Evaluating Fractal Damage and Acoustic Emissions of Soft Rock–Coal Combinations in a Deep Mining Area
Abstract
:1. Introduction
2. Geological Background
3. Experimental Test Methods and Results
3.1. Sample Preparation
3.2. Test Equipment and Methods
3.3. Experimental Results
4. Fractal Damage Characteristics
4.1. Methods of Classification of Fragments
4.2. Characterization of Damage Fragment Distribution
4.3. Characterization of Fragment Quality
4.4. Calculation of Fragmentation
5. Acoustic Emission Characteristics of Soft Rock–Coal Combinations
5.1. Characterization of Acoustic Emission Counting and Absolute Energy
5.2. Acoustic Emission Waveform Characterization
6. Conclusions
- (1)
- The stages of deep soft rock–coal combinations under uniaxial loading include initial compaction, collinear elasticity, plastic yielding, and post-peak damage. With an increasing proportion of soft rock, the stepwise decreasing trend tends to slow down. The uniaxial compressive strength of the combination lies between that of monolithic rock and monolithic coal, correlates positively with the elasticity modulus, and increases with the proportion of soft rock. The uniaxial compressive strength elevates by 13.9%, 2.30%, 2.89%, and 5.03%, whereas the modulus of elasticity climbs by 20.8%, 5.6%, 1.1%, and 21.0%, respectively.
- (2)
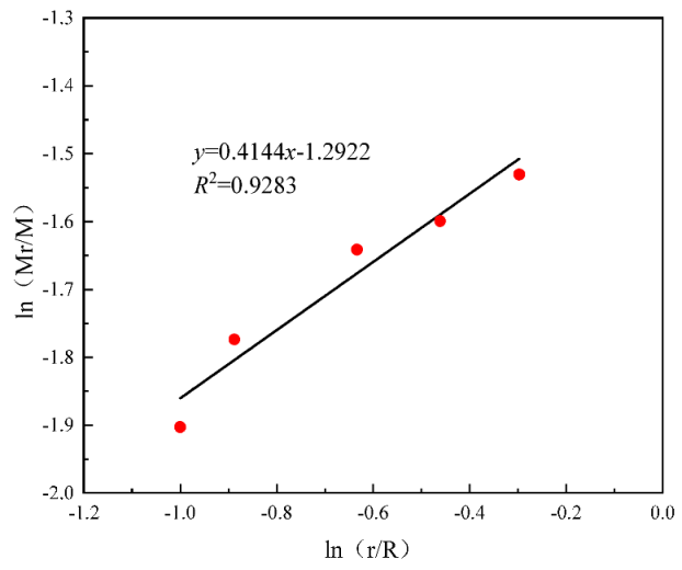
- In the deep mining area, the damage of soft rock–coal combinations with different height ratios are dominated by coal body splitting and tensile damage. The fractal characteristics of the combination specimens with 40%, 50% and 60% soft rock are significant with fractal dimensions of 2.374, 2.508 and 2.586, respectively, which are all within the interval [2, 3]. As the proportion of soft rock increases, the extent of damage inflicted on the coal body decreases, resulting in a concomitant reduction in the number of coal fragments. The fragmentation pattern exhibited by various combinations of soft rock and coal displays a sectional, fractal nature, with the dominant influence on the fractal characteristics derived from the coal body.
- (3)
- The deep soft rock–coal combination specimens are characterized by a significant time-lapse in the acoustic emission counts and absolute energies, which can be divided into three phases: calm (I), active (II), and surge (III). The absolute acoustic emission energy and counts for the specimens peak at the key point N1, implying that the internal damage of the coal body reaches a maximum during destabilization, and a substantial amount of energy is released, manifesting as large-scale splitting damage of the coal body. An increase in the proportion of soft rock leads to a reduction in both the absolute acoustic emission energy and counts.
- (4)
- The range of the acoustic emission main characteristic frequency values for the deep soft rock–coal combination specimens spans from 88 to 232 kHz, with the values tending to increase as the proportion of soft rock increases. Coal–rock combinations with a soft rock percentage of 20% suffer large-scale destruction. In line with the strength characteristics and fractal features of the combination specimen, coal constitutes the primary component of the coal–rock system.
Author Contributions
Funding
Institutional Review Board Statement
Informed Consent Statement
Data Availability Statement
Acknowledgments
Conflicts of Interest
References
- Chen, S.; Yin, D.; Zhang, B.; Ma, H.; Liu, X. Mechanical characteristics and progressive failure mechanism of roof-coal pillar structure. Chin. J. Rock Mech. Eng. 2017, 36, 1588–1598. [Google Scholar]
- Xie, H.; Gao, F.; Ju, Y. Research and development of rock mechanics in deep ground engineering. Chin. J. Rock Mech. Eng. 2015, 34, 2161–2178. [Google Scholar]
- Sun, X.; Wang, D.; Feng, J.; Zhang, C.; Chen, Y. Deformation control of a symmetric floor heave in deep rock roadway: A case study. Int. J. Min. Sci. Technol. 2014, 6, 799–804. [Google Scholar] [CrossRef]
- Dong, L.; Wang, D.; Sun, X.; Jiang, Y.; Luan, H.; Xu, H.; Li, B.; Cai, F. Large-Deformation Failure Mechanism and Stability Control of a Swelling Soft Rock Roadway in a Sea Area: A Case Study in Eastern China. Sustainability 2023, 15, 5323. [Google Scholar] [CrossRef]
- Zhu, Y.; Tan, Y.; Zhang, S.; Wang, M.; Wang, B. Dynamic Evolution and Quantitative Characterization of Fractures in Coal at the Eastern Edge of Ordos Basin under Axial Loading. Processes 2023, 11, 1631. [Google Scholar] [CrossRef]
- Lv, Y.; Xiao, Q.; Cheng, J. Mechanism and prevention of water-sand inrush in so Mechanism and prevention of water-sand inrush in soft rock with weakly abundant water: A case study in Shanghai miao mining area. J. China Coal Soc. 2019, 44, 3154–3163. [Google Scholar]
- Wang, X.; Wang, X.; Pan, S. Occurrence of analcime in the middle jurassic coal from the Dongsheng coalfield, northeastern Ordos Basin. China Int. J. Coal Geol. 2018, 196, 126–138. [Google Scholar] [CrossRef]
- Srinivasan, C.; Arora, S.; Yaji, R. Use of mining and seismological parameters as premonitors of rock-bursts. Int. J. Rock Mech. Min. Sci. 1997, 34, 1001–1008. [Google Scholar] [CrossRef]
- Torabi, A.; Zarifi, Z. Energy release rate of propagating deformation bands and their hosted cracks. Int. J. Rock Mech. Min. Sci. 2014, 67, 184–190. [Google Scholar] [CrossRef]
- Poulsen, B.; Shen, B.; Williams, D. Strength reduction on saturation of coal and coal measures rocks with implications for coal pillar strength. Int. J. Rock Mech. Min. Sci. 2014, 71, 41–52. [Google Scholar] [CrossRef]
- Petukhov, I.; Linkov, A. The theory of post-failure deformations and the problem of stability in rock mechanics. Int. J. Rock Mech. Min. Sci. Geomech. Abstr. 1979, 16, 57–76. [Google Scholar] [CrossRef]
- Zhou, Y.; Liu, C.; Ma, D.; Zhao, Z. Analysis of strength and acoustic emission characteristics of coal and rock mass in different combinations. Saf. Coal Min. 2019, 50, 232–236. [Google Scholar]
- Chen, G.; Qin, Z.; Zhang, G.; Li, T.; Li, J. Law of energy distribution before failure of a loaded coal-rock combined body. Rock Soil Mech. 2020, 41, 1–13. [Google Scholar]
- Yang, S.; Chen, M.; Jing, H.; Chen, K.; Meng, B. Mechanical properties of rock-coal bi-material samples with different lithologies under uniaxial loading. Eng. Geol. 2017, 217, 89–101. [Google Scholar] [CrossRef]
- Ma, B.; Wang, F.; Liu, H.; Yin, D.; Xia, Z. Mechanical Properties of Rock-Coal-Rock Composites at Different Inclined Coal Seam Thicknesses. Front. Phys. 2022, 9, 806055. [Google Scholar] [CrossRef]
- Song, H.; Zuo, J.; Liu, H.; Zuo, S. The strength characteristics and progressive failure mechanism of soft rock-coal combination samples with consideration given to interface effects. Int. J. Rock Mech. Min. Sci. 2021, 138, 104593. [Google Scholar] [CrossRef]
- Daraei, A.; Sharifi, F.; Qader, D.; Ali, H.; Kolivand, F. Prediction of the static elastic modulus of limestone using downhole seismic test in Asmari formation. Acta Geoph 2023. [Google Scholar] [CrossRef]
- Yin, D.; Meng, X. Numerical simulation on uniaxial compression failure of a roof rock-coal-floor rock composite sample with coal persistent joint. Geotech. Geol. Eng. 2019, 37, 13–23. [Google Scholar] [CrossRef]
- Najm, J.; Daraei, A. Forecasting and controlling two main failure mechanisms in the Middle East’s longest highway tunnel. Eng. Fail. Anal. 2023, 146, 107091. [Google Scholar] [CrossRef]
- Zuo, J.; Chen, Y.; Cui, F. Investigation on mechanical properties and rock burst tendency of different coal-rock combined bodies. J. China Univ. Min. Techol. 2018, 47, 81–87. [Google Scholar]
- Gong, F.; Ye, H.; Luo, Y. Rate effect on the burst tendency of coal-rock combined body under low loading rate range. J. China Coal Soc. 2017, 42, 2852–2860. [Google Scholar]
- Xie, H. Introduction to Fractals-Rock Mechanics; Science Press: Beijing, China, 1996. [Google Scholar]
- Chen, G.; Teng, P.; Zhang, G.; Yang, L.; Li, T.; Lv, P. Fractal characteristics and energy transfer mechanism of coal-rock combined body fragments under different loading rates. J. Chong Qing Univ. 2022, 45, 115–129. [Google Scholar]
- Feng, G.; Wen, X.; Guo, J.; Wang, P.; Qian, R.; Yan, Y.; Hao, C. Study on influence of moisture content on coal sample AE properties and fragment distribution characteristics. J. Cent. South Univ. (Sci. Technol.) 2022, 52, 2910–2918. [Google Scholar]
- Li, Y.; Zhang, S.; Wen, Z.; Zhao, R.; Cao, Z.; Lun, Q.; Bai, J. Energy conversion and fragment distribution characteristics of coal sample under uniaxial cyclic loading. J. China Coal Soc. 2019, 44, 1411–1420. [Google Scholar]
- Li, J.; Yan, Z.; Yang, Z.; Fang, W.; Li, T. Evolution and fractal characteristics of uniaxial compression sandstone damage. Chin. J. Undergr. Space Eng. 2022, 18, 674–682. [Google Scholar]
- Zhou, Y.; Yan, Y.; Zhao, K.; Yu, X.; Song, Y.; Wang, J.; Suo, T. Study of the effect of loading modes on the acoustic emission fractal and damage characteristics of cemented paste backfill. Constr. Build. Mater. 2021, 277, 122311. [Google Scholar] [CrossRef]
- Kong, X.; Wang, E.; Hu, S.; Shen, R.; Li, X.; Zhan, T. Fractal characteristics and acoustic emission of coal containing methane in triaxial compression failure. J. Appl. Geophys. 2016, 124, 139–147. [Google Scholar] [CrossRef]
- Fairhurst, C.; Hudson, J. Draft ISRM suggested method for the complete stress-strain curve for intact rock in uniaxial compression. Int. J. Rock Mech. Min. Sci. 1999, 36, 279–289. [Google Scholar]
- Chen, S.; Li, F.; Yin, D.; Zhang, J. Experimental study on deformation failure characteristics of limestone-coal composite with different rock-coal height ratios. J. Cent. South Univ. (Sci. Techol.) 2023, 54, 2459–2472. [Google Scholar]
- Zhou, Z.; Li, X.; Zuo, Y. Fractal characteristics of rock fragmentation at strain rate of 100–102 s−1. J. Cent. South Univ. (Sci. Techol.) 2006, 13, 290–294. [Google Scholar] [CrossRef]
- Rosin, P. The laws governing the fineness of powdered coal. J. Inst. Fuel 1933, 7, 29–36. [Google Scholar]
- Zhao, X.; Xu, S.; Li, Q. Fractal characteristics of fire-damaged ultra high toughness cementitious composite after impact loading. China Civil Eng. J. 1933, 7, 29–36. [Google Scholar]
- Li, C.; Xu, Y.; Zhang, Y.; Li, H. Study on energy evolution and fractal characteristics of cracked coal-rock-like combined body under impact loading. Chin. J. Rock Mech. Eng. 2019, 38, 2231–2241. [Google Scholar]
- Deng, T.; Yang, D.; Hang, W. Influence of loading form on distribution of marble fragments. J. Tong Ji Univ. 2007, 1, 10–14. [Google Scholar]
- Zhu, D.; Jing, H.; Yin, Q.; Han, G. Experimental Study on the Damage of Granite by Acoustic Emission after Cyclic Heating and Cooling with Circulating Water. Processes 2018, 6, 101. [Google Scholar] [CrossRef]
- Yin, J.; Shi, L.; Liu, Z.; Lu, W.; Pan, X.; Zhuang, Z.; Jiao, L.; Kong, B. Study on the Variation Laws and Fractal Characteristics of Acoustic Emission during Coal Spontaneous Combustion. Processes 2023, 11, 786. [Google Scholar] [CrossRef]











| Proportions of Soft Rocks | Uniaxial Compressive Strength (MPa) | Modulus of Elasticity (GPa) | Peak Strain (%) | Destruction Mode | 
|---|---|---|---|---|
| 20% | 17.24 | 2.07 | 1.0363 | tensile splitting | 
| 40% | 19.65 | 2.50 | 0.9941 | tensile splitting | 
| 50% | 20.10 | 2.64 | 0.9030 | tensile splitting | 
| 60% | 20.68 | 2.67 | 0.8764 | tensile splitting | 
| 80% | 21.72 | 3.23 | 0.7856 | tensile splitting | 
| Number | Fragmentation Category | Particle Size Range (mm) | Research Methodology | 
|---|---|---|---|
| 1 | Particulate | <1.25 (1.25, 2.5) (2.5, 5) | Weighing mass | 
| 2 | Small grains | (5, 10) | Weighing mass | 
| 3 | Medium grain | (10, 20) | Weighing mass | 
| 4 | Large grains | >20 | Weighing mass | 
| Size (mm) | Rock Percentage (%) | ||||
|---|---|---|---|---|---|
| 20% | 40% | 50% | 60% | 80% | |
| <1.25 | 0.99 | 0.51 | 0.69 | 0.81 | 0.58 | 
| (1.25, 2.5) | 1.38 | 0.95 | 0.91 | 0.67 | 0.40 | 
| (2.5, 5) | 2.00 | 1.60 | 1.78 | 1.30 | 0.84 | 
| (5, 10) | 3.10 | 4.23 | 3.42 | 2.57 | 1.63 | 
| (10, 20) | 9.19 | 7.76 | 7.12 | 6.64 | 2.40 | 
| >20 | 83.34 | 84.95 | 86.08 | 88.01 | 94.15 | 
| Percentage of Soft Rock | Destructive Pattern | Crack Pattern | Fitting the Curve | Calculation Results | |
|---|---|---|---|---|---|
| 20% |  |  |  |  | D = 1.496 R2 = 0.9624 | 
| 40% |  |  |  |  | D = 2.374 R2 = 0.9726 | 
| 50% |  |  |  |  | D = 2.508 R2 = 0.9738 | 
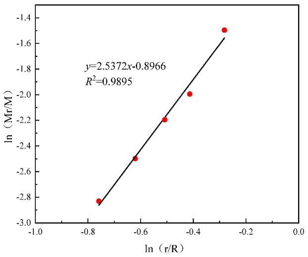
| 60% |  |  |  |  | D = 2.586 R2 = 0.9283 | 
| 80% |  |  |  |  | D = 0.463 R2 = 0.9895 | 
| Percentage of Soft Rock | Absolute Energy (attoJ) | AE Counts | Cumulative Counts | 
|---|---|---|---|
| 20% | 2.46 × 109 | 18,276 | 213,946 | 
| 40% | 1.36 × 109 | 11,283 | 128,026 | 
| 50% | 1.03 × 109 | 10,689 | 113,246 | 
| 60% | 3.93 × 108 | 8527 | 107,295 | 
| 80% | 3.41 × 108 | 7852 | 95,715 | 
| Key Point | 20% | 40% | 50% | 60% | 80% | 
|---|---|---|---|---|---|
| N1 | 88 kHz | 164 kHz | 177 kHz | 207 kHz | 232 kHz | 
| Disclaimer/Publisher’s Note: The statements, opinions and data contained in all publications are solely those of the individual author(s) and contributor(s) and not of MDPI and/or the editor(s). MDPI and/or the editor(s) disclaim responsibility for any injury to people or property resulting from any ideas, methods, instructions or products referred to in the content. | 
© 2023 by the authors. Licensee MDPI, Basel, Switzerland. This article is an open access article distributed under the terms and conditions of the Creative Commons Attribution (CC BY) license (https://creativecommons.org/licenses/by/4.0/).
Share and Cite
Liang, B.; Wang, D.; Jiang, Y.; Sun, X.; Luan, H.; Wang, C.; Dong, L.; Chen, L. Evaluating Fractal Damage and Acoustic Emissions of Soft Rock–Coal Combinations in a Deep Mining Area. Processes 2023, 11, 2599. https://doi.org/10.3390/pr11092599
Liang B, Wang D, Jiang Y, Sun X, Luan H, Wang C, Dong L, Chen L. Evaluating Fractal Damage and Acoustic Emissions of Soft Rock–Coal Combinations in a Deep Mining Area. Processes. 2023; 11(9):2599. https://doi.org/10.3390/pr11092599
Chicago/Turabian StyleLiang, Bin, Dong Wang, Yujing Jiang, Xiaoming Sun, Hengjie Luan, Changsheng Wang, Ling Dong, and Lugen Chen. 2023. "Evaluating Fractal Damage and Acoustic Emissions of Soft Rock–Coal Combinations in a Deep Mining Area" Processes 11, no. 9: 2599. https://doi.org/10.3390/pr11092599
APA StyleLiang, B., Wang, D., Jiang, Y., Sun, X., Luan, H., Wang, C., Dong, L., & Chen, L. (2023). Evaluating Fractal Damage and Acoustic Emissions of Soft Rock–Coal Combinations in a Deep Mining Area. Processes, 11(9), 2599. https://doi.org/10.3390/pr11092599
 
        





 
       