Next Article in Journal
Quality Evolution of Extra Virgin Olive Oils of ‘Chemlal’ Cultivar during Storage at Environment Temperature: Effect of the Altitude and Age of Olive Trees
Next Article in Special Issue
Acmella oleracea Metabolite Extraction Using Natural Deep Eutectic Solvents
Previous Article in Journal
Evaluation of Thermal Insulation of Vacuum-Insulated Casing to Prevent Uncontrollable Melting of Ice and Borehole Instability in Permafrost
Previous Article in Special Issue
Achievements and Challenges of Matrix Solid-Phase Dispersion Usage in the Extraction of Plants and Food Samples
 
 
Font Type:
Arial Georgia Verdana
Font Size:
Aa Aa Aa
Line Spacing:
Column Width:
Background:
Article

Impact of Spray Drying on the Properties of Grape Pomace Extract Powder

by
Betina Louise Angioletti Decker
1,
Emilio de Castro Miguel
2,
Thatyane Vidal Fonteles
3,
Fabiano A. N. Fernandes
1 and
Sueli Rodrigues
3,*
1
Chemical Engineering Department, Federal University of Ceara, Fortaleza 60440-900, Brazil
2
Metallurgical and Materials Engineering Department, Federal University of Ceara, Fortaleza 60440-554, Brazil
3
Food Engineering Department, Federal University of Ceara, Fortaleza 60440-900, Brazil
*
Author to whom correspondence should be addressed.
Processes 2024, 12(7), 1390; https://doi.org/10.3390/pr12071390
Submission received: 29 May 2024 / Revised: 30 June 2024 / Accepted: 2 July 2024 / Published: 3 July 2024
(This article belongs to the Special Issue Separation and Extraction Techniques in Food Processing and Analysis)

Abstract

Incorporating anthocyanins, valuable natural pigments, into a powder can improve their stability, but exposure to high temperatures during processing can cause them to degrade. The purpose of this study was to investigate how the inlet air temperature during spray drying affects the physical and chemical characteristics as well as the flowability of a grape pomace anthocyanin powder obtained through ultrasound-assisted extraction using acidified water as the solvent. An anthocyanin solution containing 13% (w/v) maltodextrin was subjected to spray drying at temperatures ranging from 120 to 170 °C. Tukey’s test was applied to compare the means of the samples. The samples dried at temperatures between 130 and 170 °C were adequate, with a moisture content < 5% and a water activity < 0.3, indicating that the powder was stable. The highest anthocyanin retention (91.94 ± 1.59%) and process yield (50.00 ± 3.06%) were achieved at 140 °C, while higher temperatures resulted in anthocyanin degradation. Furthermore, the powder exhibited poor flowability, indicating cohesive behavior (Hausner ratio > 42.29% and Carr index > 1.73), which is an industrial parameter rarely considered in spray-drying studies. The acidification process was found to promote high anthocyanin retention following high-temperature processing. However, powders obtained from food matrices with low pH and high sugar content may exhibit increased cohesion due to interaction forces. These findings highlight the potential of utilizing grape pomace and green solvents to produce bioactive-rich powders for industrial applications.

1. Introduction

The growing appreciation of functional foods is driving the demand for the development of food ingredients with improved nutritional quality. In this context, much attention has been given to natural compounds and their bioactive potential [1]. Anthocyanins are water-soluble phenolic pigments that present colorimetric and biological properties. The benefits associated with anthocyanins have increased the interest in studying their extraction from various food matrices [2,3].
Grape pomace stands out as an anthocyanin-rich residue from the beverage industry due to the incomplete pigment extraction during the winemaking process. Moreover, reusing grape pomace is an alternative to reduce the negative impact of its direct disposal in nature [4,5]. Six anthocyanin types are predominant in fruits and vegetables: cyanidin, delphinidin, pelargonidin, peonidin, petunidin, and malvidin [6]. From these, glycosylated malvidins are the most abundant in grape pomace, with malvidin diglucoside being the anthocyanin most abundant in Vitis labrusca varieties [7].
Several studies have focused on extracting anthocyanins from grapes using innovative technologies. Extraction is a valuable unit operation for recovering desirable compounds. However, the extract’s high water activity (aw) and the low stability of anthocyanins under several environmental conditions make further processing, such as drying, necessary to enhance stability. Drying not only ensures extract stability but also reduces transportation and storage costs [8,9].
Among the available technologies, spray drying is the most widely used process for drying and encapsulating anthocyanins [2]. In this process, a liquid medium is transformed into a powder by spraying the liquid feed into a hot gas over a very short contact time. Therefore, this technique enables the drying of heat-sensitive compounds like anthocyanins, which are also encapsulated and protected by the carrier agent used [10].
Contrastingly, spray drying may pose challenges like stickiness and low yields due to droplet adhesion to the dryer chamber walls. The sticky behavior of sugar-rich extracts may be attributed to the presence of low-molecular-weight sugars and their low glass transition temperature (Tg). To address this challenge and raise the Tg, carrier agents can be added to the solution. Maltodextrin is particularly effective because of its affordability, high solubility, and low viscosity [3,11,12].
The inlet air temperature (drying temperature) is one of the key factors that affects the spray-drying process, playing a crucial role in the powder’s physical and chemical properties. This temperature can lead to chemical changes in compounds, especially in heat-sensitive ones like anthocyanins. Additionally, the temperature directly affects the removal of water during the process, which in turn impacts important physical properties of the powder such as moisture content, aw, and flowability [13].
Various studies in the literature have explored the ideal temperature for encapsulating extracts rich in anthocyanins. Chuwattanakula et al. [14] suggested drying Karanda juice at 174 °C (temperature range studied: 160–200 °C) using a combination of maltodextrin and whey protein. Meanwhile, Rosales-Chimal et al. [15] examined the drying process of an anthocyanin extract from Solanum tuberosum using taro starch and suggested 125 °C as the ideal drying temperature. The results for the drying of Bordô grape extract using maltodextrin indicated that the ideal drying temperature depended on the content of the carrier agent, with the highest anthocyanin retention achieved with 30% maltodextrin at 170 °C [16]. However, most of the studies utilized ethanolic or non-acidified aqueous extracts, which could impact the retention of anthocyanins during spray drying. It is widely recognized that anthocyanins are more stable at low pH values (1–2). As a result, the use of acidified water could be a beneficial and environmentally friendly option for enhancing anthocyanin retention during the spray-drying process [17].
Additionally, these studies primarily focused on assessing the physicochemical properties of the powders. However, given that the powders are used as ingredients for various purposes in the food industry, evaluating their flow performance is crucial. Powder flowability is often disregarded during product development but can be a significant obstacle [18]. Flowability is crucial for finding the best conditions for handling and storing the product [18,19]. Thus, this study aimed to investigate how the air temperature used in spray drying affects the physical and chemical properties and the flowability of a grape pomace anthocyanin powder obtained through ultrasound-assisted extraction (UAE) using acidified water as a solvent. The evaluation included the process yield, anthocyanin retention, moisture content, water activity, and powder flowability.

2. Materials and Methods

2.1. Plant Material and Grape Pomace Drying

Grano D’Oro grape pomace (Vitis labrusca) was provided by wineries from Nova Trento (Santa Catarina, Brazil). After manually removing pomace seeds, it was dried in a convective air oven (TE-394/1, Tecnal, Piracicaba, Brazil) for 5 h at 60 °C. Then, the dried pomace was ground in a laboratory mill (A10, I.K.A., Campinas, Brazil), vacuum-packaged in polyethylene bags, and frozen at −20 °C until extraction. The frozen pomace was thawed at 4 °C before the experiments.

2.2. Ultrasound-Assisted Extraction (UAE) of Grape Pomace Anthocyanins

Anthocyanins were extracted from dried grape pomace (moisture content = 4.38% and aw = 0.249) through UAE, previously optimized (ultrasonic power = 500 W, extraction time = 5 min). The UAE of anthocyanins was optimized in preliminary tests, and the ultrasonic power and time that resulted in the highest anthocyanin content were chosen. UAE was carried out with 10 g of dried bagasse mixed with 200 mL of water acidified with hydrochloric acid, pH = 1.5, placed in a jacketed glass reactor with a capacity of 250 mL coupled to a thermostatic bath to maintain the temperature at 25 °C. The extractions were carried out in a probe ultrasound (Ultronique QR500, Indaiatuba, Brazil) working with a power density of 2.5 W/mL and frequency of 20 kHz holding a 4 mm diameter microtip submerged in the sample at a depth of 15 mm. The suspension was centrifuged at 10,000× g for 10 min and filtered through Whatman nº 01 filter paper. The processing was repeated 15 times to guarantee the volume necessary for the spray drying.

2.3. Production of Anthocyanin Powder by Spray Dryer

A 600 mL solution containing the anthocyanin extract and maltodextrin was prepared for each experiment. Each solution contained 80 mL of maltodextrin, corresponding to a carrier agent concentration of 13% (w/v). Drying was carried out in a spray drier (MSD 1.0, Labmac do Brasil, Ribeirão Preto, Brazil) containing a stainless-steel chamber, a spray nozzle diameter of 1.2 mm, a drying airflow of 1 m3/min, and a pressurized airflow of 30 L/min. These conditions were set based on equipment operation conditions. The carrier agent concentration and the feed flow rate were defined in preliminary tests, evaluating flow rates of 0.5 and 1 L/h and low contents of the carrier agent. The feed flow rate of 0.5 L/min and a concentration of 13% were chosen because they resulted in powders with lower moisture content and small adhesion to the chamber wall. The inlet air temperatures were 120, 130, 140, 150, 160, and 170 °C.
The powders were collected in 250 mL screw-capped bottles and stored in a refrigerator for 24 h before moisture content, aw, and powder flowability analysis. For the chemical analysis, the powder was stored in laminated packages (E.S.A.) composed of P.E.T., aluminum, and polyamide and frozen at –20 °C. Before analysis, the powders were thawed at 4 °C for 24 h.

2.4. Process Characterization

The air outlet temperatures were measured with a thermocouple attached to the spray drier between the drying chamber and the cyclone. The process yield was estimated as the ratio between the mass of powder obtained after drying (g) and the mass of solids at the spray dryer inlet (g), with results expressed as a percentage (%) [15].

2.5. Physico-Chemical Properties of the Liquid and Powder Extracts

The liquid extract was characterized according to its total anthocyanin content, and the powder was characterized according to total anthocyanins, moisture content, aw, and powder flowability.

2.5.1. Anthocyanin Content and Anthocyanin Retention

The powder was previously diluted in water in the proportion of 1 g/5 mL to determine the total anthocyanins. Before quantification, sugar was removed from the extracts by solid-phase extraction using a 6 mL Strata C18 cartridge [20].
The differential pH method determined monomeric anthocyanin content [21] by reading the absorbances at 520 and 700 nm. Pigment content was calculated as malvidin 3-glucoside (493 g/mol) using an extinction coefficient (ϵ) of 28,000 L/(cm mol) [22]. The results were expressed as malvidin 3-glucoside/L (liquid extract) and malvidin 3-glucoside/g powder (powder extract). The measurements were carried out using an Elisa reader spectrophotometer (Biotek Epoch, Winooski, VT, USA), and the Gen 5 1.10 software was used to process the data [23,24].
Anthocyanin retention (%) was determined by comparing the total anthocyanin content in the extract before the drying process with the anthocyanin content in the powder [16].

2.5.2. Moisture Content and Water Activity (aw)

Moisture content was measured on an infrared balance at 105 °C (ID50, Marconi). Aw was measured with an aw meter at 25 °C (AquaLab Decagon CX-2, Pullman, WA, USA).

2.5.3. Particle Morphology

Particle morphology was evaluated by scanning electron microscopy (S.E.M.). The powder obtained from spray drying was disposed in a thin layer on the carbon tape, glued in a stub, without pressure. The excess material was removed mechanically so that only the firmly adhered particles remained on the carbon tape. Subsequently, the material was sputtered and covered with 20 nm gold. Analysis was performed under a scanning electron microscope using a Quanta 450 FEG-FEI with a nominal resolution of 5 nm and an acceleration voltage of 20 kV operating at 25 kV at 10 nm of working distance.
For particle measurements, 150 particles from different images were chosen for observation. The measurements were performed using Fiji software (Image J 1.54f, Java 1.8.0-322, Bethesda, MD, USA) [25]. The size calibration was performed according to microscope parameters.

2.6. Powder Flowability

Powder flow characteristics of the samples were evaluated using Powder Flow Tester (PFT) equipment (Brookfield Engineering Laboratories, Middleborough, MA, USA). Approximately 15 g of anthocyanin powder was placed in circular stainless-steel trays and transferred to the device, where the flow function and wall friction tests were applied to determine bulk density, Carr index (CI) [26], Hausner ratio (H.R.) [27], flow index (IF) [28], and wall friction angle. CI, H.R., and IF were determined according to Equations (1)–(3), respectively. Then, the powders were classified according to their flowability, according to Table 1.
C I = α c α a α c
H . R . = α c α a
I F = σ 1 σ c
where CI = Carr index (%); H.R. = Hausner ratio; α a = bulk density (kg/m3); α c = packed density (kg/m3); IF = flow index; σ c = principal consolidation stress (kPa); and σ 1 = unconfined sliding stress (kPa).

2.7. Statistical Analysis

Analyses for anthocyanin retention, moisture content, and aw were performed in triplicate. Powder flow properties were measured in duplicate. Tukey’s test was carried out to compare the means of samples dried at different temperatures. All statistical analyses were conducted with STATISTICA software (Statsoft v14.0). The results were expressed as mean ± standard deviation.

3. Results

3.1. Process Characterization: Outlet Air Temperature and Process Yield

As Table 2 shows, the outlet air temperatures increased with the increase in the inlet temperature, ranging from 68.2 (120 °C) to 103.5 °C (170 °C).
The outlet air temperature is a crucial parameter in the spray-drying process. Along with the inlet air temperature, it significantly impacts the powder’s physicochemical properties. Goula et al. [29] stated that there is a narrow range of adequate outlet air temperature, which depends on the characteristics of the food product and the drying process. According to the authors, the process will not be economically feasible when this temperature is below the adequate range. When the temperature is above this range (Tg + 20 °C), the powder may present a sticky behavior, influencing the process yield.
Process yield is a crucial process variable for industries since it is directly related to production costs and efficiency [30]. Retention of the product on the drying chamber wall reduces process yield and has several negative impacts on the product and process: (1) it is not economical, as it requires the dryer to be shut down more frequently for cleaning; (2) it affects product quality, as accumulated material can contaminate the powder and exhibit different properties such as moisture content, solubility, and retention of bioactive compounds due to prolonged heat exposure; and (3) retention on the equipment walls affects drying capacity and reduces the heat transfer between the chamber walls and the flowing fluids [29].
This study’s process yield ranged from 43.02% to 50%, with the best yield obtained at a temperature of 140 °C (Table 2). These yields are consistent with those reported in the literature for spray drying using maltodextrin as a carrier agent for açaí extracts (39.02–55.66%) [31]. Increases in temperature from 120 to 140 °C increased the process yield by enhancing the temperature gradient between the drying air and the food product, thus improving heat and mass transfer and reducing the mass fraction of incomplete dried powder. When these incomplete dried powders hit the chamber, they tend to agglomerate. Therefore, when the drying is performed at a low temperature, a higher agglomeration in the chamber wall occurs, reducing the process yield. Then, increases in drying temperature (from a low to an adequate temperature) may reduce the powder’s moisture content and improve process yield.
However, drying at temperatures above 140 °C led to a slight reduction in the process yield in this study. When the temperature is too high, it presents a reverse relationship with drying yield, resulting in greater adhesion of the powder to the chamber wall. At high temperatures, particles and the dryer chamber may stick together, forming wall deposits [32]. Adhesion to the walls begins when the product temperature exceeds Tg + 10 °C, and stickiness begins when the temperature surpasses Tg + 20 °C [33].
The literature presents conflicting conclusions about the impact of temperature on process yield. Some studies indicate that higher drying temperatures result in increased process yield. Jafari et al. [34] reported increases in the yield when changing the temperature from 124 to 143 °C during the drying of pomegranate juice, and Laokuldilok et al. [35] observed that increasing the drying temperature from 140 to 180 °C increased the drying yield of an anthocyanin extract. Tonon et al. [31] reported increases in açai powder’s recovery when the drying temperature was increased from 138 to 202 °C. Some studies indicate an optimal temperature beyond which the process yield decreases. Rosales-Chimal et al. [15] observed an increase in process yield when the drying temperature increased from 90 to 125 °C, followed by a decrease at higher temperatures (125–160 °C). Goula and Adamopoulos [32] dried tomato pulp and observed that wall deposits decreased by increasing the inlet air temperature from 110 to 130 °C. In contrast, the increase from 130 to 140 °C increased the residue accumulation in the wall. Moreover, the authors suggested that the deposition began to occur when outlet air temperatures reached 80 °C.
The differences obtained for the best drying temperature from several food extracts are closely related to the feed mixture’s initial composition (sugar content in the extract and type and concentration of carrier agent) and other drying conditions, such as the temperature range and flow rate. It is well-stated that increasing the concentration of the carrier agent increases the Tg [36,37], thus increasing the temperature that optimizes the yield.

3.2. Powder Characterization

3.2.1. Anthocyanin Retention

The liquid extract obtained by UAE from grape pomace anthocyanins presented an anthocyanin content of 230.49 ± 3.80 mg/L. After the spray drying, the retention of anthocyanins in the powder ranged from 64.26% (160 °C) to 91.94% (140 °C), and significant differences (p < 0.10) in anthocyanin retention were observed among the samples (Figure 1).
The results presented herein (Figure 1) agree with those reported by other authors. De Souza et al. [16] found anthocyanin retention between 88.35 and 97% when drying an ethanolic extract of grape anthocyanin, using maltodextrin as a carrier agent (10–30%) and inlet temperatures 130–170 °C. Tonon et al. [31] reported an anthocyanin retention of 77–86% after drying açai pulp with maltodextrin (10–30%) over a temperature range of 138–202 °C. Alternatively, Silva et al. [38] evaluated the drying of an ethanolic acidified extract. The authors produced a jussara anthocyanin powder and observed an 88–98% anthocyanin retention.
In this work, an acidified aqueous extract was used, and the retention reached values greater than 90%, even using low concentrations of carrier agents (13%). This is highly significant as using a carrier agent alters the composition of the final product. Maltodextrin is a carbohydrate well suited for encapsulating anthocyanins due to its high resistance to temperature and the hydrophilic character of the pigment [39]. It is also suitable for food applications and classified as generally recognized as safe (GRAS) by the Food and Drug Administration [40]. However, using maltodextrin can affect the nutritional and organoleptic properties of the food product. Higher maltodextrin contents increase the product’s carbohydrate content, thereby reducing the levels of bioactive compounds and diminishing its nutritional value. Additionally, increased maltodextrin levels may impact the color of the product, as maltodextrin is a white filler that can reduce the powder’s redness [9].
Anthocyanins are pigments with low stability, influenced by pH, temperature, light, oxygen, etc. Due to their ionic nature, anthocyanins can undergo several transformations depending on the pH of the solution, with the ion flavylium (pH = 1–2) being the more stable form of anthocyanin [17]. Thus, using acid solvents for extract preparation can help protect anthocyanin from degradation during spray drying. Santos et al. [41] conducted a study that produced several spray-dried anthocyanin powders and examined the effect of pH (ranging from 2 to 6) on powder stability. They observed that the lowest pH (pH = 2) led to the best anthocyanin content immediately after the spray-drying process and improved anthocyanin retention during powder storage. Similarly, Betz and Kulozik [42] compared microencapsulation of extracted berry anthocyanins using whey protein at pH 1.5 and 3 and found that anthocyanin degradation was pH-dependent, with low pH values improving pigment retention.
When studying the impact of temperature on anthocyanin retention, it was observed that an increase in retention occurred when the inlet air temperature was raised from 120 °C to 140 °C. The higher temperatures improved heat and mass transfer and reduced the deposition of the food product on the chamber wall, which may contain anthocyanins. Additionally, higher drying temperatures resulted in a quicker formation of crust on the particles, preventing the leaching of anthocyanins and enhancing heat penetration in the droplets. Silva et al. [38] observed an increase in anthocyanin retention with the initial rise in temperature from 140 °C to 160 °C, followed by a decrease as the temperature increased from 160 °C to 180 °C. Their study evaluated drying at 140 °C, 160 °C, and 180 °C.
In the present study, temperatures above 140 °C promoted losses in anthocyanin retention, likely due to thermal degradation and oxidation [34]. Although the contact time during spray drying is very short, it may be enough to cause anthocyanin degradation at high temperatures. Interestingly, an increase in anthocyanin retention was observed when the temperature rose from 160 to 170 °C. De Souza et al. [16] also noted a drop in the retention of anthocyanins between 130 and 150 °C, followed by a slight increase between 150 and 170 °C when maltodextrin was used at a concentration of 10% (like the concentration used in this study, of 13%). The authors suggest that the “increase” in retention observed at 170 °C is, in fact, an effect of the non-enzymatic browning due to the caramelization of the carrier agent. Caramelization produces dark compounds that can be quantified by the total anthocyanin content. Furthermore, colorless proanthocyanidins can be converted into colored anthocyanidins during processing, especially when acids are present and high temperatures are used. It is worth noting that, unlike anthocyanin standards, the powder produced from grape pomace extracts contains several other phenolic compounds. These compounds can act as copigments that stabilize anthocyanins and increase color retention [43]. Indeed, recent studies have combined strategies of pigmentation and microencapsulation to overcome the limitations regarding anthocyanin stability [44].

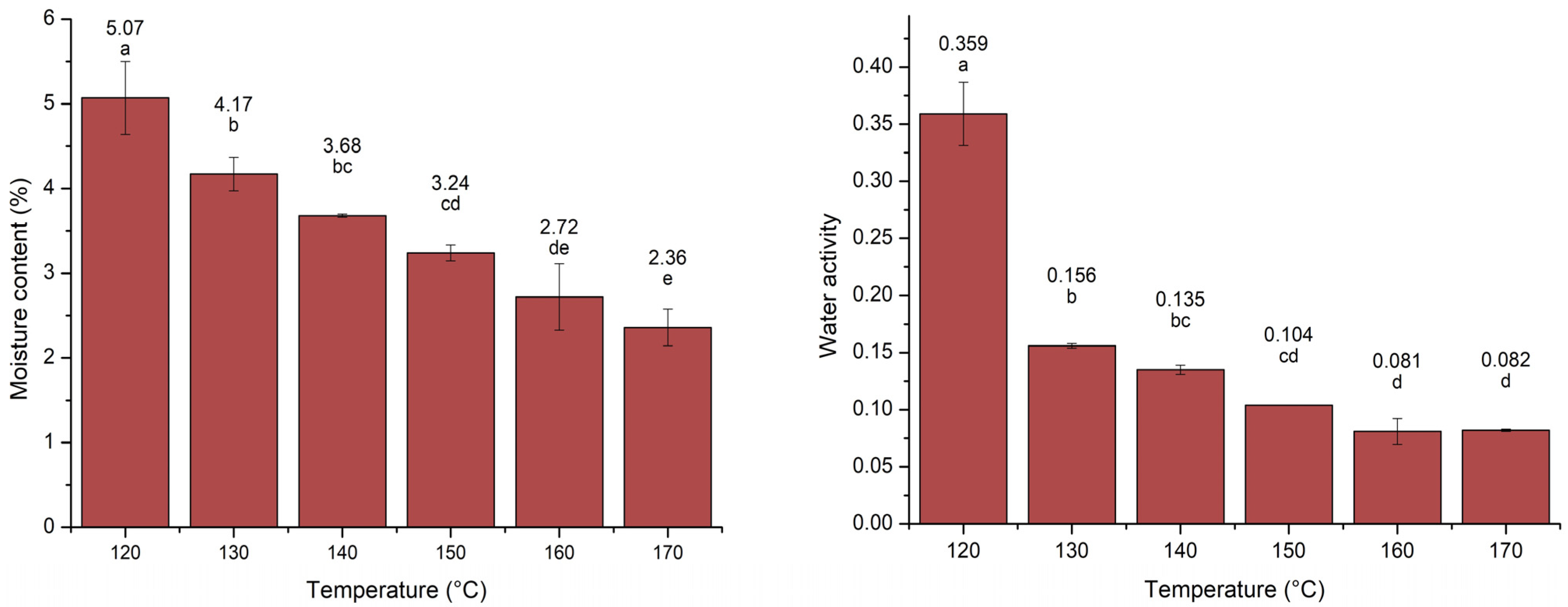
3.2.2. Powder’s Moisture Content and Water Activity (aw)

Moisture content and aw are two key parameters that influence powder quality and safety [12,45]. The powder’s moisture content ranged from 2.36 (170 °C) to 5.07% (120 °C), and the aw ranged from 0.081 (160 °C) to 0.359 (120 °C), as shown in Figure 2. The moisture content and aw decreased significantly (p < 0.10) with increases in the inlet air temperature. The results are shown in Figure 2.
In a constant feed flow rate, as applied in the present study, the higher the difference between the temperature of the atomized feed and the drying air, the greater the driving force for water evaporation, resulting in powders with lower moisture content [46]. Similar results have been observed in various products obtained by spray drying. Nguyen et al. [47] found that the moisture content decreased from 7.66 to 5.57 when the temperature was increased from 150 to 170 °C, using an anthocyanin to maltodextrin ratio of 1/100.
In addition, the moisture content and aw values obtained in this study fall within the range of results from several other studies. For moisture content, reported ranges for spray-dried products include 3–4% for soluble sage extract [48], 0.47–2.44% for powdered blackberry extract [49], 2.28–4.18% for jussara anthocyanin extract [50], 3.71–4.92 for black mulberry juice powder [51], and 2.2–3.22% for chokeberry extract [52]. Reports for aw include values below 0.26 for chokeberry juice powder [53] and between 0.216 and 0.314 for jussara anthocyanins powder [50]. In addition, the inlet air temperature, feed rate, matrix proprieties, and extract-to-matrix ratio also influence the powder’s moisture content [9].
Moisture availability, known as aw, is crucial for biochemical reactions and microbial growth [50], as the growth of molds, yeasts, and bacteria is expected at aw above 0.6 [54]. In an environment with low aw (aw < 0.3), the growth of microorganisms and undesirable biochemical reactions is reduced, improving product quality and shelf life. A low aw also suggests that the encapsulated powder is amorphous, as there is minimal free water, typical of crystallized powders. When the aw exceeds 0.3, amorph sugars can begin to recrystallize, leading to physical changes such as stickiness and agglomeration [12,45].
Moisture content and aw are crucial factors affecting the stability of powdered products. Even a tiny amount of water can lower the glass transition temperature, increasing the mobility of the food particles during storage and resulting in changes to the product, such as stickiness and caking [49,55]. Additionally, higher moisture content can lead to the formation of more liquid bridges, which in turn increases cohesion forces [56].
The high feed flow rate is another operational parameter that negatively affects the moisture content of the powder. This is because the reduced contact time between the atomized feed and the drying agent leads to inefficient heat transfer and a decreased water evaporation rate [47]. In this study, the feed flow rate was fixed at 0.5 L/h based on preliminary investigations, which was the same condition selected by Nguyen et al. [47] for ensuring an adequate moisture content.

3.2.3. Particle Morphology

The particle morphology of the powder obtained at various drying temperatures can be assessed using the images obtained by scanning electron microscopy (S.E.M.), as depicted in Figure 3. Studying particle morphology is significant because it directly influences manufacturing efficiency, product quality, and consumer satisfaction [57].
All samples presented spherical particles varying in size, which is typical of materials produced by spray drying [31]. The particles presented a morphology with small coalescences and a curved and shriveled surface (Figure 3A–F). Powders dried at 120 and 130 °C presented a smoother surface (Figure 3A,B), while the others have small ornamentations in the form of dots on the surface (Figure 3C–F). The curved shape can be associated with particle shrinkage during drying and cooling [9]. Moreover, particles with very rough surfaces, as observed for those dried at 140 °C or higher temperatures, may present a higher anthocyanin degradation associated with forming a more porous structure [14]. Conversely, the highest anthocyanin recovery in this study was observed at 140 °C, with a subsequent decrease in pigment recovery.
Particle morphology depends on the drying rate and food composition. The drying rate is related to drying temperature and several other operational parameters. When the drying rate is too low, the surface remains moist and supple for a long time, and the hollow particle can deflate and shrivel as it cools [31]. Regarding the food composition, the low-molecular-weight sugar present in the food matrix can act as a plasticizer, reducing irregular shrinkage of the microparticle surface during the drying process [50]. The powder morphology found in this work is like several reports of spray-dried anthocyanin powders using maltodextrin as a carrier agent [9,31,58] and the combination of maltodextrin with other carrier agents [50].
Moreover, the particles’ shape impacts the powder’s density and flow. Irregular shapes cause particles to interlock, increasing flow resistance, while rounded particles may reduce interparticle forces [50]. The particle size distribution was similar in most samples (Figure 4). One hundred and fifty particles were measured, with the measurements ranging from ranging from 0.256 to 8.798 μm.
In addition to the nozzle diameter, the particle size of spray-dried food powders is affected by the processing conditions and the food composition. Thus, the particle size of spray-dried food powders is largely variable. Some studies showed increases in particle size with increases in inlet air temperature. Controversially, in this study, the mean particle size increased when the temperature was increased from 120 to 140 °C and decreased at higher temperatures.
When particle size is too small, the cohesive forces become more significant than the other interactions. Above a certain size threshold, more energy is needed to move the particles, and the particle shape becomes more influential in the flow characteristics of the powder [18,56]. This threshold depends on the product characteristic, the value of 50 µm reported by Lumay et al. [56], which is greater than the particle size found in this work. For this reason, cohesive forces are primarily responsible for the flow behavior of this anthocyanin powder.
Milinia et al. [9] encapsulated a roselle anthocyanin extract and observed mean particle sizes of 4.48–5.62 µm for powders formulated with maltodextrin. The sizes are slightly higher than the values found in this work. Rosa et al. [59] encapsulated anthocyanins from a blueberry extract using maltodextrin and hi-maize as carrier agents and obtained powders with particle sizes ranging from 10 to 21 µm. The authors also stated the importance of particle size evaluation before using the powder as a food ingredient since it may influence the food texture.
Moreover, particle size is inversely proportional to the powder’s surface area, with increases in the surface area being related to higher degrees of surface sticking and interaction with neighboring particles [60]. The particle size is a key factor in the flow behavior of the powders and is influenced by equipment parameters such as the size of the nozzle, the flow rate, and the pressure, as well as feed solution properties like the type and concentration of the carrier agent [59]. These factors play a crucial role in determining the particle size and shape and, consequently, the flow behavior of the powder [60].

3.3. Powder Flowability

3.3.1. Bulk Density

Powders are particles with pores and empty spaces between them. The density of powder is usually expressed as bulk density [19], which is a key property related to food products’ quality and economic aspects. High bulk density reduces shipping and packaging costs, while low bulk density is related to agglomeration, impacting powder flowability [48].
The bulk density of the anthocyanin powders ranged from 347 ± 52.3 to 367.8 ± 28.6 kg/m3 (Figure 5). These results are like those found for black mulberry juice powders spray dried using maltodextrin [51]. The authors observed that the bulk density of powders prepared with different concentrations of carrier agents ranged from 0.34 to 0.40 g/mL (340–400 kg/m3).
In this work, no significant differences (p > 0.10) were observed between the bulk densities of powders dried at different temperatures. Similarly, Lima et al. [19] and Jafari et al. [34] also observed no impact of the drying temperature on the bulk density of soluble spray-dried sage powder. However, some researchers have reported a decrease in bulk density with increasing drying temperature [35,37]. This is due to faster evaporation rates at higher temperatures, which result in a more porous or fragmented structure and less shrinkage of the droplets. Consequently, larger particle sizes may be formed and the powder contains more entrapped air, thus reducing the bulk density [31,35].

3.3.2. Carr Index (CI), and Hausner Ratio (H.R.)

Several studies in the literature utilize the relationship between bulk and tapped density to evaluate the flowability of a powder, such as CI and H.R. These results rely on empirical relations to offer insights into the macroscopic properties of a powder and have become popular since they are simple and fast methods [18,60].
The values for CI and H.R. obtained for anthocyanin powders are presented in Table 3. Regardless of the temperature, all values obtained for CI and H.S. were greater than 38% and 1.60, respectively, which indicates excessively difficult flowability.
Lima et al. [19] found that values of CI and H.R. were greater than 38% and 1.60 for spray-dried powders containing 20% maltodextrin. Ribeiro et al. [61] observed that maltodextrin concentrations equal to or greater than 30% were necessary for the flow to be classified as acceptable, evaluating the CI and H.R. values. The authors also observed a smaller particle diameter in powders containing a 15% maltodextrin concentration. Generally, larger particle diameters result in better powder flowability due to decreased surface area per unit mass and reduced cohesivity [62]. High values of CI indicate low flowability and high compressibility of the powder, while high values of H.R. represent powders with poor flowability [63].
The irregularly shaped surfaces and small particle diameters observed by MEV (Session 3.2.3) can make the powder flowability difficult. Irregularly shaped particles typically have poor flow properties due to increased friction between them. Additionally, small particle sizes can have a negative effect as they increase surface area, leading to stronger adhesive and cohesive forces with neighboring particles and surfaces. The greater the cohesive interactions between particles within a powder, the worse the flow [60]. It is important to note that these properties may change due to variations in handling and storage conditions, such as fluctuations in temperature and relative humidity [57].

3.3.3. Flow Index (IF)

The unconfined sliding stress is the parameter that indicates the compressive strength of the powders and depends on the principal consolidation stress applied. A higher unconfined sliding stress value indicates harder powder flow [64].
Flow index (IF) values were calculated from principal consolidation stress and unconfined sliding stress values, ranging from 1.528 (130 °C) to 1.682 (160 °C), as shown in Table 4. IF is a parameter used to predict the flow behavior of powdered products, which can vary from “no flow” to “free flow”. The flow can be classified as no flow (IF < 1), very cohesive (1 < IF < 2), cohesive (2 < IF < 4), easy (4 < IF < 10), and free (IF > 10) [64]. Therefore, all anthocyanin powders fall into the classification of very cohesive.
Lima et al. [19] obtained an IF of 2.06 for dried sapodilla pulp in a spray dryer using 20% (w/v) maltodextrin. Maciel et al. [65] obtained an IF ranging from 3.25 to 4.01 when freeze drying cupuaçu pulp with different maltodextrin concentrations. They found that lower levels of maltodextrin resulted in lower IF values. Their research used maltodextrin concentrations ranging from 13%. However, this lower concentration may have affected the flow properties of the powder.
The cohesive forces play a significant role in the interaction of particles due to their small sizes. This interaction is caused by capillary forces, electrostatic forces, liquid bridges, dipole–dipole interactions, and van der Waals interactions [56,60,66]. For particles of small diameters, such as the particles from this study, van der Walls is the main force influencing particle interactions and thus is responsible for powder cohesiveness [60]. Moreover, powders obtained from food matrices with low pH and high amounts of sugars tend to be more cohesive due to the influence of the pH on particle interaction. Rigolon et al. [67] demonstrated that hydrogen bonding occurs between maltodextrin and the anthocyanins, which is already expected given the amount of OH groups in the carrier agent and the anthocyanins. These interactions are enhanced in acidic environments due to the protonation of other molecules, such as anthocyanins. Moreover, this acidic environment favors anthocyanin stability [17,67].
At higher moisture contents, liquid bridges become more significant. Additionally, when the extract is exposed to temperatures above the glass transition temperature (Tg), the powder transitions from a glassy to a rubbery state, impacting its flow characteristics. Contamination can detrimentally affect powder flow, as highly sticky materials exhibit poor flow due to increased interaction forces [18,60]. These powders may form aggregates by the formation of liquid instead of solid bridges [68].

3.3.4. Wall Friction Angles

The wall friction angle indicates the adhesion between the powder and the hopper wall surface. The larger the angle, the more difficult the powder’s movement on the wall is. This plays a critical role in determining how the powder flows during discharge [19,69]. A lower angle requires a less steep slope to properly ensure the powders’ flow [70].
In this study, the highest and the lowest wall friction angles for each powder were evaluated, with values ranging from 33.4 (170 °C) to 37.4 (120 °C) for the highest wall friction angle and from 29.2 (140 °C) to 30.7 (120 °C) for the lowest wall friction angle. The inlet air temperature did not affect the wall friction angles (Figure 6). Moreover, the wall friction angles did not show a direct correlation with the flow function results, which may have occurred due to differences in the shape and size of the particles [71].

4. Conclusions

This study conducted spray drying of anthocyanin extract from grape residue using maltodextrin (13% w/v) as a carrier agent. The inlet drying air at 140 °C resulted in the highest process yield (50.00 ± 3.06%) and the greatest retention of anthocyanins (91.94 ± 1.59%) among the temperatures studied.
Furthermore, the acidified aqueous extract proved to be an effective method for preparing extracts before drying, with a low pH significantly improving anthocyanin stability during high-temperature processing. Samples dried at 130 to 170 °C displayed appropriate values of moisture content and aw (moisture content < 5% and aw < 0.3), indicating microbiological powder stability.
Overall, the most favorable physicochemical properties were achieved by drying the anthocyanin extract at 140 °C, ensuring a higher content of bioactive compounds as well as low moisture content and aw. It is noteworthy that all powders exhibited poor flowability, likely due to the low concentration of maltodextrin and the acidic media used to prepare the extract.
The research approach used resulted in a powder with a low carrier agent content and high retention of bioactive compounds. This helps to efficiently utilize grape waste by producing anthocyanin powder, a versatile functional ingredient. The powder’s poor flowability is attributed to the small particles, low pH, and high sugar content of the grape extract. To improve flowability, the powder needs to undergo an agglomeration process to produce larger rounded or spherical granules that can reduce potential interlocking and improve powder flowability.

Author Contributions

Conceptualization, F.A.N.F. and S.R.; methodology, B.L.A.D. and E.d.C.M.; software, B.L.A.D. and S.R.; formal analysis, B.L.A.D., E.d.C.M., T.V.F. and S.R.; investigation, B.L.A.D., F.A.N.F. and S.R.; resources, S.R.; data curation, B.L.A.D. and T.V.F.; writing—original draft preparation, B.L.A.D.; writing—review and editing, T.V.F. and S.R.; visualization, F.A.N.F. and S.R.; supervision, S.R.; project administration, S.R.; funding acquisition, S.R. All authors have read and agreed to the published version of the manuscript.

Funding

The authors are grateful for the financial support of the Brazilian funding agency CNPq, the National Institute of Science and Technology of Tropical Fruit, and F.U.N.C.A.P. This study was financed in part by the Coordenação de Aperfeiçoamento de Pessoal de Nível Superior—Finance code 001 Brasil (CAPES).

Data Availability Statement

Data will be made available upon request.

Conflicts of Interest

The authors declare no conflicts of interest.

References

  1. Todorović, A.; Šturm, L.; Salević-Jelić, A.; Lević, S.; Osojnik Črnivec, I.G.; Prislan, I.; Skrt, M.; Bjeković, A.; Poklar Ulrih, N.; Nedović, V. Encapsulation of Bilberry Extract with Maltodextrin and Gum Arabic by Freeze-Drying: Formulation, Characterisation, and Storage Stability. Processes 2022, 10, 1991. [Google Scholar] [CrossRef]
  2. da Fonseca Machado, A.P.; Alves Rezende, C.; Alexandre Rodrigues, R.; Fernández Barbero, G.; de Tarso Vieira e Rosa, P.; Martínez, J. Encapsulation of Anthocyanin-Rich Extract from Blackberry Residues by Spray-Drying, Freeze-Drying and Supercritical Antisolvent. Powder Technol. 2018, 340, 553–562. [Google Scholar] [CrossRef]
  3. Feitosa, B.F.; Decker, B.L.A.; de Brito, E.S.; Rodrigues, S.; Mariutti, L.R.B. Microencapsulation of Anthocyanins as Natural Dye Extracted from Fruits—A Systematic Review. Food Chem. 2023, 424, 136361. [Google Scholar] [CrossRef] [PubMed]
  4. Goula, A.M.; Thymiatis, K.; Kaderides, K. Valorization of Grape Pomace: Drying Behavior and Ultrasound Extraction of Phenolics. Food Bioprod. Process. 2016, 100, 132–144. [Google Scholar] [CrossRef]
  5. Coelho, M.C.; Ghalamara, S.; Pereira, R.; Rodrigues, A.S.; Teixeira, J.A.; Pintado, M.E. Innovation and Winemaking By-Product Valorization: An Ohmic Heating Approach. Processes 2023, 11, 495. [Google Scholar] [CrossRef]
  6. Mattioli, R.; Francioso, A.; Mosca, L.; Silva, P.; Mcphee, D.J. Anthocyanins: A Comprehensive Review of Their Chemical Properties and Health Effects on Cardiovascular and Neurodegenerative Diseases. Molecules 2020, 25, 3809. [Google Scholar] [CrossRef] [PubMed]
  7. Fang, J. Classification of Fruits Based on Anthocyanin Types and Relevance to Their Health Effects. Nutrition 2015, 31, 1301–1306. [Google Scholar] [CrossRef] [PubMed]
  8. Fu, Z.; Ju, H.; Xu, G.-S.; Wu, Y.-C.; Chen, X.; Li, H.-J. Recent Development of Carrier Materials in Anthocyanins Encapsulation Applications: A Comprehensive Literature Review. Food Chem. 2024, 439, 138104. [Google Scholar] [CrossRef] [PubMed]
  9. Millinia, B.L.; Mashithah, D.; Nawatila, R.; Kartini, K. Microencapsulation of Roselle (Hibiscus sabdariffa L.) Anthocyanins: Effects of Maltodextrin and Trehalose Matrix on Selected Physicochemical Properties and Antioxidant Activities of Spray-Dried Powder. Future Foods 2024, 9, 100300. [Google Scholar] [CrossRef]
  10. Silva, J.T.d.P.; Borges, M.H.; de Souza, C.A.C.; Fávaro-Trindade, C.S.; Sobral, P.J.d.A.; de Oliveira, A.L.; Martelli-Tosi, M. Grape Pomace Rich-Phenolics and Anthocyanins Extract: Production by Pressurized Liquid Extraction in Intermittent Process and Encapsulation by Spray-Drying. Foods 2024, 13, 279. [Google Scholar] [CrossRef]
  11. Machado, M.H.; da Rosa Almeida, A.; Maciel, M.V.d.O.B.; Vitorino, V.B.; Bazzo, G.C.; da Rosa, C.G.; Sganzerla, W.G.; Mendes, C.; Barreto, P.L.M. Microencapsulation by Spray Drying of Red Cabbage Anthocyanin-Rich Extract for the Production of a Natural Food Colorant. Biocatal. Agric. Biotechnol. 2022, 39, 102287. [Google Scholar] [CrossRef]
  12. Almeida, R.F.; Gomes, M.H.G.; Kurozawa, L.E. Rice Bran Protein Increases the Retention of Anthocyanins by Acting as an Encapsulating Agent in the Spray Drying of Grape Juice. Food Res. Int. 2023, 172, 113237. [Google Scholar] [CrossRef] [PubMed]
  13. Shishir, M.R.I.; Chen, W. Trends of Spray Drying: A Critical Review on Drying of Fruit and Vegetable Juices. Trends Food Sci. Technol. 2017, 65, 49–67. [Google Scholar] [CrossRef]
  14. Chuwattanakula, V.; Yaviracha, K.; Eiamsa-ardb, S. Influences of Spray Drying Conditions on the Physiochemical Properties of Karanda Fruit. Chem. Eng. Trans. 2023, 102, 223–230. [Google Scholar] [CrossRef]
  15. Rosales-Chimal, S.; Navarro-Cortez, R.O.; Bello-Perez, L.A.; Vargas-Torres, A.; Palma-Rodríguez, H.M. Optimal Conditions for Anthocyanin Extract Microencapsulation in Taro Starch: Physicochemical Characterization and Bioaccessibility in Gastrointestinal Conditions. Int. J. Biol. Macromol. 2023, 227, 83–92. [Google Scholar] [CrossRef] [PubMed]
  16. de Souza, V.B.; Thomazini, M.; Balieiro, J.C.d.C.; Fávaro-Trindade, C.S. Effect of Spray Drying on the Physicochemical Properties and Color Stability of the Powdered Pigment Obtained from Vinification Byproducts of the Bordo Grape (Vitis labrusca). Food Bioprod. Process 2015, 93, 39–50. [Google Scholar] [CrossRef]
  17. Enaru, B.; Drețcanu, G.; Pop, T.D.; Stǎnilǎ, A.; Diaconeasa, Z. Anthocyanins: Factors Affecting Their Stability and Degradation. Antioxidants 2021, 10, 1967. [Google Scholar] [CrossRef] [PubMed]
  18. Dupas, J.; Baldeweck, F.; Meunier, V. Experimental Study on the Impact of Key Material Properties on Flowability of Sucrose and Maltodextrin. J. Food Eng. 2024, 364, 111802. [Google Scholar] [CrossRef]
  19. Lima, A.C.d.S.; Afonso, M.R.A.; Rodrigues, S.; de Aquino, A.C. Flowability of Spray-dried Sapodilla Pulp Powder. J. Food Process Eng. 2022, 45, e14092. [Google Scholar] [CrossRef]
  20. Silva, M.F.S.; Silva, L.M.A.; Quintela, A.L.; dos Santos, A.G.; Silva, F.A.N.; de Oliveira, F.d.C.E.; Alves Filho, E.G.; de Brito, E.S.; Canuto, K.M.; Pessoa, C.; et al. UPLC-HRMS and NMR Applied in the Evaluation of Solid-Phase Extraction Methods as a Rational Strategy of Dereplication of Phyllanthus spp. Aiming at the Discovery of Cytotoxic Metabolites. J. Chromatogr. B Analyt. Technol. Biomed. Life Sci. 2019, 1120, 51–61. [Google Scholar] [CrossRef]
  21. Giusti, M.M.; Wrolstad, R.E. Characterization and Measurement of Anthocyanins by UV-Visible Spectroscopy. Curr. Protoc. Food Anal. Chem. 2001, 2001, F1.2.1–F1.2.13. [Google Scholar] [CrossRef]
  22. Chandra Singh, M.; Price, W.E.; Kelso, C.; Charlton, K.; Probst, Y. Impact of Molar Absorbance on Anthocyanin Content of the Foods. Food Chem. 2022, 386, 132855. [Google Scholar] [CrossRef]
  23. Nixdorf, S.L.; Hermosín-Gutiérrez, I. Brazilian Red Wines Made from the Hybrid Grape Cultivar Isabel: Phenolic Composition and Antioxidant Capacity. Anal. Chim. Acta 2010, 659, 208–215. [Google Scholar] [CrossRef]
  24. Tiwari, B.K.; Patras, A.; Brunton, N.; Cullen, P.J.; O’Donnell, C.P. Effect of Ultrasound Processing on Anthocyanins and Color of Red Grape Juice. Ultrason. Sonochem. 2010, 17, 598–604. [Google Scholar] [CrossRef] [PubMed]
  25. Momin, M.A.M.; Tucker, I.G.; Doyle, C.S.; Denman, J.A.; Das, S.C. Manipulation of Spray-Drying Conditions to Develop Dry Powder Particles with Surfaces Enriched in Hydrophobic Material to Achieve High Aerosolization of a Hygroscopic Drug. Int. J. Pharm. 2018, 543, 318–327. [Google Scholar] [CrossRef]
  26. Carr, R.L. Evaluating Flow Properties of Solids. Chem. Eng. J. 1965, 72, 163–168. [Google Scholar]
  27. Hausner, H.H. Friction Conditions in a Mass of Metal Powder. J. Powder Metall. 1967, 3, 7–13. [Google Scholar]
  28. Lopes Neto, J.P.; do Nascimento, J.W.B.; da Silva, V.R.; Lopes, F.F.d.M. Propriedade de Fluxo e Característica de Escoabilidade de Rações Avícolas Para Dimensionamento de Silos. Ciência Agrotecnol. 2007, 31, 851–859. [Google Scholar] [CrossRef][Green Version]
  29. Goula, A.M.; Adamopoulos, K.G. Spray Drying of Tomato Pulp in Dehumidified Air: I. The Effect on Product Recovery. J. Food Eng. 2005, 66, 25–34. [Google Scholar] [CrossRef]
  30. Corrêa-Filho, L.C.; Lourenço, M.M.; Moldão-Martins, M.; Alves, V.D. Microencapsulation of β-Carotene by Spray Drying: Effect of Wall Material Concentration and Drying Inlet Temperature. Int. J. Food Sci. 2019, 2019, 8914852. [Google Scholar] [CrossRef]
  31. Tonon, R.V.; Brabet, C.; Hubinger, M.D. Influence of Process Conditions on the Physicochemical Properties of Açai (Euterpe oleraceae Mart.) Powder Produced by Spray Drying. J. Food Eng. 2008, 88, 411–418. [Google Scholar] [CrossRef]
  32. Goula, A.M.; Adamopoulos, K.G. Spray Drying Performance of a Laboratory Spray Dryer for Tomato Powder Preparation. Dry. Technol. 2003, 21, 1273–1289. [Google Scholar] [CrossRef]
  33. Bhandari, B.R.; Datta, N.; Howes, T. Problems Associated with Spray Drying of Sugar-Rich Foods. Dry. Technol. 1997, 15, 671–684. [Google Scholar] [CrossRef]
  34. Jafari, S.M.; Ghalegi Ghalenoei, M.; Dehnad, D. Influence of Spray Drying on Water Solubility Index, Apparent Density, and Anthocyanin Content of Pomegranate Juice Powder. Powder Technol. 2017, 311, 59–65. [Google Scholar] [CrossRef]
  35. Laokuldilok, T.; Kanha, N. Effects of Processing Conditions on Powder Properties of Black Glutinous Rice (Oryza sativa L.) Bran Anthocyanins Produced by Spray Drying and Freeze Drying. LWT-Food Sci. Technol. 2015, 64, 405–411. [Google Scholar] [CrossRef]
  36. Shrestha, A.K.; Ua-arak, T.; Adhikari, B.P.; Howes, T.; Bhandari, B.R. Glass Transition Behavior of Spray Dried Orange Juice Powder Measured by Differential Scanning Calorimetry (DSC) and Thermal Mechanical Compression Test (TMCT). Int. J. Food Prop. 2007, 10, 661–673. [Google Scholar] [CrossRef]
  37. Fazaeli, M.; Emam-Djomeh, Z.; Kalbasi Ashtari, A.; Omid, M. Effect of Spray Drying Conditions and Feed Composition on the Physical Properties of Black Mulberry Juice Powder. Food Bioprod. Process. 2012, 90, 667–675. [Google Scholar] [CrossRef]
  38. Silva, P.I.; Stringheta, P.C.; Teófilo, R.F.; de Oliveira, I.R.N. Parameter Optimization for Spray-Drying Microencapsulation of Jaboticaba (Myrciaria jaboticaba) Peel Extracts Using Simultaneous Analysis of Responses. J. Food Eng. 2013, 117, 538–544. [Google Scholar] [CrossRef]
  39. Lu, W.; Yang, X.; Shen, J.; Li, Z.; Tan, S.; Liu, W.; Cheng, Z. Choosing the Appropriate Wall Materials for Spray-Drying Microencapsulation of Natural Bioactive Ingredients: Taking Phenolic Compounds as Examples. Powder Technol. 2021, 394, 562–574. [Google Scholar] [CrossRef]
  40. Furuta, T.; Neoh, T.L. Microencapsulation of Food Bioactive Components by Spray Drying: A Review. Dry. Technol. 2021, 39, 1800–1831. [Google Scholar] [CrossRef]
  41. Santos, S.S.; Rodrigues, L.M.; Costa, S.C.; Madrona, G.S. Antioxidant Compounds from Blackberry (Rubus fruticosus) Pomace: Microencapsulation by Spray-Dryer and PH Stability Evaluation. Food Packag. Shelf Life 2019, 20, 100177. [Google Scholar] [CrossRef]
  42. Betz, M.; Kulozik, U. Whey Protein Gels for the Entrapment of Bioactive Anthocyanins from Bilberry Extract. Int. Dairy. J. 2011, 21, 703–710. [Google Scholar] [CrossRef]
  43. Koh, J.; Xu, Z.; Wicker, L. Blueberry Pectin and Increased Anthocyanins Stability under in Vitro Digestion. Food Chem. 2020, 302, 125343. [Google Scholar] [CrossRef] [PubMed]
  44. Tan, C.; Dadmohammadi, Y.; Lee, M.C.; Abbaspourrad, A. Combination of Copigmentation and Encapsulation Strategies for the Synergistic Stabilization of Anthocyanins. Compr. Rev. Food Sci. Food Saf. 2021, 20, 3164–3191. [Google Scholar] [CrossRef] [PubMed]
  45. Barbosa-Cánovas, G.V.; Fontana, A.J.; Schmidt, S.J.; Labuza, T.P. (Eds.) Water Activity in Foods; Wiley: Hoboken, NJ, USA, 2007; ISBN 9780813824086. [Google Scholar]
  46. Tonon, R.V.; Freitas, S.S.; Hubinger, M.D. Spray Drying of Açai (Euterpe oleraceae Mart.) Juice: Effect of Inlet Air Temperature and Type of Carrier Agent. J. Food Process Preserv. 2011, 35, 691–700. [Google Scholar] [CrossRef]
  47. Nguyen, Q.; Dang, T.; Nguyen, T.; Nguyen, T.; Nguyen, N. Microencapsulation of Roselle (Hibiscus sabdariffa L.) Anthocyanins: Effects of Drying Conditions on Some Physicochemical Properties and Antioxidant Activities of Spray-dried Powder. Food Sci. Nutr. 2022, 10, 191–203. [Google Scholar] [CrossRef] [PubMed]
  48. Şahin-Nadeem, H.; Dinçer, C.; Torun, M.; Topuz, A.; Özdemir, F. Influence of Inlet Air Temperature and Carrier Material on the Production of Instant Soluble Sage (Salvia fruticosa Miller) by Spray Drying. LWT-Food Sci. Technol. 2013, 52, 31–38. [Google Scholar] [CrossRef]
  49. Ferrari, C.C.; Germer, S.P.M.; de Aguirre, J.M. Effects of Spray-Drying Conditions on the Physicochemical Properties of Blackberry Powder. Dry. Technol. 2012, 30, 154–163. [Google Scholar] [CrossRef]
  50. da Silva Carvalho, A.G.; da Costa Machado, M.T.; da Silva, V.M.; Sartoratto, A.; Rodrigues, R.A.F.; Hubinger, M.D. Physical Properties and Morphology of Spray Dried Microparticles Containing Anthocyanins of Jussara (Euterpe edulis Martius) Extract. Powder Technol. 2016, 294, 421–428. [Google Scholar] [CrossRef]
  51. Wang, R.; Zhao, Y.; Zhu, L.; Fang, Z.; Shi, Q. Effect of Carrier Types on the Physicochemical and Antioxidant Properties of Spray-Dried Black Mulberry Juice Powders. J. Food Meas. Charact. 2020, 14, 1201–1212. [Google Scholar] [CrossRef]
  52. Gawałek, J. Spray Drying of Chokeberry Juice—Antioxidant Phytochemicals Retention in the Obtained Powders versus Energy Consumption of the Process. Foods 2022, 11, 2898. [Google Scholar] [CrossRef]
  53. Bednarska, M.A.; Janiszewska-Turak, E. The Influence of Spray Drying Parameters and Carrier Material on the Physico-Chemical Properties and Quality of Chokeberry Juice Powder. J. Food Sci. Technol. 2020, 57, 564–577. [Google Scholar] [CrossRef]
  54. Janiszewska-Turak, E.; Dellarosa, N.; Tylewicz, U.; Laghi, L.; Romani, S.; Dalla Rosa, M.; Witrowa-Rajchert, D. The Influence of Carrier Material on Some Physical and Structural Properties of Carrot Juice Microcapsules. Food Chem. 2017, 236, 134–141. [Google Scholar] [CrossRef]
  55. Moreira, G.É.G.; Maia Costa, M.G.; de Souza, A.C.R.; de Brito, E.S.; de Medeiros, M.d.F.D.; de Azeredo, H.M.C. Physical Properties of Spray Dried Acerola Pomace Extract as Affected by Temperature and Drying Aids. LWT-Food Sci. Technol. 2009, 42, 641–645. [Google Scholar] [CrossRef]
  56. Lumay, G.; Boschini, F.; Traina, K.; Bontempi, S.; Remy, J.-C.; Cloots, R.; Vandewalle, N. Measuring the Flowing Properties of Powders and Grains. Powder Technol. 2012, 224, 19–27. [Google Scholar] [CrossRef]
  57. Suhag, R.; Kellil, A.; Razem, M. Factors Influencing Food Powder Flowability. Powders 2024, 3, 65–76. [Google Scholar] [CrossRef]
  58. Nayak, C.A.; Rastogi, N.K. Effect of Selected Additives on Microencapsulation of Anthocyanin by Spray Drying. Dry. Technol. 2010, 28, 1396–1404. [Google Scholar] [CrossRef]
  59. Righi da Rosa, J.; Nunes, G.L.; Motta, M.H.; Fortes, J.P.; Cezimbra Weis, G.C.; Rychecki Hecktheuer, L.H.; Muller, E.I.; Ragagnin de Menezes, C.; Severo da Rosa, C. Microencapsulation of Anthocyanin Compounds Extracted from Blueberry (Vaccinium spp.) by Spray Drying: Characterization, Stability and Simulated Gastrointestinal Conditions. Food Hydrocoll. 2019, 89, 742–748. [Google Scholar] [CrossRef]
  60. Shah, D.S.; Moravkar, K.K.; Jha, D.K.; Lonkar, V.; Amin, P.D.; Chalikwar, S.S. A Concise Summary of Powder Processing Methodologies for Flow Enhancement. Heliyon 2023, 9, e16498. [Google Scholar] [CrossRef] [PubMed]
  61. Ribeiro, J.S.; Veloso, C.M. Microencapsulation of Natural Dyes with Biopolymers for Application in Food: A Review. Food Hydrocoll. 2021, 112, 106374. [Google Scholar] [CrossRef]
  62. Landillon, V.; Cassan, D.; Morel, M.-H.; Cuq, B. Flowability, Cohesive, and Granulation Properties of Wheat Powders. J. Food Eng. 2008, 86, 178–193. [Google Scholar] [CrossRef]
  63. Ribeiro, L.C.; da Costa, J.M.C.; Afonso, M.R.A. Flow Behavior of Cocoa Pulp Powder Containing Maltodextrin. Braz. J. Food Technol. 2020, 23, e2020034. [Google Scholar] [CrossRef]
  64. Jenike, A.W. Storage and Flow of Solids. Bulletin No. 123; Utah State University: Salt Lake City, UT, USA, 1964; Volume 53. [Google Scholar]
  65. Maciel, R.M.G.; Lima, S.B.; Costa, J.M.C.; Afonso, M.R.A. Influência Da Maltodextrina Nas Propriedades de Escoamento Do Pó Da Polpa de Cupuaçu. Braz. J. Dev. 2020, 6, 5829–5839. [Google Scholar] [CrossRef]
  66. Li, Q.; Rudolph, V.; Weigl, B.; Earl, A. Interparticle van Der Waals Force in Powder Flowability and Compactibility. Int. J. Pharm. 2004, 280, 77–93. [Google Scholar] [CrossRef]
  67. Rigolon, T.C.B.; Silva, R.R.A.; de Oliveira, T.V.; Nascimento, A.L.A.A.; de Barros, F.A.R.; Martins, E.; Campelo, P.H.; Stringheta, P.C. Exploring Anthocyanins-Polysaccharide Synergies in Microcapsule Wall Materials via Spray Drying: Interaction Characterization and Evaluation of Particle Stability. Meas. Food 2024, 13, 100126. [Google Scholar] [CrossRef]
  68. Turker, N.; Aksay, S.; Ekiz, H.I. Effect of Storage Temperature on the Stability of Anthocyanins of a Fermented Black Carrot (Daucus carota var. L.) Beverage: Shalgam. J. Agric. Food Chem. 2004, 52, 3807–3813. [Google Scholar] [CrossRef]
  69. Fitzpatrick, J.J.; Barry, K.; Cerqueira, P.S.M.; Iqbal, T.; O’Neill, J.; Roos, Y.H. Effect of Composition and Storage Conditions on the Flowability of Dairy Powders. Int. Dairy. J. 2007, 17, 383–392. [Google Scholar] [CrossRef]
  70. Afonso, M.R.A.; Rodrigues, B.K.M.; da Costa, J.M.C.; Rybka, A.C.P.; Wurlitzer, N.J. Microstructure and Flow Properties of Lyophilized Mango Pulp with Maltodextrin. Rev. Bras. Eng. Agrícola Ambient. 2019, 23, 133–137. [Google Scholar] [CrossRef]
  71. Lee, Y.J.; Yoon, W.B. Flow Behavior and Hopper Design for Black Soybean Powders by Particle Size. J. Food Eng. 2015, 144, 10–19. [Google Scholar] [CrossRef]
Figure 1. Anthocyanin retention of powders obtained by spray drying at different temperatures. Tukey’s test compared the means of samples dried at different temperatures. Means that do not share a letter are significantly different at a significance level of 10%.
Figure 1. Anthocyanin retention of powders obtained by spray drying at different temperatures. Tukey’s test compared the means of samples dried at different temperatures. Means that do not share a letter are significantly different at a significance level of 10%.
Processes 12 01390 g001
Figure 2. Moisture content and water activity of anthocyanin powders obtained by spray drying at different temperatures. Tukey’s test was conducted to compare the means of samples dried at different temperatures. Means that do not share a letter are significantly different at a significance level of 10%.
Figure 2. Moisture content and water activity of anthocyanin powders obtained by spray drying at different temperatures. Tukey’s test was conducted to compare the means of samples dried at different temperatures. Means that do not share a letter are significantly different at a significance level of 10%.
Processes 12 01390 g002
Figure 3. Scanning electron microscopy of anthocyanin powders spray dried at different temperatures. (A) 120 °C; (B) 130 °C; (C) 140 °C; (D) 150 °C; (E) 160 °C; (F) 170 °C. Bar: 10 µm.
Figure 3. Scanning electron microscopy of anthocyanin powders spray dried at different temperatures. (A) 120 °C; (B) 130 °C; (C) 140 °C; (D) 150 °C; (E) 160 °C; (F) 170 °C. Bar: 10 µm.
Processes 12 01390 g003
Figure 4. Particle size distribution of anthocyanin powders obtained by spray drying at different temperatures.
Figure 4. Particle size distribution of anthocyanin powders obtained by spray drying at different temperatures.
Processes 12 01390 g004
Figure 5. Bulk density of anthocyanin powders obtained by spray drying at different temperatures. Tukey’s test was conducted to compare the means of samples dried at different temperatures. Means that do not share a letter are significantly different at a significance level of 10%.
Figure 5. Bulk density of anthocyanin powders obtained by spray drying at different temperatures. Tukey’s test was conducted to compare the means of samples dried at different temperatures. Means that do not share a letter are significantly different at a significance level of 10%.
Processes 12 01390 g005
Figure 6. Wall friction angles of anthocyanin powders obtained by spray drying at different temperatures. W.F.A. = wall friction angle. Tukey’s test was conducted to compare the means of samples dried at different temperatures. Means that do not share a letter are significantly different at a significance level of 10%.
Figure 6. Wall friction angles of anthocyanin powders obtained by spray drying at different temperatures. W.F.A. = wall friction angle. Tukey’s test was conducted to compare the means of samples dried at different temperatures. Means that do not share a letter are significantly different at a significance level of 10%.
Processes 12 01390 g006
Table 1. Classification of powder flowability [26,27].
Table 1. Classification of powder flowability [26,27].
FlowabilityCompressibility Index (%)Hausner Ratio
Excellent<101.00–1.11
Good11–151.12–1.18
Adequate16–201.19–1.25
Acceptable21–251.26–1.34
Difficult26–301.35–1.45
Very difficult32–371.46–1.59
Excessively difficult>38>1.60
Table 2. Air outlet temperature and drying yield of anthocyanin powders obtained by spray drying at different temperatures.
Table 2. Air outlet temperature and drying yield of anthocyanin powders obtained by spray drying at different temperatures.
Inlet Air Temperature (°C) Outlet Air Temperature (°C) Process Yield (%)
120 68.2 45.35 ± 2.75
130 76 43.02 ± 2.67
140 82.4 50.00 ± 3.06
150 90 45.35 ± 2.34
160 97.6 48.84 ± 3.80
170 103.5 48.84 ± 3.26
Table 3. Carr index and Hausner ratio of anthocyanin powders obtained by spray drying at different temperatures.
Table 3. Carr index and Hausner ratio of anthocyanin powders obtained by spray drying at different temperatures.
Inlet Air Temperature (°C)Carr Index (%)Hausner Ratio
12044.99 ± 4.24 a1.82 ± 0.25 a
13043.58 ± 3.48 a1.77 ± 0.21 a
14045.25 ± 2.97 a1.83 ± 0.18 a
15043.91 ± 2.73 a1.78 ± 0.17 a
16042.29 ± 4.08 a1.73 ± 0.23 a
17048.07 ± 4.20 a1.93 ± 0.24 a
Tukey’s test was conducted to compare the means of samples dried at different temperatures. Means that do not share a letter are significantly different at a significance level of 10%.
Table 4. Flow index of anthocyanin powders obtained by spray drying at different temperatures.
Table 4. Flow index of anthocyanin powders obtained by spray drying at different temperatures.
Inlet Air Temperature (°C)
T = 120 °CT = 130 °CT = 140 °C
δc δ1 δc δ1 δc δ1
1.674 1.338 1.360 1.351 1.350 1.261
3.014 2.635 2.936 2.529 2.808 2.291
5.819 4.044 5.746 4.249 5.608 3.907
11.714 7.511 11.654 7.575 11.279 6.992
23.596 12.781 22.964 13.528 22.853 11.877
IF 1.618 IF1.528 IF1.667
Inlet Air Temperature (°C)
T = 150 °CT = 160 °CT = 170 °C
δcδ1δcδ1δcδ1
1.338 1.346 1.342 1.273 1.331 1.262
2.843 2.775 2.775 2.219 2.813 2.2
5.765 5.685 5.685 3.952 5.683 4.053
11.702 11.376 11.376 6.911 11.381 7.184
23.570 22.735 22.735 11.745 22.641 12.106
IF1.611 IF1.682 IF1.636
δc = principal consolidation stress (kPa); δ1 = unconfined sliding stress (kPa); IF = flow index.
Disclaimer/Publisher’s Note: The statements, opinions and data contained in all publications are solely those of the individual author(s) and contributor(s) and not of MDPI and/or the editor(s). MDPI and/or the editor(s) disclaim responsibility for any injury to people or property resulting from any ideas, methods, instructions or products referred to in the content.

Share and Cite

MDPI and ACS Style

Decker, B.L.A.; Miguel, E.d.C.; Fonteles, T.V.; Fernandes, F.A.N.; Rodrigues, S. Impact of Spray Drying on the Properties of Grape Pomace Extract Powder. Processes 2024, 12, 1390. https://doi.org/10.3390/pr12071390

AMA Style

Decker BLA, Miguel EdC, Fonteles TV, Fernandes FAN, Rodrigues S. Impact of Spray Drying on the Properties of Grape Pomace Extract Powder. Processes. 2024; 12(7):1390. https://doi.org/10.3390/pr12071390

Chicago/Turabian Style

Decker, Betina Louise Angioletti, Emilio de Castro Miguel, Thatyane Vidal Fonteles, Fabiano A. N. Fernandes, and Sueli Rodrigues. 2024. "Impact of Spray Drying on the Properties of Grape Pomace Extract Powder" Processes 12, no. 7: 1390. https://doi.org/10.3390/pr12071390

APA Style

Decker, B. L. A., Miguel, E. d. C., Fonteles, T. V., Fernandes, F. A. N., & Rodrigues, S. (2024). Impact of Spray Drying on the Properties of Grape Pomace Extract Powder. Processes, 12(7), 1390. https://doi.org/10.3390/pr12071390

Note that from the first issue of 2016, this journal uses article numbers instead of page numbers. See further details here.

Article Metrics

Back to TopTop