Abstract
In recent years, the production of municipal sludge has gradually increased, and finding suitable sludge treatment and disposal technologies is an urgent problem that needs to be solved. Bio-drying of sludge is a relatively efficient and convenient drying method, but currently, there are still problems with unstable drying effects and high moisture content of dried products, which limits the subsequent utilization of bio-drying products. This article uses a thermal assisted bio-drying device that simulates carbonization waste heat reflux, and uses corncob, straw, sawdust, and rice husk as conditioners to carry out bio-drying of dehydrated sludge. The influence of the types and ratios of conditioner under thermal assistance on the bio-drying of dehydrated sludge is explored. The results showed that the moisture removal efficiency of the corncob and straw groups was better, and their material moisture content could be reduced to below 10% within 24 h. The lower calorific value of straw-sludge drying products was the highest, at 11,608.8 kJ/kg. The best conditioner under the conditions of this experiment was straw, and the drying effect was best when the mass ratio of dehydrated sludge to straw was 4:1. The research results contribute to promoting the development of sludge bio-drying technology.
1. Introduction
With the advancement of industrialization and urbanization, the amount of sewage discharge and treatment is increasing at a rapid speed, and the amount of sludge is also increasing [1]. However, the vast majority of sludge has not been properly treated [2]. At present, almost all sewage treatment plants in the country are troubled by the problem of sludge treatment and disposal. The market for sludge treatment and disposal is becoming increasingly standardized, and the requirements of that are becoming increasingly strict. Traditional treatment and disposal models can no longer adapt to changes in environmental protection requirements. Finding suitable sludge treatment and disposal technologies is an urgent problem that needs to be solved [3].
Sludge drying is an important way to achieve sludge resource utilization, and bio-drying is gradually becoming a treatment method to further reduce the moisture content of dehydrated sludge due to its economic and environmental friendliness. Compared to traditional thermal drying, the heat generated by microbial life activities during the bio-drying process can significantly reduce drying energy consumption [4], and co-directional heat and mass transfer also greatly improve energy utilization efficiency [5]. Compared to emerging drying technologies such as frying drying and microwave drying, bio-drying has simpler operations, fewer restrictions, and a wider range of product uses. Therefore, bio-drying is an ideal technology for treating dehydrated sludge, with significant research and application values [6].
In the traditional bio-drying process, the life activities of microorganisms are easily affected by various environmental factors, and there is less organic matter available for direct utilization by microorganisms in the dehydrated sludge. However, the heat in the traditional bio-drying process mainly comes from the life activities of microorganisms [7]. Therefore, microbial heat production is unstable, the drying effect is not ideal, and the subsequent utilization of drying products is limited [8]. Therefore, the optimization of bio-drying technology can be achieved through thermal assistance and the addition of conditioners to enhance the drying effect.
Thermal assistance is one of the important conditions determining the drying effect. Temperature is a key factor affecting drying kinetics [9]. Providing an appropriate high-temperature environment within the tolerance range of microorganisms can accelerate enzymatic reactions, facilitate the selection of functional microorganisms, and enhance the synergistic effect between microbial communities, enabling materials to reach the high-temperature stage in a short period of time, thereby shortening the operating cycle [10,11,12,13]. High temperatures can also increase the saturated vapor pressure of the intake, enhance the ability of the intake to carry moisture, and improve the convective effect [14]. Conventional thermal assistance uses a heat source for heating, which requires specialized heat source equipment, and generates a certain amount of energy consumption. Considering the continuity between the drying and carbonization processes, the drying process requires heating to assist the reaction, and the carbonization process generates a significant amount of heat. Therefore, the residual heat from carbonization can be refluxed to the drying system, creating a high-temperature environment without adding a heat source. The material can reach the high-temperature stage in a short period of time, improving the drying rate.
Conditioners play an important role in the bio-drying process of sludge. By adding conditioners, the porosity of the mixed material can be increased, the initial moisture content can be reduced, and the organic matter content can be increased, thereby improving the bio-drying performance of sludge and enhancing the drying effect [5,15]. Some conditioners are natural substances, but some need to be processed from raw materials. In the context of carbon neutrality, reducing carbon emissions in the sewage treatment industry is mainly achieved by reducing agent and energy consumption [16]. As agricultural waste such as straw, sawdust, and rice husks are natural substances, they have the advantages of easy access to raw materials, low cost, and a good improvement effect on sludge performance. Therefore, this type of plant-based biomass is usually chosen as a conditioner to improve sludge dewatering and bio-drying performance [17,18]. Because the type and ratio of conditioning agents can affect the effectiveness of sludge bio-drying [6,19,20,21,22], it is necessary to study the optimal conditioner for sludge bio-drying and optimize the ratio of conditioners to minimize the moisture content of drying products and retain their calorific value. This is crucial for further promoting sludge bio-drying technology.
Reducing carbon emissions during sludge bio-drying process can be achieved by reducing agent and energy consumption, while improving the effectiveness of sludge bio-drying can be achieved by thermal assistance and adding conditioners. Taking into account the two aspects above, this study starts from the perspective of treating waste with waste, using agricultural waste as a conditioner for bio-drying, and using carbonization waste heat to provide thermal assistance to the drying system. The aim is to improve the drying effect, promote bio-drying technology, and reduce the carbon emissions in the sewage treatment industry.
This study used a self-designed thermal assisted bio-drying integrated device to simulate carbonization reflux waste heat through direct heating. Plant-based biomasses were used as conditioners to analyze the heating capacity, water removal effect, and drying product calorific value of different types of plant-based biomass conditioners under thermal assisted conditions. The conditioners and drying products were characterized and analyzed, and further analysis was conducted on the impact of different ratios of conditioners on the bio-drying effect of dehydrated sludge. In subsequent practical engineering applications, actual carbonization waste heat will be refluxed, in order to provide corresponding scientific basis for the further promotion and application of sludge bio-drying technology. At present, there have been studies on the impact of the types and ratios of conditioners and system temperature on the bio-drying effect of dehydrated sludge, but there are few studies on the combination of carbonization waste heat reflux and plant-based biomass conditioning, so this topic has certain research significance.
2. Materials and Methods
2.1. Experimental Materials
The municipal dehydrated sludge used in this experiment comes from a sewage treatment plant in Zhenjiang city. The sewage in the factory is mainly domestic sewage, and no industrial wastewater flows in. The plant-based biomass used for dehydrated sludge conditioning is straw, rice husk, sawdust, and corncob, with a particle size of 1 mm. The bacterial preparations inoculated in bio-drying are already domesticated composite thermophilic bacteria. The specific characterization results are provided in Table 1.
Table 1.
Comparison of different drying methods.
2.2. Experimental Setup
The experimental device used to explore the bio-drying effect of sludge consists of three parts: a reactor body, a ventilation and deodorization pipeline system, and an online control and monitoring system. The reactor box is a stainless-steel drying chamber composed of a 30 cm cube and a curved surface with a radius of 15 cm, with an effective volume of 40 L. The upper part is equipped with a square sampling port, from which sludge is discharged into the chamber. When conducting bio-drying experiments, the sampling port is closed. There is a circular sample outlet at the bottom, and the nut of the outlet can be loosened to clean the chamber after the experiment. The sludge is stirred by the stirring shaft and two stirring blades inside the chamber. The internal structure of the reaction box is provided in Figure 1.
Figure 1.
Internal structure of the reaction chamber.
The system uses a high-temperature-resistant dehumidification fan to forcibly extract air through a 30 mm air outlet above the side wall of the drying chamber through negative pressure suction. The water vapor and harmful gases generated by sludge bio-drying are extracted through this air outlet, and the start and stop of the dehumidification fan are controlled through feedback from two factors: time and temperature. After the dehumidification fan is turned on, a negative pressure state is formed inside the drying chamber, and air enters the drying chamber through the non-enclosed area of the chamber. There is a deodorization box installed on the outlet pipeline system, where activated carbon and sponge are placed to adsorb the odor substances in the discharged gas. The temperature of sludge and hot gas inside the drying chamber are measured by the digital thermocouples inside, and the air humidity at the inlet and outlet are also monitored in real time by the humidity sensor inside.
2.3. Experimental Methods
2.3.1. Experimental Procedures
- Before the start of the bio-drying experiment, a dose of composite thermophilic bacteria with a mass ratio of 100:1 was inoculated, and the material was fed into the reactor. The ventilation rate, heating temperature, upper and lower limits of material temperature, stirring speed, and stirring frequency were set through the digital panel. After ensuring that the sampling port above was closed, the control system was activated to start the bio-drying experiment.
- During the bio-drying experiment, each group of experiments used a stirrer to continuously stir the materials, with a stirring frequency of 4.6 r/min and a ventilation rate of 1.58 L/(min·kg). During the experiment, samples were taken every 2 h to measure the moisture content, thermocouples were used to record the temperature changes in the stack every 5 min, humidity sensors were used to monitor the moisture content changes in the inlet and outlet air, and samples were taken every 2 h to measure the moisture content changes in the mixed materials.
- After the bio-drying experiment was completed, we stopped the reactor control system, opened the discharge port below, cleaned the drying products, and conducted the moisture content test. After sealing the remaining products, we sent them to a professional testing institution for characterization of calorific value. After the temperature inside the reactor returned to room temperature, we proceeded to the next set of bio-drying experiments.
2.3.2. Characterization
The characterization methods, and instrument models of experimental raw materials and products are shown in Table 2.
Table 2.
Basic properties of experimental raw materials.
3. Results
3.1. The Effect of Thermal Assistance on Dehydrated Sludge Bio-Drying
This study uses direct heating to simulate the utilization of waste heat from carbonization gas reflux and compare the thermal assisted bio-drying system with the traditional bio-drying system without thermal assistance and the direct thermal drying system. The specific parameters are provided in Table 3.
Table 3.
Characterization methods of raw materials and products.
3.1.1. Temperature Changes
The temperature changes and accumulation of materials in thermal assisted bio-drying systems (A1), thermal drying systems (A2), and traditional bio-drying systems (A3) are shown in Figure 2.
Figure 2.
Change and accumulation of material temperatures in different systems.
The heating potential of materials in the A3 system is relatively low, and the material temperature is maintained at room temperature, which is around 25 °C. It does not rise to the temperature range suitable for the growth of thermophilic bacteria within 24 h. In addition, the A3 system is significantly affected by room temperature, and during continuous operation, the material temperature also decreases due to the decrease in temperature at night. The material temperature of A1 and A2 systems rapidly increases under the heating effect of the system. In contrast, the material temperature in the A2 system is relatively high. After a 3.5 h heating, the material temperature stabilizes at around 45–47 °C, and there is no significant change until the end of the reaction.
Unlike the A2 system, in the A1 system, there is a phenomenon of a secondary increase in material temperature after it stabilizes. After an initial temperature rise of 3.5 h, the material temperature of the A1 system stabilized at around 40 °C. After a stabilization period of 13.5 h, a second temperature rise began, with a peak of 43.4 °C, which took 4.75 h. This second temperature rise may be due to the proliferation of thermophilic bacteria and the degradation of organic matter to produce bioheat [10]. After the second temperature rise, the temperature of the material begins to decrease. At the end of the reaction, the temperature of the material drops to around 36 °C, which is lower than the stable stage. This may be due to the degradation of organic matter, which reduces the total mass of the material and weakens the insulation effect of the system.
Using the cumulative temperature method [23], the data recorded by the temperature sensor are accumulated and calculated to compare the changes in material temperature in different systems. Linear fitting was performed on the cumulative temperature of materials in each system, and it was observed that the cumulative temperature curve of A3 group was significantly lower than that of A1 group and A2 group, indicating that thermal assistance can significantly increase system material temperature.
3.1.2. Moisture Removal Effect
The moisture removal performance of thermal assisted bio-drying systems, thermal drying systems, and traditional bio-drying systems is shown in Figure 3. The material moisture content in group A1 decreased from 86.6% to 42.9%, with a decrease of 43.7% and a relative removal of 50.5%. In group A2, it decreased from 87.2% to 79.2%, with a decrease of 8% and a relative removal of 9.2%. However, the moisture content of the A3 group material remained basically unchanged, with an initial and final moisture content of 86.4% and 86.3%, respectively, which is consistent with the moisture removal effect in the initial stage of traditional bio-drying experiments.
Figure 3.
Moisture removal in different systems.
From the above results, it can be seen that relying solely on bio-drying makes it difficult to increase the material temperature in the short term, and the system’s water evaporation effect and the ability of the intake to carry water are relatively poor, which in turn affects the removal of material moisture content. The thermal drying system also makes it difficult to remove a significant amount of water from the sludge within 24 h. This may be due to the low heating temperature, which is not enough to evaporate the water in the material. In addition, the limited number of thermophilic bacteria that can perform organic degradation in the system makes the sludge sticky, so the water is limited inside the sludge and difficult to remove.
By comparison, the thermal assisted effect can not only effectively increase the temperature of materials in the reaction system, but also enhance the water removal effect, which is consistent with the research results of Ma et al. [24]. Therefore, the thermal assisted bio-drying system has great potential for application in removing water from dehydrated sludge and is worth further exploration.
3.2. The Effect of Thermal Assisted Combined Plant-Based Biomass Conditioning on Dehydrated Sludge Bio-Drying
This study simulates the experimental process of integrated equipment for drying and carbonization, using direct heating to simulate the waste heat of carbonization gas production. In subsequent practical engineering applications, the recovered carbonization gas will be used to heat the drying system. Corncob, straw, sawdust, and rice husk were selected as conditioners. Under the action of thermal assistance, the effects of conditioner types and ratios on the bio-drying characteristics of sludge were explored, in order to provide corresponding scientific basis for the further promotion and application of sludge bio-drying technology.
3.2.1. The Effect of Different Types of Conditioners under Thermal Assistance on the Bio-Drying Characteristics of Dehydrated Sludge
Five experiment groups were set up using corncob, straw, sawdust, and rice husk as conditioners, numbered E1, E2, E3, E4, respectively, and with E5 as the control experiment. According to the results of multiple parallel pre-experiments, the ratio of sludge to conditioner is set at 4:1, and the total mass of the material is 5 kg. The specific material properties are shown in Table 4.
Table 4.
Control parameters of thermal assisted bio-drying, bio-drying, and direct thermal drying.
- Temperature changes
The temperature changes in the bio-drying system after adding different types of conditioners are shown in Figure 4. The E1 and E2 groups, as well as the E3 and E4 groups, respectively, show similar temperature changes. Compared to the control group, the speed of the first temperature rise and the temperature stability value after the first temperature rise were significantly improved after the addition of conditioners, and the first temperature rise was achieved within about 3 h, with a temperature stability of around 45 °C. The increase in material temperature during the initial stage of bio-drying was mainly due to the auxiliary effect of heating. It is inferred that the addition of conditioner improved the heat transfer performance of the bio-drying system.
Figure 4.
Temperature changes and accumulation under different types of conditioners.
After the first temperature rise, the temperatures of the E1 and E2 groups gradually decreased to around 38 °C, and there was no second temperature rise, which was possibly because the material temperature reached a suitable range for thermophilic bacterial proliferation after the first temperature rise, so there was no stable period between the first and second temperature rise. Additionally, due to the thermophilic bacteria proliferated and metabolized extensively in the early stage of the reaction, a significant amount of organic matter was degraded, which limited the further proliferation of thermophilic bacteria and gradually weakened microbial activity. And the material in the system was significantly reduced, leading to an accelerated rate of heat loss and a decrease in material temperature. The E3 and E4 groups experienced a brief period of temperature stabilization, with the material temperature maintained at around 44–46 °C after the first temperature rise; after a stable period of 6 h, a small second temperature rise occurred, with the highest temperatures reaching 48.2 °C and 47.3 °C, respectively. Subsequently, the temperature gradually decreased.
Under the same thermal auxiliary conditions, the material temperature was maintained within a relatively high range after adding a conditioner, which was conducive to the growth and proliferation of thermophilic bacteria. The overall temperature accumulation of the E1~E4 groups was not significantly different, while the temperature accumulation of the E5 group (10,850.6 °C·5 min) was significantly lower than that of the other four groups (12,041~13,041.2 °C·5 min), indicating that adding conditioners increased system temperature. Comparing the temperature accumulation of groups E1 to E4, it can be seen that rice husks and sawdust were more conducive to temperature maintenance.
- 2.
- Moisture removal effect
As shown in Figure 5, in the 24 h bio-drying experiment, the moisture content of the E1 group decreased from 71.69% to 4.20%, a decrease of 67.49%, and the E2 group decreased from 72.15% to 2.07%, a decrease of 70.08%. The removal trend of moisture content of bio-drying experiments in the E1 group was similar to the E2 group. The slow removal stage was 0–10 h, with a 2% reduction in moisture content per hour; 10–20 h was the rapid removal stage, and the rate of moisture content reduction was 2.5 times that of the slow stage; and 20–24 h was the stagnation stage and had no significant change in moisture content. According to the temperature changes in the materials, it can be seen that the period of significant moisture removal lagged behind the period of significant temperature rise.
Figure 5.
Moisture removal of mixed materials under different types of conditioners.
The moisture content of the E3 group decreased from 76.73% to 10.78%, a decrease of 65.95%, while the E4 group decreased from 73.32% to 16.03%, a decrease of 57.29%. The moisture removal trend of these two groups was relatively consistent, with a slow removal stage from 0 to 18 h, with a 1% decrease in moisture content per hour, which was slower than the E1 and E2 groups; then, 18–24 h was the rapid removal stage, with a maximum hourly moisture content removal rate of 10% and an average hourly moisture content reduction of 7%. In the latter half of the stage, there was a greater potential for moisture removal.
In comparison, the E1 and E2 groups had the best moisture removal efficiency, with the material moisture content dropping below 10% within 24 h. E3 and E4 groups took second place, and the moisture content of the material after reaction reached below 20%. The moisture content of the control experimental group without the addition of a conditioner was only reduced to 42.89%. Therefore, adding straw or corncob as a conditioner, setting the heating temperature at 75 °C, ventilation rate at 1.58 L/(min·kg), and using continuous turning mode can quickly reduce the moisture content of the material to below 10% after 24 h.
- 3.
- Product calorific value
The calorific value is the unit heat released by a substance after complete combustion and cooling to the temperature before combustion, which is closely related to the organic matter content and moisture content. As water is removed, the lower calorific value will continue to increase, while the degradation of organic matter will lead to a decrease in calorific value. To evaluate the economic feasibility of carbonization or incineration treatment, the calorific value of the dried products was measured, as shown in Table 5.
Table 5.
Basic properties of mixed materials under different types of conditioners.
The lower calorific value of each kilogram of standard coal is 29,307 kJ/kg, which translates to 1 kg of corncob-sludge drying product equivalent to 0.3 kg of standard coal, and 1 kg of straw-sludge drying product is equivalent to 0.40 kg of standard coal, higher than the other three groups of drying products. The requirement for feedstock in carbonization treatment is that the higher calorific value exceeds 15,000 kJ/kg. From the table, it can be seen that the calorific values of the four groups of sludge drying products with conditioners can meet the requirements of carbonization treatment.
According to the above experimental results, it can be concluded that corncob and straw are more effective as conditioners in the thermal assisted bio-drying experiment than rice husk and sawdust, which is consistent with the research results of Yuan et al. [25]. According to the research results of Zhang et al. [26], cellulose has been shown to be the most biodegradable among lignocellulose by microorganisms. However, Komilis et al. [27] found that lignin can shield around cellulose, hindering microbial degradation of cellulose. The raw material characterization data show that the cellulose content of the four conditioners is not significantly different, but the lignin content of rice husk and sawdust is significantly higher than that of corncob and straw. Based on the monitoring results of the bio-drying process, it is speculated that due to the different composition of lignocellulose in each conditioner, corncob and straw have better overall biodegradability than rice husk and sawdust. Therefore, sufficient organic matter can be added to the dehydrated sludge, which makes up for the lack of carbon source in the dehydrated sludge in this experiment. The research results of Petric et al. [28] also indicate that adding more wheat straw can produce more biodegradable carbon.
- 4.
- Surface morphology
Scanning Electron Microscopy (SEM) was used to characterize the morphology of various plant-based biomass and drying products.
- Corncob
From Figure 6a–c, it can be observed that the arrangement of the internal structure of corncob is not very regular, with fewer complete pore structures, larger but fewer pores, and relatively fewer attachment points. Figure 6d–f indicate that the pore structure and adhesive sites of the corncob-sludge drying product are basically covered and masked, possibly due to the attachment of microorganisms to the surface of the corncob, resulting in the formation of a layer of reaction residue on the surface. The surface pores are partially penetrated, while some remain in a circular structure. It is speculated that the irregular structure of the corncob results in a lack of clear flow channels for airflow and water to migrate inside the material, resulting in perforation in weaker areas of the material.
Figure 6.
Apparent morphology of corncob (a–c) and corncob-sludge drying products (d–f).
- Straw
Figure 7a–c show that the interior of the straw is a porous framework with many pores on the surface, which is conducive to water migration and the improvement in the structure of dehydrated sludge. Overall, straw structure is mostly rod-shaped, and its surface can provide more attachment points for microbial growth. Figure 6d–f indicate that the pore structure on the surface of the straw-sludge drying product and the exposed attachment points before the reaction are basically covered and masked. After reaction, the surface pores change from circular to elliptical, and the pore area increases. It is speculated that during the bio-drying process, the migration of airflow and water leads to the continuous expansion of pore size, and both airflow and water move forward along the direction of the rod-shaped structure, ultimately forming an elliptical structure.
Figure 7.
Apparent morphology of straw (a–c) and straw-sludge drying products (d–f).
- Sawdust
The apparent morphology of sawdust is shown in Figure 8a–c. The internal pores are regular hexagonal structures and arranged tightly, with a honeycomb shaped cross-section. Overall, the sawdust has a rod-shaped structure, and the rod-shaped body is not interconnected internally, with a large number of pores on the surface. The side and internal cross-section of the rod-shaped body can provide more attachment points for microorganisms, which is conducive to the migration of airflow and water. The surface of the reacted sawdust sludge product is shown in Figure 8d–f, showing a phenomenon of covering the attachment points and pores, with some rod-shaped pores collapsing and residual reaction residue on the surface.
Figure 8.
Apparent morphology of sawdust (a–c) and sawdust-sludge drying products (d–f).
- Rice husk
The apparent morphology of rice husk is shown in Figure 9a–c. The internal structure of rice husks is closely arranged with many pores, and there is a layer of film wrapped around the surface. Unlike the other three types of biomasses, the wrapping film on the surface of rice husks has neatly arranged tripod shaped protrusions, which can provide a certain number of attachment points for microbial growth. The rice husk sludge product after reaction is shown in Figure 9d–f, and the surface is also covered by residues. From the cross-section, the pores of the rice husk are basically blocked, and a significant amount of material is covered by the surface protrusions. Some of the material covering the surface of the rice husk is adhesive hyphae, indicating that microbial life activities have occurred on the surface and internal structure of the biomass during the bio-drying process.
Figure 9.
Apparent morphology of rice husk (a–c) and rice husk-sludge drying products (d–f).
3.2.2. The Effect of Conditioner Ratio under Thermal Assistance on the Bio-Drying Characteristics of Dehydrated Sludge
According to the results of multiple parallel pre-experiments, when the mass ratio of dehydrated sludge to conditioner is 5:1, the initial moisture content of the mixed material can be reduced to about 75%. When the dosage of conditioner is further increased to 3:1, the initial moisture content can be reduced to about 65%, which basically meets the requirements of composting.
Compared with the other three conditioners, the comprehensive drying effect of straw is better, and the cost is lower. Therefore, straw is selected as the conditioner to explore the effect of the conditioner ratio on the bio-drying experiment. The total mass of each group of stacked materials is 5 kg. Different ratios were obtained by adjusting the mass ratio of sludge to conditioner, and three groups were set up: F1, F2, and F3. The specific parameters are shown in Table 6.
Table 6.
Calorific value of bio-drying products under different conditioners.
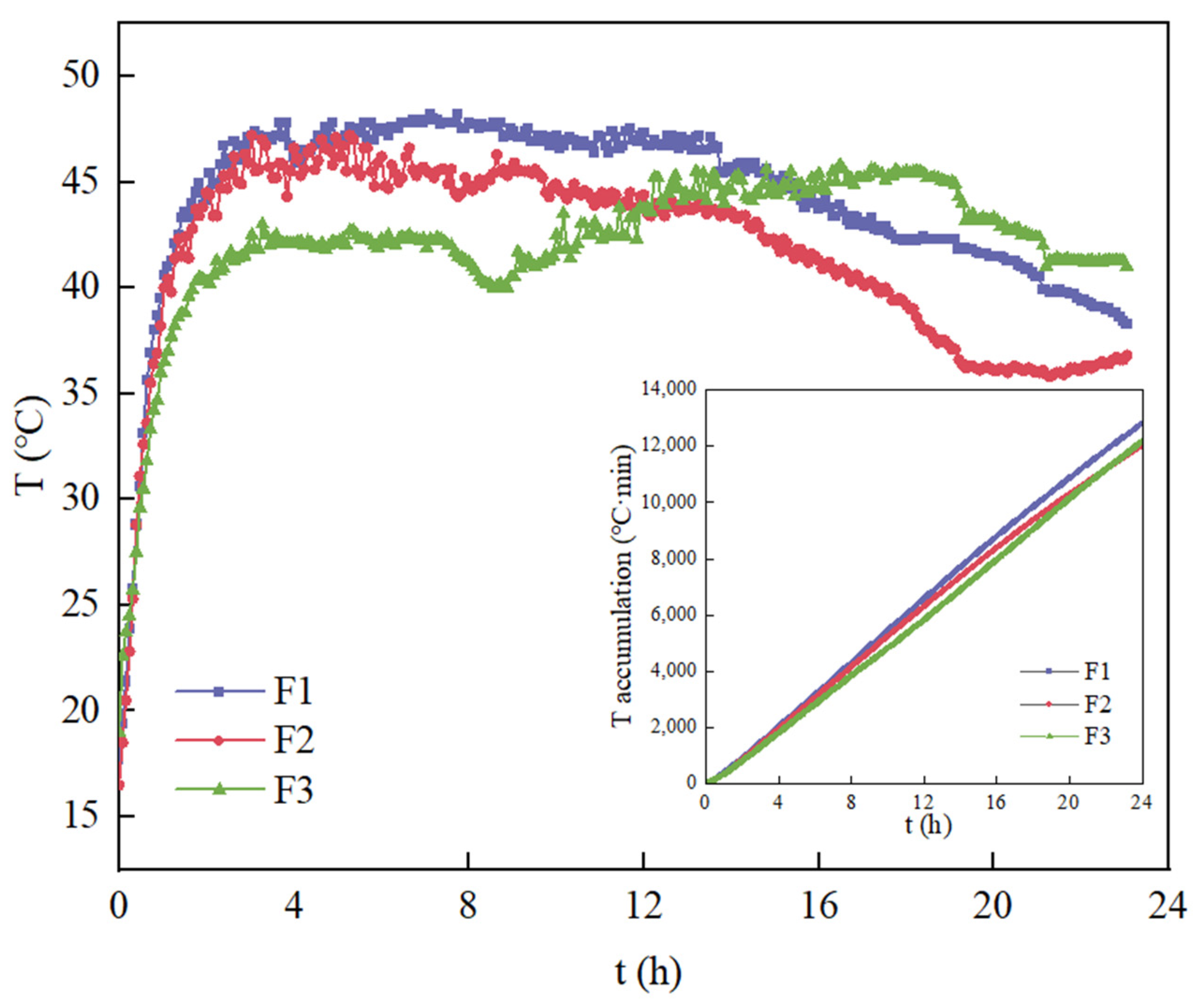
- Temperature changes
The temperature changes in the bio-drying system after adding different ratios of conditioner are shown in Figure 10. The overall temperature change trend of the F1 group and F2 group is similar. The initial temperature rise lasted for 2.5 h, followed by a stable period of 11.5 h. The material temperature remained stable at around 46–47 °C. Subsequently, the temperature of both groups began to decrease significantly, eventually dropping to 38–40 °C, and there was no significant second temperature rise. The speculated reason is that thermophilic bacteria proliferate extensively in the early stage of bio-drying experiments, leading to a rapid increase in temperature without a second temperature rise. After the available organic matter is consumed, the activity of thermophilic bacteria gradually weakens, and the temperature of the pile begins to gradually decrease. After the first temperature rise of 2.5 h, the F3 group entered a temperature stabilization stage that lasted for 5.5 h. Subsequently, a second temperature rise occurred, with a peak temperature of 45.8 °C. The second temperature rise stage took 10.5 h, and then the temperature began to decline.
Figure 10.
Temperature changes and accumulation under different ratios of conditioner.
Under the same system control conditions, the material temperature was maintained within a relatively high range after adding different proportions of conditioner, and the overall temperature accumulation of groups F1 to F3 was also fairly consistent. The research results indicate that the higher the proportion of conditioner added, the faster the temperature of the material rises, and the earlier the proliferation stage of thermophilic bacteria appears.
- 2.
- Moisture removal effect
As shown in Figure 11, after 24 h of the bio-drying experiment, the moisture content of the F1 group material decreased from 69.09% to 10.03%, a decrease of 59.06%, and the relative moisture removal rate reached 85.48%. The moisture content of F2 group materials decreased from 72.15% to 2.07%, with a decrease of 70.08%, and a relative moisture removal rate of 97.13%. The moisture content of F3 group materials decreased from 75.63% to 39.81%, a decrease of 35.82%, and the relative moisture removal rate was 47.36%.
Figure 11.
Moisture removal of materials under different ratios of conditioner.
The water removal of F1 and F3 groups can be divided into two stages: slow and fast. The slow removal stage for the F1 group is 0–14 h, and the fast removal stage is 14 h later. The F3 group was limited by the sampling time, and it is difficult to determine the specific boundary points between the two stages. The removal rates of F1 and F2 in the slow water removal stage are 1.15%/h and 0.59%/h, respectively, and the removal rates in the fast water removal stage are 4.30%/h and 2.40%/h, respectively. The water removal of the F2 group can be divided into three stages: slow, fast, and second slow. Due to sampling time constraints, it is difficult to accurately determine the specific time nodes of the first two stages. The moisture removal rates in the slow and fast stages of F2 group are 1.67%/h and 4.93%/h, respectively. When the drying process reaches the 20th hour, the moisture content of the material decreases to 6%. At this point, the second slow removal stage is entered, and the moisture removal rate is 1%/h.
Based on the trend of temperature changes, it can be seen that the F1 group begins to remove a significant amount of water when the temperature drops. This may be due to the evaporation of a significant amount of material moisture under ventilation, which absorbs the system heat. After 20 h, the water removal rate of group F2 decreased, while the temperature gradually increased; this may be due to the decrease in water evaporation rate. Additionally, the temperature gradually rose under the thermal assistance.
The experimental results show that the F1 and F2 groups have better water removal effects, and the moisture content of the materials can decrease to below 10% within 24 h. The moisture content of the F3 group materials is still relatively high after bio-drying. Therefore, under the conditions of this experiment, when the straw blending ratio is within 4:1, the moisture content of the material can quickly reach below 10% after 24 h.
- 3.
- Product calorific value
Statistical analysis was conducted on the calorific value of drying products with different proportions of conditioner added, and the statistical results are shown in Table 7. When the mass ratio of straw to sludge was 1:4, the wet-based lower calorific value was the highest, because the moisture content of the drying products in the F2 group was the lowest. As the proportion of straw added decreased, the dry-based higher calorific value of the drying products also decreased. The wet-based lower calorific value of drying products in the above three ratio experiments was higher than 5100 kJ/kg, which can be used as incineration raw materials. The dry-based higher calorific value reached over 15,000 kJ/kg, which can meet the feedstock standards for carbonization treatment (Table 8).
Table 7.
The basic properties of materials under different ratios of bulking agent.
Table 8.
Calorific value of bio-drying products under different conditioner ratios.
Overall, when the mass ratio of straw to sludge is 1:4, the moisture content of sludge bio-drying products is the lowest, the calorific value is the highest, and the comprehensive drying effect is the best. The reason may be that at this ratio, the porosity of the reactor body can meet the requirements of ventilation and oxygen supply, as well as the requirements of system insulation, and the aerobic reaction of microorganisms is carried out more fully. The high temperature generated is conducive to vaporizing the water inside the material into steam and carrying it out of the reactor through ventilation.
4. Conclusions
This research mainly discusses the impact of thermal assistance combined with plant-based biomass conditioning on the bio-drying of dehydrated municipal sludge. The drying effect is evaluated using indicators such as changes in process moisture content and product calorific value. The research results show that thermal assistance can increase the temperature of materials in the bio-drying system, making the water removal effect much better than that of thermal drying systems and traditional bio-drying systems. Adding plant-based biomass conditioners can effectively regulate the moisture content, C/N, and free space of mixed materials, as well as improve the material temperature and water removal efficiency. The higher calorific value of the dried products can meet the requirements of carbonization treatment for feed. The optimal conditioner in this study is straw, and the optimal mass ratio of dehydrated sludge to conditioner is 4:1.
This study recycled plant-based biomass and simulated the utilization of heat from the waste gas of the carbonization system. This not only improved the drying effect of sludge, but also reduced a significant amount of agent and energy consumption in practical applications. However, this study lacks in-depth exploration of the changes in microbial activity and dominant populations during the thermal assisted bio-drying process. In future research, specific pathways for organic matter degradation can be explored, and methods to enhance the effectiveness of bio-drying can be sought. In addition, further exploration is needed on the carbonization utilization of post drying products, as well as the reflux and heat utilization of carbonization gas produced after actual integration with the carbonization system.
Author Contributions
Conceptualization, H.L.; methodology, H.L. and Y.L.; validation, Y.L., H.L. and C.J.; formal analysis, Y.W.; resources, H.L.; writing—original draft preparation, Y.L.; writing—review and editing, L.X. All authors have read and agreed to the published version of the manuscript.
Funding
This research received no external funding.
Data Availability Statement
Data are contained within the article.
Conflicts of Interest
The authors declare no conflicts of interest.
References
- Wei, L.; Zhu, F.; Li, Q.; Xue, C.; Xia, X.; Yu, H.; Zhao, Q.; Jiang, J.; Bai, S. Development, current state and future trends of sludge management in China: Based on exploratory data and CO2-equivaient emissions analysis. Environ. Int. 2020, 144, 106093. [Google Scholar] [CrossRef] [PubMed]
- Zhang, Q.H.; Yang, W.N.; Ngo, H.H.; Guo, W.S.; Jin, P.K.; Dzakpasu, M.; Yang, S.J.; Wang, Q.; Wang, X.C.; Ao, D. Current status of urban wastewater treatment plants in China. Environ. Int. 2016, 92–93, 11–22. [Google Scholar] [CrossRef]
- Raheem, A.; Sikarwar, V.S.; He, J.; Dastyar, W.; Dionysiou, D.D.; Wang, W.; Zhao, M. Opportunities and challenges in sustainable treatment and resource reuse of sewage sludge: A review. Chem. Eng. J. 2018, 337, 616–641. [Google Scholar] [CrossRef]
- Cai, L.; Krafft, T.; Chen, T.B.; Lv, W.Z.; Gao, D.; Zhang, H.Y. New insight into biodrying mechanism associated with tryptophan andtyrosine degradations during sewage sludge biodrying. Bioresour. Technol. 2017, 244, 132–141. [Google Scholar] [CrossRef] [PubMed]
- Dos Reis, R.F.; Sergio Cordeiro, J.; Font, X.; Laguna Achon, C. The biodrying process of sewade sludge—A review. Dry. Technol. 2020, 38, 1247–1260. [Google Scholar] [CrossRef]
- Yañez, R.; Alonso, J.L.; Díaz, M.J. Influence of bulking agent on sewage sludge composting process. Bioresour. Technol. 2009, 100, 5827–5833. [Google Scholar] [CrossRef] [PubMed]
- Villegas, M.; Huiliñir, C. Biodrying of sewage sludge: Kinetics of volatile solids degradation under different initial moisture contents and air-flow rates. Bioresour. Technol. 2014, 174, 33–41. [Google Scholar] [CrossRef] [PubMed]
- Ma, J.; Zhang, L.; Mu, L.; Zhu, K.; Li, A. Multivariate insights of bulking agents influence on co-biodrying of sewage sludge and food waste: Process performance, organics degradation and microbial community. Sci. Total Environ. 2019, 681, 18–27. [Google Scholar] [CrossRef] [PubMed]
- Léonard, A.; Blacher, S.; Marchot, P.; Pirard, J.P.; Crine, M. Convective Drying of Wastewater Sludges: Influence of Air Temperature, Superficial Velocity, and Humidity on the Kinetics. Dry. Technol. 2005, 23, 1667–1679. [Google Scholar] [CrossRef]
- Fumihito, M.; Kazunori, I. Effect of compost temperature on oxygen uptake rate, specific growth rate and enzymatic activity of microorganisms in dairy cattle manure. Bioresour. Technol. 2006, 97, 961–965. [Google Scholar]
- Huang, D.-L.; Zeng, G.-M.; Feng, C.-L.; Hu, S.; Lai, C.; Zhao, M.-H.; Su, F.-F.; Tang, L.; Liu, H.-L. Changes of microbial population structure related to lignin degradation during lignocellulosic waste composting. Bioresour. Technol. 2009, 101, 4062–4067. [Google Scholar] [CrossRef] [PubMed]
- Tang, J.C.; Kanamori, T.; Inoue, Y.; Yasuta, T.; Yoshida, S.; Katayama, A. Changes in the microbial community structure during thermophilic composting of manure as detected by the quinone profile method. Process Biochem. 2003, 39, 1999–2006. [Google Scholar] [CrossRef]
- Cai, L.; Chen, T.B.; Gao, D.; Yu, J. Bacterial communities and their association with the bio-drying of sewage sludge. Water Res. 2016, 90, 44–51. [Google Scholar] [CrossRef] [PubMed]
- Zhao, L.; Gu, W.-M.; He, P.-J.; Shao, L.-M. Biodegradation potential of bulking agents used in sludge bio-drying and their contribution to bio-generated heat. Water Res. 2011, 45, 2322–2330. [Google Scholar] [CrossRef] [PubMed]
- Song, X.; Ma, J.; Gao, J.; Liu, Y.; Hao, Y.; Li, W.; Hu, R.; Li, A.; Zhang, L. Optimization of bio-drying of kitchen waste: Inoculation, initial moisture content and bulking agents. J. Mater. Cycles Waste Manag. 2017, 19, 496–504. [Google Scholar] [CrossRef]
- Liu, Z.; Xu, Z.; Zhu, X.; Yin, L.; Yin, Z.; Li, X.; Zheng, W. Calculation of carbon emissions in wastewater treatment and its neutralization measures: A review. Sci. Total Environ. 2024, 912, 169356. [Google Scholar] [CrossRef]
- Srivastava, R.K.; Shetti, N.P.; Reddy, K.R.; Kwon, E.E.; Nadagouda, M.N.; Aminabhavi, T.M. Biomass utilization and production of biofuels from carbon neutral materials. Environ. Pollut. 2021, 276, 116731. [Google Scholar] [CrossRef] [PubMed]
- Li, G.; Zhang, F.; Sun, Y.; Wong, J.W.C.; Fang, M. Chemical Evaluation of Sewage Sludge Composting as a Mature Indicator for Composting Process. Water Air Soil Pollut. 2001, 132, 333–345. [Google Scholar] [CrossRef]
- Kulikowska, D.; Bernat, K.; Zaborowska, M.; Zielińska, M. Municipal Sewage Sludge Composting in the Two-Stage System: The Role of Different Bulking Agents and Amendments. Energies 2022, 15, 5014. [Google Scholar] [CrossRef]
- Jemaat, Z.; Qi, Y.W. Spent Labisia pumilia as a bulking agent for palm oil mill sludge composting. Mater. Today Proc. 2022, 57, 1067–1070. [Google Scholar] [CrossRef]
- Zhang, D.; Luo, W.; Li, Y.; Wang, G.; Li, G. Performance of co-composting sewage sludge and organic fraction of municipal solid waste at different proportions. Bioresour. Technol. 2018, 250, 853–859. [Google Scholar] [CrossRef]
- Ponsá, S.; Pagans, E.; Sánchez, A. Composting of dewatered wastewater sludge with various ratios of pruning waste used as a bulking agent and monitored by respirometer. Biosyst. Eng. 2009, 102, 433–443. [Google Scholar] [CrossRef]
- Li, Q.; Cheng, T.; Lu, Y.; Zhang, B.; Huang, Y.; Yang, Y.; Li, C.; Li, J.; Wang, H.; Fu, P. Sludge low-temperature drying with mainly non-phase change in mere seconds based on particle high-speed self-rotation in cyclone. Water Res. 2022, 224, 119092. [Google Scholar] [CrossRef] [PubMed]
- Ma, J.; Zhang, L.; Mu, L.; Zhu, K.; Li, A. Energetic enhancement of thermal assistance in the cooling stage of biodrying by stimulating microbial degradation. Waste Manag. 2019, 89, 165–176. [Google Scholar] [CrossRef] [PubMed]
- Yuan, J.; Zhang, D.; Li, Y.; Chadwick, D.; Li, G.; Du, L. Effects of adding bulking agents on biostabilization and drying of municipal solid waste. Waste Manag. 2017, 62, 52–60. [Google Scholar] [CrossRef] [PubMed]
- Zhang, H.Y.; Krafft, T.; Gao, D.; Zheng, G.D.; Cai, L. Lignocellulose biodegradation in the biodrying process of sewage sludge and sawdust. Dry. Technol. 2017, 36, 316–324. [Google Scholar] [CrossRef]
- Komilis, D.P.; Ham, R.K. The effect of lignin and sugars to the aerobic decomposition of solid wastes. Waste Manag. 2003, 23, 419–423. [Google Scholar] [CrossRef]
- Petric, I.; Šestan, A.; Šestan, I. Influence of wheat straw addition on composting of poultry manure. Process Saf. Environ. Prot. 2009, 87, 206–212. [Google Scholar] [CrossRef]
Disclaimer/Publisher’s Note: The statements, opinions and data contained in all publications are solely those of the individual author(s) and contributor(s) and not of MDPI and/or the editor(s). MDPI and/or the editor(s) disclaim responsibility for any injury to people or property resulting from any ideas, methods, instructions or products referred to in the content. |
© 2024 by the authors. Licensee MDPI, Basel, Switzerland. This article is an open access article distributed under the terms and conditions of the Creative Commons Attribution (CC BY) license (https://creativecommons.org/licenses/by/4.0/).










