Effects of Reclaimed Water Supplementation on the Occurrence and Distribution Characteristics of Antibiotic Resistance Genes in a Recipient River
Abstract
1. Introduction
2. Materials and Methods
2.1. Study Area and Sampling
2.2. Sample Collection and Storage
2.3. Chemical Analysis
2.4. Biological Analysis
2.5. Data Analysis
3. Results and Discussion
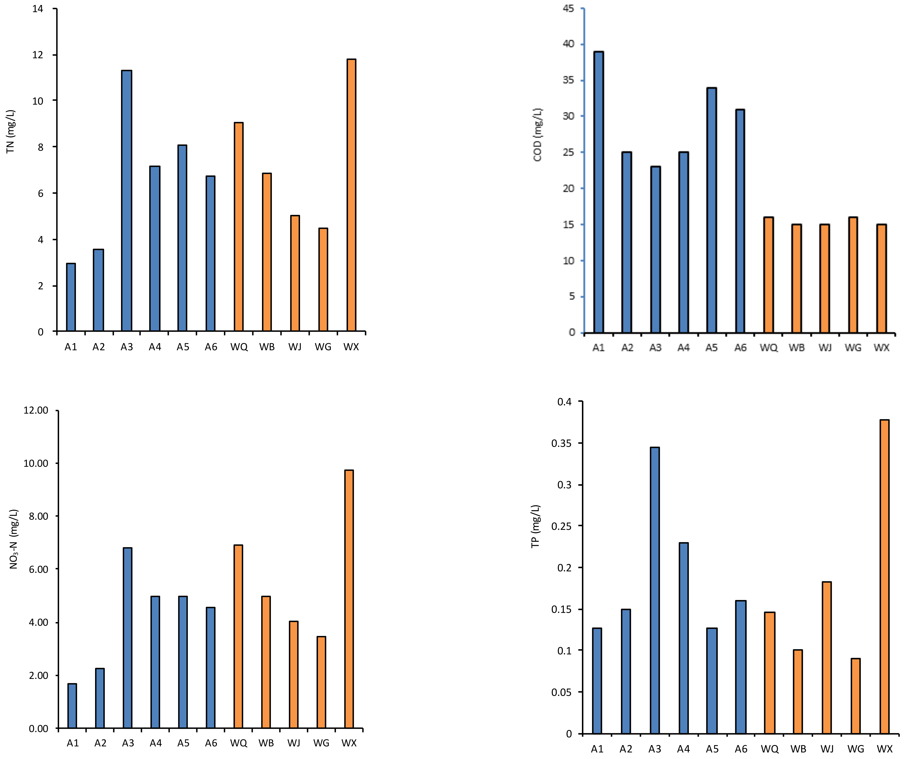
3.1. Physicochemical Indices
3.2. Characterization of Antibiotic Distribution in a River Replenished by Reclaimed Water
3.3. Diversity of Antibiotic Resistance Genes in a River Replenished by Reclaimed Water
3.4. Diversity of Multi-Resistant ARGs in a River Replenished by Reclaimed Water
3.5. Correlation Analysis of Antibiotic Resistance Gene Distribution and Environmental Factors
4. Conclusions
- (1)
- As a result of significant quantities of recycled water being introduced, the water quality downstream of the river noticeably varies from that of the upstream. With the input of reclaimed water, the total organic carbon (TOC), chemical oxygen demand (COD), chlorophyll (Chla), and total nitrogen (TN) in the surface water of the Wenyu River gradually increased.
- (2)
- Eleven types of antibiotics were detected in the river water and sewage treatment plants’ effluents. Among them, quinolones and macrolides were the main types of antibiotics. The distribution of ARGs in river water bodies was significantly different from that of reclaimed water, and the abundance of ARGs in river water bodies was lower than that of reclaimed water, with multi-resistance genes the most widespread class, which may gradually become the main trend of evolutionary variation of ARGs.
- (3)
- Through the correlation analysis between the distribution of ARGs and environmental variables, the environmental factors EC and DO, as well as tetracycline antibiotics (TCs) among antibiotics, may be important environmental factors affecting the distribution of ARGs.
Supplementary Materials
Author Contributions
Funding
Data Availability Statement
Conflicts of Interest
References
- Geng, Y.; Wang, M.; Sarkis, J.; Xue, B.; Zhang, L.; Fujita, T.; Yu, X.; Ren, W.; Zhang, L.; Dong, H. Spatial-temporal patterns and driving factors for industrial wastewater emission in China. J. Clean. Prod. 2014, 76, 116–124. [Google Scholar] [CrossRef]
- Barker-Reid, F.; Fox, E.M.; Faggian, R. Occurrence of antibiotic resistance genes in reclaimed water and river water in the Werribee Basin, Australia. J. Water Health 2010, 8, 521–531. [Google Scholar] [CrossRef][Green Version]
- Cai, Y.; Bi, Y.; Tian, B.; Cheng, L.; Zhou, S.; Qi, Q. Water quality characteristics and ecological risk evaluation of a landscaped river replenished by three reclaimed water sources in Qingdao, China. Environ. Sci. Pollut. Res. 2024, 31, 35609–35618. [Google Scholar] [CrossRef]
- White, S.A. Pharmaceuticals and Persistent Organic Micropollutants in Reclaimed Irrigation Water. In Proceedings of the 2013 ASHS Annual Conference, Palm Desert, CA, USA, 24 July 2013. [Google Scholar]
- Du, C.; Guo, W.; Li, G.; Bai, M.; Zhu, Q.; Tian, Z.; Li, M.; Zhao, C.; Zhang, L. Biomanipulation as a strategy for minimizing ecological risks in river supplied with reclaimed water. Environ. Res. Sect. A 2023, 228, 115801. [Google Scholar] [CrossRef] [PubMed]
- Zhong-Hong, C.; Yong-Min, M.A.; Wei, H.U. Endocrine Disrupting Compounds in Reclaimed Water Produced by a Certain Water Plant: Some Preliminary Results. J. Environ. Health 2005, 22, 171–173. [Google Scholar]
- Zhu, G.; Xue, C.; Fan, H.; Wu, N. Research progress of antibiotic resistance genes in environment. Prev. Med. 2020, 32, 1121–1125. [Google Scholar]
- He, R.; Yuan, K.; Lin, L.; Yang, Y.; Zou, S.; Luan, T.; Chen, B. Functional metagenomics: One of the most robust tools for discovering new antibiotics resistance genes. Environ. Chem. 2019, 7, 1548–1556. [Google Scholar]
- Zhang, Z.; Zhang, Q.; Wang, T.; Xu, N.; Lu, T.; Hong, W.; Penuelas, J.; Gillings, M.; Wang, M.; Gao, W.; et al. Assessment of global health risk of antibiotic resistance genes. Nat. Commun. 2022, 13, 1553. [Google Scholar] [CrossRef] [PubMed]
- Fan, Y.; Hao, F.; Wang, W.; Lu, Y.; He, L.; Wang, G.; Chen, W. Multicenter cross-sectional observational study of antibiotic resistance and the genotypes of Propionibacterium acnes isolated from Chinese patients with acne vulgaris. J. Dermatol. 2016, 43, 406–413. [Google Scholar] [CrossRef]
- Mahaney, A.; Franklin, R. Persistence of wastewater-associated antibiotic resistant bacteria in river microcosms. Sci. Total Environ. 2022, 819, 153099. [Google Scholar] [CrossRef]
- Caroline, P.; Orosco, W.G.; Deon, K.J.; Marisa, C. Genotyping and antimicrobial resistance in Escherichia coli from pig carcasses. Pesqui. Veterinária Bras. 2017, 37, 1253–1260. [Google Scholar]
- Lian, C.; Piksa, M.; Yoshida, K.; Persheyev, S.; Pawlik, K.J.; Matczyszyn, K.; Samuel, I.D.W. Flexible organic light-emitting diodes for antimicrobial photodynamic therapy. Npj Flex. Electron. 2019, 3, 18. [Google Scholar] [CrossRef]
- Nan, W.U. Tetracycline Residues and Tetracycline Resistance Gene Pollution in Soil:A Review. Asian J. Ecotoxicol. 2010, 5, 618–627. [Google Scholar]
- Matarese, V. Kinds of Replicability: Different Terms and Different Functions. Axiomathes 2022, 32, 647–670. [Google Scholar] [CrossRef]
- Dafale, N.A.; Srivastava, S.; Purohit, H.J. Zoonosis: An Emerging Link to Antibiotic Resistance Under “One Health Approach”. Indian J. Microbiol. 2020, 60, 139–152. [Google Scholar] [CrossRef]
- Xu, J.; Xu, Y.; Wang, H.; Guo, C.; Qiu, H.; He, Y.; Zhang, Y.; Li, X.; Meng, W. Occurrence of antibiotics and antibiotic resistance genes in a sewage treatment plant and its effluent-receiving river. Chemosphere 2015, 119, 1379–1385. [Google Scholar] [CrossRef]
- Szmolka, A.; Wami, H.; Dobrindt, U. Comparative Genomics of Emerging Lineages and Mobile Resistomes of Contemporary Broiler Strains of Salmonella Infantis and E. coli. Front. Microbiol. 2021, 12, 642125. [Google Scholar] [CrossRef]
- Guan, X.; Guo, Z.; Wang, X.; Xiang, S.; Sun, T.; Zhao, R.; He, J.; Liu, F. Transfer route and driving forces of antibiotic resistance genes from reclaimed water to groundwater. Environ. Pollut. 2023, 330, 121800. [Google Scholar] [CrossRef]
- Wang, C.; Hong, P.Y. Genome-Resolved Metagenomics and Antibiotic Resistance Genes Analysis in Reclaimed Water Distribution Systems. Water 2020, 12, 3477. [Google Scholar] [CrossRef]
- Zhao, X.; Xie, E. Reclaimed water influences bacterioplankton and bacteriobenthos communities differently in river networks. Water Res. 2023, 243, 120389. [Google Scholar] [CrossRef]
- Linjin, L.; Baohui, M.; Rui, P. Water Quality Evaluation of Wenyu River Based on Single Factor Evaluation and Comprehensive Pollution Index Method. Nat. Environ. Pollut. Technol. 2021, 20, 1041–1046. [Google Scholar] [CrossRef]
- Mengyuan, Z.; Li, Y.; Fan, S.; Dong, L.; Hao, P. Study on Greenway Plant Landscape Based on Bird Habitat Conservation—A Case Study of Wenyu River—North Canal Greenway in Beijing. In Proceedings of the Fábos Conference on Landscape and Greenway Planning, Amherst, MA, USA, 28–30 March 2019. [Google Scholar]
- Qi, W.; Liu, H.; Pernet-Coudrier, B. Polycyclic aromatic hydrocarbons in wastewater, WWTPs effluents and in the recipient waters of Beijing, China. Environ. Sci. Pollut. Res. 2013, 20, 4254–4260. [Google Scholar] [CrossRef] [PubMed]
- Wang, Z.Y.; Liu, Y.; Wang, J.L.; Zhao, J.Z. Factor Analysis of Heavy Metals in the Sediment in Changping Section of the Wenyu River and Their Pollution Assessment. Res. Environ. Sci. 2013, 26, 838–843. [Google Scholar]
- Ergun, E.; Demirata, B.; Gumus, G.; Apak, R. Simultaneous determination of chlorophyll a and chlorophyll b by derivative spectrophotometry. Anal Bioanal Chem. 2004, 379, 803–811. [Google Scholar] [CrossRef]
- Xian, G.; Fen, C.; Lan, Q. Application Research of Environmental Monitoring on Ammonia Nitrogen Determination. J. Green Sci. Technol. 2017, 18, 117–119. [Google Scholar]
- Ji, X. Comparison on nitrate nitrogen by detections of RP-HPLC and thymol UV-Vis spectrophotometry. J. Chang. Inst. Technol. (Nat. Sci. Ed.) 2014, 15, 1–4. [Google Scholar]
- Gou, Y. Determination of total nitrogen in water samples by spectrophotometry using phenol after alkaline peroxodisulfate digestion. Bunseki Kagaku 2001, 50, 481–486. [Google Scholar] [CrossRef][Green Version]
- Lara-Martín, P.A.; González-Mazo, E.; Pintado-Herrera, M.G.; Baena-Nogueras, R.M. Determination of Pharmaceuticals in Coastal Systems Using Solid Phase Extraction (SPE) Followed by Ultra Performance Liquid Chromatography—Tandem Mass Spectrometry (UPLC-MS/MS). Curr. Anal. Chem. 2016, 12, 183–201. [Google Scholar]
- Xie, E.; Zhao, X.; Li, K.; Zhang, P.; Zhou, X.; Zhao, X. Microbial community structure in the river sediments from upstream of Guanting Reservoir: Potential impacts of reclaimed water recharge. Sci. Total Environ. 2021, 766, 142609. [Google Scholar] [CrossRef]
- Shahbazi, Z.; Rostami, G.; Hamid, M. New heritableATRXmutation identified by whole exome sequencing and review. Egyptian J. Med. Hum. Genet. 2022, 23, 19. [Google Scholar] [CrossRef]
- Wang, Z.; Chen, J.; Liu, W.; Luo, Z.; Wang, P.; Zhang, Y.; Zheng, R.; Shi, J. Transcriptome Characteristics and Six Alternative Expressed Genes Positively Correlated with the Phase Transition of Annual Cambial Activities in Chinese Fir (Cunninghamia lanceolata (Lamb.) Hook). PLoS ONE 2013, 8, e71562. [Google Scholar] [CrossRef] [PubMed]
- Liu, L.; Shen, P.; Zheng, B.; Yu, W.; Xiao, Y. Comparative Genomic Analysis of 19 Clinical Isolates of Tigecycline-Resistant Acinetobacter baumannii. Front. Microbiol. 2020, 11, 1321. [Google Scholar] [CrossRef] [PubMed]
- Jain, N.; Yevatikar, R.; Raxamwar, T.S. Comparative study of physico-chemical parameters and water quality index of river. Mater. Today Proc. 2022, 60, 859–867. [Google Scholar] [CrossRef]
- Li, W.; Shi, Y.; Gao, L.; Liu, J.; Cai, Y. Occurrence, Distribution and Potential Affecting Factors of Antibiotics in Sewage Sludge of Wastewater Treatment Plants in China. Sci. Total Environ. 2013, 445–446, 306–313. [Google Scholar] [CrossRef]
- Zhang, C.M.; Liang, J.; Liu, W.Y. Comparative study on the bacterial diversity and antibiotic resistance genes of urban landscape waters replenished by reclaimed water and surface water in Xi’an, China. Environ. Sci. Pollut. Res. 2021, 28, 41396–41406. [Google Scholar] [CrossRef] [PubMed]









Disclaimer/Publisher’s Note: The statements, opinions and data contained in all publications are solely those of the individual author(s) and contributor(s) and not of MDPI and/or the editor(s). MDPI and/or the editor(s) disclaim responsibility for any injury to people or property resulting from any ideas, methods, instructions or products referred to in the content. |
© 2024 by the authors. Licensee MDPI, Basel, Switzerland. This article is an open access article distributed under the terms and conditions of the Creative Commons Attribution (CC BY) license (https://creativecommons.org/licenses/by/4.0/).
Share and Cite
Zhao, X.; Wang, X.; Lang, H.; Zhang, P.; Ni, J.; Wu, W. Effects of Reclaimed Water Supplementation on the Occurrence and Distribution Characteristics of Antibiotic Resistance Genes in a Recipient River. Processes 2024, 12, 1717. https://doi.org/10.3390/pr12081717
Zhao X, Wang X, Lang H, Zhang P, Ni J, Wu W. Effects of Reclaimed Water Supplementation on the Occurrence and Distribution Characteristics of Antibiotic Resistance Genes in a Recipient River. Processes. 2024; 12(8):1717. https://doi.org/10.3390/pr12081717
Chicago/Turabian StyleZhao, Xiaohui, Xiaofei Wang, Hang Lang, Panwei Zhang, Jie Ni, and Wenqiang Wu. 2024. "Effects of Reclaimed Water Supplementation on the Occurrence and Distribution Characteristics of Antibiotic Resistance Genes in a Recipient River" Processes 12, no. 8: 1717. https://doi.org/10.3390/pr12081717
APA StyleZhao, X., Wang, X., Lang, H., Zhang, P., Ni, J., & Wu, W. (2024). Effects of Reclaimed Water Supplementation on the Occurrence and Distribution Characteristics of Antibiotic Resistance Genes in a Recipient River. Processes, 12(8), 1717. https://doi.org/10.3390/pr12081717
