of corn starch on the amphibole is weaker. When the dosage of corn starch is 20 mg/L, the recovery of hematite is 3.65%, while the recovery of amphibole is 20.54%. The difference between them is only 16.89%. It indicates that separating the hematite and the amphibole in an anion reverse flotation system is difficult.
3.1.5. Effect of CaCl2 Dosage on the Floatabilities of Hematite, Quartz and Amphibole in the Sodium Oleate System
Pure quartz cannot be floated by sodium oleate. In the system of anion reverse flotation of iron ore, a substance that contains the Ca2+ and Mg2+ ions is added [18]. Silica minerals such as quartz can adsorb Ca2+ and Mg2+, and they will be floated. Because the Ca2+ and Mg2+ ions reveal adsorption activity to fatty acid collectors. The purpose of this section is to investigate the effect of CaCl2 dosage on the floatabilities of hematite, amphibole, and quartz in the sodium oleate system [19]. Sodium oleate remains at 250 mg/L, corn starch is 20 mg/L and pH at 10.5. The effect of CaCl2 on the floatabilities of hematite, quartz, and amphibole are studied in distilled water under different dosages of CaCl2. The research result is shown in Figure 5.
Figure 5.
Effect of CaCl2 on the floatabilities of hematite, quartz, and amphibole (sodium oleate = 250 mg/L, pH = 10.5 and starch = 20 mg/L).
It can be seen from Figure 5, the recovery of hematite changes little with an increase in the CaCl2 dosage, which indicates that the Ca2+ ion has little effect on the floatability of hematite. However, the recovery of quartz increases rapidly with an increase in the CaCl2 dosage, which shows that the Ca2+ ion is gradually adsorbed on the surfaces of quartz and activates it. When the CaCl2 dosage is more than 150 mg/L, the recovery of quartz increases no longer, indicating that the quartz is fully activated at this Ca2+ concentration. The recovery of amphibole increases slightly with an increase in the CaCl2 dosage, which indicates that Ca2+ ions can activate amphibole to some degree. The presence of Ca2+ ions enhances the harvesting capacity of amphibole by sodium oleate. The recovery of hematite, quartz, and amphibole is 3.65%, 95.30%, and 20.54%, respectively, under the CaCl2 dosage for 150 mg/L. The distinction of floatabilities for these three minerals is quartz > amphibole > hematite [20], and the difference in recovery is 91.65% between the hematite and quartz, but the difference in recovery is 16.89% between the hematite and amphibole. It reveals that the separation of quartz and hematite is easier than separating the amphibole in an anion reverse flotation system [21].
3.2. Study on Flotation Separation of Artificially Mixed Minerals
3.2.1. Study on Flotation Separation of Binary Mixture with Hematite-Quartz
Binary minerals of hematite and quartz are mixed in a ratio of 1:1, and the same flotation process is adopted as single minerals. The effect of sodium oleate dosage on the flotation index was investigated under an anion reverse flotation system with pH at 10.5, corn starch is 20 mg/L, and CaCl2 is 150 mg/L. Test results are shown in Figure 6.
Figure 6.
Effect of sodium oleate on the separation index of binary mixed minerals (hematite and quartz, pH = 10.5, starch = 20 mg/L, and CaCl2 = 150 mg/L).
It can be seen from Figure 6. that when the sodium oleate dosage is 250 mg/L, the grade of iron concentrate is 65.12% with a recovery of 84.26%. When the sodium oleate dosage is 300 mg/L, the grade of iron concentrate is 66.09% with a recovery of 82.34%.
3.2.2. Study on Flotation Separation of Ternary Mixture with Hematite–Quartz–Amphibole
Ternary minerals of hematite, amphibole, and quartz were mixed in a ratio of 5:2:3, and the same flotation process was adopted as single minerals. The influence of sodium oleate dosage on the flotation index was studied under an anion reverse flotation system with pH levels of 10.5, starch dosage of 20 mg/L, and CaCl2 dosage of 150 mg/L. The study result is shown in Figure 7.
Figure 7.
Effect of sodium oleate on the separation index of ternary mixed minerals (hematite, amphibole and quartz, pH = 10.5, starch = 20 mg/L, and CaCl2 = 150 mg/L).
It can be seen from Figure 7, that when the sodium oleate dosage is 250 mg/L, the grade of iron concentrate is 58.24% with a recovery of 88.04%. When the sodium oleate dosage is 300 mg/L, the grade of iron concentrate reaches 59.32% with a recovery of 87.52%. Therefore, in hematite–amphibole–quartz ternary mixed minerals, the amphibole is depressed by starch, which makes it difficult to be captured by the anionic collector in an anionic reverse flotation system, resulting in a low grade of iron concentrate [22]. The study result of flotation separation in the artificial mixture is in good agreement with that in the single minerals flotation test.
3.3. The Effect of Anionic Collectors on the Surface Potential of Minerals
The surface electrical properties of minerals are directly related to their floatabilities. Zeta potential is an important parameter to indicate the electric charge and or minus on the surfaces of minerals, and it is usually used as an important indicator to judge whether minerals can be separated or not [23]. When two phases of minerals solution move relative to each other under the action of external force, the equilibrium ions in the double layer will move together with the minerals because of solid adsorption. While the diffusion layer will move along with the “slip surface” outside the compact layer, where the potential is called “electromotive force” or “Zeta potential”. When the Zeta potential is zero, the negative logarithm of the activity of locating ions in the solution is called the isoelectric point. The isoelectric point is equal to the zero electric point. Therefore, we can measure the zero electric point of minerals using determining the Zeta potential [24]. The adsorption of flotation reagents on the solid–liquid interface is usually affected by the surface electrical properties of minerals. Thus, the mechanism of flotation reagents and the floatabilities of minerals can be studied according to the change in their surface’s electrical properties.
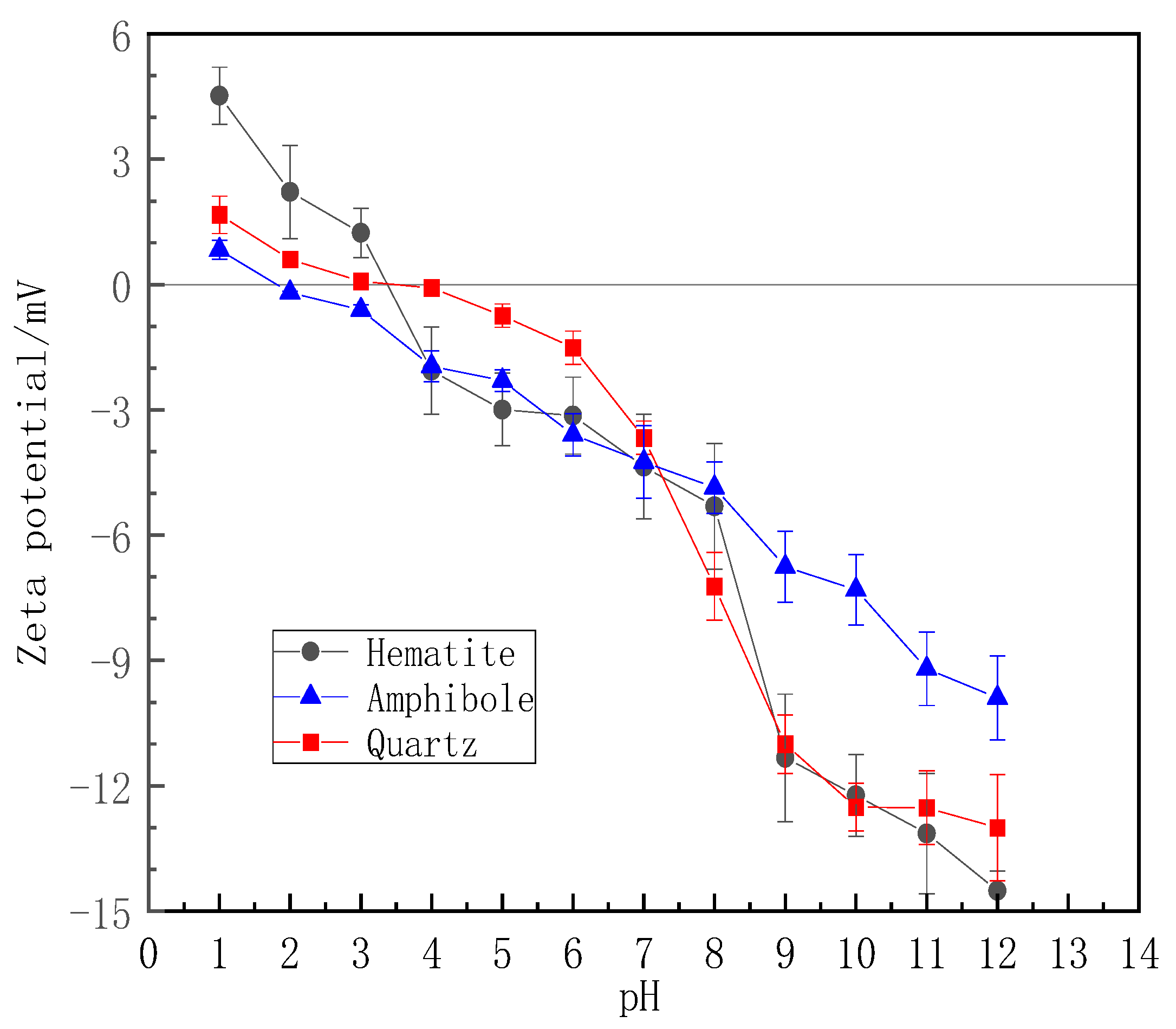
It can be seen from Figure 8 that the law curves of the Zeta potential of hematite, amphibole, and quartz by changing the pH in distilled water (adjusting the pH by the hydrochloric acid and the sodium hydroxide, the same as below).
Figure 8.
Law curves of Zeta potential of three minerals with pH change in distilled water.
It can be seen from Figure 8 that the zero-electric point of hematite, amphibole, and quartz is 3.8, 3.2, and 2.1, respectively. The surface negativity of these three minerals increases with rises with increasing pH, and the absolute value of Zeta potential rises. This test result is consistent with the related kinds of literature.
Figure 9 shows the law curves of the Zeta potential of three minerals in sodium oleate solution is 250 mg/L concerning pH.
Figure 9.
Law curves of Zeta potential of three minerals with pH change in sodium oleate solution. (sodium oleate = 250 mg/L).
It can be seen from Figure 9 that the isoelectric point of hematite is 2.0 in sodium oleate solution, but it turns left at 1.8 compared with that in distilled water. The absolute value of the Zeta potential increases with the pH rise, and the increasing range in sodium oleate solution is greater than that in distilled water, especially at pH > 4. The result agrees with those in the single minerals flotation test [25]. It indicates that sodium oleate is adsorbed on the hematite surfaces. The isoelectric point of amphibole in sodium oleate solution changes a little compared with that in distilled water. However, when pH increases, the absolute value of potential increases too, and its change rule is close to that of hematite, which shows that sodium oleate is also adsorbed on the surfaces of amphibole. The isoelectric point of quartz in sodium oleate solution changes little compared with that of instilled water, and the absolute value of the potential changes little too [26]. It indicates that sodium oleate is not adsorbed on the surface of the quartz.
Figure 10 shows law curves of the Zeta potential of three minerals in CaCl2 is 150 mg/L with the pH changes. Under the action of Ca2+ ion, the Zeta potential of three minerals changes relatively small at pH < 7. The absolute value of the Zeta potential of hematite still increases at pH > 7, but that of quartz and amphibole decreases obviously, especially the quartz [27]. It indicates the adsorption of Ca2+ on the surfaces of these two minerals. The results above are consistent with that of single minerals flotation.
Figure 10.
Law curves of Zeta potential of three minerals with pH change in CaCl 2 solution (CaCl2 = 150 mg/L).
To investigate the inhibitory mechanism of starch on three minerals, the hematite, amphibole, and quartz, measurements were conducted under different pH conditions with a corn starch concentration of 20 mg/L. The experimental results, shown in the figure, illustrate the effect of starch on the Zeta potentials of hematite, amphibole, and quartz.
It can be seen from Figure 11 that the isoelectric point of quartz is around pH at 2.0. When the pH value of the solution is lower than 2.0, the quartz surfaces become positively charged. As the pH value increases, the absolute value of the quartz Zeta potential decreases. This indicates that starch has a weak inhibitory effect on the quartz, as the main interaction between starch and the quartz is through electrostatic and hydrogen bonding. There are multiple forces at play between starch the hematite and amphibole, including chemical adsorption, hydrogen bonding, and electrostatic interactions. When the pH value exceeds 9, starch primarily undergoes chelation reactions with iron in the hematite and amphibole through the hydroxyl groups in starch, adsorbing onto the surfaces of hematite and amphibole in the form of chemical adsorption. After starch adsorption, not only does it make the surfaces of hematite and amphibole hydrophilic, but it also prevents the adsorption of collectors on the surfaces of hematite and amphibole, thereby exerting an inhibitory effect. The Zeta potential curves of hematite, amphibole, and quartz in the starch solution match the results of single minerals flotation experiments.
Figure 11.
The variation of the Zeta potentials of three minerals with pH was studied at a corn starch concentration of 25 mg/L.
4. Conclusions
(1) Monomineralic the hematite, amphibole, and quartz in the sodium oleate system are influenced to varying degrees by factors such as the dosage of sodium oleate, solution of pH, the presence of Ca2+ ions, and the addition of starch, indicating that these factors have different impacts on the floatabilities of different minerals. Starch selectively suppresses the hematite and, to some extent, suppresses the amphibole. This reduces the differential floatabilities between the two minerals, making it difficult to separate the amphibole from the hematite, while the separation of the quartz from the hematite is relatively easier.
(2) The flotation separation of the hematite-quartz binary mixture and the hematite–amphibole–quartz ternary mixture in the sodium oleate system shows that the selective indexes of the binary mixture are better than those of the ternary mixture. The main reason for this is that starch suppresses the flotation of amphibole, making it difficult to be captured by the anionic collector, resulting in a lower iron concentrate grade.
(3) Potentiodynamic analysis results show that CaCl2 can be adsorbed on the surfaces of quartz and amphibole, thereby activating these minerals. The hydroxyl groups in starch molecules can adsorb on the surfaces of hematite and amphibole through hydrogen bonds, but the adsorption on the quartz are minimals. Therefore, starch suppresses the floatabilities of hematite and amphibole, leading to poor selectivity among these three minerals in anionic flotation systems.
Author Contributions
Conceptualization, M.H.; methodology, M.H. and J.D.; validation, G.P.; formal analysis, Y.H.; investigation, Y.H. and M.L.; resources, Y.Z.; data curation, Y.H. and J.D.; writing—original draft preparation, M.H.; writing—review and editing, S.L.; visualization, M.L.; project administration, J.D.; funding acquisition, M.H. All authors have read and agreed to the published version of the manuscript.
Funding
National Natural Science Foundation of China (f No. 51674001), State Key Laboratory of Complex Nonferrous Metal Resources Clean Utilization (No. CNMRCUKF2107), and Jining Key R&D Plan (2021KJHZ003).
Data Availability Statement
The data presented in this study are available on request from the corresponding author. The data are not publicly available.
Conflicts of Interest
The authors declare no conflict of interest.
References
- Xu, Z.X.; Chen, H.C. Study on measures to alleviate the bottleneck constraints of mineral resources in China. Geol. Explor. 2009, 1, 82–88. [Google Scholar]
- Ge, Y. Study on improving the grade of Dong’anshan flotation iron concentrate. Nonferrous Met. (Miner. Process. Sect.) 2002, 3, 45–47. [Google Scholar]
- Ren, J.W.; Wang, Y.H. Experimental study on reverse flotation desilication of iron ore. Miner. Prot. Util. 2004, 1, 31–34. [Google Scholar]
- Xu, B.H. Study on the Use of Coconut Amine Cationic Collector for Reverse Flotation of Iron Pit Limonite; China Metallurgical Mining Enterprises Association: Beijing, China, 2008. [Google Scholar]
- Cai, Z. Research on the Application of Cationic Collectors for Reducing Silica in Iron Ore Reverse Flotation. Ph.D. Thesis, Jiangxi University of Science and Technology, Nanchang, China, 20 December 2009. [Google Scholar]
- Zhang, Z.; Liu, G. Laboratory and industrial test study of anionic collector LKY. China Min. 2003, 12, 4. [Google Scholar]
- Liu, J.; Yang, Z.; Teng, Q.; Shang, X. Study on the flotation separation of magnetite and amphibole using mixed collector CTAB and sodium oleate. Nonferrous Met. (Miner. Process. Sect.) 2020, 3, 119–125. [Google Scholar]
- Wang, Y.; Tang, M. Research progress on the application and mechanism of starch in iron oxide minerals. Compr. Util. Miner. Resour. 2015, 5, 17–22. [Google Scholar]
- Pavlovic, S.; Brandao, P.R.G. Adsorption of starch, amylose amylopectin and glucose monomer and their effect on the flotation of hematite and quartz. Miner. Eng. 2003, 11, 1117–1122. [Google Scholar] [CrossRef]
- Kar, B.; Sahoo, H.; Rath, S.S.; Das, B. Investigations on different starches as depressants for iron ore flotation. Miner. Eng. 2013, 49, 1–6. [Google Scholar] [CrossRef]
- Gomez-Flores, A.; Heyes, G.W.; Ilyas, S.; Kim, H. Effects of artificial impeller blade wear on the bubble–particle interactions using CFD (k–ε and LES), PIV, and 3D printing. Miner. Eng. 2022, 186, 107766. [Google Scholar] [CrossRef]
- Cai, Z.; Yang, W.; He, H.; Zhang, H.; Wang, C. A study on the washability of a Yunnan phosphate ore based on narrow particle flotation. Yunnan Chem. Ind. 2023, 50, 36–40. [Google Scholar]
- Wang, D.; Liu, Q. Hydrodynamics of froth flotation and its effects on fine and ultrafine mineral particle flotation: A literature review. Miner. Eng. 2021, 173, 107220. [Google Scholar] [CrossRef]
- Haom, H.; Li, L.; Yuan, Z.; Liu, J. Molecular arrangement of starch, Ca2+, and oleate ions in the siderite-hematite-quartz flotation system. J. Mol. Liq. 2018, 254, 349–356. [Google Scholar]
- Mao, Y.; Huang, L.; Zhao, F. Achievements and Development Prospect of Mineral Processing Technology of China’s Iron Mines. Met. Mine 2005, 2, 1–7. [Google Scholar]
- Li, M.; Yang, R.; Gao, X.; Hu, Y. The effect of selective adsorption of dissolved aegirine species on the separation of speculative and aegirite. Adv. Powder Technol. 2020, 31, 4197–4206. [Google Scholar] [CrossRef]
- Zhang, X.; Huangfu, M.; Deng, J.; Wang, Y.; Wu, B.; Hu, M.; Zhao, H.; Wu, S. Surface characteristics and flotation behaviors of specularite as influenced by lead ion modification. Sep. Purif. Technol. 2021, 276, 119384. [Google Scholar] [CrossRef]
- Hu, Y.; Han, Y. Study on the Separation of Oxidized Ore from Yuanjiacun Iron Mine. Met. Mine 2012, 10, 65–69. [Google Scholar]
- Alvarez-Silva, M.; Uribe-Salas, A.; Mirnezami, M.; Finch, J.A. The point of zero charge of phyllosilicate minerals using the Mular–Roberts titration technique. Miner. Eng. 2010, 23, 383–389. [Google Scholar] [CrossRef]
- Mei, G.; Yu, J.; Cai, H.; Yu, Y. Application Research of Separating Hematite from Iron-containing Silicates by Flotation. Met. Mine 2002, 2, 28–31. [Google Scholar]
- Dan, W.; Siqing, L.; Hailin, L.; Libing, Z.; Yang, Z. Study on Selective Separation of Hematite, Quartz and Chlorite by Flocculation. Multipurp. Util. Miner. Resour. 2015, 5, 46–49. [Google Scholar]
- Sun, C.; Yin, W. Research on the relation between flowability of silicate minerals with their crystal structure and surface characteristics. Min. Metall. 1998, 7, 22–28. [Google Scholar]
- Ataman, E.; Andersson, M.P.; Ceccato, M.; Bovet, N.; Stipp, S.L.S. Functional group adsorption on calcite: I. Oxygen-containing and nonpolar organic molecules. J. Phys. Chem. C 2016, 120, 16586–16596. [Google Scholar] [CrossRef]
- Wu, D.; Mao, Y.; Deng, J.; Wen, S. Activation mechanism of ammonium ions on sulfidation of malachite (–201) surface by DFT study. Appl. Surf. Sci. 2017, 410, 126–133. [Google Scholar] [CrossRef]
- Naher, M.I.; Parvin, F.; Islam, A.K.M.A.; Naqib, S.H. Structural, elastic, electronic, and bonding properties of intermetallic Nb3Pt and Nb3Os compounds: A DFT study. arXiv 2017, arXiv:1706.03314. [Google Scholar]
- Sarvaramini, A.; Larachi, F.; Hart, B. Collector attachment to lead-activated sphalerite–Experiments and DFT study on pH and solvent effects. Appl. Surf. Sci. 2016, 367, 459–472. [Google Scholar] [CrossRef]
- Chandra, A.P.; Gerson, A.R. A review of the fundamental studies of the copper activation mechanisms for selective flotation of the sulfide minerals, sphalerite, and pyrite. Adv. Colloid Interface Sci. 2009, 145, 97–110. [Google Scholar] [CrossRef]
Disclaimer/Publisher’s Note: The statements, opinions and data contained in all publications are solely those of the individual author(s) and contributor(s) and not of MDPI and/or the editor(s). MDPI and/or the editor(s) disclaim responsibility for any injury to people or property resulting from any ideas, methods, instructions or products referred to in the content. |
© 2023 by the authors. Licensee MDPI, Basel, Switzerland. This article is an open access article distributed under the terms and conditions of the Creative Commons Attribution (CC BY) license (https://creativecommons.org/licenses/by/4.0/).










