Abstract
Urban roadside dust samples from Dhaka City in Bangladesh were collected from a planned residential area (PRA), spontaneous residential area (SRA), commercial area (CA), and urban green area (UGA) in winter and summer to study how season and different urban land-use categories influence the concentrations of heavy metals (Cr, Mn, Co, Ni, Cu, Zn, As, and Pb) and different pollution indices. The dust samples were fractionated into <32 m particles, extracted by acid digestion followed by estimation of heavy metals, using ICP-MS. Pollution indices were calculated from the metal concentrations, using standard protocols. The concentrations of heavy metals in roadside dust varied significantly (all p < 0.05), due to sampling seasons and the land-use category. Higher concentrations of heavy metals (Cr, Mn, Ni, Cu, Zn, and Pb) were found in the dust sampled during the winter season than in the summer season, except for As and Co. The geo-accumulation index () indicated that the commercial area was heavily contaminated with Cu and Zn during the winter season. The contamination factor () was higher for Cu and Zn in the CA, PRA, and SRA of Dhaka City in winter than in the summer season. The enrichment factor () suggested that Mn and Co were the least enriched metals, and significant enrichment was seen for Cu and Zn for all land-use categories, both in summer and winter. A moderate potential ecological risk for Cu was estimated in CA and PRA in the winter season.
1. Introduction
Road dust consists of particles of a wide range of sizes (around the thoracic fraction 10 m to 2000 m) [1,2,3] and is considered a source as well as a sink for heavy metals in urban environments; they are usually troublesome to manage, due to their dynamic characteristics. At present, in urban road dust, heavy metal contamination and toxicity is a very prominent environmental issue. Heavy metals are receiving attention as a significant pollutant, due to their non-biodegradable properties, and they remain stable in road dust for long periods of time, mostly existing at high concentrations, compared to the background value. In road dust studies, particle size is a principal physical feature playing a crucial function in heavy metals’ effects, transport, and in assessments of health risk. Particle sizes of less than <100 m have a re-entrainment capacity to enter the ambient atmosphere by pedestrian flow, movement of traffic, and wind [4,5]. Research has mentioned that finer particles of less than 50 m can give helpful results regarding the relationship between atmospheric pollution and road sediments. On the other hand, coarser particles greater than 50 m contribute mostly to elemental pollution of urban runoff or soil [6]. Finer particles of local dust can travel 0–10 km from their source of origin [7], while particles larger than about 200 m settle easily, due to the effect of gravitational force and may not travel far from their sources of release [8]. The affinity of heavy metals accumulation also depends on the size of road dust particles [9]. The key sources of heavy metals in road dust particles are crustal matter; industrial emissions; traffic-related materials, both exhaust and non-exhaust vehicle emissions; fuel and coal combustion; the manufacture and use of metallic substances; and atmospheric deposition [10,11,12,13]. Heavy metal sources are identical in different seasons, but the variation in the concentration of heavy metals and the relative contribution of the sources varies between summer and winter [14].
An urban area usually consists of commercial, industrial, residential, and urban green areas where traffic, vehicle flows and characteristics, human activity, and population density differ significantly in the functionality of the regions, and thus heavy metal concentrations may differ spatially. The distribution of heavy metals and their identified sources according to different land use are significant aspects for investigating the situation of pollution [15]. Therefore, particle size, seasonal variation, and land use patterns might be considered in the determination of heavy metals concentrations, their distributions, and the assessment of risk, including environmental and human health.
Dhaka, the capital city of Bangladesh, is ranked as the sixth-largest mega city in the world with a population of 21 million [16]. This high population density consumes substantial resources, generating huge amounts of various pollutants, due to persistent anthropogenic activities that threaten the environment in many ways [17]. During the last few decades, the Dhaka metropolitan area has experienced rapid development in urbanization and industrialization; there have been large-scale projects to build bridges, highways and mass rapid transit, and extensive unplanned residential development, with the number of vehicles increasing rapidly [18], which has exerted a lot of pressure on the urban atmospheric environment. Due to the aforementioned causes, air pollution has emerged as an acute problem recently in Dhaka city, due to the large amounts of resuspended dust. There are many sources of air pollution, road dust being one of them. Three main factors, namely, emission from vehicles, urbanization and industrialization, and domestic waste dumping, may be responsible for the contamination of road dust in Dhaka City [19]. A small number of studies about the elemental composition and assessment of health risks of roadside dust have been carried out [19,20,21,22,23]. However, there is no research available on the evaluation of heavy metals distribution based on seasonal variation, land-use type, and metals pollution with respect to smaller particle sizes; additionally the geochemical contamination indices of heavy metals have not been taken into consideration. Therefore, this research aimed (i) to determine the spatial and seasonal distribution of heavy metal (Cr, Mn, Co, Ni, Cu, Zn, As, and Pb) concentrations in road dust, and (ii) to assess the level of contamination based on different pollution indices.
2. Materials and Methods
2.1. Study Site
The study was conducted in Dhaka, which is located in the central part of Bangladesh (Figure 1). The topography of Dhaka City is relatively flat, and its elevation varies between 0.5 m and 12 m [24]. Bangladesh has a tropical monsoon climate characterized by wide seasonal variations in rainfall, high temperatures, and high humidity. However, the spatial variation of the climate within the country is very small. There are four distinct seasons in Dhaka, i.e., the dry winter season from December to February; the hot, pre-monsoon summer from March to May; the hot and humid rainy monsoon season from June to September; and the post monsoon autumn season from October to November [25]. In general, the maximum summer temperatures range between 38 C and 41 C. January is the coolest month, with the average day temperature of 16–20 C. According to the Dhaka Urban Transport Network Development Study (available online: https://openjicareport.jica.go.jp/pdf/11996782_03.pdf (accessed on 12 July 2021)), the major categories of land use in Dhaka city are residential areas (44.35%), commercial areas (4.29%), industrial areas (2.01%), urban green areas (1.20%), roads/railways (10.46%), and restricted areas (8.42%). Antecedent dry-weather periods (ADP) could influence heavy metal pollution levels and ecological risks [26]. The weather during the winter season has a long ADP, compared to the summer season in Dhaka city.
Figure 1.
(a) Location of the study site (Dhaka city; red marked area) in Bangladesh map, and (b) map of Dhaka metropolitan area with different land-use categories. CA = commercial area, PRA = planned residential area, SRA = spontaneous residential area, and UGA = urban green area.
2.2. Sample Collection in Roadside Dust
Dust samples were collected from 20 sites in Dhaka City, covering four different types of land-use categories, namely, planned residential area (PRA) (n = 5), spontaneous residential areas (SRA) (n = 5), commercial areas (CA) (n = 5), and urban green areas (UGA) (n = 5) in the summer (June) and winter (February) seasons in 2019 and 2020, respectively. Dust samples were collected from the main roads of the designated spot. Dust was obtained by sweeping from both shoulders of the road, using a polyethylene brush and pan. At each sampling location, at least 6 samples were collected and bulked. All dust samples were collected in properly labeled polyethylene bags, and then sealed and transported to the laboratory. In the laboratory, the samples were air-dried for one week followed by sieving through a 2.0 mm nylon mesh to removed refuse and small stones. All processing was completed in the Department of Agronomy, Bangladesh Agricultural University. After transferring to the Pollution Control Laboratory of Saitama University, Japan, the samples were sieved with sieves of a selected diameter, using a Vibratory Sieve Shaker AS 200-digit Retsch AS200 (amplitude was 60, and shaking time was 10 min). Finally, particle size fractions of <32 m were subjected to analyses of heavy metals (Cr, Mn, Co, Ni, Cu, Zn, As, and Pb). Unfortunately, one sample from the UGA was contaminated in the laboratory and we thus discarded it. Therefore, we analyze and provide a report of 19 samples here.
2.3. Determination of Heavy Metal Concentrations in Roadside Dust
For the determination of heavy metal concentrations, 50 mg of oven-dried roadside dust samples (<32 m) were weighed and transferred into a 100 mL conical flask. Then, 20 mL of aqua regia (5 mL 63% HNO and 15 mL 36% HCl) was added. The samples were transferred to a hot plate for 1 h 30 min at 150 C until the evolution of reddish-brown fumes ceased, and then the digest was reduced to an approximate volume of 1 mL or close to dryness. The samples were then allowed to cool down to room temperature and then made up to 20 mL volume with 2% nitric acid. Afterwards, the samples were filtered through Whatman filter paper of 5C 110 mm in diameter (pore size: 11 m) and kept in a refrigerator until analysis. An analytical grade reagent (HNO and HCl) was utilized to prepare aqua regia, and Milli-Q water (Type 1) was used for the preparation of all solutions. The heavy metals were analyzed by inductively coupled plasma mass spectrometry (Agilent Technologies, 7700 series, USA) in the Center for Environmental Science in Saitama (CESS), Japan. Multi-elemental standard XSTC-662 (Spex Certi Prep Metuchen, NJ, USA) solutions were used to prepare calibration curves. The calibration curves with > 0.999 were accepted for the concentration calculation.
2.4. Quality Assurance and Quality Control
Quality assurance and control (QA/QC) procedures were carried out for estimation of the studied metals from road dust samples. All glassware used for analyses were acid-washed and thoroughly rinsed with deionized water. Reagent blanks were treated as samples and digested simultaneously using a similar procedure. For percentage recovery by the method, as part of the quality control, a triplicate of certified reference materials (CRM) (Gobi kosa Dust, NIES CRM No. 30) was prepared and digested at the same time and in the same manner as the samples. Each digested sample solution was analyzed three times, and the relative standard deviation (RSD) of their repeated analyses did not exceed 5%. We obtained reasonably satisfactory (85% for Cr, 93% for Mn, 107% for Cu, 100% for Zn, 86% for Pb, 95% for Co, and 85% for Ni) elemental recoveries of the studied heavy metals from CRM. Recalibration of the standards was performed after every 10 determinations. The limits of detection (LOD) for Cr, Mn, Ni, Cu, Zn, As, Pb, and Co were 0.018 ng/mL, 0.041 ng/mL, 0.088 ng/mL, 0.048 ng/mL, 0.067 ng/mL, 0.085 ng/mL, 0.085 ng/mL, and 0.009 ng/mL, respectively.
2.5. Estimation Methods of Pollution Indices
There are several methods and indices that are used for the comprehensive assessment of road dust contamination with heavy metals. The widely used indices are the geo-accumulation index (), the contamination factor (), the pollution load index (), ecological risk (), and the enrichment factor (). These indices are calculated with respect to the background values of heavy metals occurring naturally in sediments and soils. The assessment of heavy metal pollution indices of road dust is significantly affected by the use of background values in the calculation [27]. Since there is no report of background values of metals in roadside dust of Dhaka city, we took the values from the upper continental crust (UCC). The UCC is one of the accepted and frequently used geochemical backgrounds for this purpose. The background values of Mn, Cr, Zn, Ni, Cu, Co, Pb, and As in UCC are 527 g/g, 35 g/g, 52 g/g, 18.6 g/g, 14.3 g/g, 11.6 g/g, 17 g/g, and 2 g/g, respectively.
The geo-accumulation index () and the contamination factor () are used for single pollutants that indicate the level of contamination. However, differs from because of the log function and constant factor of 1.5 to avoid a lithogenic effect that may be attributed to the variation in background values. and are used for the association of multiple pollutants and to assess their cumulative effects on the environment. provides insight into the source (natural or anthropogenic) of heavy metal contamination. Therefore, we selected these indices for their simplicity in calculation and explanation, and because they can be compared with worldwide cases.
2.5.1. Geo-Accumulation Index ()
The geo-accumulation index () compares the existing heavy metal content in collected samples with the background values (UCC or local soil) and indicates the level of contamination to be considered. was first introduced by Muller [28]. It is calculated by the following equation [29]:
where is the measured concentration of the heavy metal in roadside dust, and is the background concentration of the heavy metal. Since appropriate calculation of depends on the choice of the background value () [27], we considered the UCC average [30]. The multiplier 1.5 was used, owing to the decrease in the variations in the background values that may be attributed to lithogenic variations in the samples. According to Ali [31], the values were divided into seven groups: 0 = ‘uncontaminated’; 0 1 = ‘uncontaminated to moderately contaminated’; 1 2 = ‘moderately contaminated’; 2 3 = ‘moderately to heavily contaminated’; 3 4 = ‘heavily contaminated’; 4 5 = ‘heavily to extremely contaminated’; and 5 = ‘extremely contaminated’.
2.5.2. Contamination Factor ()
The contamination factor is the ratio of the concentration of each heavy metal in roadside dust and the concentration of the respective heavy metals in background. was calculated according to the following equation:
where is the concentration of the heavy metals found in roadside dust and is the background value of heavy metals [30]. The classification of is described as < 1 = ‘low contamination‘; 1 < < 3 = ‘moderate contamination’; 3 < < 6 = ‘considerable contamination’; and > 6 = ‘very high contamination’ [32].
2.5.3. Pollution Load Index ()
The pollution load index () gives an idea about the cumulative pollution load from the summation of toxic metals on site. It is defined as the nth root of the multiplication of the of metals involved. for a single site was calculated from :
for a land-use category (zone) was calculated from the following equation:
where is the contamination factor for individual elements. < 1 denotes ‘no pollution’; = 1 indicates that only baseline levels of pollutants are present; and > 1 indicates deterioration of site quality [32].
2.5.4. Ecological Risk ()
To quantitatively express the potential ecological risk of a given contaminant in a given land use area, ecological risk is calculated using the following formula:
where refers to the level of toxicity that the metals have on the environment, while refers to the contamination factor. From the accumulated data, the values for the metals are 2, 1, 5, 5, 1, 10 and 5, which are the respective values for chromium (Cr), manganese (Mn), cobalt (Co), nickel (Ni), copper (Cu), zinc (Zn), arsenic (As), and lead (Pb) [12]. From the accumulated risk factors, the levels are classified as follows: < 40 = ‘low potential ecological risk’; 40 ≤ < 80 = ‘medium potential ecological risk’; 80 ≤ < 160 = ‘considerable potential risk’; 160 ≤ < 320 = ‘high ecological potential risk’; > 320 = ‘very high potential risk’ [33].
The risk index () of the integration between the risk potential values of the heavy metals and the contamination factor is calculated, using the following formula [34]:
where n is the number of studied elements, and the i is the ith element. Based on Hakanson [34], the values are grouped into five several ranks, i.e., < 150 = ‘low ecological risk’; 150 < < 300 = ‘moderate ecological risk’; 300 < < 600 = ‘considerable ecological risk’; > 600 = ‘very high ecological risk’.
2.5.5. Enrichment Factor ()
The enrichment factor is often used to assess the possible impact of anthropogenic activities on elemental concentrations in the soil [35,36], sediment [37,38] and road dust [39,40,41]. In this study, it was used to determine the affluence of heavy metals in roadside dust and to investigate whether the source of heavy metals was a natural or an anthropogenic source. can be obtained by the following equation:
where and denote the concentration ratio of the ith metal in the roadside dust sample and background, respectively. In the present study, the composition of the UCC average was used as the value [30]. The choice of background value for calculation is an important aspect in providing an equitable interpretation of elemental pollution in the sediments [27]. It is possible to use an element of a geochemical nature as a reference metal, which is present in a higher concentration but has no synergistic or antagonistic effect on the recovery of the examined elements. Commonly used reference elements include Al, Fe, Mn, and Sc [41,42,43,44,45]. In this study, we chose Fe as the reference element because of its natural abundance in the upper continental crust.
Sutherland [46] provided five categories of s as follows: < 2: deficiency to minimal enrichment, 2 < < 5: moderate enrichment, 5 < < 20: significant enrichment, 20 < < 40: very highly enrichment, and > 40: extremely enrichment. A value of close to 1 indicates a natural origin, whereas > 10 is considered to originate mainly from anthropogenic sources [5].
2.6. Statistical Analysis
The data analyses were carried out by using the statistical package ‘R’ [47]. Data were tested for normality with the Shapiro–Wilk method before statistical analyses. Kruskal–Wallis tests were performed to compare the variation of heavy metal concentrations between seasons and among site categories followed by Dunn’s post hoc test. Spearman’s rank-order correlation method was used to evaluate the correlations among the concentrations of heavy metals in roadside dust. For principal component analysis (PCA), the ‘princomp’ function of ‘R’ was used, and the variables were standardized. The map of the observation sites was prepared by using the ‘ggmap’ package of ‘R’ [48].
3. Results and Discussion
3.1. Spatial and Seasonal Distribution of Heavy Metals in Roadside Dust
There were significant differences (all p < 0.05, n = 19) in heavy metal concentrations in the roadside dust of Dhaka City, due to land-use category (except for Cr), season (except for Pb) and the interaction between the land-use category and season (except for Ni). Figure 2 shows the average concentration of heavy metals in roadside dust for different land-use types in the winter and summer seasons in Dhaka city. The concentrations of Zn, Mn, and Cu were statistically higher in winter than summer in CA, while Cr, Pb, Cu, and Mn were found in higher concentrations during winter in PRA. The winter Mn concentration was also higher in UGA than during the summer season. Manganese (Mn) exhibited higher concentration levels in all studied land-use areas during the winter season than during the summer season (except for SRA). The concentrations of Co and As were higher during summer than during the winter season in all land-use categories (except for Co in CA). Though the highest mean Ni concentration was measured during winter in UGA, its distribution over the seasons and land-use types was not conclusive. Men et al. [10] found similar findings for As during the summer season. Since high temperature is favorable for the volatility of As and the capability of As to move from its sources, its occurrence in higher concentrations in summer than in the winter season in roadside dust is more likely [49].
Figure 2.
Concentrations (±standard error) of heavy metals in roadside dust in Dhaka city. The circles represent the values individual sampling points. CA = commercial area, PRA = planned residential area, SRA = spontaneous residential area, and UGA = urban green area. Bars with similar letter are not statistically significant at a 95% level of probability.
When compared with the UCC (as a background value) taken from [30], the average concentrations of the studied heavy metals were higher for all land-use types in both sampling seasons (Cr (1.8∼2.7 times), Ni (1.8∼2.1 times), Cu (5∼15 times), Zn (5.9∼13 times), As (2.3∼3.9 times), and Pb (2.1∼6.9 times)). The higher concentrations of heavy metals in roadside dust might be due to anthropogenic activities, such as vehicular movements, building construction, demolition activities, and waste disposal [31]. The mean concentrations of Co and Mn were identical or lower when compared to their respective background value (11.6 g/g and 527 g/g, respectively). This indicates that they probably originated from a natural source.
This result is in agreement with that of [50,51], who reported Mn concentrations close to the background value. Coal and fuel combustion in the vicinity of the roadside area are major sources of Cr in road dust [10,52]. In the winter season, more fuel is used for heating purposes in residential areas (PRA and SRA), which might be the cause of the higher Cr concentration in Dhaka City. Nevertheless, tannery waste and dyeing industries were reported to be sources of Cr in roadside dust in Dhaka City [21]. Construction, manufacturing, the use of metallic substances, and electroplating are major sources of Cu in road dust [21]. Many mega-construction projects were ongoing in Dhaka City during the sampling period, which might be one of the major causes for Cu contamination in the environment. Most of the construction activities take place during the winter season in Dhaka City. During summer seasons, high seasonal rainfall, high temperature, and construction activities would have a large influence on the concentration of Cu in the city areas. Significantly higher heavy metal concentrations were found in CA and PRA than in others, which may be due to the density of buildings in these areas that impedes the dispersion of vehicle emissions [5]. The mean concentrations of the studied heavy metals in the commercial area were unexpectedly close to those in the planned residential area; therefore, this land-use category can be assigned to the marginal overlap. In some spots of planned residential area of Dhaka city, a few light industries are still operating close to the roads. Therefore, overlapping occurrence of these metals between CA and PRA may happen. Zn and Pb are representative elements of non-exhaust vehicle emissions. The deposition of vehicular-based particles, such as exhaust particles, brake lining, lubricating oil residue, and Pb gasoline, are the main sources of higher concentrations of Cu, Zn, Cr, and Pb in urban road dust [53]. Although the use of lead-free gasoline vehicles began almost two decades ago in Bangladesh [54], the occurrence of Pb in higher concentrations in roadside dust can be attributed to its long half-life in soils [55]. Their concentrations in roadside dust are often linked to the volume of traffic and congestion in roads. During the winter seasons, foggy weather may cause traffic congestion, and vehicles move in a stop–start pattern. This might be one of the major causes of Zn and Pb released by the vehicles in roadside dust [56]. Table 1 presents the seasonal and spatial variations of heavy metal concentrations in road dust in different cities of the world. Among these studies [15,57] reported higher concentrations of most of the studied metals than those in other land-use areas, which was similar to our findings, with the exception of Cr and Ni concentrations. Metal concentrations may vary among cities, due to local pollution sources, particles size, sampling season, the nature of the local earth crust, land-use patterns, etc. We compared our study with those of southeast Asian cities [12,58,59,60,61] (Table 1). However, our study varies from those that we have looked into, with both spatial and temporal variations of the metals in roadside dust. A back-to-back comparison of the current study with those was not performed, due to the variation in sampling season and selection of site.
Table 1.
Comparison of heavy metal concentrations in road dust in different cities of the world.
The sequences of the average metal concentrations for different land use during the winter season are as follows: Zn > Mn > Cu > Cr > Pb > Ni > Co > As (CA), Mn > Zn > Cu > Cr > Pb > Ni > Co > As (PRA), Mn > Zn > Cu > Cr > Pb > Ni > Co > As (SRA), and Mn > Zn > Cu > Cr > Ni > Pb > Co > As (UGA). During the summer season, the sequences are as follows: Mn > Zn > Cu > Pb > Cr > Ni > Co > As (CA), Zn > Mn > Cu > Cr > Pb > Co > As (PRA), Mn > Zn > Pb > Cu > Cr > Ni > Co > As (SRA), and Mn > Zn > Cu > Cr > Pb > Ni > Co > As (UGA). These sequences of metal concentrations in selected land-use types indicate that Mn, Zn, and Cu were prominent in all land-use categories in both seasons, whereas the presence of Co and As was scarce. Arsenic, in particular, was the lowest among the studied heavy metals. The mean concentrations of most of the heavy metals studied here showed increased values in the winter season due to the long antecedent dry weather periods (ADP). It was reported that ADP could increase pollution levels of Zn and Cu in road-deposited sediments [26]. The reason behind the lower concentration level of heavy metals in the summer season is the rainfall, which flushes out the roadside dust and prevents the heavy metals from becoming accumulated. Moreover, there are many festivals, such as the Book Fair and Trade Fair that are held in the winter seasons in Dhaka City. The number of private and public vehicles increases in some other occasions (e.g., National Days, such as 16 December, 21 February, 26 March). Thus, higher concentrations of heavy metals may accumulate in the roadside dust during the winter season as compared to the summer season.
Figure 3 shows the correlation among the concentrations of heavy metals in the roadside dust of Dhaka City. Although significant correlations were found among some metals, the trend of the same different seasons did not follow any specific pattern. The principal component analysis (PCA) (Figure 4) of the heavy metal concentrations in the roadside dust suggests that Zn, Cu, Cr, and Mn were mainly associated with CA and PRA, whereas Co and As had strong association. It also suggests that the distributions of studied metals in SRA and UGA were very similar. The seasonal distribution of the metals indicated that Co and As were strongly associated with the summer season, whereas Zn, Cu, Cr, and Mn were the dominant metals in the winter season. The distributions of Pb and Ni were not well explained by the PCA.
Figure 3.
Correlation matrix of heavy metal concentrations in roadside dust of Dhaka City of Bangladesh. The values in the upper and lower matrices are Spearman’s rank correlation co-efficient () and metal concentrations, respectively. Red and blue colors represent summer and winter seasons, respectively. Spearman’s rank correlation co-efficient values () with *, **, and *** denoting significant at 95%, 99%, and <99% levels of significance. The diagonal matrix (density plots) shows the distribution of data.
Figure 4.
Principal component analysis (PCA) of heavy metal contamination of roadside dust in Dhaka city based on (A) land use category, and (B) season. CA = commercial area, PRA = planned residential area, SRA = spontaneous residential area, and UGA = urban green area.
3.2. Geo-Accumulation Index ()
The values for heavy metals in roadside dust from different land-use areas of Dhaka City are presented in Figure 5. The for Mn and Co in all land-use types in both sampling seasons was similar to the uncontaminated class. This result agrees with the finding of [65]. In the other words, the roadside dust of Dhaka City in different land-use areas during the winter and summer seasons was contaminated ( 0) by heavy metals, such as Cr, Ni, Cu, Zn, As, and Pb (especially Cu and Zn) to some degree, which probably originated from anthropogenic sources. However, Mn and Co did not correspond to the roadside dust contaminants in the study areas and are likely from a natural origin. The for Cr and Ni was ranked ‘uncontaminated to moderately contaminated’ during the summer and winter seasons for all land-use types. The values of Cu and Zn in both sampling seasons and all land-use types ranged from moderately contaminated to heavily contaminated, which were higher than the other studied metals. Only As had a higher during summer than winter for all land-use types. During the summer season, it was under the ‘moderately contaminated’ class, whereas in winter, it fell under the ‘uncontaminated’ to ‘moderately contaminated’ class. The highest found for Cu was during the winter season for CA, which fell under the ‘heavily contaminated’ class. The maximum was 4.5 in CA, which was similar to that in other studies [15,57]. In UGA, the values were found to be higher during the summer season for Cr, Cu, Zn, and Pb. Based on , CA during the winter season was ‘heavily contaminated’ ( > 3) with respect to Cu and Zn, while other land-use areas were ‘moderately contaminated’ to ‘moderately to heavily contaminated’ during the summer and winter seasons. This can be associated with the socio-economic activities that take place in the commercial areas, whereas there is a lack of protocols for proper waste management and disposal of materials, such as oils, greases, paints, fuels, metal filings, and used tires. The high contamination by Cu and Zn was alarming, which was mostly generated from multiple sources, including non-exhaust vehicle emissions, brake pads, tires particles, paints, electroplating, and roadside auto mobile shops.
Figure 5.
Geo-accumulation index () of heavy metals in Dhaka city for different land-use categories. CA = commercial area, PRA = planned residential area, SRA = spontaneous residential area, and UGA = urban green area. The vertical bars represent standard error.
3.3. Contamination Factor () and Pollution Load Index ()
The contamination factor of heavy metals in the roadside dust of Dhaka City was evaluated and is presented in Table 2. On the basis of classification, Mn and Co were ranked as low contamination ( < 1) with the exception of Mn in CA and UGA for the winter season, where it fell in the moderate contamination class (1 < < 3). Chromium (Cr) and Ni were in the moderate contamination class for all land-use types and during both sampling seasons (except for Cr during winter and Ni in CA). The contamination factor of As was considerable contamination during the summer season and moderate contamination during the winter season for all land-use types. For both seasons, Zn was classified in the very high contamination ( > 6) class for CA, planned PRA, and SRA, whereas in UGA, it was categorized in the considerable contamination class. The maximum mean CF found for Cu (15.9) was in CA, followed by PRA (11.3) and SRA (6.5) during the winter season, which were ranked in the very high contamination group. Moreover, the CF of Cu was also categorized in the considerable contamination class during the summer season for PRA, SRA, and UGA. The contamination factor of Pb ranged the from moderate (1 < < 3) to considerable (3 < < 6) contamination group, where the highest (6.89) CF was found during the summer season for SRA. The pollution load index () for different sites is shown in Figure 6A. The highest value of was found in CA during the winter season, and the lowest value was found in UGA during the winter season. Nevertheless, since the values were higher than 1 in both seasons, all of the studied land-use categories were polluted [66].
Table 2.
Contamination factor () of heavy metals in roadside dust for different land-use categories in Dhaka city of Bangladesh.
Figure 6.
(A) Pollution load index (), and (B) risk index () of heavy metals at different land-use categories in Dhaka city. CA = commercial area, PRA = planned residential area, SRA = spontaneous residential area, and UGA = urban green area. The vertical bars represent standard error.
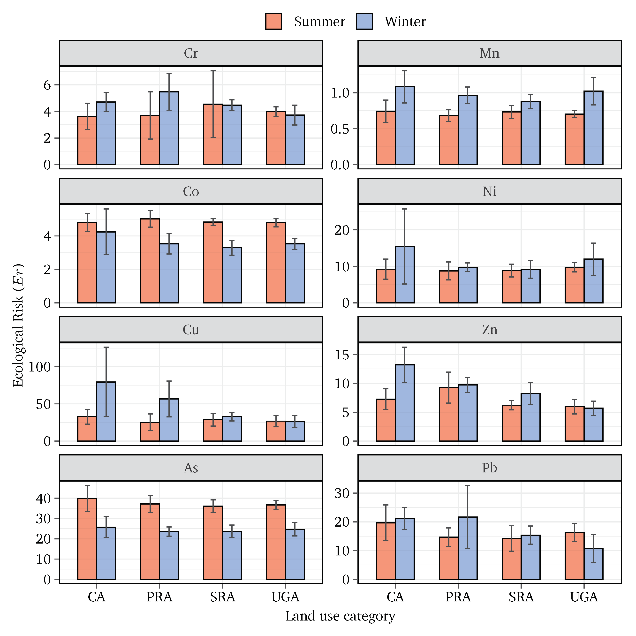
3.4. Ecological Risk () and Ecological Risk Index ()
Figure 7 presents the ecological risks of Dhaka urban roadside dust based on Hakanson’s approach. The result indicates that mean values of for most heavy metals were low with the exception of Cu in the winter season in CA ( = 79.6) and PRA ( = 56.5), where they show ‘medium potential’ ecological risk (40 < < 80). Based on these results, most sampling locations show ’low potential ecological risk’, which means that these heavy metals may not have an adverse effect on the ecosystem. In addition, with the consideration of maximum value of , it was found that Cu showed ’considerable potential ecological risk; ( = 99) to ’high ecological risk’ ( = 168) in PRA and CA, respectively, during the winter season. Moreover, Pb in PRA ( = 42) for the winter season and As in CA ( = 43) and PRA ( = 41) for the summer season had ’medium potential ecological risk’. By presenting the maximum value of ecological risk (), we can obtain a real illustration of the impact of heavy metals on the ecosystem. Men et al. [67] reported that though fuel combustion is the highest contributor to road dust heavy metals during spring, it poses only a negligible minimum ecological risk.
Figure 7.
Ecological Risk () of heavy metals at different land-use categories in Dhaka city. CA = commercial area, PRA = planned residential area, SRA = spontaneous residential area, and UGA = urban green area. The vertical bars represent standard error.
The potential ecological risk index () was calculated to assess the pollution by multiple heavy metals in urban roadside dust (Figure 6B). During the winter season, the highest ecological risk was found in CA followed by PRA, SRA, and UGA, whereas CA was found to have a moderate ecological risk ( = 157). The other three land-use areas were in the low ecological risk group. During the summer season, CA had the maximum ecological risk followed by UGA, PRA and SRA, but they were all in the low ecological risk category. During winter season, Cu was the highest contributors (30–48%) to the followed by As (15–28%) and Pb(12–16%). During summer season, the highest contribution to came from As (33–35%) followed by Cu (23–28%) and Pb (14–16%). Thus, these heavy metals (Cu, As and Pb) pose a potentially risk to the local ecosystem. Therefore, based on ecological-risk index method, Cu and As appeared as the priority pollutants in the study area in winter and summer season, respectively. Aminiyan et al. [68] reported Cu as the dominant pollutant in the Rafsanjan region in Iran. The result also showed that CA and PRA are two obvious high-RI sites in the studied area, which coincide with the highest metal concentrations. The CA sampling points had the highest load of vehicular traffic, which caused a notable increase in traffic-related pollutant generation. Several authors have also reported that commercial activities are the highest contributor to [15,69]. It should be noted that the risk index varies widely depending on how many elements are considered in the study. This demonstrates the importance of carefully reviewing the study parameters and choosing what elements to include or exclude [62].
3.5. Enrichment Factor ()
The enrichment factors () of heavy metals based on Fe as a reference material and using the earth’s upper crust contents as a background value obtained from [30] are presented in Table 3. The enrichment factors of Mn and Co for all land-use types and both sampling events were less than two, which indicates that they were in the deficient to minimal enrichment category. In addition, this finding suggests that Mn and Co come from a natural origin in roadside dust, whereas other heavy metals come from anthropogenic sources. Likewise, during the winter season, Cr for UGA, and Ni for SRA were ranked in the minimal enrichment class. However, for the winter season, the of Cr and Ni was in the moderate enrichment group (2 < < 5) for all the selected land-use types. Only the of As and Pb (except for Pb on PRA) showed the highest enrichment during the summer season for all land-use categories with the same class, i.e., the moderate enrichment class (except for the As in PRA showing significant enrichment (5 < < 20)). The highest mean value of the enrichment factor (15.4) was found for Cu in the winter season (two times higher than in the summer season) in CA, which was in the significant enrichment category (5 < < 20), although the mean of Cu belonged to the significant enrichment (5 < < 20) group for all the land-use types for both sampling seasons. The second highest (12.5) was found for Zn in CA followed by PRA (10.2), which were ranked in the ‘significant enrichment’ group. Moreover, the Zn mean value of for all land-use categories and seasons was in a similar group called ‘significant enrichment’. During the summer season, the of As and Co showed clearly higher values than during the winter seasons, but other heavy metal values showed a mixture of trends according to land use and seasons. In summary, the higher enrichment values of Cu and Zn should be taken into serious consideration. These seasonal variations may be attributed to meteorological conditions, such as temperature inversion. This suggests that a low mixing height can lead to high enrichment of heavy metals during winter and, on the contrary, they can be washed away, diluted or leached during summer, due to rainfall [12].
Table 3.
Enrichment factor () of heavy metals in roadside dust at different land-use categories in Dhaka city of Bangladesh.
4. Conclusions
The estimation of different pollution indices suggested that Cu, Zn, and Pb were the metals most responsible for environmental deterioration, and it appeared that most of these heavy metals came from anthropogenic sources. The results of our study mainly focused on <32 m particle size fractions of roadside dust for different land-use categories in Dhaka city, which may be helpful for city authorities to take necessary steps for reducing the existing dust pollution problems. Future studies should focus on finer particle size fractions (PM and PM) and the identification of season-bound sources of heavy metals; the human health implications should also be considered.
Author Contributions
Conceptualization: Q.W. and M.H.R.; methodology: Q.W., W.W.; software: M.H.K. and M.H.R.; validation: Q.W., W.W., S.L. and S.Y.; formal analysis: M.H.K. and S.Y.; investigation, M.H.K.; resources: Q.W., S.Y., S.L. and M.H.R.; data curation: M.H.K. and M.H.R.; writing—original draft preparation: M.H.K.; writing—review and editing: M.H.R., Q.W., W.W., S.L. and S.Y.; visualization: M.H.K. and M.H.R.; supervision: Q.W. and W.W.; project administration: Q.W.; funding acquisition: Q.W. All authors have read and agreed to the published version of the manuscript.
Funding
This study was partially supported by the Special Funds for Innovative Area Research (No.20120015, FY 2008-FY2012) and Basic Research (B) (No. 24310005, FY2012-FY2014; No.18H03384, FY2017 FY2020) of Grant-in-Aid for Scientific Research of Japanese Ministry of Education, Culture, Sports, Science and Technology (MEXT) and the Steel Foundation for Environmental Protection Technology of Japan (No. C-33, FY 2015-FY 2017).
Institutional Review Board Statement
Not applicable.
Informed Consent Statement
Not applicable.
Data Availability Statement
The data presented in this study are available on request from the corresponding author. The data are not publicly available since these data are published for the first time. The authors have no problems providing them on request.
Acknowledgments
Initial processing of roadside dust was conducted in the Department of Agronomy of Bangladesh Agricultural University. Part of heavy metal analyses were conducted in the laboratory of Center for Environmental Science in Saitama, Japan.
Conflicts of Interest
The authors declare no conflict of interest.
References
- Padoan, E.; Romè, C.; Ajmone-Marsan, F. Bioaccessibility and size distribution of metals in road dust and roadside soils along a peri-urban transect. Sci. Total Environ. 2017, 601–602, 89–98. [Google Scholar] [CrossRef]
- Ramírez, O.; de la Campa, A.M.S.; Amato, F.; Moreno, T.; Silva, L.F.; de la Rosa, J.D. Physicochemical characterization and sources of the thoracic fraction of road dust in a Latin American megacity. Sci. Total Environ. 2019, 652, 434–446. [Google Scholar] [CrossRef]
- Khademi, H.; Gabarrón, M.; Abbaspour, A.; Martínez-Martínez, S.; Faz, A.; Acosta, J.A. Distribution of metal(loid)s in particle size fraction in urban soil and street dust: Influence of population density. Environ. Geochem. Health 2020, 42, 4341–4354. [Google Scholar] [CrossRef]
- Zhao, N.; Lu, X.; Chao, S.; Xu, X. Multivariate statistical analysis of heavy metals in less than 100 μm particles of street dust from Xining, China. Environ. Earth Sci. 2014, 73, 2319–2327. [Google Scholar] [CrossRef]
- Wang, Q.; Lu, X.; Pan, H. Analysis of heavy metals in the re-suspended road dusts from different functional areas in Xi’an, China. Environ. Sci. Pollut. Res. 2016, 23, 19838–19846. [Google Scholar] [CrossRef] [PubMed]
- Adachi, K.; Tainosho, Y. Single particle characterization of size-fractionated road sediments. Appl. Geochem. 2005, 20, 849–859. [Google Scholar] [CrossRef]
- Lawrence, C.R.; Neff, J.C. The contemporary physical and chemical flux of aeolian dust: A synthesis of direct measurements of dust deposition. Chem. Geol. 2009, 267, 46–63. [Google Scholar] [CrossRef]
- Sioutas, C.; Delfino, R.J.; Singh, M. Exposure Assessment for Atmospheric Ultrafine Particles (UFPs) and Implications in Epidemiologic Research. Environ. Health Perspect. 2005, 113, 947–955. [Google Scholar] [CrossRef] [Green Version]
- Han, X.; Lu, X.; Zhang, Q.; Wuyuntana; Hai, Q.; Pan, H. Grain-size distribution and contamination characteristics of heavy metal in street dust of Baotou, China. Environ. Earth Sci. 2016, 75, 468. [Google Scholar] [CrossRef]
- Men, C.; Liu, R.; Wang, Q.; Guo, L.; Shen, Z. The impact of seasonal varied human activity on characteristics and sources of heavy metals in metropolitan road dusts. Sci. Total Environ. 2018, 637–638, 844–854. [Google Scholar] [CrossRef]
- Guo, G.; Zhang, D.; Wang, Y. Source apportionment and source-specific health risk assessment of heavy metals in size-fractionated road dust from a typical mining and smelting area, Gejiu, China. Environ. Sci. Pollut. Res. 2020, 28, 9313–9326. [Google Scholar] [CrossRef]
- Gope, M.; Masto, R.E.; George, J.; Balachandran, S. Tracing source, distribution and health risk of potentially harmful elements (PHEs) in street dust of Durgapur, India. Ecotoxicol. Environ. Saf. 2018, 154, 280–293. [Google Scholar] [CrossRef]
- Jose, J.; Srimuruganandam, B. Investigation of road dust characteristics and its associated health risks from an urban environment. Environ. Geochem. Health 2020, 42, 2819–2840. [Google Scholar] [CrossRef] [PubMed]
- Men, C.; Liu, R.; Xu, F.; Wang, Q.; Guo, L.; Shen, Z. Pollution characteristics, risk assessment, and source apportionment of heavy metals in road dust in Beijing, China. Sci. Total Environ. 2018, 612, 138–147. [Google Scholar] [CrossRef] [PubMed]
- Trujillo-González, J.M.; Torres-Mora, M.A.; Keesstra, S.; Brevik, E.C.; Jiménez-Ballesta, R. Heavy metal accumulation related to population density in road dust samples taken from urban sites under different land uses. Sci. Total Environ. 2016, 553, 636–642. [Google Scholar] [CrossRef]
- UN. Population Dynamics, World Urbanization Prospects 2018, Population of Urban Agglomerations with 300,000 Inhabitants or More in 2018, by Country, 1950–2035 (Thousands); Department of Economic and Social Affairs, United Nations: New York, NY, USA, 2018. [Google Scholar]
- Selonen, V.; Varjonen, R.; Korpimäki, E. Immediate or lagged responses of a red squirrel population to pulsed resources. Oecologia 2014, 177, 401–411. [Google Scholar] [CrossRef] [PubMed]
- Iqbal, A.; Afroze, S.; Rahman, M.M. Probabilistic Health Risk Assessment of Vehicular Emissions as an Urban Health Indicator in Dhaka City. Sustainability 2019, 11, 6427. [Google Scholar] [CrossRef] [Green Version]
- Ahmed, S.A.; Ali, S.M. People as partners: Facilitating people’s participation in public–private partnerships for solid waste management. Habitat Int. 2006, 30, 781–796. [Google Scholar] [CrossRef]
- Rahman, M.S.; Saha, N.; Molla, A.H. Potential ecological risk assessment of heavy metal contamination in sediment and water body around Dhaka export processing zone, Bangladesh. Environ. Earth Sci. 2014, 71, 2293–2308. [Google Scholar] [CrossRef]
- Rahman, M.S.; Khan, M.D.H.; Jolly, Y.N.; Kabir, J.; Akter, S.; Salam, A. Assessing risk to human health for heavy metal contamination through street dust in the Southeast Asian Megacity: Dhaka, Bangladesh. Sci. Total Environ. 2019, 660, 1610–1622. [Google Scholar] [CrossRef]
- Rahman, M.S.; Jolly, Y.N.; Akter, S.; Kamal, N.A.; Rahman, R.; Choudhury, T.R.; Begum, B.A. Sources of toxic elements in indoor dust sample at export processing zone (EPZ) area: Dhaka, Bangladesh and their impact on human health. Environ. Sci. Pollut. Res. 2021. [Google Scholar] [CrossRef]
- Rahman, M.S.; Kumar, S.; Nasiruddin, M.; Saha, N. Deciphering the origin of Cu, Pb and Zn contamination in school dust and soil of Dhaka, a megacity in Bangladesh. Environ. Sci. Pollut. Res. 2021. [Google Scholar] [CrossRef]
- Hoque, M.A.; Hoque, M.M.; Ahmed, K.M. Declining groundwater level and aquifer dewatering in Dhaka metropolitan area, Bangladesh: Causes and quantification. Hydrogeol. J. 2007, 15, 1523–1534. [Google Scholar] [CrossRef]
- Shahid, S. Recent trends in the climate of Bangladesh. Clim. Res. 2010, 42, 185–193. [Google Scholar] [CrossRef] [Green Version]
- Zhang, J.; Hua, P.; Krebs, P. Influences of land use and antecedent dry-weather period on pollution level and ecological risk of heavy metals in road-deposited sediment. Environ. Pollut. 2017, 228, 158–168. [Google Scholar] [CrossRef] [PubMed]
- Dytłow, S.; Górka-Kostrubiec, B. Concentration of heavy metals in street dust: An implication of using different geochemical background data in estimating the level of heavy metal pollution. Environ. Geochem. Health 2020, 43, 521–535. [Google Scholar] [CrossRef] [PubMed]
- Muller, G. Index of geoaccumulation in sediments of the Rhine River. Geojournal 1969, 2, 108–118. [Google Scholar]
- Khuzestani, R.B.; Souri, B. Evaluation of heavy metal contamination hazards in nuisance dust particles, in Kurdistan Province, western Iran. J. Environ. Sci. 2013, 25, 1346–1354. [Google Scholar] [CrossRef]
- Wedepohl, K.H. The composition of the continental crust. Geochim. Et Cosmochim. Acta 1995, 59, 1217–1232. [Google Scholar] [CrossRef]
- Ali, M.U.; Liu, G.; Yousaf, B.; Abbas, Q.; Ullah, H.; Munir, M.A.M.; Fu, B. Pollution characteristics and human health risks of potentially ecotoxic elements (PTEs) in road dust from metropolitan area of Hefei, China. Chemosphere 2017, 181, 111–121. [Google Scholar] [CrossRef]
- Gope, M.; Masto, R.E.; George, J.; Hoque, R.R.; Balachandran, S. Bioavailability and health risk of some potentially toxic elements (Cd, Cu, Pb and Zn) in street dust of Asansol, India. Ecotoxicol. Environ. Saf. 2017, 138, 231–241. [Google Scholar] [CrossRef]
- Kamani, H.; Mirzaei, N.; Ghaderpoori, M.; Bazrafshan, E.; Rezaei, S.; Mahvi, A.H. Concentration and ecological risk of heavy metal in street dusts of Eslamshahr, Iran. Hum. Ecol. Risk Assess. Int. J. 2017, 24, 961–970. [Google Scholar] [CrossRef]
- Hakanson, L. An ecological risk index for aquatic pollution control—A sedimentological approach. Water Res. 1980, 14, 975–1001. [Google Scholar] [CrossRef]
- Alsafran, M.; Usman, K.; Jabri, H.A.; Rizwan, M. Ecological and Health Risks Assessment of Potentially Toxic Metals and Metalloids Contaminants: A Case Study of Agricultural Soils in Qatar. Toxics 2021, 9, 35. [Google Scholar] [CrossRef] [PubMed]
- Al-Taani, A.A.; Nazzal, Y.; Howari, F.M.; Iqbal, J.; Orm, N.B.; Xavier, C.M.; Bărbulescu, A.; Sharma, M.; Dumitriu, C.S. Contamination Assessment of Heavy Metals in Agricultural Soil, in the Liwa Area (UAE). Toxics 2021, 9, 53. [Google Scholar] [CrossRef] [PubMed]
- Jaskuła, J.; Sojka, M.; Fiedler, M.; Wróżyński, R. Analysis of Spatial Variability of River Bottom Sediment Pollution with Heavy Metals and Assessment of Potential Ecological Hazard for the Warta River, Poland. Minerals 2021, 11, 327. [Google Scholar] [CrossRef]
- Mondal, P.; Lofrano, G.; Carotenuto, M.; Guida, M.; Trifuoggi, M.; Libralato, G.; Sarkar, S. Health Risk and Geochemical Assessment of Trace Elements in Surface Sediment along the Hooghly (Ganges) River Estuary (India). Water 2021, 13, 110. [Google Scholar] [CrossRef]
- Cai, K.; Li, C. Street Dust Heavy Metal Pollution Source Apportionment and Sustainable Management in A Typical City—Shijiazhuang, China. Int. J. Environ. Res. Public Health 2019, 16, 2625. [Google Scholar] [CrossRef] [Green Version]
- Sanleandro, P.M.; Navarro, A.S.; Díaz-Pereira, E.; Zuñiga, F.B.; Muñoz, M.R.; Iniesta, M.D. Assessment of Heavy Metals and Color as Indicators of Contamination in Street Dust of a City in SE Spain: Influence of Traffic Intensity and Sampling Location. Sustainability 2018, 10, 4105. [Google Scholar] [CrossRef] [Green Version]
- Kim, J.; Park, J.; Hwang, W. Heavy Metal Distribution in Street Dust from Traditional Markets and the Human Health Implications. Int. J. Environ. Res. Public Health 2016, 13, 820. [Google Scholar] [CrossRef] [Green Version]
- Li, N.; Han, W.; Tang, J.; Bian, J.; Sun, S.; Song, T. Pollution Characteristics and Human Health Risks of Elements in Road Dust in Changchun, China. Int. J. Environ. Res. Public Health 2018, 15, 1843. [Google Scholar] [CrossRef] [Green Version]
- Taiwo, A.M.; Michael, J.O.; Gbadebo, A.M.; Oladoyinbo, F.O. Pollution and health risk assessment of road dust from Osogbo metropolis, Osun state, Southwestern Nigeria. Hum. Ecol. Risk Assess. Int. J. 2019, 26, 1254–1269. [Google Scholar] [CrossRef]
- Dehghani, S.; Moore, F.; Keshavarzi, B.; Beverley, A.H. Health risk implications of potentially toxic metals in street dust and surface soil of Tehran, Iran. Ecotoxicol. Environ. Saf. 2017, 136, 92–103. [Google Scholar] [CrossRef] [PubMed]
- Fiala, M.; Hwang, H.M. Influence of Highway Pavement on Metals in Road Dust: A Case Study in Houston, Texas. Water Air Soil Pollut. 2021, 232, 185–196. [Google Scholar] [CrossRef]
- Sutherland, R.A. Bed sediment-associated trace metals in an urban stream, Oahu, Hawaii. Environ. Geol. 2000, 39, 611–627. [Google Scholar] [CrossRef]
- R Core Team. R: A Language and Environment for Statistical Computing; R Foundation for Statistical Computing: Vienna, Austria, 2017. [Google Scholar]
- Kahle, D.; Wickham, H. ggmap: Spatial Visualization with ggplot2. R J. 2013, 5, 144–161. [Google Scholar] [CrossRef] [Green Version]
- Han, H.; Hu, S.; Syed-Hassan, S.S.A.; Xiao, Y.; Wang, Y.; Xu, J.; Jiang, L.; Su, S.; Xiang, J. Effects of reaction conditions on the emission behaviors of arsenic, cadmium and lead during sewage sludge pyrolysis. Bioresour. Technol. 2017, 236, 138–145. [Google Scholar] [CrossRef] [PubMed]
- Doabi, S.A.; Afyuni, M.; Karami, M. Multivariate statistical analysis of heavy metals contamination in atmospheric dust of Kermanshah province, western Iran, during the spring and summer 2013. J. Geochem. Explor. 2017, 180, 61–70. [Google Scholar] [CrossRef]
- Pan, H.; Lu, X.; Lei, K. A comprehensive analysis of heavy metals in urban road dust of Xi’an, China: Contamination, source apportionment and spatial distribution. Sci. Total Environ. 2017, 609, 1361–1369. [Google Scholar] [CrossRef]
- Mondal, S.; Singh, G. Pollution evaluation, human health effect and tracing source of trace elements on road dust of Dhanbad, a highly polluted industrial coal belt of India. Environ. Geochem. Health 2021, 43, 2081–2103. [Google Scholar] [CrossRef]
- Li, X.; Poon, C.-s.; Liu, P.S. Heavy metal contamination of urban soils and street dusts in Hong Kong. Appl. Geochem. 2001, 16, 1361–1368. [Google Scholar] [CrossRef]
- Hossain, M. Bangladesh Environment Facing the 21th Century, 2nd ed.; Society for Environment and Human Development (SEHD): Dhaka, Bangladesh, 2002; pp. 207–216. [Google Scholar]
- Yang, Z.; Lu, W.; Long, Y.; Bao, X.; Yang, Q. Assessment of heavy metals contamination in urban topsoil from Changchun City, China. J. Geochem. Explor. 2011, 108, 27–38. [Google Scholar] [CrossRef]
- Ewen, C.; Anagnostopoulou, M.A.; Ward, N.I. Monitoring of heavy metal levels in roadside dusts of Thessaloniki, Greece in relation to motor vehicle traffic density and flow. Environ. Monit. Assess. 2008, 157, 483–498. [Google Scholar] [CrossRef] [PubMed] [Green Version]
- Mihankhah, T.; Saeedi, M.; Karbassi, A. A comparative study of elemental pollution and health risk assessment in urban dust of different land-uses in Tehran’s urban area. Chemosphere 2020, 241, 124984. [Google Scholar] [CrossRef] [PubMed]
- Rout, T.K.; Masto, R.E.; Padhy, P.K.; Ram, L.C.; George, J.; Joshi, G. Heavy metals in dusts from commercial and residential areas of Jharia coal mining town. Environ. Earth Sci. 2014, 73, 347–359. [Google Scholar] [CrossRef]
- Mohmand, J.; Eqani, S.A.M.A.S.; Fasola, M.; Alamdar, A.; Mustafa, I.; Ali, N.; Liu, L.; Peng, S.; Shen, H. Human exposure to toxic metals via contaminated dust: Bio-accumulation trends and their potential risk estimation. Chemosphere 2015, 132, 142–151. [Google Scholar] [CrossRef] [PubMed]
- Jadoon, W.A.; Khpalwak, W.; Chidya, R.C.G.; Abdel-Dayem, S.M.M.A.; Takeda, K.; Makhdoom, M.A.; Sakugawa, H. Evaluation of Levels, Sources and Health Hazards of Road-Dust Associated Toxic Metals in Jalalabad and Kabul Cities, Afghanistan. Arch. Environ. Contam. Toxicol. 2017, 74, 32–45. [Google Scholar] [CrossRef]
- Napit, A.; Shakya, S.; Shrestha, M.; Shakya, R.K.; Shrestha, P.K.; Pradhananga, A.R.; Ghimire, N.G.; Pant, D.R.; Shakya, P.R. Pollution Characteristics and Human Health Risks to Heavy Metals Exposure in Street Dust of Kathmandu, Nepal. Adv. J. Chem.-Sect. A 2020, 3, 645–662. [Google Scholar] [CrossRef]
- Alsanad, A.; Alolayan, M. Heavy metals in road-deposited sediments and pollution indices for different land activities. Environ. Nanotechnol. Monit. Manag. 2020, 14, 100374. [Google Scholar] [CrossRef]
- Shi, D.; Lu, X. Accumulation degree and source apportionment of trace metals in smaller than 63 μm road dust from the areas with different land uses: A case study of Xi’an, China. Sci. Total Environ. 2018, 636, 1211–1218. [Google Scholar] [CrossRef] [PubMed]
- Shabbaj, I.; Alghamdi, M.; Shamy, M.; Hassan, S.; Alsharif, M.; Khoder, M. Risk Assessment and Implication of Human Exposure to Road Dust Heavy Metals in Jeddah, Saudi Arabia. Int. J. Environ. Res. Public Health 2017, 15, 36. [Google Scholar] [CrossRef] [Green Version]
- Li, H.; Qian, X.; Hu, W.; Wang, Y.; Gao, H. Chemical speciation and human health risk of trace metals in urban street dusts from a metropolitan city, Nanjing, SE China. Sci. Total Environ. 2013, 456–457, 212–221. [Google Scholar] [CrossRef]
- Jorfi, S.; Maleki, R.; Jaafarzadeh, N.; Ahmadi, M. Pollution load index for heavy metals in Mian-Ab plain soil, Khuzestan, Iran. Data Brief 2017, 15, 584–590. [Google Scholar] [CrossRef] [PubMed]
- Men, C.; Liu, R.; Xu, L.; Wang, Q.; Guo, L.; Miao, Y.; Shen, Z. Source-specific ecological risk analysis and critical source identification of heavy metals in road dust in Beijing, China. J. Hazard. Mater. 2020, 388, 121763. [Google Scholar] [CrossRef] [PubMed]
- Aminiyan, M.M.; Baalousha, M.; Mousavi, R.; Aminiyan, F.M.; Hosseini, H.; Heydariyan, A. The ecological risk, source identification, and pollution assessment of heavy metals in road dust: A case study in Rafsanjan, SE Iran. Environ. Sci. Pollut. Res. 2017, 25, 13382–13395. [Google Scholar] [CrossRef]
- Martínez, L.L.G.; Poleto, C. Assessment of diffuse pollution associated with metals in urban sediments using the geoaccumulation index (Igeo). J. Soils Sediments 2014, 14, 1251–1257. [Google Scholar] [CrossRef]
Publisher’s Note: MDPI stays neutral with regard to jurisdictional claims in published maps and institutional affiliations. |
© 2021 by the authors. Licensee MDPI, Basel, Switzerland. This article is an open access article distributed under the terms and conditions of the Creative Commons Attribution (CC BY) license (https://creativecommons.org/licenses/by/4.0/).






