Transient Process and Micro-mechanism of Hydrofoil Cavitation Collapse
Abstract
1. Introduction
2. State of the Art
3. Methodology
3.1. Turbulence Model
3.2. Cavitation Model
3.3. Model and Parameter Settings
3.4. Experiment System
3.5. Experiment Process
- Check the integrity and safety of all components of the entire test bench (such as whether the energized equipment is damaged and whether the pipeline, water tank, and pump base are stable) to prevent accidents and personal injury during the test;
- Assemble pipelines, pump, water tank, and other components according to the drawing of the test bench. Then, install the airfoil with a chord length of 125 mm in the transparent observation section. Next, connect the observation section to the pipeline. After the test bench is built, check whether the bolts are tightened to prevent any seal leakage from affecting the test effect. Finally, connect and place the high-speed camera device;
- Fill the entire test bench with pure water, start the circulation pump, and open the exhaust valve at the top of the pipeline to eliminate excess gas until no obvious cluster cavities are observed. Check again if the entire test circuit is sealed well and if the test device is safe to operate;
- Before the formal test, conduct a simple test to confirm once again whether each component can work normally. Afterward, adjust the water flow to the required test speed by means of a valve in the control room. After monitoring and recording with high-speed camera, slowly adjust the speed and record it again after it stabilizes until all the working conditions are completed;
- Slowly adjust to reduce the flow rate to zero. Adjust the next angle of attack of the hydrofoil. Then, continue to adjust the flow rate slowly to the required working conditions. Repeat process 4 until all test records are completed.
4. Result Analysis and Discussion
4.1. Influence of Attack Angle on Shedding Cavity Collapse in Two-Dimensional Hydrofoil Cavitation
4.1.1. Flow Field Analysis of 6° Attack Angle Hydrofoil
4.1.2. Flow Field Analysis of 8° Attack Angle Hydrofoil
4.1.3. Flow Field Analysis of 10° Attack Angle Hydrofoil
4.2. Analysis of Unsteady Change in Cavity Volume Fraction
4.3. Analysis of Pressure Fluctuation during Unsteady Cavitation
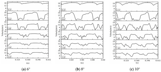
4.4. Analysis of Velocity of Monitoring Points in Unsteady Cavitation
4.5. Analysis of FFT of Unsteady Flow Field Hydrodynamic Coefficient
5. Conclusions
- (1)
- The hydrofoil cavity collapse areas of the 6, 8, and 10° attack angles were mainly concentrated in the 0.4l area before and after the trailing edge. The hydrofoil cavity collapse areas of the 8 and 10° attack angles were mainly concentrated in the 0.4l area before and after the trailing edge, 0.4l in the trailing edge, and 0.8l in the trailing edge;
- (2)
- As the attack angle increased, the range of the low-pressure region of the hydrofoil suction surface increased. The duration of cavity collapse was longer, and the cavity collapse region gradually moved toward the rear high-pressure region. The cavity collapse process also had a certain influence on the pressure field of the hydrofoil. The increase of the attack angle increased the volume of the shedding cavity. Moreover, the pressure peak caused by the collapse increased, and the pressure shock generated by the cavity collapse reacted to the pressure field of the hydrofoil;
- (3)
- The cavity collapse process had a certain inhibitory effect on the velocity of the flow field. The flow rate of the region where the cavity collapses was intensified, and the flow velocity was small. Moreover, as the attack angle increased, the cavity collapse process was intensified, making the fluctuation of the flow field velocity more evident. In addition, the cavity collapse greatly affected the hydrodynamic characteristics of the hydrofoil.
Author Contributions
Funding
Conflicts of Interest
References
- Wang, H.; Long, B.; Yang, Y.; Xiao, Y.; Wang, C. Modelling the influence of inlet angle change on the performance of submersible well pumps. Int. J. Simul. Model. 2020, 19, 100–111. [Google Scholar] [CrossRef]
- Wang, H.; Long, B.; Wang, C.; Han, C.; Li, L. Effects of the Impeller Blade with a Slot Structure on the Centrifugal Pump Performance. Energies 2020, 13, 1628. [Google Scholar] [CrossRef]
- Shi, L.; Zhu, J.; Tang, F.; Wang, C. Multi-Disciplinary Optimization design of axial-flow pump impellers based on the approximation model. Energies 2020, 13, 779. [Google Scholar] [CrossRef]
- He, X.; Zhang, Y.; Wang, C.; Zhang, C.; Cheng, L.; Chen, K.; Hu, B. Influence of critical wall roughness on the performance of double-channel sewage pump. Energies 2020, 13, 464. [Google Scholar] [CrossRef]
- Shi, L.; Zhang, W.; Jiao, H.; Tang, F.; Wang, L.; Sun, D.; Shi, W. Numerical simulation and experimental study on the comparison of the hydraulic characteristics of an axial-flow pump and a full tubular pump. Renew. Energy 2020, 153, 1455–1464. [Google Scholar] [CrossRef]
- Tang, S.; Yuan, S.; Zhu, Y. Convolutional neural network in intelligent fault diagnosis toward rotatory machinery. IEEE Access 2020, 8, 86510–86519. [Google Scholar] [CrossRef]
- Tang, S.; Yuan, S.; Zhu, Y. Deep learning-based intelligent fault diagnosis methods towards rotating machinery. IEEE Access 2020, 8, 9335–9346. [Google Scholar] [CrossRef]
- Tang, S.; Yuan, S.; Zhu, Y. Data preprocessing techniques in convolutional neural network based on fault diagnosis towards rotating machinery. IEEE Access 2020, 8, 149487–149496. [Google Scholar] [CrossRef]
- Li, X.; Shen, T.; Li, P.; Guo, X.; Zhu, Z. Extended compressible thermal cavitation model for the numerical simulation of cryogenic cavitating flow. Int. J. Hydrog. Energy 2020. [Google Scholar] [CrossRef]
- Biao, H.; Qin, W.; Guoyu, W. Research status and progress of unsteady cavitation flow. J. Drain. Irrig. Mach. Eng. 2018, 36, 1–14. [Google Scholar]
- Amarendra, H.J.; Hallalli, G.B.; Madhusudhana, G.; Mahendra, H.D.; Athani, M.K. Effect of cavitation inducers’ apex angle on erosion resistance of SS304 in the slurry pot test rig. Mater. Today Proc. 2018, 5, 17320–17324. [Google Scholar] [CrossRef]
- Wang, C.; Chen, X.; Qiu, N.; Zhu, Y.; Shi, W. Numerical and experimental study on the pressure fluctuation, vibration, and noise of multistage pump with radial diffuser. J. Braz. Soc. Mech. Sci. Eng. 2018, 40, 481. [Google Scholar] [CrossRef]
- Zhou, L.; Han, C.; Bai, L.; Shi, W.; Agarwal, R. Numerical and experimental study of multiphase transient core-annular flow patterns in a spouted bed. ASME J. Energy Resour. Technol. 2020, 142, 092104. [Google Scholar] [CrossRef]
- Zhou, L.; Wang, W.; Hang, J.; Shi, W.; Yan, H.; Zhu, Y. Numerical investigation of a high-speed electrical submersible pump with different end clearances. Water 2020, 12, 1116. [Google Scholar] [CrossRef]
- Zhou, L.; Deshpande, K.; Zhang, X.; Agarwal, R. Process simulation of Chemical Looping Combustion using ASPEN Plus for a mixture of biomass and coal with various oxygen carriers. Energy 2020, 195, 116955. [Google Scholar] [CrossRef]
- Wang, H.; Qian, Z.; Zhang, D.; Wang, T.; Wang, C. Numerical study of the normal impinging water jet at different impinging height, based on Wray–Agarwal turbulence model. Energies 2020, 13, 1744. [Google Scholar] [CrossRef]
- Jin, Z.; Qiu, C.; Jiang, C.; Wu, J.; Qian, J. Effect of valve core shapes on cavitation flow through a sleeve regulating valve. J. Zhejiang Univ. Sci. A 2020, 21, 1–14. [Google Scholar] [CrossRef]
- Che, Z.; Theodorakis, P. Formation, dissolution and properties of surface nanobubbles. J. Colloid Interface Sci. 2017, 10, 123–129. [Google Scholar] [CrossRef]
- Limbach, P.; Skoda, R. Numerical and experimental analysis of cavitating flow in a low specific speed centrifugal pump with different surface roughness. J. Fluids Eng. 2017, 139, 67–72. [Google Scholar] [CrossRef]
- Kadivar, E.; Moctar, O.; Javadi, K. Investigation of the effect of cavitation passive control on the dynamics of unsteady cloud cavitation. Appl. Math. Model. 2018, 7, 333–356. [Google Scholar] [CrossRef]
- Alavi, M.; Haddadpour, H.; Firouz-Abadi, R. Hydroelastic analysis of two degree of freedom hydrofoil using a reduced-order hydrodynamic model considering unsteady partial sheet cavity flows. J. Fluids Struct. 2018, 81, 116–130. [Google Scholar] [CrossRef]
- Hong, F.; Gao, Z.; Yuan, J. Improvement and application of cavitation model based on Rayleigh-Plesset equation. J. Agric. Mach. 2018, 49, 133–139. [Google Scholar]
- Li, Y.; Wang, J.; Wang, J. Numerical Simulation Study of 2D hydrofoil cavitation flow. Chem. Mach. 2018, 45, 261–266. [Google Scholar]
- Yang, M.; Yin, B.; Kang, C.; Xinkai, S.; Zhanfu, C. Numerical simulation of unsteady cavitating flow around hydrofoil. J. Drain. Irrig. Mach. Eng. 2012, 24, 522–538. [Google Scholar]
- Hidalgo, V.; Luo, X.; Huang, R.; Valencia, E. Numerical simulation of cavitation erosion on a NACA0015 hydrofoil based on bubble collapse strength. J. Phys. Conf. Ser. 2015, 656, 012050. [Google Scholar] [CrossRef]
- Taher, A.; Kanfoudi, H.; Zgolli, R.; Ennouri, M. Investigation of Subgrid-Scale Models in Large Eddy Simulation on the Unsteady Flow Around a Hydrofoil Using OpenFOAM. Iran. J. Sci. Technol. Trans. Mech. Eng. 2019, 44, 1–16. [Google Scholar]
- Tan, L.; Zhu, B.; Cao, S. Numerical simulation of unsteady cavitation flow in centrifugal pump under undersigned conditions. Inst. Mech. Eng. IME 2014, 228, 1994–2006. [Google Scholar]
- Chae, E.; Akcabay, D.; Young, Y. Influence of flow-induced bend–twist coupling on the natural vibration responses of flexible hydrofoils. J. Fluids Struct. 2017, 69, 323–340. [Google Scholar] [CrossRef]
- Yi, Q.; Lin, B.; Zhang, W. Research on the influence of cosine alternating jet on hydrofoil cavitation suppression. In Proceedings of the Seminar on the Development Strategy of Hydraulic Machinery Discipline and the 11th National Annual Conference of Hydraulic Machinery and Systems, Beijing, China, 19 October 2018. [Google Scholar]
- Fujisawa, N.; Fujita, Y.; Yanagisawa, K.; Fujisawa, K.; Yamagata, T. Simultaneous observation of cavitation collapse and shock wave formation in cavitating jet. Exp. Therm. Fluid Sci. 2018, 94, 159–167. [Google Scholar] [CrossRef]
- Li, D.; Liu, S.; Wei, Y.; Ren, T.; Tang, Y. A turbulent two-phase model for predicting cavitating flow based on homogenous nucleation theory. Int. Commun. Heat Mass Transf. 2018, 97, 17–29. [Google Scholar] [CrossRef]













Publisher’s Note: MDPI stays neutral with regard to jurisdictional claims in published maps and institutional affiliations. |
© 2020 by the authors. Licensee MDPI, Basel, Switzerland. This article is an open access article distributed under the terms and conditions of the Creative Commons Attribution (CC BY) license (http://creativecommons.org/licenses/by/4.0/).
Share and Cite
Zhao, Y.; Fu, Q.; Zhu, R.; Zhang, G.; Wang, C.; Wang, X. Transient Process and Micro-mechanism of Hydrofoil Cavitation Collapse. Processes 2020, 8, 1387. https://doi.org/10.3390/pr8111387
Zhao Y, Fu Q, Zhu R, Zhang G, Wang C, Wang X. Transient Process and Micro-mechanism of Hydrofoil Cavitation Collapse. Processes. 2020; 8(11):1387. https://doi.org/10.3390/pr8111387
Chicago/Turabian StyleZhao, Yuanyuan, Qiang Fu, Rongsheng Zhu, Guoyu Zhang, Chuan Wang, and Xiuli Wang. 2020. "Transient Process and Micro-mechanism of Hydrofoil Cavitation Collapse" Processes 8, no. 11: 1387. https://doi.org/10.3390/pr8111387
APA StyleZhao, Y., Fu, Q., Zhu, R., Zhang, G., Wang, C., & Wang, X. (2020). Transient Process and Micro-mechanism of Hydrofoil Cavitation Collapse. Processes, 8(11), 1387. https://doi.org/10.3390/pr8111387

