Abstract
The physical properties of shale reservoirs are typically poor, necessitating the use of fracturing technology for effective development. However, the high clay content prevalent in shale formations poses significant challenges for conventional hydraulic fracturing methods. To address this issue, CO2-based fracturing fluid has been proposed as an alternative to mitigate the damage caused by water-based fracturing fluids. In this paper, the applicability of quasi-dry CO2 fracturing in shale reservoirs is examined from three key perspectives: the viscosity of CO2 fracturing fluid, the fracture characteristics induced by the CO2 fracture fluid, and the potential reservoir damage caused by the fracturing fluid. Firstly, the viscosity of CO2 fracturing fluid was determined by a rheological experiment. Rheological tests revealed that the viscosity of CO2 fracturing fluid was significantly influenced by the water–carbon ratio. Specifically, when the water–carbon ratio was 30:70, the maximum viscosity observed could reach 104 mPa·s. Moreover, increasing reservoir temperature resulted in decreased fracturing fluid viscosity, with a 40 °C temperature rise causing a 20% viscosity reduction. Secondly, matrix permeability tests were conducted to investigate permeability alteration during CO2 fracturing fluid invasion. Due to the weak acidity of CO2-based fracturing fluid, the permeability reduction induced by clay hydration was inhibited, and an increase in permeability was observed after a 3-day duration. However, the matrix permeability tends to decrease as the interaction time is prolonged, which means prolonged soaking time can still cause formation damage. Finally, triaxial fracturing experiments facilitated by a three-axis servo pressure device were conducted. The fracture properties were characterized using computed tomography (CT), and 3D reconstruction of fractured samples was conducted based on the CT data. The results demonstrate that CO2 fracturing fluid effectively activates weak cementation surfaces in the rock, promoting the formation of larger and more complex fractures. Hence, CO2 quasi-dry fracturing technology emerges as a method with significant potential, capable of efficiently stimulating shale reservoirs, although a reasonable soaking time is necessary to maximize hydrocarbon production.
1. Introduction
CO2 fracturing technology has emerged as a promising method for enhancing hydrocarbon recovery while mitigating environmental impacts associated with conventional hydraulic fracturing. Unlike traditional hydraulic fracturing that relies on water-based fluids, CO2 fracturing utilizes supercritical or liquid CO2 as the fracturing fluid [1]. This approach offers several advantages, including reduced water usage, a reduced environmental footprint, and the potential for enhanced reservoir stimulation [2,3,4,5]. Hence, CO2-based fracturing methods have steadily garnered attention within the oil industry.
Supercritical CO2 fluid boasts a plethora of unique physical and chemical properties, setting it apart in various applications [6,7,8,9]. Its low viscosity, high diffusion coefficient, and near-zero surface tension make it a standout choice [10,11,12]. Since its introduction into the oil industry, CO2 fracturing has showcased numerous advantages. Notably, it readily forms intricate fracture networks within reservoirs [13]. Moreover, its low water content mitigates the risk of reservoir clay expansion. One of its standout benefits lies in the rapid flowback after fracturing, significantly reducing non-production periods for oil and gas, thereby enhancing economic returns [14]. Furthermore, the robust absorption capabilities enable CO2 to displace methane molecules adsorbed in shale, thereby amplifying production and recovery efficiency while facilitating permanent CO2 storage [12,15,16,17]. Consequently, CO2-based fracturing technology is lauded as a promising new approach with expansive potential. The effectiveness of CO2-induced fracture propagation hinges on several key mechanisms [18]. Firstly, thermal stress coupled with pore pressure alleviates effective stress, instigating shear failure. Secondly, the absence of surface tension diminishes the net pressure necessary for crack propagation. Thirdly, adsorption phenomena decrease the critical stress required for crack growth. Lastly, localized phase transformations drive dynamic fracture growth. These mechanisms collectively underscore the multifaceted nature of CO2-induced fracture propagation, shedding light on its efficacy and versatility in various engineering contexts. However, liquid CO2 encounters challenges due to its significant friction resistance, which hinders its ability to meet the demands of high-displacement injection during field application [19]. Moreover, its low viscosity exacerbates issues such as rapid settling of proppants, resulting in limited sand-carrying ability and increased filtration loss [1,20].
To tackle these challenges, a thickening agent is introduced into the liquid CO2 [21,22]. This additive serves to enhance the suspended sand capacity, effectively slowing down the settling process and reducing filtration loss. By incorporating a thickening agent, the performance of liquid CO2 is improved, making it better suited for high-displacement injection tasks while mitigating issues associated with proppant settling and filtration loss. In theory, the molecular structure of carbon dioxide thickeners typically comprises two components: it is a polymer of a CO2-philic group, which can fully dissolve in carbon dioxide, and a CO2-phobic group, which enhances the viscosity of carbon dioxide. CO2 exhibits physical properties compatible with organic agents. In this mixed system, water molecules attract CO2 to form hydrophilic groups of rod-like or worm-like micelles, while CO2-philic molecules attract CO2 groups. Through a series of interactions, the intermolecular forces strengthen, consequently elevating the viscosity of CO2. Many scholars have dedicated efforts to studying the factors influencing the viscosity of gelled CO2 and have established criteria for evaluating its rheological properties. Through systematic experimentation and theoretical analysis, researchers have identified key parameters that impact the viscosity of gelled CO2. These parameters include the concentration and type of thickening agent, the temperature, the pressure, the shear rate, and the presence of additives such as surfactants or polymers. Luo et al. [23] investigate the rheological properties and friction performance of thickened CO2 fracturing fluid. They establish correlations for rheological parameters, noting a significant decrease in effective viscosity with increasing shear rate and temperature, albeit with a modest increase linked to thickener concentration. Frictional resistance decreases with flow velocity, temperature, and pressure, but exhibits a smaller change range concerning pressure and thickener concentration. Zhao et al. [21] investigate a novel supercritical CO2 fracturing fluid system composed of 5% polydimethylsiloxane, 5% kerosene, and 90% supercritical CO2. Through systematic evaluation experiments, it demonstrates significantly enhanced rheological properties, an improvement in the sand-carrying capacity by 38.17%, and a reduction in the filtration loss coefficient by up to 71.71%. Zhao et al. [24] propose that a siloxane-based polymer significantly enhances CO2 viscosity while minimizing damage and chemical residue in the stratum after fracturing.
In addition to viscosity, the formation damage caused by fracturing-fluid intrusion is another crucial parameter for evaluating the suitability of fracturing fluid. The potential for reservoir damage is a significant concern in hydraulic fracturing operations, as it can affect well productivity and reservoir performance in the long term. The intrusion of fracturing fluid into the reservoir rock can lead to various forms of damage, including formation matrix swelling, clay dispersion, fines migration, and pore plugging. Researchers have developed various methods to assess reservoir damage induced by fracturing-fluid intrusion. These methods often involve laboratory experiments, core analysis, and numerical simulations to quantify the extent of damage and its impact on reservoir properties such as permeability, porosity, and fluid flow behavior. Lu et al. [25] investigate the impact of supercritical CO2–slickwater hybrid fracturing on shale pore structures using various analytical techniques. The treatment leads to an increase in micropores (<2 nm) and mesopores (2–50 nm), expanding total specific surface area (TSSA) and total pore volume (TPV) while reducing average pore size. Tian et al. [26] investigate the impact of exposure to supercritical CO2 on the porosity and permeability evolution of both dry and wet shale samples over varying periods. Results indicate an initial increase followed by a decrease in porosity and permeability, with a distinct inflection point observed. Therefore, evaluating the reservoir damage resulting from fracturing-fluid intrusion is crucial for optimizing fracturing fluid formulations and designing effective fracture treatments.
Pure CO2 fluid suffers from low viscosity, resulting in poor sand-carrying capacity and inadequate reduction of filtration loss, which hampers its effectiveness in fracturing operations. In this paper, a novel CO2 thickener system (VIC-2, VIC-6) was proposed to enhance CO2 viscosity, and the following research was carried out. Firstly, high-temperature and high-pressure rheological experiments are conducted to evaluate the viscosity of CO2 fracturing fluid across varying water–carbon ratios. Secondly, the impact of CO2–water–rock reactions on shale matrix permeability during fracturing remains ambiguous despite the presence of a small amount of water and polymer in the CO2 fracturing fluid system. Hence, permeability tests are conducted on shale samples subjected to different soaking times to elucidate this influence. Finally, CO2 triaxial fracturing experiments are conducted using downhole cores, and fracture reconstruction is facilitated through CT imaging. These experiments provide a theoretical foundation for the further application of CO2 quasi-dry fracturing in shale reservoirs. By systematically investigating these aspects, the research aims to enhance the understanding of CO2 fracturing fluid behavior and optimize its performance in shale reservoir stimulation, paving the way for more efficient and effective fracturing operations.
2. Methodology
In this paper, the experimental section primarily encompasses 3 key components:
- Shale damage test: This aspect aimed to assess the permeability reduction induced by water-based fracturing fluid and CO2 quasi-dry fracturing fluid. In this part, the PDP instrument was used to determine the shale permeability. By subjecting cores to both types of fluids, we evaluated the extent of damage inflicted on the cores. This evaluation provides insights into the comparative performance of the two types of fracturing fluids in terms of core preservation and permeability retention.
- Rheological experiment: This involved studying the rheological behavior of CO2 quasi-dry fracturing fluid under varying water–carbon ratios and temperatures.
- True triaxial fracturing experiment: Quasi-dry CO2 fracturing fluid and slickwater were applied to conduct the fracturing experiment. By subjecting shale rock samples to different hydraulic fracturing, the fracture characteristics were further evaluated.
2.1. Rock Sample Preparation
The experimental setup involved rock samples sourced from the Jimsar Block in Xinjiang, extracted from depths ranging from 3045 to 3172 m underground (Figure 1). To conduct the shale damage test, cylindrical samples with a diameter of 25.4 mm and a height of 30 mm were prepared for permeability testing. Meanwhile, the cylinder samples were encapsulated in epoxy resin and molded into cube-shaped samples measuring 100 mm × 100 mm × 100 mm (Figure 2) to facilitate fracturing tests.
Figure 1.
Full-diameter shale cores.
Figure 2.
Cemented core with stainless steel wellbore.
The CO2 fracturing fluid used in the experiments comprised formation water, the CO2 thickeners VIC-6 and VIC-2 (Xian Victory Co., Ltd., Xi’an, China), and 99.9% pure CO2 (Beijing Huatong Jingke Co., Ltd., Beijing, China). For shale damage tests and triaxial fracturing tests, water-based fracturing fluids containing a 0.1% concentration of polyacrylamide were employed.
2.2. Experimental Setup and Procedures
2.2.1. Rheological Test of CO2 Fracturing Fluid
Liquid viscosity is the main factor affecting fracturing effects, which has a direct influence on fracture morphology and proppant-carrying effects. In this part, the rheology of CO2 fracturing fluid was studied. The CO2 fracturing fluid preparation device consists of a heating system, a CO2 pumping system, a pressurization system, a stirring system, a viscosity testing system, a control system, and a reaction kettle with a sapphire window (Figure 3). The equipment was provided by Tochuang Co., Ltd., Ningbo, China. The characteristics and main parameters were as follows:
Figure 3.
CO2 fracturing fluid preparation and rheological testing device.
- Maximum torque: 200 mN·m;
- Volume: 400 mL;
- Minimum rotation speed CR: 10 rpm;
- Maximum rotation speed: 1500 rpm;
- Temperature range: high-temperature electric heating system: 20 degrees to 400 degrees; able to withstand pressure of 40 MPa;
- Maximum lateral loading capacity: 6 Kn.
The experimental setup for configuring and testing the CO2 fracturing fluid involved the following steps:
- Base fluid preparation: The experimental water was prepared with NaCl at a salinity of 600 ppm. The base fluid was then configured with various water–carbon ratios. For instance, if the ratio was 30/70 (water/CO2), 132 mL of water and 268 mL of CO2 were combined. The thickeners, VIC-6 and VIC-2, were added in appropriate proportions. Specifically, the VIC-6 volume was 1.2% of the water volume (1.584 mL), while the VIC-2 volume was 1.5% of the CO2 volume (4.02 mL). After adding the thickeners, the mixture was stirred thoroughly to ensure uniform distribution before transferring it to the miscible device.
- CO2 fracturing fluid configuration: CO2 was introduced into the miscible device using a gas booster pump to increase the pressure inside the device. Once the pressure stabilized, mechanical stirring was employed to disperse and mix the miscible system. The stirring was performed in both the forward and reverse directions for 15 min at a speed of 2500 rpm to ensure thorough dispersion and homogeneity of the fracturing fluid.
- Rheological testing: The prepared CO2 fracturing fluid is then subjected to rheological testing using a Harkar rheometer (Thermo Fisher, Waltham, MA, USA) to evaluate its rheological characteristics at different temperatures.
2.2.2. Shale Permeability Damage Test
When the shale matrix is exposed to CO2 fracturing fluid, a series of chemical reactions will occur, resulting in changes in the physical properties of the shale matrix. In this part, the shale permeability alteration induce by CO2-based fracturing fluid is studied, and a PDP instrument was applied to conduct the permeability determination. The experimental process was as follows:
- The column samples were dried, and the permeability of the untreated shale was measured to establish a baseline.
- The core sample comprising both the core plug and fragments was placed in the high-temperature and high-pressure reactor. The reactor was then evacuated and subsequently immersed in a water bath device set to a constant temperature of 60 °C.
- CO2-based fracturing fluid was pumped into the high-temperature and high-pressure reactor until the pressure within the reactor increased by 10 MPa. The core sample was allowed to react with the fracturing fluid for designated durations of 3, 5, and 7 days, respectively.
- After the specified reaction periods, the core plug and fragments were removed from the reactor. The core plug was dried and subjected to permeability testing to assess any changes in permeability resulting from the interaction with the fracturing fluid. Meanwhile, the fragments underwent further treatment to meet the requirement of the XRD test, and the alterations in mineral composition were evaluated.
In an experimental setup similar to the one described above, a control group utilizing slickwater was employed to conduct shale hydration experiments. This control was included to provide a comparative baseline and further elucidate the changes in shale permeability under the influence of CO2-based fracturing fluid. The experimental procedure closely resembled that of the CO2 fracturing fluid experiments, with the main difference lying in the choice of fluid used. In this case, slickwater was utilized instead of CO2 fracturing fluid.
2.2.3. True Triaxial Fracturing Experiment
The experimental instruments was provided by Tochuang Co., Ltd., Ningbo, China. The experimental equapment are shown in Figure 4, including a stress servo control system, a rock high-temperature heating system, and an injection pump. After fracturing, a Computed Tomography (CT) device was applied to reconstruct the fracture distribution in rock samples. In this study, a GE Brivo CT385 (General Electric Company, Shanghai, China) was used (Figure 5). The experimental process was as follows:
Figure 4.
True triaxial fracturing device.
Figure 5.
CT equipment.
- A stainless steel shaft was drilled into the center of the rock sample, and the well was cemented using high-strength cement to ensure stability.
- The prepared sample was placed in the triaxial loading chamber, ensuring the device’s airtightness. CO2 fracturing fluid was prepared in an intermediate container, and the pipeline was connected. Triaxial stress is gradually applied until it reaches stability. Fluid is injected into the sample at a set flow rate, and fracturing tests are conducted. Pressure changes are recorded during the test, and injection ceases when a significant pressure drop occurs, indicating completion of fracturing.
- After fracturing, the sample is placed in a high-precision CT device. Cracks in the rock are reconstructed using the CT device and post-processing software. This step allows for detailed visualization and analysis of fracture distribution within the rock sample, providing valuable insights into the fracturing process and fracture characteristics.
3. Results and Discussion
3.1. High-Pressure and High-Temperature Rheological Experiment
Conventional CO2 fluid exhibits low viscosity, posing challenges in meeting sand-carrying requirements during fracturing operations. To address this issue, viscosity enhancement of CO2 was achieved herein through the use of thickeners, specifically the water-based thickener VIC-6 and the CO2 thickener VIC-2 (Figure 6). These two thickeners are miscible and, when mixed, undergo copolymerization of monomers such as ethyl propenyl ether, methyl methacrylate, octadecyl methacrylate, and allyl carbonate in a CO2-philic solvent. This process leads to increased structural viscosity through molecular chain stretching and an enhanced probability of entanglement with neighboring molecules.
Figure 6.
Mixture of CO2 and water-based thickener (a) before stirring and (b) after stirring.
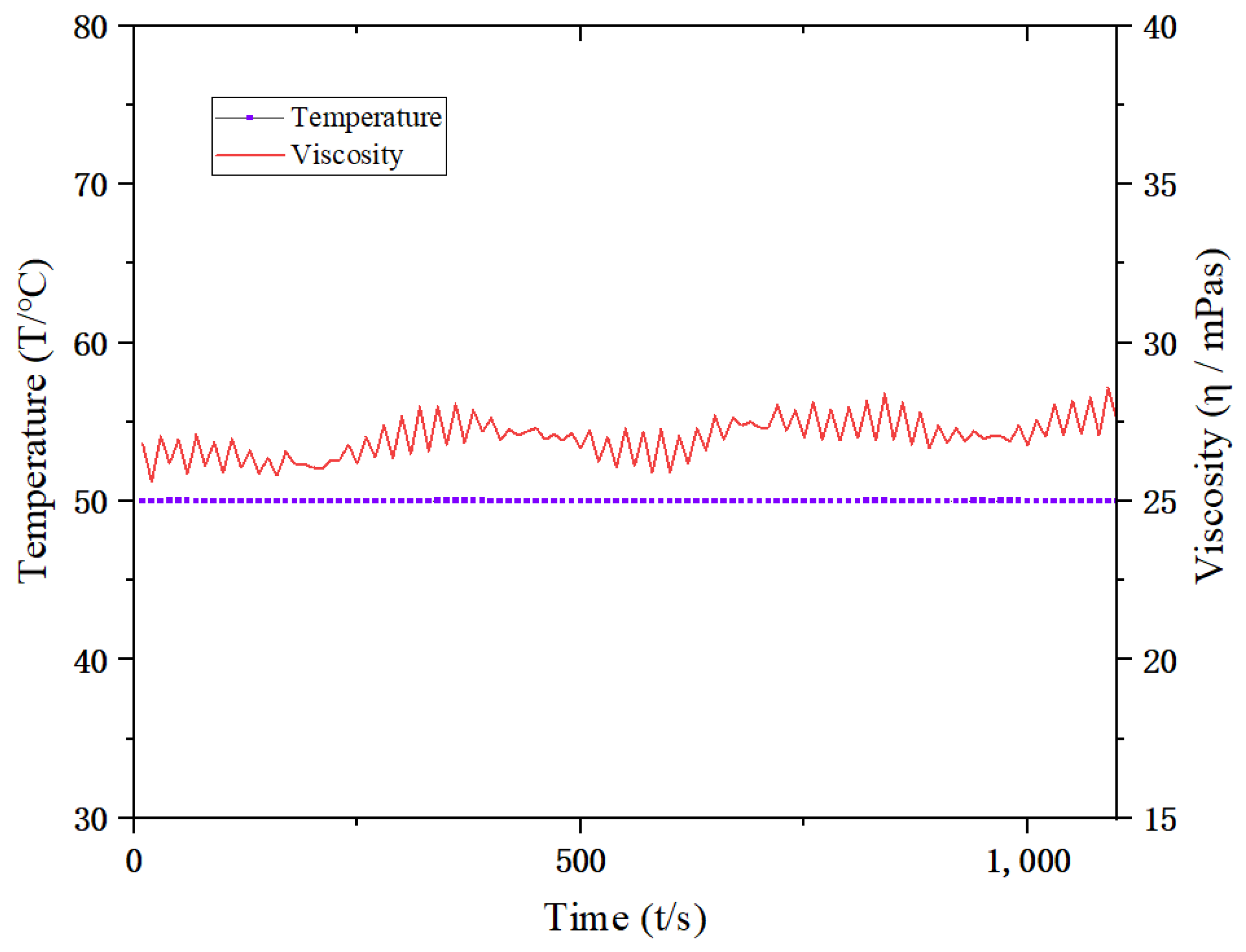
However, as liquid CO2 is a weak solvent and almost immiscible with water, a small amount of water-based fracturing fluid is necessary for sand carrying in CO2 quasi-dry fracturing. Optimizing the water–carbon ratio of the liquid CO2 and water base is essential to minimize damage while ensuring stable fracturing fluid performance. CO2 fracturing fluid comprises a thickener base fluid and CO2, with varying rheological properties at different water–carbon ratios. Rheological experiments were conducted for different water–carbon ratios (30:70, 40:60, and 35:65). The viscosity of CO2 fracturing fluid is summarized in Table 1. The results indicate that the fluid viscosity is sensitivity to the temperature. Specifically, the liquid viscosity decreases with increasing temperature, with a maximum drop of approximately 50 mPa·s observed. Moreover, the viscosity of the fracturing fluid initially increases and then decreases with increasing water content. The viscosity is 104 mPa·s at a water–carbon ratio of 30:70, and further increases in water content result in a rapid viscosity decrease (Figure 7, Figure 8 and Figure 9). This phenomenon suggests that 30:70 is the optimal ratio.
Table 1.
Viscosity of CO2 fracturing fluid.
Figure 7.
Viscosity–temperature relationship at a water–carbon ratio of 30:70.
Figure 8.
Viscosity–temperature relationship at a water–carbon ratio of 35:65.
Figure 9.
Viscosity–temperature relationship at a water–carbon ratio of 40:60.
On the basis of the optimal water–carbon ratio, the viscosity of CO2 fracturing fluid at different concentrations of water-based thickener was studied. Testing was conducted using different concentrations (0.5%, 0.6%, 0.8%, and 1.2%) of an aqueous-phase viscosifier at temperatures of 50 °C, 70 °C, and 90 °C through the quasi-dry method. As the concentration of liquid thickener decreases, the viscosity of the miscible liquid experiences a rapid decline. This reduction in viscosity poses challenges in achieving the requisite viscosity for sand-carrying purposes (Figure 10, Figure 11 and Figure 12).
Figure 10.
Viscosity–temperature relationship at a VIC-6 concentration of 0.5%.
Figure 11.
Viscosity–temperature relationship at a VIC-6 concentration of 0.6%.
Figure 12.
Viscosity–temperature relationship at a VIC-6 concentration of 0.7%.
3.2. Mineral Composition and Permeability Variation
Shale is a type of sedimentary rock primarily composed of fine-grained mineral particles, with a composition that typically includes clay minerals, quartz, and a variety of accessory minerals. XRD results revealed that the shale samples primarily consisted of quartz and clay minerals, constituting approximately 30% and 25% of the composition, respectively. Additionally, carbonate minerals such as dolomite and calcite made up around 20% of the composition (Figure 13).
Figure 13.
Mineral composition of shale under CO2 fracturing fluid treatment.
In this section, a CO2 fracturing fluid was prepared with a water–carbon ratio of 30:70. When the fracturing-fluid base is not fully mixed with CO2, its pH remains neutral at 7. However, upon complete mixing with CO2, the fracturing fluid becomes acidic, initiating a series of chemical reactions with the mineral composition of the rock [27]. These reactions involve mineral dissolution and the formation of new minerals, which are the primary factors influencing the change in shale permeability. In an acidic environment, feldspar, illite, and chlorite undergo partial dissolution, leading to the formation of more stable minerals such as quartz and kaolinite. This transformation process results in an increase in quartz content as the reaction progresses. Additionally, calcite, being a typical carbonate mineral, is consumed in this acidic environment, leading to a decrease in its content over time.
The permeability testing results are depicted in Figure 14. The permeability of the untreated shale was 474 nD. The permeability of shale in a slickwater environment exhibited a clear decreasing trend over time. After 3 days, 5 days, and 7 days of hydration reaction, the shale permeability values were recorded as 313 nD, 249 nD, and 217 nD, respectively. The absorption of water may induce swelling and expansion of clay minerals [28]. Water absorption causes shrinkage of pore spaces and reduces pore connectivity, ultimately resulting in decreased permeability. In contrast, the variation of shale permeability is more complicated when it is exposed to a CO2-based fracturing fluid environment. After 3 days of reaction, the permeability of the shale matrix increased to 541 nD, indicating an enlargement effect due to chemical reactions, leading to improved pore connectivity and increased permeability. Subsequently, after 5 days of reaction, the matrix permeability exhibited a downward trend, dropping to 314 nD. This suggested that the chemical reaction was nearing completion, and while a small amount of water in the fracturing fluid might cause hydration expansion leading to core damage, the permeability changes were relatively minor with further extension of the reaction time. Finally, after 7 days of reaction, the permeability stabilized, indicating that CO2–water–rock interaction had minimal influence on permeability at this stage. This stability suggested that the chemical reactions had reached equilibrium, resulting in a relatively stable permeability state in the shale matrix. Indeed, while CO2 fracturing fluid can still cause some damage to the reservoir, the extent of damage is generally less severe than that induced by water-based fracturing fluids. This is primarily due to the chemical properties of CO2 and its interaction with the reservoir rock. One advantage of CO2 fracturing fluid is its ability to undergo a phase change, transitioning from a supercritical state to a gaseous state upon depressurization. This phase change facilitates the rapid flowback of the fracturing fluid from the reservoir, minimizing the duration of fluid–rock interaction and reducing potential damage to the formation. Efficient flowback of the CO2 fracturing fluid is key to further reducing reservoir damage and enabling efficient reservoir development.
Figure 14.
Permeability variation with different fracturing fluid treatments.
3.3. True Triaxial Fracturing Experiment Results
In this section, fracture morphology and propagation characteristics with different fracturing media were studied. To ensure experimental consistency, all rock samples were subjected to the same stress state, and both fracturing fluids were injected into the core at the same rate through the wellbore.
The shale samples exhibited prominent bedding development and typical layered stacking characteristics, indicative of their sedimentary origin. The presence of distinct bedding planes is essential for understanding fracture propagation behavior, as these planes can influence the path and orientation of fractures within the rock matrix (Figure 15 and Figure 16).
Figure 15.
Reconstruction image of hydraulically fractured shale sample.
Figure 16.
Reconstruction image of CO2 quasi-dry fractured shale sample.
- Fractures induced by slickwater
The injection of water into the core resulted in the formation of a single symmetrical two-winged slit fracture. This fracture initiated along the borehole and propagated radially outward, creating a distinct fracture pattern. Analysis of CT results revealed that the average crack width generated by water injection measured 0.27 mm, with the resulting crack volume calculated at 1296 mm3.
- 2.
- Fractures induced by CO2 fracturing fluid
As depicted in Figure 16, fractures formed by CO2 injection exhibited greater complexity than those induced by water. The CO2-induced fractures displayed a variety of characteristics, including fractures along bedding planes and fractures cutting through the bedding. Some fractures expanded rapidly along weak surfaces such as filling joints within the core, while others extended vertically through original veins and weak surfaces. Additionally, some fractures changed direction upon encountering weak surfaces, leading to the complete opening of these weak surfaces and resulting in the complete fracturing of the core. This multifaceted behavior culminated in the formation of a more intricate fracture network.
CT results revealed that although the fractures induced by CO2 fracturing fluid were narrower than water-induced fractures, with an average width of 0.14 mm, the resulting fracture volume was significantly higher. Specifically, the fracture volume generated by CO2 hydraulic fracturing was approximately 7.6 times that induced by water, totaling about 9873 mm3.
4. Conclusions
In this paper, a comprehensive investigation of CO2 quasi-dry fracturing in shale reservoirs was conducted. The rheological characteristics of CO2 fracturing fluid under high temperature and pressure were determined through laboratory experiments, and the fracture distribution characteristics and matrix permeability changes under CO2 fracturing fluid treatment were evaluated. Several key findings were obtained:
- Compared to conventional water-based fracturing fluids, quasi-dry CO2 fracturing fluid causes less damage to the reservoir. Under the influence of CO2 fracturing fluid, core permeability initially increases before decreasing. Short-term exposure to the fracturing fluid enhances reservoir permeability, but prolonged exposure is detrimental.
- The acidic environment of CO2 quasi-dry fracturing fluid promotes the dissolution of feldspar, illite, and chlorite minerals, which initially compensates for the decrease in permeability caused by shale expansion. However, as soaking time increases, the weakening effect of chemical reactions allows shale hydration expansion to regain dominance, leading to a decrease in shale permeability.
- The viscosity of conventional CO2 is insufficient for proppant transport into fractures, and water-based thickeners are necessary to improve CO2 viscosity. Rheological tests demonstrate that a water–carbon ratio of 3:7 yields a maximum viscosity of 104 mPa·s for CO2 fracturing fluid. Adjusting the water proportion affects viscosity, with higher proportions leading to decreased viscosity. Additionally, temperature significantly influences fracturing fluid viscosity.
- Fractures formed by conventional water-based fracturing fluids tend to be relatively singular, with small volumes but larger widths (approximately 0.27 mm). In contrast, fractures induced by CO2 fracturing fluid exhibit larger volumes, with an average width of only 0.14 mm.
- CO2 fracturing fluid exhibits a high rock-breaking ability. Particularly, in cores with numerous weak surfaces, the fluid tends to rapidly open along these weak surfaces, leading to the formation of a complex fracture network.
Author Contributions
Conceptualization, Y.W. (Yong Wang); software, Y.L.; validation, Y.W. (Yongkang Wang); formal analysis, B.S.; investigation, Y.D.; resources, S.X.; data curation, L.H.; writing—original draft, B.Z.; writing—review and editing, X.L.; visualization, M.W.; supervision, W.T. All authors have read and agreed to the published version of the manuscript.
Funding
This research was funded by National Natural Science Foundation of China (No. 52174045).
Data Availability Statement
The data presented in this study are available on request from the corresponding author.
Conflicts of Interest
Authors Bo Zheng, Yong Wang, Yipeng Li, Binbin Shen, Yongkang Wang, Yougen Deng, Mingjiang Wu, and Shangyong Xi were employed by the Tuha Underground Operation Company, CNPC Western Drilling Engineering Co., Ltd. The remaining authors declare that the research was conducted in the absence of any commercial or financial relationships that could be construed as a potential conflict of interest. The Underground Operation Company, CNPC Western Drilling Engineering Co., Ltd. had no role in the design of the study; in the collection, analyses, or interpretation of data; in the writing of the manuscript, or in the decision to publish the results.
References
- Tudor, R.; Vozniak, C.; Peters, W.; Banks, M.-L. Technical advances in liquid CO2 fracturing. In Proceedings of the Annual Technical Meeting, Calgary, AB, Canada, 11–14 June 1994. [Google Scholar]
- Jia, B.; Tsau, J.-S.; Barati, R. A review of the current progress of CO2 injection EOR and carbon storage in shale oil reservoirs. Fuel 2019, 236, 404–427. [Google Scholar] [CrossRef]
- Johnson, J.M.-F.; Franzluebbers, A.J.; Weyers, S.L.; Reicosky, D.C. Agricultural opportunities to mitigate greenhouse gas emissions. Environ. Pollut. 2007, 150, 107–124. [Google Scholar] [CrossRef] [PubMed]
- Metcalf, G.E. On the economics of a carbon tax for the United States. Brook. Pap. Econ. Act. 2019, 2019, 405–484. [Google Scholar] [CrossRef]
- Tang, W.; Sheng, J.J. Huff-n-puff gas injection or gas flooding in tight oil reservoirs? J. Pet. Sci. Eng. Fract. Mech. 2022, 208, 109725. [Google Scholar] [CrossRef]
- Alemu, B.L.; Aagaard, P.; Munz, I.A.; Skurtveit, E. Caprock interaction with CO2: A laboratory study of reactivity of shale with supercritical CO2 and brine. Appl. Geochem. 2011, 26, 1975–1989. [Google Scholar] [CrossRef]
- Asadi, M.; Scharmach, W.; Jones, T.; Sampayo, A.; Chesney, E.; Unruh, D. Water-Free Fracturing: A Case History. In Proceedings of the SPE/CSUR Unconventional Resources Conference, Calgary, AB, Canada, 20–22 October 2015. [Google Scholar]
- Rempel, K.U.; Liebscher, A.; Heinrich, W.; Schettler, G. An experimental investigation of trace element dissolution in carbon dioxide: Applications to the geological storage of CO2. Chem. Geol. 2011, 289, 224–234. [Google Scholar] [CrossRef]
- Zhi, Y.; Caineng, Z.; Songtao, W.; Senhu, L.; Songqi, P.; Xiaobing, N.; Guangtian, M.; Zhenxing, T.; Guohui, L.; Jiahong, Z.; et al. Formation, distribution and resource potential of the “sweet areas (sections)” of continental shale oil in China. Mar. Pet. Geol. 2019, 102, 48–60. [Google Scholar] [CrossRef]
- Fu, C.; Liu, N. Waterless fluids in hydraulic fracturing–A review. J. Nat. Gas Sci. Eng. 2019, 67, 214–224. [Google Scholar] [CrossRef]
- Speight, J.G. Shale Oil Production Processes; Gulf Professional Publishing: Houston, TX, USA, 2012. [Google Scholar]
- Tang, W.; Peng, Z.; Sheng, J.J. Evaluation of CO2 utilization and storage potential in the Jimsar shale play from an optimization study. Geoenergy Sci. Eng. 2023, 224, 211607. [Google Scholar] [CrossRef]
- Middleton, R.S.; Carey, J.W.; Currier, R.P.; Hyman, J.D.; Kang, Q.; Karra, S.; Jiménez-Martínez, J.; Porter, M.L.; Viswanathan, H.S. Shale gas and non-aqueous fracturing fluids: Opportunities and challenges for supercritical CO2. Appl. Energy 2015, 147, 500–509. [Google Scholar] [CrossRef]
- Xia, Y.; Li, L.; Wang, Z. Experimental and numerical study on influencing factors of replacement capacity and slickwater flowback efficiency using pre-CO2 fracturing in tight oil reservoirs. J. Pet. Sci. Eng. 2022, 215, 110697. [Google Scholar] [CrossRef]
- Abedini, A.; Torabi, F. On the CO2 storage potential of cyclic CO2 injection process for enhanced oil recovery. Fuel 2014, 124, 14–27. [Google Scholar] [CrossRef]
- Gozalpour, F.; Ren, S.R.; Tohidi, B. CO2 EOR and storage in oil reservoir. Oil Gas Sci. Technol. 2005, 60, 537–546. [Google Scholar] [CrossRef]
- Kim, T.H.; Cho, J.; Lee, K.S. Evaluation of CO2 injection in shale gas reservoirs with multi-component transport and geomechanical effects. Appl. Energy 2017, 190, 1195–1206. [Google Scholar] [CrossRef]
- Hou, L.; Zhang, S.; Elsworth, D.; Liu, H.; Sun, B.; Geng, X. Review of fundamental studies of CO2 fracturing: Fracture propagation, propping and permeating. J. Pet. Sci. Eng. 2021, 205, 108823. [Google Scholar] [CrossRef]
- Michels, A.; Botzen, A.; Schuurman, W. The viscosity of carbon dioxide between 0 °C and 75 °C and at pressures up to 2000 atmospheres. Physica 1957, 23, 95–102. [Google Scholar] [CrossRef]
- Middleton, R.; Viswanathan, H.; Currier, R.; Gupta, R. CO2 as a fracturing fluid: Potential for commercial-scale shale gas production and CO2 sequestration. Energy Procedia 2014, 63, 7780–7784. [Google Scholar] [CrossRef]
- Zhao, M.; Li, Y.; Gao, M.; Wang, T.; Dai, C.; Wang, X.; Guan, B.; Liu, P. Formulation and performance evaluation of polymer-thickened supercritical CO2 fracturing fluid. J. Pet. Sci. Eng. 2021, 201, 108474. [Google Scholar] [CrossRef]
- Li, Q.; Wang, Y.; Wang, F.; Li, Q.; Kobina, F.; Bai, H.; Yuan, L. Effect of a modified silicone as a thickener on rheology of liquid CO2 and its fracturing capacity. Polymers 2019, 11, 540. [Google Scholar] [CrossRef]
- Luo, X.; Wang, S.; Wang, Z.; Jing, Z.; Lv, M.; Zhai, Z.; Han, T. Experimental investigation on rheological properties and friction performance of thickened CO2 fracturing fluid. J. Pet. Sci. Eng. 2015, 133, 410–420. [Google Scholar] [CrossRef]
- Li, Q.; Wang, Y.; Wang, X.; Yu, H.; Li, Q.; Wang, F.; Bai, H.; Kobina, F. An application of thickener to increase viscosity of liquid CO2 and the assessment of the reservoir geological damage and CO2 utilization. Energy Sour. Part A Recovery Util. Environ. Eff. 2019, 41, 368–377. [Google Scholar]
- Lu, Y.; Liu, J.; Tang, J.; Ao, X.; Li, H.; Zhou, J.; Sun, X. Pore changes of slickwater-containing shale under supercritical CO2 treatment. Fuel 2022, 312, 122775. [Google Scholar] [CrossRef]
- Tian, S.; Zhou, J.; Xian, X.; Gan, Q.; Yang, K.; Zheng, Y.; Deng, G.; Zhang, F. Impact of supercritical CO2 exposure time on the porosity and permeability of dry and wet shale: The influence of chemo-mechanical coupling effects. Energy 2023, 270, 126905. [Google Scholar] [CrossRef]
- Li, S.; Zhang, S.; Xing, H.; Zou, Y. CO2–brine–rock interactions altering the mineralogical, physical, and mechanical properties of carbonate-rich shale oil reservoirs. Energy 2022, 256, 124608. [Google Scholar] [CrossRef]
- Muhammed, N.S.; Olayiwola, T.; Elkatatny, S. A review on clay chemistry, characterization and shale inhibitors for water-based drilling fluids. J. Pet. Sci. Eng. 2021, 206, 109043. [Google Scholar] [CrossRef]
Disclaimer/Publisher’s Note: The statements, opinions and data contained in all publications are solely those of the individual author(s) and contributor(s) and not of MDPI and/or the editor(s). MDPI and/or the editor(s) disclaim responsibility for any injury to people or property resulting from any ideas, methods, instructions or products referred to in the content. |
© 2024 by the authors. Licensee MDPI, Basel, Switzerland. This article is an open access article distributed under the terms and conditions of the Creative Commons Attribution (CC BY) license (https://creativecommons.org/licenses/by/4.0/).















