Abstract
The present research explores water-lean amine-based solvents to enhance carbon capture and provide sustainable solutions for CO2 emissions challenges. A computational approach is employed to evaluate the co-solvent’s impact on CO2 capture in MDEA-based systems. The performance of the following systems is examined: MDEA-NMP, MDEA-MAE-NMP, MDEA-MeOH, MDEA-MAE-MeOH, MDEA-EG, MDEA-MAE-EG, and MDEA-MAE with varying water concentrations. The Radial Distribution Function (RDF) analysis revealed significant interactions between amine groups, CO2, and water molecules in each system. The results indicate that the MDEA-NMP (40% H2O) and MDEA-EG (40% H2O) systems had strong interactions, indicating their potential for CO2 capture. However, adding MAE decreased interaction intensities, indicating a less favorable performance. Complementing the RDF findings, the Mean Square Displacement (MSD) analysis quantified CO2 diffusivity across temperatures (313 K, 323 K, and 333 K). MDEA-NMP (40% H2O) demonstrated the highest diffusivity, indicating superior CO2 mobility and capture efficiency. MDEA-MeOH (40% H2O) also showed moderate diffusivity, further supporting its effectiveness. However, solvent systems incorporating MAE consistently displayed lower diffusivity, reinforcing the observation from the RDF analysis. The temperature effect on the diffusivity of selected blends does not follow the regular pattern in a co-solvent-based system, whereas in an aqueous system, it increases with temperature. These molecular dynamic simulations highlight the critical role of solvent composition in optimizing CO2 capture efficiency. Applying these insights can improve solvent formulations, enhance effectiveness, and reduce costs.
1. Introduction
Carbon capture, utilization, and storage (CCUS) involves various technologies designed to capture and store carbon dioxide (CO2) emissions from industrial processes and power plants. Within the broader framework of CCUS applications, chemical absorption using amine-based solvents is one of the well-established methods for capturing CO2 among several approaches and is widely employed [1,2]. In 2020, China set ambitious targets to peak its carbon emissions by 2030 and reach carbon neutrality by 2060 [3,4,5]. CCUS is an essential element for this target. Utilizing absorption systems, particularly those employing amine solutions commonly adopted in industrial settings, offers the advantages of rapid CO2 absorption rates and high CO2 removal efficiency. However, the inherent challenges posed by the high corrosivity of these solvents and the considerable energy consumption associated with the process have placed limitations on large-scale industrial CO2 capture [6]. In recent years, scholarly research and development has shifted towards exploring novel chemical absorption systems by water-lean solvents [7]. This shift is accompanied by an emphasis on optimizing absorption and regeneration processes [1]. There are numerous investigations [8,9,10,11] on water-lean solvents. Replacing water with organic solvents in absorbents has shown notable benefits, such as lower regeneration energy needs and reduced corrosiveness and degradation [12,13,14,15]. Recent literature has explored a variety of organic compounds, including alcohols such as methanol, ethanol, propanol, and butanol [11], glycols like ethylene glycol and their mixtures [16], dimethylformamide [17], and 1-methyl-2-pyrrolidone [18], etc. This has driven significant advancements in developing nonaqueous or semi-aqueous absorbents by blending secondary amines with organic co-solvents.
In a water-lean solvent, water is partially replaced with an organic co-solvent, reducing the overall water concentration in the blend. Maintaining an appropriate water balance is essential for the long-term sustainability of CO2 capture technology [19]. Some co-solvents can significantly reduce the viscosity of the solvent mixture, making it easier to handle and improving the kinetics of CO2 absorption. Lower viscosity facilitates better flow and mixing in industrial applications, which is critical for large-scale CO2 capture processes [20]. The other advantage of the co-solvent is that it can enhance the solubility of CO2 in the solvent system. This is particularly true for solvents that have specific interactions with CO2, such as hydrogen bonding or Lewis acid-base interactions. For example, certain glycols and glycol ethers have been shown to increase the CO2 solubility in water-lean systems [9,20]. Co-solvents can improve the thermal stability of the solvent mixture, making the system more robust under the high temperatures typically required for solvent regeneration. This ensures that the solvent can be reused multiple times without significant degradation, thus reducing operational costs [9,20]. Table 1 illustrates the evolution of absorbents. The composition of absorbents has evolved from first-generation single-component amine solvents to second-generation amine blend solutions and third-generation absorbents with improved capture capability and more diversified components. Table 1 shows that the regeneration energy consumption of absorbents has dropped from 4.0 GJ⋅ton−1 CO2 to 1.8–2.4 GJ⋅ton−1 CO2, greatly lowering capture costs.
Table 1.
Historical development of amine-based absorbents.
The capture procedure with amine absorbents involves reacting CO2 with the absorbent in the absorption unit. The CO2-enriched solution is heated and transferred to the desorption unit, decomposing into CO2 at high temperatures [24]. The solution is then chilled before being reintroduced to the absorption device to react further with flue gas. This approach necessitates transporting all solutions to the desorption device and adding heat to vaporize the water, resulting in high capture costs and limited CO2 absorption capability [8]. Researchers investigated several amine solutions to lower capture costs by optimizing capture methods, adjusting absorbent concentrations, utilizing different solvents, and changing reaction conditions. An ideal absorbent should have a fast CO2 reaction rate, a large absorption capacity, low operating costs, good thermal stability, economic feasibility, and environmental compatibility [25]. To overcome the limits of single-component amine solvents, researchers have created novel absorbents such as amine-blended absorbents, ionic liquid absorbents, phase-change absorbents, and water-lean absorbents that increase capture performance while lowering costs [21,22,23]. Extensive research has delved into their absorption characteristics, physical properties, and kinetics in both solvent-free and aqueous conditions for CO2 capture [9,26,27,28]. Table 2 shows the list of selected solvents in the present study. In our investigation, we blended pure MDEA (N-methyldiethanolamine) and a combination of MDEA and MAE 2-(methylamino) ethanol) with three other co-solvents, NMP, EG, and MeOH. The selection of these solvents is based on the numerous advantages mentioned in the literature.
Table 2.
List of solvents selected in the present study.
NMP has a high solubility in CO2, which improves absorption effectiveness. It also retains thermal stability, which is necessary for efficient regeneration processes [29]. NMP serves as the solvent reducing energy consumption, attributable to its low heat capacity, vaporization enthalpy, and high chemical stability [30]. Methanol has been thoroughly researched for CO2 capture applications because of its high solubility and low viscosity, which promote greater mass transfer, and its high volatility, which makes regeneration easier [31]. Ethylene glycol is an effective CO2 absorber due to its potent hydrogen bonding properties with CO2 and low vapor pressure, which minimize solvent losses [32]. These solvents are selected based on their suitability for a range of process circumstances in addition to their unique qualities.
Similarly, MDEA is a tertiary amine known for its high capacity to absorb CO2 in both aqueous and water-lean solvents [26,27]. It is widely used in gas treatment processes because of its efficiency in capturing CO2 from natural gas and other industrial emissions [26]. MDEA is particularly advantageous because it can selectively remove CO2, making it ideal for high-selectivity applications. MAE, a secondary amine, is highly effective in CO2 capture due to its high reactivity with CO2. It forms carbamate complexes quickly, which is beneficial in environments where rapid CO2 absorption is needed [21]. MAE is often combined with other amines to enhance the overall CO2 absorption efficiency and stability of the solvent system [28]. The combination of MDEA and MAE leverages the strengths of both solvents. MDEA provides high CO2 absorption capacity with lower energy requirements for regeneration, while MAE offers fast reaction kinetics. This synergistic effect results in a solvent system that is both efficient and cost-effective for CO2 capture.
This study explores three critical aspects of solvent-based CO2 capture, focusing on the solvent system MDEA-MAE with MeOH, NMP, and EG. Previous research has largely focused on pure solvents and amine blends, leaving a gap in understanding the effects of various co-solvents and diffusivity rates in these specific mixtures. This research aims to fill this gap by investigating the effect of co-solvents in pure MDEA and blended MDEA-MAE and diffusion rate estimation with three different organic co-solvents. This study makes substantial contributions to current research through three key components: firstly, investigating the effects of co-solvents on CO2 absorption in both pure MDEA-NMP, MDEA-EG, and MDEA-MeOH and blended systems (MDEA-MAE-NMP, MDEA-MAE-EG, and MDEA-MAE-MeOH) using molecular dynamics (MD) simulations; secondly, analyzing the diffusivity rate and effect of temperature on the diffusivity of various types of innovative water-lean systems; and thirdly, integrating simulation models to evaluate the impact of different co-solvents and diffusion rates. The ultimate objective is to identify the most effective amines for laboratory-scale application to reduce atmospheric carbon emissions and lessen environmental impact.
2. Modelling Approach and Reaction Mechanism
Molecular Dynamics (MD) simulations were utilized to examine molecular interactions at a microscopic level in an amorphous environment. These simulations provide detailed insights into the dynamic behavior of particles by solving classical equations of motion [33,34]. The simulations were executed on a high-performance computer cluster with 64 processing cores to ensure efficiency and enable parallel computations. Key simulation parameters included the atom-based summation for geometry optimization, the Ewald summation for equilibrium and production phases, the COMPASS force field for interatomic potential calculations, and the velocity Verlet algorithm for time integration [35,36]. The Verlet algorithm was chosen for its numerical stability and time-reversible properties, allowing precise calculations with longer time steps. The COMPASS force field, optimized for condensed-phase atomic simulations, is suitable for solvent systems [35]. Table 3 provides the calculation for simulation model construction in the material studio, and Figure 1 shows the technical route adopted in the present research.
Table 3.
Calculation for input parameters in the material studio.
Figure 1.
Steps of the research methodology adopted in the present work.
The MD simulation comprised four main steps: defining and optimizing molecular structures for CO2 absorption studies, constructing the simulation environment with periodic boundary conditions, running an equilibrium phase (NVE ensemble) for 200 picoseconds followed by a production phase (NVT ensemble) with 1 femtosecond time steps (1 ns), and analyzing trajectory data, particularly the Radial Distribution Function (RDF), to understand molecular interactions (refer to Equation (1)) [35,37]. Guidance for calculations, including RDF and Mean Square Displacement (MSD) analysis, was provided by Biovia Material Studio software as well as from previous studies [38,39].
Following geometry optimization, the annealing process addressed the non-uniform molecular distribution within the amorphous cell, ensuring a realistic system representation. The combined energy minimization and annealing procedure, known as “relaxing the structure”, enhances the reliability and validity of simulations involving amorphous materials. The MSD typically exhibits two distinct behaviors: minimal diffusion with constant MSD during short times due to confinement and a linear increase in MSD over longer times as molecules move through free-volume pockets. The rise in MSD over time is directly linked to the diffusion coefficient (D) [40], as presented in Equations (2) and (3).
In the practical approach, various parameters influence the reaction between the amine and CO2, including the type of absorbent, interactions between different amines, amine solution concentration, and temperature. The fundamental chemical reaction occurs between the amino group of the amine molecule and CO2. Primary and secondary amines react with CO2 to produce carbamates and protonated amines. Tertiary amines, on the other hand, cannot react directly with CO2; instead, they require water to assist CO2 hydrolysis, which results in bicarbonates [41]. The studies show that NMP, EG, and MeOH do not participate in chemical reactions with amines but react physically in water-lean solvents [7,32,42,43,44]. Therefore, we suppose that the co-solvents are present in the system but do not participate in chemical reactions. The interaction between CO2 and primary/secondary amines has three major stages: carbamate formation, bicarbonate formation, and carbamate reversion. Equations (4)–(6) represent these steps [45]:
Carbamate production takes precedence when there is an excess of primary or secondary amines. In these circumstances, 0.5 moles of CO2 and 1 mole of these amines can react to generate carbamates. All amines, however, may also experience some carbamate hydrolysis, suggesting that the absorbent may actually absorb more CO2 than the 0.5 mole limit. In the presence of water, tertiary amines react with CO2 via a base-catalyzed hydration process. This is due to the fact that tertiary amines do not have a CO2-direct reactive site. Water makes it easier for CO2 to hydrate and for bicarbonates to form. Equations (7) and (8) represent the reaction mechanism.
3. Model Validation
Evaluating amine density in molecular dynamics (MD) simulations is essential for assessing the performance of the selected force field. This computational approach calculates the density of amines in the simulated system, using the force field to provide insights into their molecular packing structure. To validate the accuracy of these simulations, the estimated density values are often compared with experimental data.
Table 4 facilitates this validation by presenting the densities of specific amines at standard conditions (298 K and 1 atm), serving as a reference for MD results. The simulations were conducted using the NPT ensemble over a 2 ns timescale, with data recorded every 5000 steps. The average density profiles, depicted in Figure 2a–c, visually represent the fluctuations in the densities of various pure amines such as MDEA, DEA, NMP, MeOH, and MEG, as well as blended amines like MDEA-MAE-EG, MDEA-EG, MDEA-MAE-MeOH, MDEA-MeOH, MDEA-MAE-NMP, MDEA-NMP, and MDEA-MAE within different regions of the simulation cell. These profiles (Figure 2) shed light on the density fluctuations throughout the simulation period at given conditions. The lines in Figure 2b are drawn to show the trend. The density of molecules depends on the number of molecules inserted in the simulation box. For pure substances, a higher molecular weight can contribute to a higher density. However, this relationship is not always straightforward due to the influence of molecular structure and intermolecular forces on molecular packing. A similar pattern is observed in the case of MAE; the simulation density is increased (Table 4). Stronger intermolecular forces, such as hydrogen bonds and van der Waals forces, can lead to tighter packing of molecules, thereby increasing density. For instance, 2-methylaminoethanol (MAE) exhibits significant hydrogen bonding due to its structure’s amino and hydroxyl groups. Despite their relatively small molecular weight (75 g/mol), the ability of MAE molecules to form multiple hydrogen bonds results in a highly organized and tightly packed molecular structure. This extensive hydrogen bonding network significantly enhances the density of MAE, similar to how water, a small molecule, has a relatively high density due to its hydrogen bonding capabilities [46]. The hydrogen bonding can be a cause of the reduction in diffusivity observed in the present system. Because the organized and tightly packed molecules increase the viscosity and, as a result, decrease the diffusivity [46].
Table 4.
Density estimation in material studio’s amorphous cell module.
Figure 2.
(a) Density estimation (g.mL−1) for pure solvents in the present work; (b) comparison between simulation and experimental density (g.mL−1) [47,48] of selected solvents; (c) density estimation (g.mL−1) for mixtures.
Another crucial parameter to validate the force field and model employed in the study is periodic boundary conditions (PBCs). PBCs play a significant role in both the implementation and validation of simulations. They replicate an infinite system within a finite, imaginary simulation cell, ensuring a uniform distribution throughout the simulation process. Table 3 demonstrates that the simulation results align well with the experimental data, confirming the accuracy of the density calculations. This agreement supports the validity of the force field, the application of periodic boundary conditions, and the model development for water-lean solvents.
4. Result and Discussion
The RDF analysis for MDEA-NMP, MDEA-EG, MDEA-MeOH, and MDEA-MAE-NMP, MDEA-MAE-EG, and MDEA-MAE-MeOH has been conducted. Different blends of MDEA-MAE with co-solvents (Methanol, N-Methyl-2-pyrrolidone, and Monoethylene Glycol) reveal significant insights into their influence on amine-based solvent systems for CO2 capture.
Table 5 shows the RDF results of various types of co-solvents with MDEA-MAE and the aqueous solvent of MDEA-MAE. The RDF (Radial Distribution Function) analysis findings for selected solvents in the study at 313 K provide insights into the interactions within MDEA-MAE and MDEA (N-methyldiethanolamine) systems with different solvents (MeOH, NMP, and EG) and varying water contents (30% and 50% H2O). Figure 3 shows RDF findings in MDEA-MAE-EG and MDEA-EG and a comparison of MDEA-MAE-EG and MDEA-EG with pure MDEA. From Figure 3, it can be seen that Namine-HH2O, Namine-CCO2, and Oamine-CCO2 are higher in MDEA-EG compared to other systems. The other interaction, HOamine-OH2O, is higher in aqueous MDEA. This can be due to the higher water concentration in MDEA, which indicates strong hydrogen bonding [49]. Similarly, Figure 4 shows the RDF findings of MDEA-MAE-MeOH and MDEA-MeOH. The interaction between Namine-HH2O and MDEA-MeOH is moderate, indicating good solvation. Overall, MDEA-MeOH shows moderate CO2 capture and good solvation stability. Still, MDEA-MAE-MeOH shows stronger interaction with CO2 with enhanced solvation and stability but a little weaker CO2 solubility compared to MDEA-MeOH and aqueous MDEA (refer to Figure 4a–d). Therefore, we infer that MDEA-MAE-MeOH results are better than those of MDEA-MeOH and aqueous MDEA.
Table 5.
RDF analysis findings for selected solvents in the present study at 313 K.
Figure 3.
Comparison of RDF Findings (a) Namine-HH2O (b) Namine-CCO2 (c) Oamine-CCO2 (d) HOamine-OH2O in MDEA-MAE-EG and MDEA-EG with Aq. MDEA [50].
Figure 4.
Comparison of RDF Findings (a) Namine-HH2O (b) Namine-CCO2 (c) Oamine-CCO2 (d) HOamine-OH2O in MDEA-MAE-MeOH and MDEA-MeOH with Aq. MDEA [50].
The other systems analyzed in the present work are MDEA-MAE-NMP and MDEA-NMP. Figure 5 shows the graphical representation of MDEA-MAE-NMP, MDEA-NMP, and aqueous MDEA. Compared to MDEA-MAE-NMP and MDEA-NMP, the MDEA-NMP system shows stronger interactions for all examined systems except HOamine-OH2O. In fact, this interaction is highest in MDEA compared to all the solvent systems examined in the present work. Therefore, from the above discussion, we conclude that the MDEA-EG, MDEA-NMP, and MDEA-MAE-MeOH systems show prominent interaction intensity among all the observed systems.
Figure 5.
Comparison of RDF Findings (a) Namine-HH2O (b) Namine-CCO2 (c) Oamine-CCO2 (d) HOamine-OH2O in MDEA-MAE-NMP and MDEA-NMP with Aq. MDEA [50].
A comparative analysis of the MDEA-MAE system with all three co-solvents will be conducted in the following discussion. Table 5 shows consistent distance g(r) for RDF peak positions across different systems. However, the intensity of these peaks varies, indicating differences in interaction strengths. For example, in the Namine-HH2O (amine-water hydrogen bonding) interactions, the RDF peak position is consistently at 4.75 Å for all solvent systems, with variations in intensity: 1.53 Å for MeOH, 1.31 Å for NMP, and 1.22 Å for EG. This indicates a similar spatial arrangement but with varying interaction strengths, slightly stronger in MeOH. When the water content is increased to 50% (MDEA-MAE-50%H2O without organic solvent), the RDF peak remains at 4.75 A° with an intensity of 1.29 Å, signifying a slight increase in hydrogen bonding interactions due to the higher water content. In the case of Namine-CCO2 (amine-CO2) interactions, all solvent systems show a consistent RDF peak at a distance (r) of 5.25 Å. The intensities, however, vary more significantly: 2.01 Å for MeOH, 1. 67 Å for NMP, and 2.02 Å for EG. The interaction is strongest in the EG system, and the intensity decreases to 1.67 Å with 50% H2O in the MDEA-MAE system. It indicates that the solvent system with EG (MDEA-MAE-EG) can enhance amine-CO2 interactions.
For Oamine-CCO2 (oxygen in amine-CO2) interactions, the RDF peaks were observed at 5.25 Å and 3.25 Å, with intensities showing notable differences: 3.25 Å, 0.92 Å for MeOH, 1.21 Å for NMP, and 1.10Å for EG. The weakest interaction is observed in the MeOH system. With 50% H2O, the intensity increases to 1.18 Å, highlighting the role of water in strengthening these interactions. Lastly, for HOamine-OH2O, the RDF peak is at 3.25 Å across all systems, with slight intensity variations: 1.43 Å for MeOH, 1.68 Å for NMP, and 1.45 Å for EG. The interaction strength decreases slightly in MeOH. With 50% H2O, the intensity is 1.35 Å, indicating a moderate decrease in interaction strength with higher water content compared to MeOH and EG systems. Table 6 summarizes the co-solvent effect studied in the present work, and Table 7 shows the generalized findings of the study. The choice of water concentration and co-solvent significantly impacts the efficiency and stability of CO2 capture systems. While lower water concentrations can enhance CO2 interactions for some co-solvents, higher water concentrations generally provide more stable interactions. Optimizing these parameters is crucial for improving CO2 capture performance. Moreover, the graphical representation of RDF is provided in the Supplementary Files.
Table 6.
Summary of findings for various co-solvent effects and challenges.
Table 7.
General RDF findings with various co-solvents and water concentration at 313 K.
5. Estimation of Diffusion Coefficient and Effect of Co-Solvent on CO2 Diffusion in Various Aqueous and Water-Lean Solvent Systems
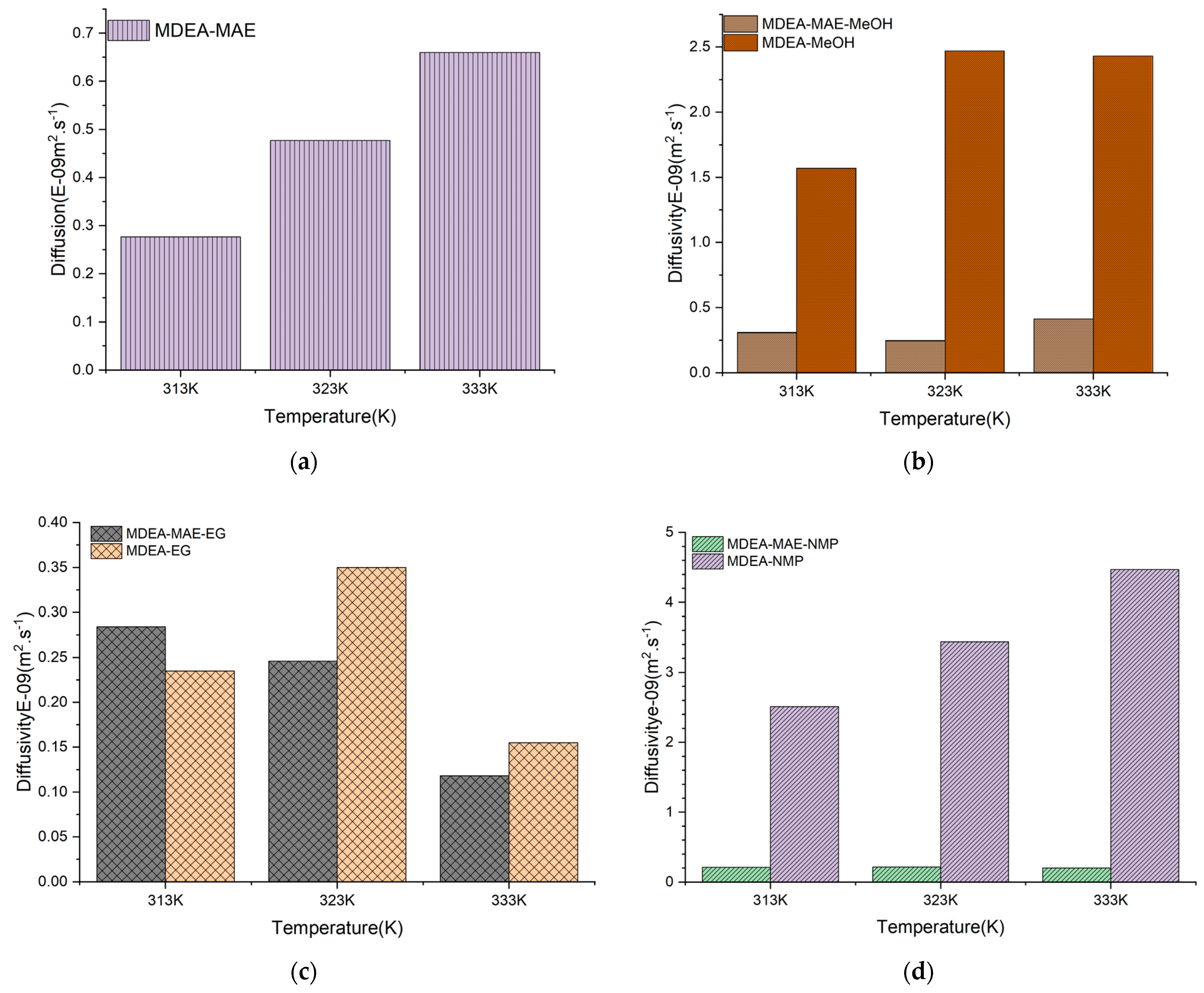
Table 8 presents the diffusivity estimation of CO2 in different MDEA-MAE and MDEA-based solvent systems at three temperatures (313 K, 323 K, and 333 K). MSD analysis shows that diffusivity increases with an increase in temperature in the aqueous solvent MDEA-MAE (no organic co-solvents), i.e., 0.276 × 10−9 m2/s at 313 K, 0.477 × 10−9 m2/s at 323 K, and 0.660 × 10−9 m2/s at 333 K. It shows that diffusivity increases significantly with temperature, indicating that higher temperatures enhance the molecular motion and interaction between CO2 and the solvent, thus improving CO2 diffusion. A similar trend is observed in aqueous solvents in the literature as well as in our previous work [35,52,53]. This is because, at higher temperatures, the kinetic energy of the particle increases. As a result, the collision between particles increases, and we observe higher diffusivity. The other blend is MDEA-MAE with EG (30% H2O) and MDEA-EG (40%H2O). Unlike the other systems, this blend shows a decrease in diffusivity with an increase in temperature, as given in Figure 6c.
Table 8.
Diffusivity estimation at various temperatures by MSD analysis.
Figure 6.
Comparison of CO2 diffusivity (m2.s−1) estimation in (a) MDEA-MAE, (b) MDEA-MAE-MeOH, MDEA-MeOH, (c) MDEA-MAE-EG, MDEA-EG, (d) MDEA-MAE-NMP, and MDEA-NMP at three different temperatures.
This could be due to the higher viscosity of EG [48]. MDEA-MAE-EG contains 30%H2O, and we observe a decrease in diffusivity with an increase in temperature. Still, when the water concentration increased to 40% in MDEA-EG-40%H2O, the diffusivity increased with an increase in temperature from 313 K to 323 K. This indicates that higher water concentrations reduce the viscosity of the solvent system, and we observe higher diffusivity. But 333 K again shows a decrease in diffusivity, which means the system’s viscosity increases at higher temperatures. The effect can also be from the MDEA, because a similar effect is observed in the case of pure MDEA. A study conducted by Al-Gawaas et al. (1989) shows that in the case of pure MDEA, viscosity decreases with an increase in temperature [54]. Molecular interactions also play a significant role. The presence of co-solvents like NMP, EG, and MeOH introduces additional hydrogen bonding, dipole-dipole interactions, and van der Waals forces. These interactions change non-linearly with temperature, leading to irregular diffusivity patterns [55]. This sensitivity can result in varying degrees of interaction strength at different temperatures, further complicating the diffusivity behavior. Viscosity changes with temperature also contribute to the irregular pattern. While temperature typically reduces viscosity, which should increase diffusivity, in co-solvent systems, the reduction in viscosity is not uniform across all components. This inconsistency leads to complex and non-linear changes in diffusivity. The other reason could be the presence of MAE. It can be seen from Table 8 that the presence of MAE reduces diffusivity compared to blends without MAE. This is because in MAE, due to relatively strong intermolecular forces, like hydrogen bonding, the molecules are organized and tightly packed, which increases the viscosity and surface tension and, as a result, decreases the diffusivity [46].
The diffusivity trend in MDEA-MAE with NMP (30%H2O) is 0.2108 × 10−9 m2/s at 313 K, 0.2139 × 10−9 m2/s at 323 K, and 0.2025 × 10−9 m2/s at 333 K (Figure 6d). The diffusivity values remain relatively constant across the temperature range, suggesting that NMP maintains a stable environment for CO2 diffusion, potentially due to its high boiling point and consistent viscosity. On the other side, the blend without MAE (MDEA-NMP-40%H2O) shows very high diffusivity compared to the MDEA-MAE-NMP-30%H2O blend. This indicates that NMP shows different trends in both cases, each having a different water concentration. The literature can support these results. The studies show that NMP behaves differently with different water concentrations. For example, a study conducted by Xu et al. (2022) analyzed the diffusivity in MEA-NMP and DMPAD-NMP systems with varying water concentrations [56]. The results indicated that in the case of MEA-NMP, the diffusivity increases with an increase in temperature and water concentration, but in DMEDA-NMP and DMPDA-NMP systems, it shows an opposite trend (decreases with an increase in temperature and water concentration). Both of these blends containing NMP show different trends in diffusivity at three different temperatures.
The other systems analyzed in the present work are MDEA-MAE with MeOH (30%H2O) and MDEA-MeOH (40%H2O). The CO2 diffusion coefficient in MDEA-MAE-MeOH is 0.308 × 10−9 m2/s at 313 K, 0.246 × 10−9 m2/s at 323 K, and 0.413 × 10−9 m2/s at 333 K, whereas it is 1.57 × 10−9 m2/s at 313 K, 2.47 × 10−9 m2/s at 323 K, and 3.06 × 10−9 m2/s at 333 K, as presented in Table 7 and Figure 6b. The results show variable trends, with a decrease at 323 K followed by a significant increase at 333 K in the MDEA-MAE-MeOH system.
The other systems analyzed in the present work are MDEA-MAE with MeOH (30%H2O) and MDEA-MeOH (40%H2O). The CO2 diffusion coefficient in MDEA-MAE-MeOH is 0.308 × 10−9 m2/s at 313 K, 0.246 × 10−9 m2/s at 323 K, and 0.413 × 10−9 m2/s at 333 K, whereas it is 1.57 × 10−9 m2/s at 313 K, 2.47 × 10−9 m2/s at 323 K, and 3.06 × 10−9 m2/s at 333 K, as presented in Table 8 and Figure 6b. The results show variable trends, with a decrease at 323 K followed by a significant increase at 333 K in the MDEA-MAE-MeOH system. On the other side, the blend of MDEA-MeOH-40%H2O shows an increase in diffusivity with an increase in temperature. The increase in diffusivity is due to the presence of MDEA, because studies show that MDEA has high diffusivity [54]. The initial decrease in MDEA-MAE-MeOH might be due to methanol’s volatility and changes in solvent structure, but the sharp increase at higher temperatures suggests improved CO2 diffusion, likely due to reduced solvent viscosity [41].
To check the validity of the simulation results, the CO2 diffusivity in MDEA at 50 wt% and the CO2 diffusivity in water were also examined. Table 9 compares the results of the present study with those of the literature. The graphical representation is provided in Figure 7. The detailed MSD analysis with adjusted R2 values for all the solvent systems, including MDEA and H2O at various temperatures, is given in the Supplementary Files. Table 9 represents the diffusivity estimation results as well as the density of the solvent system at various temperatures. It can be seen that the diffusivity of CO2 in water is much higher than MDEA. The trend in diffusivity is the same in both MDEA and H2O; it increases with an increase in temperature (Figure 7a,b). From the findings of the present work, there is a good agreement between the present study and the experimental studies in the literature, which can help validate the simulation results and research route adopted in the present study.
Table 9.
Comparison of CO2 diffusivity (m2.s−1) with the literature at three different temperatures.
Figure 7.
Comparison of (a) CO2 diffusivity (m2.s−1) in MDEA and (b) in H2O from the present work with the literature [54].
Selecting the appropriate co-solvent is crucial for optimizing the efficiency of amine-based CO2 capture systems. Each co-solvent offers distinct advantages. The present research shows that methanol is suitable for applications requiring strong hydrogen bonding and effective CO2 capture at lower temperatures, despite handling challenges. NMP shows consistent behavior at three different temperatures. Therefore, it is ideal for consistent performance across various temperatures with minimal evaporation losses [7,51]. EG Offers a balanced approach with strong hydrogen bonding and effective CO2 capture, though its performance is temperature-sensitive. Generally, higher temperatures increase diffusivity by enhancing molecular interactions and decreasing solvent viscosity, except for specific interactions observed in the EG system. Each co-solvent impacts the diffusivity differently, demonstrating the importance of selecting an appropriate co-solvent based on the desired temperature and diffusion characteristics [7,57]. EG shows unusual trends, potentially due to increased viscosity at higher temperatures and lower solubility [58]. NMP maintains stable diffusivity, making it a good candidate for systems requiring consistent performance across temperature variations. MeOH exhibits variability, indicating its performance is highly temperature-dependent [57]. The co-solvent and operating temperature choices profoundly affect CO2 diffusivity in MDEA-MAE systems. Understanding these interactions helps in optimizing solvent formulations for efficient CO2 capture. For stable and consistent diffusivity, NMP is favorable, whereas MEG and MeOH offer specific advantages at a particular temperature range.
Our findings provide vital insights into the effect of various co-solvents on CO2 capture efficiency, opening the path for developing more effective and sustainable CO2 capture devices. Our findings demonstrate the potential of methanol, NMP, and EG as co-solvents, allowing for further steps such as solvent formulation optimization and laboratory-scale experiment design to test and develop these formulations. While keeping in mind the boundaries of the present work, the study’s limitations include the fact that molecular dynamics simulations rely on force fields and approximations that may not fully capture real-world complexities. In other words, the simulations were conducted only at specific temperatures, concentrations, and pressures, limiting extrapolation to other conditions.
6. Conclusions
The choice of co-solvent significantly impacts the performance of amine-based CO2 capture systems. Understanding the specific interactions and properties of each co-solvent makes it possible to tailor the solvent system to meet the desired efficiency, stability, and cost-effectiveness, thereby optimizing the overall CO2 capture process. The present study employed molecular dynamic simulation to assess the effect of co-solvent on CO2 absorption and CO2 diffusion in a water-lean MDEA-based solvent system using three types of organic solvents: NMP, MeOH, EG (MDEA-MAE-NMP, MDEA-MAE-MeOH, and MDEA-MAE-EG). MDEA-MAE (50%H2O) without co-solvent is selected to check the effect of co-solvent. The effect of co-solvent was studied in two aspects: first, the effect on CO2 absorption by RDF analysis, and second, the effect on CO2 diffusion by MSD analysis.
The RDF analysis reveals that adding MAE does not raise the interaction intensity except in the MDEA-MAE-MeOH system. This system shows a slight rise in intensity compared to the MDEA-MeOH system. Specific interactions vary depending on the co-solvent used. Ethylene glycol (EG) and N-methyl-2-pyrollidone (NMP) show distinct behaviors in combination with MDEA and MAE. From all the observed systems, MDEA-EG (40%H2O) and MDEA-NMP (40%H2O) show higher intensity compared to other solvent systems examined in the present work, suggesting their potential as effective solvents for CO2 capture. MDEA-MAE-50%H2O (without co-solvent) shows lower interaction intensity compared to solvent systems with organic co-solvents. Similarly, the CO2 diffusivity in this blend (MDEA-MAE-50%H2O) is lower than in other water-lean solvents. However, it shows a regular trend in diffusivity with an increase in temperature.
The findings of CO2 diffusivity estimation with different co-solvents combined with an MDEA-based system indicated that MDEA-NMP-40%H2O and MDEA-EG-40%H2O show the highest diffusivity in all the solvent systems examined in the present work. These systems exhibited higher CO2 diffusivity across a range of temperatures (313 K, 323 K, and 333 K), indicating enhanced mobility and capture efficiency, particularly notable in MDEA-NMP (40% H2O). In contrast, introducing MAE into these solvent blends generally weakened interaction intensities and CO2 diffusivity, implying a less favorable impact on CO2 capture efficiency than MDEA systems or those incorporating ethanol or ethylene glycol. This effect can be due to the stronger interactions in MAE because the organized and tightly packed molecules increase the viscosity and, as a result, decrease diffusivity. Furthermore, the temperature dependence of CO2 diffusivity displayed complex behaviors in co-solvent systems compared to aqueous systems. The CO2 diffusivity increases with the increase in temperature in the aqueous solvent MDEA-MAE, but the solvent system containing different co-solvents does not follow a regular pattern. This inconsistency leads to complex and non-linear changes in diffusivity in the presence of co-solvents. These results emphasize the effects of solvent composition on CO2 capture efficiency under varying thermal conditions.
Future research can explore a wider range of co-solvents to optimize CO2 capture efficiency and sustainability and address the potential for reductions in corrosion and degradation by adding co-solvents. Studies under varying temperature and pressure conditions will help identify optimal operational settings. Additionally, assessing the long-term stability of co-solvent-enhanced systems is crucial for understanding degradation mechanisms.
Supplementary Materials
The following supporting information can be downloaded at: https://www.mdpi.com/article/10.3390/pr12081588/s1, Figure S1: MSD analysis of MDEA-MAE based system with Various Co-solvents, Figure S2: Diffusivity (m2. s−1) Estimation in Various blends at three different Temperatures Figure S3: Diffusivity (m2.s−1) Estimation in Various blends at three different Temperatures, Figure S4: MSD analysis of CO2 Diffusivity (m2. s−1) Estimation in H2O, Figure S5: MSD Analysis of MDEA-NMP at three different Temperatures, Figure S6: MSD Analysis of MDEA-EG at three different Temperatures, Figure S7: MSD Analysis of 50wt%MDEA at three different Temperatures, Figure S8: RDF study of MDEA-MAE (a) Oamine-CCO2 and (b) HOamine-OH2O with different Co-Solvents, Figure S9: RDF study of MDEA-MAE based System (a) Namine-HH2O and (b) Namine-CCO2 with different Co-solvents, Figure S10: Diffusivity (m2.s−1) Estimation in Various blends at three different Temperatures.
Author Contributions
Conceptualization, M.S. and T.W.; Methodology and Software, M.S.; Formal analysis, C.G.; Investigation and data curation, W.Z.; Writing—original draft preparation, M.S.; Review and editing, M.F., T.W. and X.G.; Supervision, T.W.; Project Administration and funding acquisition, T.W. & M.F. All authors have read and agreed to the published version of the manuscript.
Funding
This study was supported by the National Key R&D Program of China (2022YFB4101700), the Pioneer R&D Program of Zhejiang Province (2023C03016), and the Zhejiang Provincial Natural Science Foundation of China (DT23E060002).
Data Availability Statement
Data is provided in the form of Tables and Figures in the Paper as well as in the Supplementary Files.
Conflicts of Interest
Authors Chunliang Ge and Wei Zhang were employed by the company Zhejiang Zheneng Technology & Environment Group Co., Ltd. The remaining authors declare that the research was conducted in the absence of any commercial or financial relationships that could be construed as a potential conflict of interest. The Zhejiang Zheneng Technology & Environment Group Co., Ltd. had no role in the design of the study; in the collection, analyses, or interpretation of data; in the writing of the manuscript, or in the decision to publish the results.
References
- Liu, J.; Qian, J.; He, Y. Water-lean triethylenetetramine/N, N-diethylethanolamine/n-propanol biphasic solvents: Phase-separation performance and mechanism for CO2 capture. Sep. Purif. Technol. 2022, 289, 120740. [Google Scholar] [CrossRef]
- Tan, Y.; Nookuea, W.; Li, H.; Thorin, E.; Yan, J. Property impacts on Carbon Capture and Storage (CCS) processes: A review. Energy Convers. Manag. 2016, 118, 204–222. [Google Scholar] [CrossRef]
- Feng, Y.; Chen, J.; Luo, J. Life cycle cost analysis of power generation from underground coal gasification with carbon capture and storage (CCS) to measure the economic feasibility. Resour. Policy 2024, 92, 104996. [Google Scholar] [CrossRef]
- Desai, B.H. United Nations Environment Programme (UNEP). Yearb. Int. Environ. Law 2020, 31, 319–325. [Google Scholar] [CrossRef]
- Fernández, J.; Sotenko, M.; Derevschikov, V.; Lysikov, A.; Rebrov, E.V. A radiofrequency heated reactor system for post-combustion carbon capture. Chem. Eng. Process. Process Intensif. 2016, 108, 17–26. [Google Scholar] [CrossRef]
- Rubin, E.S.; Davison, J.E.; Herzog, H. The cost of CO2 capture and storage. Int. J. Greenh. Gas Control 2015, 40, 378–400. [Google Scholar] [CrossRef]
- Wanderley, R.R.; Pinto, D.D.; Knuutila, H.K. From hybrid solvents to water-lean solvents–A critical and historical review. Sep. Purif. Technol. 2021, 260, 118193. [Google Scholar] [CrossRef]
- Heldebrant, D.J.; Koech, P.K.; Glezakou, V.-A.; Rousseau, R.; Malhotra, D.; Cantu, D.C. Water-lean solvents for post-combustion CO2 capture: Fundamentals, uncertainties, opportunities, and outlook. Chem. Rev. 2017, 117, 9594–9624. [Google Scholar] [CrossRef]
- Ping, T.; Dong, Y.; Shen, S. Energy-efficient CO2 capture using nonaqueous absorbents of secondary alkanolamines with a 2-butoxyethanol cosolvent. ACS Sustain. Chem. Eng. 2020, 8, 18071–18082. [Google Scholar] [CrossRef]
- Wanderley, R.R.; Pinto, D.D.; Knuutila, H.K. Investigating opportunities for water-lean solvents in CO2 capture: VLE and heat of absorption in water-lean solvents containing MEA. Sep. Purif. Technol. 2020, 231, 115883. [Google Scholar] [CrossRef]
- Wang, N.; Peng, Z.; Gao, H.; Sema, T.; Shi, J.; Liang, Z. New insight and evaluation of secondary Amine/N-butanol biphasic solutions for CO2 Capture: Equilibrium Solubility, phase separation Behavior, absorption Rate, desorption Rate, energy consumption and ion species. Chem. Eng. J. 2022, 431, 133912. [Google Scholar] [CrossRef]
- Shi, X.; Li, C.; Guo, H.; Shen, S. Density, viscosity, and excess properties of binary mixtures of 2-(methylamino) ethanol with 2-methoxyethanol, 2-ethoxyethanol, and 2-butoxyethanol from 293.15 to 353.15 K. J. Chem. Eng. Data 2019, 64, 3960–3970. [Google Scholar] [CrossRef]
- Guo, H.; Li, C.; Shi, X.; Li, H.; Shen, S. Nonaqueous amine-based absorbents for energy efficient CO2 capture. Appl. Energy 2019, 239, 725–734. [Google Scholar] [CrossRef]
- Alkhatib, I.I.; Pereira, L.M.; AlHajaj, A.; Vega, L.F. Performance of non-aqueous amine hybrid solvents mixtures for CO2 capture: A study using a molecular-based model. J. CO2 Util. 2020, 35, 126–144. [Google Scholar] [CrossRef]
- Wang, Z.; Yang, P.; He, X.; Yu, Q. Preparation of intercalated MXene by TPAOH and its adsorption characteristics towards U (VI). J. Radioanal. Nucl. Chem. 2024, 333, 1999–2014. [Google Scholar] [CrossRef]
- Garcia, M.; Knuutila, H.K.; Aronu, U.E.; Gu, S. Influence of substitution of water by organic solvents in amine solutions on absorption of CO2. Int. J. Greenh. Gas Control 2018, 78, 286–305. [Google Scholar] [CrossRef]
- Li, Y.; Cheng, J.; Hu, L.; Liu, J.; Zhou, J.; Cen, K. Phase-changing solution PZ/DMF for efficient CO2 capture and low corrosiveness to carbon steel. Fuel 2018, 216, 418–426. [Google Scholar] [CrossRef]
- Ye, J.; Jiang, C.; Chen, H.; Shen, Y.; Zhang, S.; Wang, L.; Chen, J. Novel biphasic solvent with tunable phase separation for CO2 capture: Role of water content in mechanism, kinetics, and energy penalty. Environ. Sci. Technol. 2019, 53, 4470–4479. [Google Scholar] [CrossRef]
- Lin, Y.-J.; Pan, T.-H.; Wong, D.S.-H.; Jang, S.-S.; Chi, Y.-W.; Yeh, C.-H. Plantwide control of CO2 capture by absorption and stripping using monoethanolamine solution. Ind. Eng. Chem. Res. 2011, 50, 1338–1345. [Google Scholar] [CrossRef]
- Park, Y.; Lin, K.-Y.A.; Park, A.-H.A.; Petit, C. Recent advances in anhydrous solvents for CO2 capture: Ionic liquids, switchable solvents, and nanoparticle organic hybrid materials. Front. Energy Res. 2015, 3, 42. [Google Scholar] [CrossRef]
- Wang, R.; Liu, S.; Wang, L.; Li, Q.; Zhang, S.; Chen, B.; Jiang, L.; Zhang, Y. Superior energy-saving splitter in monoethanolamine-based biphasic solvents for CO2 capture from coal-fired flue gas. Appl. Energy 2019, 242, 302–310. [Google Scholar] [CrossRef]
- Li, Q.; Gao, G.; Wang, R.; Zhang, S.; An, S.; Wang, L. Role of 1-methylimidazole in regulating the CO2 capture performance of triethylenetetramine-based biphasic solvents. Int. J. Greenh. Gas Control 2021, 108, 103330. [Google Scholar] [CrossRef]
- Hu, H.; Fang, M.; Liu, F.; Wang, T.; Xia, Z.; Zhang, W.; Ge, C.; Yuan, J. Novel alkanolamine-based biphasic solvent for CO2 capture with low energy consumption and phase change mechanism analysis. Appl. Energy 2022, 324, 119570. [Google Scholar] [CrossRef]
- Chronopoulos, T.; Fernandez-Diez, Y.; Maroto-Valer, M.M.; Ocone, R.; Reay, D.A. CO2 desorption via microwave heating for post-combustion carbon capture. Microporous Mesoporous Mater. 2014, 197, 288–290. [Google Scholar] [CrossRef]
- Qian, J.; Sun, R.; Sun, S.; Gao, J. Computer-Free Group-Addition Method for p K a Prediction of 73 Amines for CO2 Capture. J. Chem. Eng. Data 2017, 62, 111–122. [Google Scholar] [CrossRef]
- El Hadri, N.; Quang, D.V.; Goetheer, E.L.; Zahra, M.R.A. Aqueous amine solution characterization for post-combustion CO2 capture process. Appl. Energy 2017, 185, 1433–1449. [Google Scholar] [CrossRef]
- Barzagli, F.; Mani, F.; Peruzzini, M. A comparative study of the CO2 absorption in some solvent-free alkanolamines and in aqueous monoethanolamine (MEA). Environ. Sci. Technol. 2016, 50, 7239–7246. [Google Scholar] [CrossRef]
- Liu, B.; Luo, X.; Gao, H.; Idem, R.; Tontiwachwuthikul, P.; Olson, W.; Liang, Z. Reaction kinetics of the absorption of carbon dioxide (CO2) in aqueous solutions of sterically hindered secondary alkanolamines using the stopped-flow technique. Chem. Eng. Sci. 2017, 170, 16–25. [Google Scholar] [CrossRef]
- Bihong, L.; Kexuan, Y.; Xiaobin, Z.; Zuoming, Z.; Guohua, J. 2-Amino-2-methyl-1-propanol based non-aqueous absorbent for energy-efficient and non-corrosive carbon dioxide capture. Appl. Energy 2020, 264, 114703. [Google Scholar] [CrossRef]
- Tan, L.; Shariff, A.; Lau, K.; Bustam, M. Impact of high pressure on high concentration carbon dioxide capture from natural gas by monoethanolamine/N-methyl-2-pyrrolidone solvent in absorption packed column. Int. J. Greenh. Gas Control 2015, 34, 25–30. [Google Scholar] [CrossRef]
- Henni, A.; Mather, A.E. Solubility of carbon dioxide in methyldiethanolamine+ methanol+ water. J. Chem. Eng. Data 1995, 40, 493–495. [Google Scholar] [CrossRef]
- Wanderley, R.R.; Evjen, S.; Pinto, D.D.D.; Knuutila, H.K. The salting-out effect in some physical absorbents for CO2 capture. Chem. Eng. Trans. 2018, 69, 97–102. [Google Scholar]
- Schlecht, M.F. Molecular Modeling on the PC; Wiley-VCH: New York, NY, USA, 1998. [Google Scholar]
- Li, Z.; Gan, B.; Li, Z.; Zhang, H.; Wang, D.; Zhang, Y.; Wang, Y. Kinetic mechanisms of methane hydrate replacement and carbon dioxide hydrate reorganization. Chem. Eng. J. 2023, 477, 146973. [Google Scholar] [CrossRef]
- Narimani, M.; Amjad-Iranagh, S.; Modarress, H. Performance of tertiary amines as the absorbents for CO2 capture: Quantum mechanics and molecular dynamics studies. J. Nat. Gas Sci. Eng. 2017, 47, 154–166. [Google Scholar] [CrossRef]
- Song, Z.; Han, D.; Yang, M.; Huang, J.; Shao, X.; Li, H. Formic acid formation via direct hydration reaction (CO+ H2O→ HCOOH) on magnesia-silver composite. Appl. Surf. Sci. 2023, 607, 155067. [Google Scholar] [CrossRef]
- Sharif, M.; Fan, H.; Sultan, S.; Yu, Y.; Zhang, T.; Wu, X.; Zhang, Z. Evaluation of CO2 absorption and stripping process for primary and secondary amines. Mol. Simul. 2023, 49, 565–575. [Google Scholar] [CrossRef]
- Biovia. Material Studio, Biovia: 2019 Version; Available online: https://www.3ds.com/products/biovia/materials-studio (accessed on 24 July 2024).
- Meunier, M. Diffusion coefficients of small gas molecules in amorphous cis-1, 4-polybutadiene estimated by molecular dynamics simulations. J. Chem. Phys. 2005, 123, 134906. [Google Scholar] [CrossRef]
- Allen, M.P.; Tildesley, D.J. Computer Simulation of Liquids; Oxford University Press: Oxford, UK, 2017. [Google Scholar]
- Zhang, G.; Liu, J.; Qian, J.; Zhang, X.; Liu, Z. Review of Research Progress and Stability Studies of Amine-based Biphasic Absorbents for CO2 Capture. J. Ind. Eng. Chem. 2024, 134, 28–50. [Google Scholar] [CrossRef]
- Shamiri, A.; Shafeeyan, M.; Tee, H.; Leo, C.; Aroua, M.; Aghamohammadi, N. Absorption of CO2 into aqueous mixtures of glycerol and monoethanolamine. J. Nat. Gas Sci. Eng. 2016, 35, 605–613. [Google Scholar] [CrossRef]
- Olyaei, E.; Hafizi, A.; Rahimpour, M. Low energy phase change CO2 absorption using water-lean mixtures of glycine amino acid: Effect of co-solvent. J. Mol. Liq. 2021, 336, 116286. [Google Scholar] [CrossRef]
- Versteeg, G.; van Swaaij, W.P.M. On the kinetics between CO2 and alkanolamines both in aqueous and non-aqueous solutions—II. Tertiary amines. Chem. Eng. Sci. 1988, 43, 587–591. [Google Scholar] [CrossRef]
- Laddha, S.; Danckwerts, P. Reaction of CO2 with ethanolamines: Kinetics from gas-absorption. Chem. Eng. Sci. 1981, 36, 479–482. [Google Scholar] [CrossRef]
- Matsubara, H.; Pichierri, F.; Kurihara, K. Mechanism of diffusion slowdown in confined liquids. Phys. Rev. Lett. 2012, 109, 197801. [Google Scholar] [CrossRef]
- Chemspider. Royal Society of Chemistry Database. 2020. Available online: https://www.chemspider.com/ (accessed on 24 July 2024).
- Yaws, C.L. Yaws’ Thermophysical Properties of Chemicals and Hydrocarbons; Knovel: New York, NY, USA, 2009. [Google Scholar]
- Harun, N.; Masiren, E. Molecular dynamic simulation of amine-CO2 absorption process. Indian J. Sci. Technol. 2017, 10. [Google Scholar] [CrossRef]
- Masiren, E.; Harun, N.; Ibrahim, W.; Adam, F. Intermolecular Interaction of Monoethanolamine, Diethanolamine, Methyl diethanolamine, 2-Amino-2-methyl-1-propanol and Piperazine Amines in Absorption Process to Capture CO2 using Molecular Dynamic Simulation Approach. Universiti Malasiya Pahang. The National Conference for Postgraduate Researc. 2016. Available online: http://umpir.ump.edu.my/id/eprint/15835/1/P053%20pg385-397.pdf (accessed on 24 July 2024).
- Yuan, Y.; Rochelle, G.T. CO2 absorption rate in semi-aqueous monoethanolamine. Chem. Eng. Sci. 2018, 182, 56–66. [Google Scholar] [CrossRef]
- Sharif, M.; Han, T.; Wang, T.; Shi, X.; Fang, M.; Shuming, D.; Meng, R.; Gao, X. Investigation of Rational Design of Amine Solvents for CO2 Capture: A Computational Approach. Chem. Eng. Res. Des. 2024, 204, 524–535. [Google Scholar] [CrossRef]
- Sharif, M.; Wang, T.; Xu, Y.; Fang, M.; Wu, H.; Gao, X. Evaluating solvent efficiency for carbon capture: Comparative analysis of temperature, concentration and diffusivity effects. Geoenergy Sci. Eng. 2024, 237, 212833. [Google Scholar] [CrossRef]
- Al-Ghawas, H.A.; Hagewiesche, D.P.; Ruiz-Ibanez, G.; Sandall, O.C. Physicochemical properties important for carbon dioxide absorption in aqueous methyldiethanolamine. J. Chem. Eng. Data 1989, 34, 385–391. [Google Scholar] [CrossRef]
- Varady, M.J.; Knox, C.K.; Cabalo, J.B.; Bringuier, S.A.; Pearl, T.P.; Lambeth, R.H.; Mantooth, B.A. Molecular dynamics study of competing hydrogen bonding interactions in multicomponent diffusion in polyurethanes. Polymer 2018, 140, 140–149. [Google Scholar] [CrossRef]
- Xu, Y.; Yang, Q.; Puxty, G.; Yu, H.; Conway, W.; Fang, M.; Wang, T.; Mulder, R.J. Diffusivity in Novel Diamine-Based Water-Lean Absorbent Systems for CO2 Capture Applications. Ind. Eng. Chem. Res. 2022, 61, 12493–12503. [Google Scholar] [CrossRef]
- Park, S.-W.; Lee, J.-W.; Choi, B.-S.; Lee, J.-W. Absorption of carbon dioxide into non-aqueous solutions of N-methyldiethanolamine. Korean J. Chem. Eng. 2006, 23, 806–811. [Google Scholar] [CrossRef]
- Xu, H.-J.; Zhang, C.-F.; Zheng, Z.-S. Solubility of hydrogen sulfide and carbon dioxide in a solution of methyldiethanolamine mixed with ethylene glycol. Ind. Eng. Chem. Res. 2002, 41, 6175–6180. [Google Scholar] [CrossRef]
Disclaimer/Publisher’s Note: The statements, opinions and data contained in all publications are solely those of the individual author(s) and contributor(s) and not of MDPI and/or the editor(s). MDPI and/or the editor(s) disclaim responsibility for any injury to people or property resulting from any ideas, methods, instructions or products referred to in the content. |
© 2024 by the authors. Licensee MDPI, Basel, Switzerland. This article is an open access article distributed under the terms and conditions of the Creative Commons Attribution (CC BY) license (https://creativecommons.org/licenses/by/4.0/).











