Numerical Study on the Separation Performance of Hydrocyclones with Different Secondary Cylindrical Section Diameters
Abstract
:1. Introduction
2. Simulation Method and Conditions
2.1. Model Description
2.2. Simulation Conditions
2.3. Model Applicability
3. Results and Discussion
3.1. Flow Fields
3.1.1. Particle Flow Fields
3.1.2. AVWZ
3.2. Particle Circulation Flow
3.2.1. Downward Flow Ratio
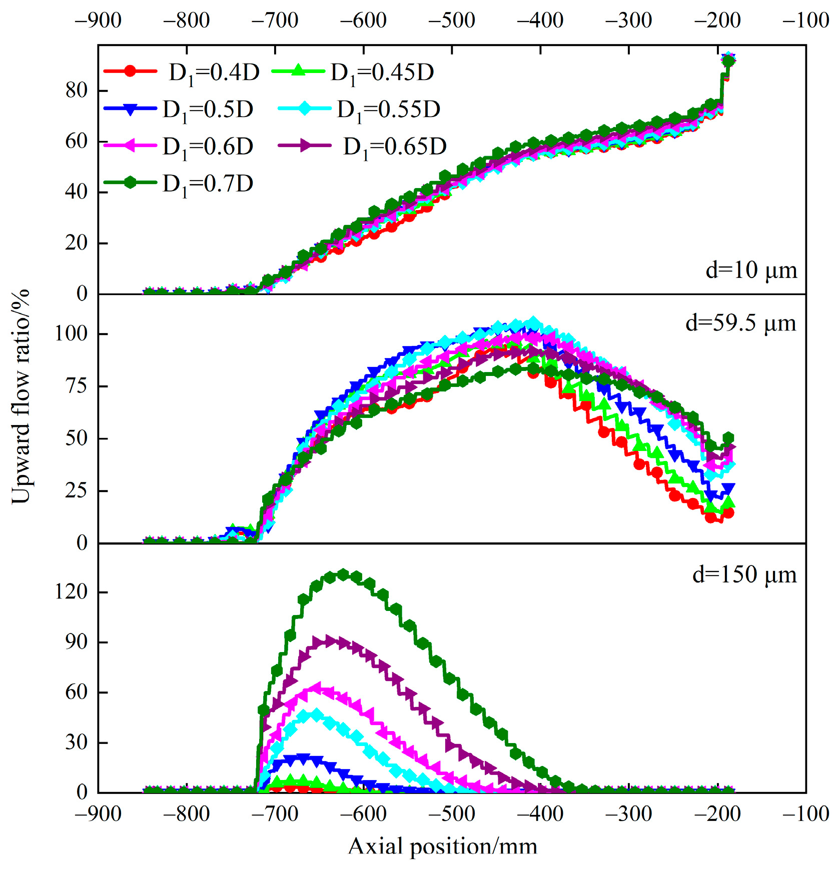
3.2.2. Upward Flow Ratio
3.2.3. Circulation Flow Ratio and Circulation Flow Proportion
3.3. Particle Spatial Distribution
3.4. Particles Separation Performance
4. Conclusions
- Particle circulation flow is ubiquitous in hydrocyclones, and the region of particle circulation flow expands with increasing the secondary-cylindrical section diameter.
- The upward flow ratio and downward flow ratio of fine particles decrease as the axial position decreases, whereas the upward and downward flow ratio of medium particles and coarse particles increase and then decrease. A larger secondary-cylindrical section diameter can enhance the coarse particle circulation flow and suppress the medium particle circulation flow, thus reducing the particle circulation flow ratio.
- The impact of secondary-cylindrical section diameter on the fine particle circulation flow is negligible, whereas superior AVWZ in hydrocyclones of large secondary-cylindrical section diameter augments coarse particles circulation flow, increasing the aggregation extent and aggregation region of coarse particles.
- The separation sharpness could be increased with an appropriate enlargement of the secondary-cylindrical section diameter to strengthen the particle circulation flow, whereas an excessively secondary-cylindrical section diameter will reduce the separation sharpness.
Supplementary Materials
Author Contributions
Funding
Data Availability Statement
Conflicts of Interest
References
- Svarovsky, L. Hydrocyclones; Holt Rinehart and Winston: London, UK, 1984. [Google Scholar]
- Frachon, M.; Cilliers, J.J. A general model for hydrocyclone partition curves. Chem. Eng. J. 1999, 73, 53–59. [Google Scholar] [CrossRef]
- Nunes, S.A.; Magalhaes, H.L.F.; Gomez, R.S.; Vilela, A.F.; Figueiredo, M.J.; Santos, R.S.; Rolim, F.D.; Souza, R.A.A.; Farias Neto, S.R.; Lima, A.G.B. Oily Water Separation Process Using Hydrocyclone of Porous Membrane Wall: A Numerical Investigation. Membranes 2021, 11, 79. [Google Scholar] [CrossRef] [PubMed]
- Khatri, N.; Khatri, K.K.; Sharma, A. Enhanced Energy Saving in Wastewater Treatment Plant using Dissolved Oxygen Control and Hydrocyclone. Environ. Technol. Innov. 2020, 18, 100678. [Google Scholar] [CrossRef]
- Padhi, M.; Mangadoddy, N.; Mainza, A.N.; Anand, M. Study on the particle interaction in a hydrocyclone classifier with multi-component feed blend at a high solids content. Powder Technol. 2021, 393, 380–396. [Google Scholar] [CrossRef]
- Hou, D.X.; Cui, B.Y.; Zhang, H.; Zhao, Q.; Ji, A.K.; Wei, D.Z.; Feng, Y.Q. Designing the hydrocyclone with flat bottom structure for weakening bypass effect. Powder Technol. 2021, 394, 724–734. [Google Scholar] [CrossRef]
- Zhang, Y.; Yang, M.; Jiang, L.; Wang, H.; Xu, J.; Yang, J. High Concentration Fine Particle Separation Performance in Hydrocyclones. Minerals 2021, 11, 307. [Google Scholar] [CrossRef]
- Hao, M.X.; Zhang, Y.H.; Huang, Y.; Wang, H.L.; Li, H.; Du, J.-q.; Lv, W.-j.; Li, J.-p.; Fu, P.-b.; Wu, J.-w. Effect of particle self-rotation on separation efficiency in mini-hydrocyclones. Powder Technol. 2022, 399, 117165. [Google Scholar] [CrossRef]
- Yang, Q.; Lv, W.J.; Ma, L.; Wang, H.L. CFD study on separation enhancement of mini-hydrocyclone by particulate arrangement. Sep. Purif. Technol. 2013, 102, 15–25. [Google Scholar] [CrossRef]
- Wang, Z.-B.; Chu, L.-Y.; Chen, W.-M.; Wang, S.-G. Experimental investigation of the motion trajectory of solid particles inside the hydrocyclone by a Lagrange method. Chem. Eng. J. 2008, 138, 1–9. [Google Scholar] [CrossRef]
- Fu, P.B.; Yu, H.; Li, Q.Q.; Cheng, T.T.; Zhang, F.Z.; Huang, Y.; Lv, W.; Xiu, G.; Wang, H. CFD-DEM simulation of particle revolution and high-speed self-rotation in cyclones with different structural and operating parameters. Chem. Eng. J. Adv. 2021, 8, 100176. [Google Scholar] [CrossRef]
- Zhang, C.E.; Wei, D.Z.; Cui, B.Y.; Li, T.S.; Luo, N. Effects of curvature radius on separation behaviors of the hydrocyclone with a tangent-circle inlet. Powder Technol. 2017, 305, 156–165. [Google Scholar] [CrossRef]
- Li, F.; Liu, P.K.; Yang, X.H.; Zhang, Y.K. Numerical simulation on the effects of different inlet pipe structures on the flow field and seperation performance in a hydrocyclone. Powder Technol. 2020, 373, 254–266. [Google Scholar] [CrossRef]
- Kelsall, D.F. A study of the motion of solid particles in a hydraulic cyclone. Trans. Inst. Chem. Eng. 1952, 30, 87–104. [Google Scholar]
- He, F.Q.; Zhang, Y.H.; Wang, J.G.; Yang, Q.; Wang, H.L.; Tan, Y.H. Flow Patterns in Mini-Hydrocyclones with Different Vortex Finder Depths. Chem. Eng. Technol. 2013, 36, 1935–1942. [Google Scholar] [CrossRef]
- Hwang, K.J.; Hwang, Y.W.; Yoshida, H. Design of novel hydrocyclone for improving fine particle separation using computational fluid dynamics. Chem. Eng. Sci. 2013, 85, 62–68. [Google Scholar] [CrossRef]
- Zhao, Q.; Cui, B.Y.; Wei, D.Z.; Song, T.; Feng, Y.Q. Numerical analysis of the flow field and separation performance in hydrocyclones with different vortex finder wall thickness. Powder Technol. 2019, 345, 478–491. [Google Scholar] [CrossRef]
- Jiang, L.Y.; Liu, P.K.; Yang, X.H.; Zhang, Y.K. Short-Circuit Flow in Hydrocyclones with Arc-Shaped Vortex Finders. Chem. Eng. Technol. 2018, 41, 1783–1792. [Google Scholar] [CrossRef]
- Hsu, C.Y.; Wu, R.M. Hot Zone in a Hydrocyclone for Particles Escape from Overflow. Dry. Technol. 2008, 26, 1011–1017. [Google Scholar] [CrossRef]
- Liu, Y.; Yang, Q.; Qian, P.; Wang, H.L. Experimental study of circulation flow in a light dispersion hydrocyclone. Sep. Purif. Technol. 2014, 137, 66–73. [Google Scholar] [CrossRef]
- Radman, J.R.; Langlois, R.; Leadbeater, T.; Finch, J.; Rowson, N.; Waters, K. Particle flow visualization in quartz slurry inside a hydrocyclone using the positron emission particle tracking technique. Miner. Eng. 2014, 62, 142–145. [Google Scholar] [CrossRef]
- Vakamalla, T.R.; Vadlakonda, B.; Aketi, V.A.K.; Mangadoddy, N. Multiphase CFD Modelling of Mineral Separators Performance: Validation Against Tomography Data. Trans. Indian Inst. Met. 2016, 70, 323–340. [Google Scholar] [CrossRef]
- Song, T.; Tian, J.Y.; Ni, L.; Shen, C.; Yao, Y. Experimental study on liquid flow fields in de-foulant hydrocyclones with reflux ejector using particle image velocimetry. Sep. Purif. Technol. 2020, 240, 116555. [Google Scholar] [CrossRef]
- Huang, Y.; Wang, H.L.; Tian, J.Y.; Li, J.P.; Fu, P.B.; He, F.Q. Theoretical study on centrifugal coupling characteristics of self-rotation and revolution of particles in hydrocyclones. Sep. Purif. Technol. 2020, 244, 116552. [Google Scholar] [CrossRef]
- Al Kayed Quteishat, M. Hydrocyclone flow characteristics and measurements. Flow Meas. Instrum. 2020, 73, 101741. [Google Scholar] [CrossRef]
- Narasimha, M.; Brennan, M.; Holtham, P.N. A Review of CFD Modelling for Performance Predictions of Hydrocyclone. Eng. Appl. Comput. Fluid Mech. 2014, 1, 109–125. [Google Scholar] [CrossRef]
- Tang, B.; Xu, Y.X.; Song, X.F.; Sun, Z.; Yu, J.G. Numerical study on the relationship between high sharpness and configurations of the vortex finder of a hydrocyclone by central composite design. Chem. Eng. J. 2015, 278, 504–516. [Google Scholar] [CrossRef]
- Mokni, I.; Dhaouadi, H.; Bournot, P.; Mhiri, H. Numerical investigation of the effect of the cylindrical height on separation performances of uniflow hydrocyclone. Chem. Eng. Sci. 2015, 122, 500–513. [Google Scholar] [CrossRef]
- Tian, J.Y.; Ni, L.; Song, T.; Shen, C.; Zhao, J.N. Numerical study of foulant-water separation using hydrocyclones enhanced by ejection device: Effect of ejection velocity. Energy 2018, 163, 641–659. [Google Scholar] [CrossRef]
- Zhao, Q.; Cui, B.Y.; Wei, D.Z.; Feng, Y.Q.; He, Y.; Bayly, A.E. Linking separation sharpness with the characteristics of axial velocity wave zone in a hydrocyclone. Powder Technol. 2021, 386, 467–482. [Google Scholar] [CrossRef]
- Tian, J.Y.; Ni, L.; Song, T.; Shen, C.; Yao, Y.; Zhao, J.N. Numerical study of foulant-water separation using hydrocyclones enhanced by reflux device: Effect of underflow pipe diameter. Sep. Purif. Technol. 2019, 215, 10–24. [Google Scholar] [CrossRef]
- Hou, D.X.; Cui, B.Y.; Zhao, Q.; Wei, D.Z.; Song, Z.G.; Feng, Y.Q. Research on the structure of the cylindrical hydrocyclone spigot to mitigate the misplacement of particles. Powder Technol. 2021, 387, 61–71. [Google Scholar] [CrossRef]
- Li, A.J.; Zhu, L.Y.; Wang, K.; Wang, G.T.; Wang, Z.B. Particles residence time distribution in a gas-solid cyclone reactor using a CFD-DDPM tracer method. Powder Technol. 2020, 364, 205–217. [Google Scholar] [CrossRef]
- Hwang, I.S.; Jeong, H.J.; Hwang, J. Effects of vortex finder length on flow field and collection efficiency of cyclone in an industrial-scale circulating fluidized bed boiler: Numerical study. Int. J. Energy Res. 2020, 44, 7229–7241. [Google Scholar] [CrossRef]
- Tian, J.Y.; Ni, L.; Song, T.; Zhao, J.N. CFD simulation of hydrocyclone-separation performance influenced by reflux device and different vortex-finder lengths. Sep. Purif. Technol. 2020, 233, 116013. [Google Scholar] [CrossRef]
- Zhao, Q.; Hou, D.X.; Cui, B.Y.; Wei, D.Z.; Song, T.; Feng, Y.Q. Development of an integrated multichannel inlet for improved particle classification in hydrocyclones. Adv. Powder Technol. 2021, 32, 4546–4561. [Google Scholar] [CrossRef]
- Hwang, I.S.; Jeong, H.J.; Hwang, J. Numerical simulation of a dense flow cyclone using the kinetic theory of granular flow in a dense discrete phase model. Powder Technol. 2019, 356, 129–138. [Google Scholar] [CrossRef]
- Mousavian, S.M.; Najafi, A.F. Numerical simulations of gas–liquid–solid flows in a hydrocyclone separator. Arch. Appl. Mech. 2008, 79, 395–409. [Google Scholar] [CrossRef]
- Vieira, L.G.M.; Silvério, B.C.; Damasceno, J.J.R.; Barrozo, M.A.S. Performance of hydrocyclones with different geometries. Can. J. Chem. Eng. 2011, 89, 655–662. [Google Scholar] [CrossRef]
- Lim, E.W.C.; Chen, Y.-R.; Wang, C.-H.; Wu, R.-M. Experimental and computational studies of multiphase hydrodynamics in a hydrocyclone separator system. Chem. Eng. Sci. 2010, 65, 6415–6424. [Google Scholar] [CrossRef]
- Narasimha, M.; Brennan, M.; Holtham, P.N. Large eddy simulation of hydrocyclone—Prediction of air-core diameter and shape. Int. J. Miner. Process. 2006, 80, 1–14. [Google Scholar] [CrossRef]
- Hou, D.; Zhao, Q.; Cui, B.; Wei, D.; Song, Z.; Feng, Y. Geometrical configuration of hydrocyclone for improving the separation performance. Adv. Powder Technol. 2022, 33, 103419. [Google Scholar] [CrossRef]
- Abbasi Moud, A.; Piette, J.; Danesh, M.; Georgiou, G.C.; Hatzikiriakos, S.G. Apparent slip in colloidal suspensions. J. Rheol. 2022, 66, 79–90. [Google Scholar] [CrossRef]
- Abbasi Moud, A.; Poisson, J.; Hudson, Z.M.; Hatzikiriakos, S.G. Yield stress and wall slip of kaolinite networks. Phys. Fluids 2021, 33, 053105. [Google Scholar] [CrossRef]














Disclaimer/Publisher’s Note: The statements, opinions and data contained in all publications are solely those of the individual author(s) and contributor(s) and not of MDPI and/or the editor(s). MDPI and/or the editor(s) disclaim responsibility for any injury to people or property resulting from any ideas, methods, instructions or products referred to in the content. |
© 2023 by the authors. Licensee MDPI, Basel, Switzerland. This article is an open access article distributed under the terms and conditions of the Creative Commons Attribution (CC BY) license (https://creativecommons.org/licenses/by/4.0/).
Share and Cite
Hou, D.; Liu, P.; Zhao, Q.; Jiang, L.; Cui, B.; Wei, D. Numerical Study on the Separation Performance of Hydrocyclones with Different Secondary Cylindrical Section Diameters. Processes 2023, 11, 2542. https://doi.org/10.3390/pr11092542
Hou D, Liu P, Zhao Q, Jiang L, Cui B, Wei D. Numerical Study on the Separation Performance of Hydrocyclones with Different Secondary Cylindrical Section Diameters. Processes. 2023; 11(9):2542. https://doi.org/10.3390/pr11092542
Chicago/Turabian StyleHou, Duanxu, Peikun Liu, Qiang Zhao, Lanyue Jiang, Baoyu Cui, and Dezhou Wei. 2023. "Numerical Study on the Separation Performance of Hydrocyclones with Different Secondary Cylindrical Section Diameters" Processes 11, no. 9: 2542. https://doi.org/10.3390/pr11092542
APA StyleHou, D., Liu, P., Zhao, Q., Jiang, L., Cui, B., & Wei, D. (2023). Numerical Study on the Separation Performance of Hydrocyclones with Different Secondary Cylindrical Section Diameters. Processes, 11(9), 2542. https://doi.org/10.3390/pr11092542

