A Comparison of Ethanol, Methanol, and Butanol Blending with Gasoline and Its Effect on Engine Performance and Emissions Using Engine Simulation
Abstract
:1. Introduction
1.1. Properties of Methanol
1.2. Properties of Ethanol
- Directly used as a fuel or with 15% or more gasoline, known as “E85”. It can also be directly used in diesel engines specially configured for alcoholic fuels;
- As “gasohol”, blended with gasoline, usually 10%;
- As an ethyl tertiary butyl ether (ETBE) component of reformulated gasoline both directly and/or transformed into a compound.
1.3. Properties of Butanol
2. Materials and Methods
Simulation Setup
3. Results
3.1. Engine Performance Characteristics
3.2. Emissions Characteristics
4. Conclusions
- The engine brake power decreased with increasing ethanol and methanol in the fuel blends. The brake power slightly increased with increasing methanol in the fuel blends (M5 and M10). It was noticed that with an increase of methanol in the blends (M30 and M50), the power decreased;
- The BSFC increased with increasing alcohol content (methanol, ethanol, and n-butanol) in the fuel blends. There was a small difference between the BSFC when the engine was running with net gasoline and blended fuels E5 (M5, B5), E10 (M10, B5), and E20 (M20, B5);
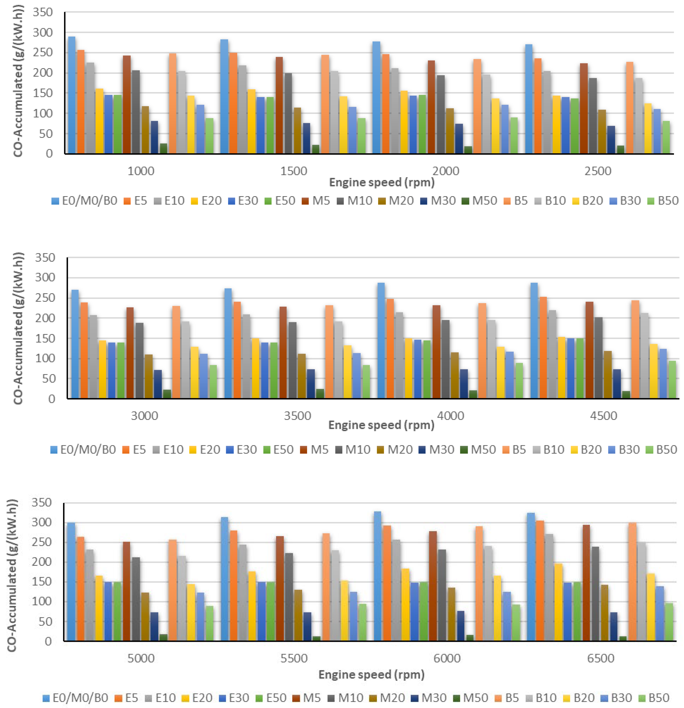
- When ethanol, methanol, and butanol percentage in blends increased, the CO emissions decreased compared with that of net gasoline;
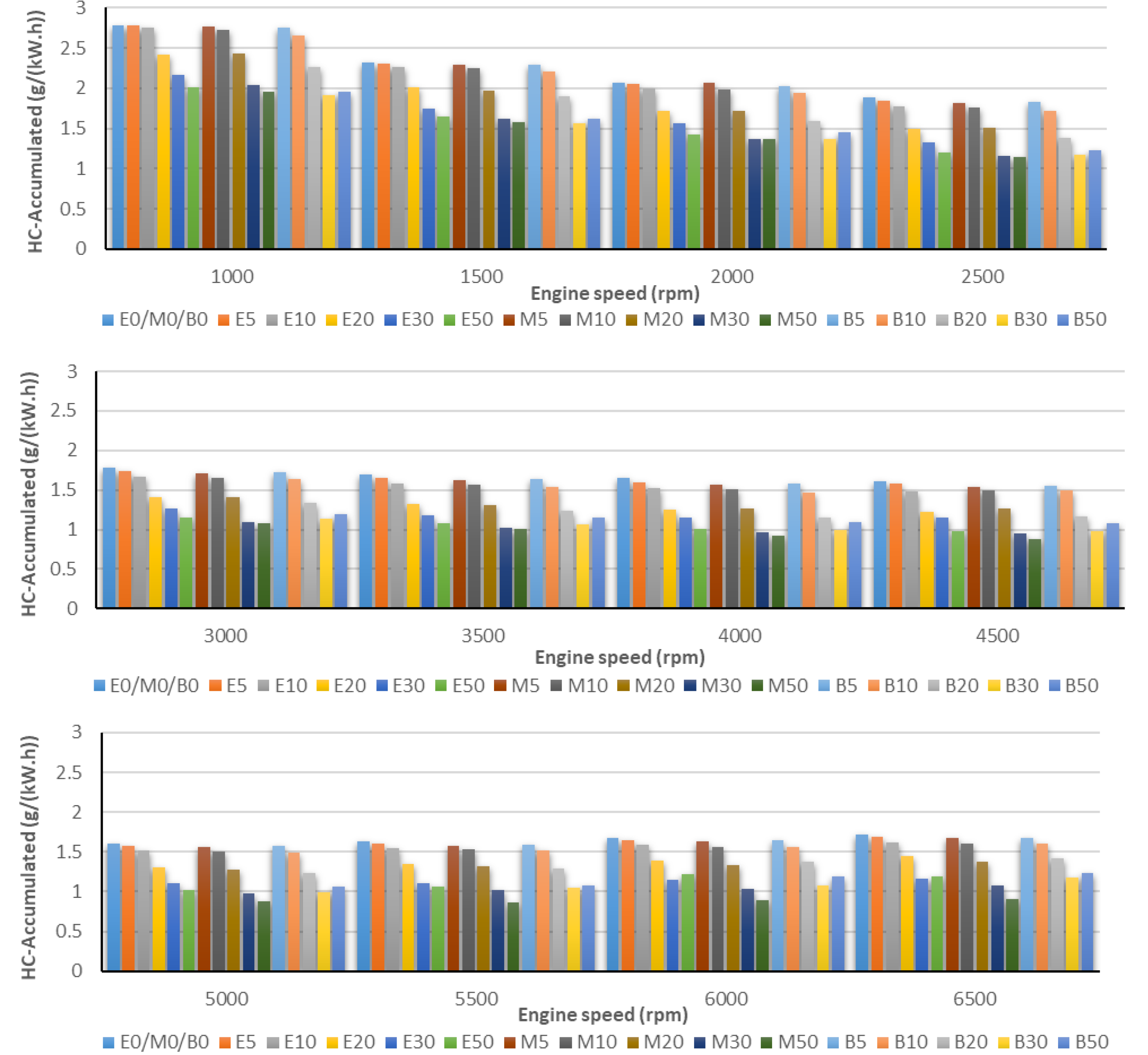
- When ethanol, methanol, and butanol percentage in blends increased, the HC emissions decreases compared with that of net gasoline. Based on the obtained results about HC emissions, it was found that methanol was the more suitable fuel compared to ethanol;
- When ethanol and methanol percentage in blends increased up to 30% E30 (M30), the NOx emissions increased, after which, with a further increase of ethanol (methanol) the NOx emissions decreased. The n-butanol showed an increase in NOx emissions when n-butanol percentage in blends increased up to 50% (B50), after which, with a further increase of n-butanol, the NOx emissions decreased.
Funding
Acknowledgments
Conflicts of Interest
References
- Bentley, R. Global oil & gas depletion: An overview. Energy Policy 2002, 30, 189–205. [Google Scholar]
- Ahuja, D.; Tatsutani, M. Sustainable energy for developing countries. SAPI EN. S. Surv. Perspect. Integr. Environ. Soc. 2009, 2, 1–16. [Google Scholar]
- EU. Directive 2014/94/EU of the European Parliament and of the Council of 22 October 2014 on the Deploy-Ment of Alternative Fuels Infrastructure Text with EEA Relevance; EU: Strasbourg, France, 2014. [Google Scholar]
- Germanova, T.; Kernozhitskaya, A. Emissions of exhaust gases and health of the person, IOP. Conf. Ser. Earth Environ. Sci. 2017, 90, 012036. [Google Scholar] [CrossRef]
- Åberg, A.; Thomas, K.; Linde, H.K.; Anders, K.; Damborg, N.R.; Widd, A.; Abildskov, J.; Jensen, A.D.; Huusom, J. A Framework for Modular Modeling of the Diesel Engine Exhaust Gas Cleaning System. Comput. Aided Chem. Eng. 2015, 37, 455–460. [Google Scholar]
- Yoro, K.; Daramola, M. CO2 emission sources, greenhouse gases, and the global warming effect. In Advances in Carbon Capture; Woodhead Publishing: Sawston, UK, 2020; pp. 3–28. [Google Scholar]
- Krawiec, P.; Warguła, Ł.; Małozi, D.; Kaczmarzyk, P.; Dziechciarz, A.; Czarnecka-Komorowska, D. The Toxicological Testing and Thermal Decomposition of Drive and Transport Belts Made of Thermoplastic Multilayer Polymer Materials. Polymers 2020, 12, 2232. [Google Scholar] [CrossRef]
- Iliev, S. A Comparison of Ethanol, Methanol and Butanol Blending with Gasoline and Relationship with Engine Performances and Emissions. In Proceedings of the 29th DAAAM International Symposium ‘Intelligent Manufacturing & Automation’, Zadar, Croatia, 24–27 October 2018; pp. 505–514. [Google Scholar]
- Valeika, G.; Matijošius, J.; Górski, K.; Rimkus, A.; Smigins, R. A Study of Energy and Environmental Parameters of a Diesel Engine Running on Hydrogenated Vegetable Oil (HVO) with Addition of Biobutanol and Castor Oil. Energies 2021, 14, 3939. [Google Scholar] [CrossRef]
- Shepel, O.; Matijošius, J.; Rimkus, A.; Duda, K.; Mikulski, M. Research of Parameters of a Compression Ignition Engine UsingVarious Fuel Mixtures of Hydrotreated Vegetable Oil (HVO) and Fatty Acid Esters (FAE). Energies 2021, 14, 3077. [Google Scholar] [CrossRef]
- Warguła, Ł.; Kukla, M.; Lijewski, P.; Dobrzyński, M.; Markiewicz, F. Influence of the Use of Liquefied Petroleum Gas (LPG) Systems in Woodchippers Powered by Small Engines on Exhaust Emissions and Operating Costs. Energies 2020, 13, 5773. [Google Scholar] [CrossRef]
- Warguła, Ł.; Kukla, M.; Lijewski, P.; Dobrzyński, M.; Markiewicz, F. Impact of Compressed Natural Gas (CNG) Fuel Systems in Small Engine Wood Chippers on Exhaust Emissions and Fuel Consumption. Energies 2020, 13, 6709. [Google Scholar] [CrossRef]
- Schorn, F.; Breuer, J.; Samsun, R.; Schnorbus, T.; Heuser, B.; Peters, R.; Stolten, D. Methanol as a renewable energy carrier: An assessment of production and transportation costs for selected global locations. Adv. Appl. Energy 2021, 3, 100050. [Google Scholar] [CrossRef]
- Ribeiro, C.; Martins, K.; Gueri, M.; Pavanello, G.; Schirmer, W. Effect of anhydrous ethanol/gasoline blends on performance and exhaust emissions of spark-ignited non-road engines. Environ. Sci. Pollut. Res. Int. 2018, 25, 24192–24200. [Google Scholar] [CrossRef] [PubMed] [Green Version]
- Iliev, S. Investigation of N-Butanol Blending with Gasoline using a 1-D Engine Model. In Proceedings of the 3rd International Conference on Vehicle Technology and Intelligent Transport Systems-SMS, Porto, Portugal, 22–24 April 2017; pp. 385–391. [Google Scholar]
- Gong, C.; Li, Z.; Huang, K.; Liu, F. Research on the performance of a hydrogen/methanol dual-injection assisted spark-ignition engine using late-injection strategy for methanol. Fuel 2020, 260, 116403. [Google Scholar] [CrossRef]
- Rimkus, A.; Stravinskas, S.; Matijošius, J. Comparative Study on the Energetic and Ecologic Parameters of Dual Fuels (Diesel–NG and HVO–Biogas) and Conventional Diesel Fuel in a CI Engine. Appl. Sci. 2020, 10, 359. [Google Scholar] [CrossRef] [Green Version]
- de Melo, T.C.C.; Machado, G.B.; Machado, R.T.; Belchior, C.R.P.; Pereira, P.P. Thermodynamic modeling of compression, combustion and expansion processes of gasoline, ethanol and natural gas with experimental validation on a flexible fuel engine. SAE World Congr. 2007-24-0035 2007. [Google Scholar]
- Dhamodaran, G.; Esakkimuthu, G.S.; Pochareddy, Y.K. Experimental study on performance, combustion, and emission behavior of diisopropyl ether blends in MPFI SI engine. Fuel 2016, 173, 37–44. [Google Scholar] [CrossRef]
- Iliev, S. A comparison of ethanol and methanol blending with gasoline using a 1-D engine model. In Procedia Engineering; Elsevier: Viena, Austria, 2015; Volume 100, pp. 1013–1022. [Google Scholar]
- Kisenyi, J.M.; Savage, C.A.; Simmoiids, A.C. The impact of oxygenates on exhaust emissions of six European cars. SAE Tech. Pap. 1994, SP-1043, 241–254. [Google Scholar]
- Chum, H.; Overend, R. Biomass and renewable fuels. Fuel Process. Technol. 2001, 71, 187–195. [Google Scholar] [CrossRef]
- Bechtold, R. Alternative Fuels Guidebook; Society of Automotive Engineers: Warren-dale, PA, USA, 1997. [Google Scholar]
- MAN Diesel & Turbo. Using Methanol Fuel in the MAN B&W ME-LGI Series; MAN Group: Copenhagen, Denmark, 2014. [Google Scholar]
- Iliev, S. Comparison of Ethanol and Methanol Blending with Gasoline Using Engine Simulation. In Biofuels-Challenges and Opportunities; Mansour Al Qubeissi, IntechOpen: London, UK, 2018; pp. 139–159. [Google Scholar]
- Vancoillie, J. Modeling the Combustion of Light Alcohols in Spark-Ignition Engines; Ghent University: Ghent, Belgium, 2013. [Google Scholar]
- Sileghem, L. Methanol as a Fuel for Modern Spark-Ignition Engines: Efficiency Study. In Proceedings RUG-FTW Ph. D. Symposium; Elsevier: Amsterdam, The Netherlands, 2011. [Google Scholar]
- Verhelst, S.; Turner, J.; Sileghem, L.; Vancoillie, J. Methanol as a fuel for internal combustion engines. In Progress in Energy and Combustion Science; Elsevier: Amsterdam, The Netherlands, 2019; Volume 70, pp. 43–88. [Google Scholar]
- Liu, S.; Clemente, E.R.; Hu, T.; Wei, Y. Study of spark ignition engine fueled with methanol/gasoline fuel blends. Appl. Therm. Eng. 2007, 27, 1904–1910. [Google Scholar] [CrossRef]
- Geng, P.; Zhang, H.; Yang, S. Experimental investigation on the combustion and particulate matter (PM) emissions from a port-fuel injection (PFI) gasoline engine fueled with methanol–ultralow sulfur gasoline blends. Fuel 2015, 145, 221–227. [Google Scholar] [CrossRef]
- Agarwal, A.; Karare, H.; Dhar, A. Combustion, performance, emissions and particulate characterization of a methanol–gasoline blend (gasohol) fueled medium duty spark ignition transportation engine. Fuel Process. Technol. 2014, 121, 16–24. [Google Scholar] [CrossRef]
- Chen, C.S.; Rao, P.S.C.; Delfino, J.J. Oxygenated fuel induced to solvent effect on the dissolution of polynuclear aromatic hydrocarbons from contemned soil. Chemosphere 2005, 60, 1572–1582. [Google Scholar] [CrossRef] [PubMed]
- Rocha, M.S.; Moriera, J.R.S. A simple impedance method for determining ethanol and regular gasoline mixtures mass content. Fuel 2005, 84, 447–452. [Google Scholar] [CrossRef]
- Pikunas, A.; Pukalskas, S.; Grabys, J. Influence of composition of gasoline-ethanol blends on parameters of internal combustion engines. J. KONES Intern. Combust. Engines 2003, 10, 3–4. [Google Scholar]
- Costa, R.C.; Sodre, J.R. Hydrous ethanol vs. gasoline-ethanol blend: Engine performance and emissions. Fuel 2010, 89, 287–293. [Google Scholar] [CrossRef]
- Thangavel, V.; Yashwanth, S.; Bharadwaj, D. Experimental studies on simultaneous injection of ethanol e gasoline and n-butanol e gasoline in the intake port of a four stroke SI engine. Renew. Energy 2016, 91, 347–360. [Google Scholar] [CrossRef]
- Naja, G.; Ghobadian, B.; Yusaf, T.; Mohammad, S.; Mamat, R. Optimization of performance and exhaust emission parameters of a SI (spark ignition) engine with gasoline e ethanol blended fuels using response surface methodology. Energy 2015, 90, 1815–1829. [Google Scholar]
- Doğcan, B.; Erol, D.; Yaman, H.; Kodanli, E. The effect of ethanol-gasoline blends on performance and exhaust emissions of a spark ignition engine through exergy analysis. Appl. Therm. Eng. 2017, 120, 433–443. [Google Scholar] [CrossRef]
- Storey, J.M.; Barone, T.L.; Thomas, J.F.; Huff, S.P. Exhaust particle characterization for lean and stoichiometric DI vehicles operating on ethanol-gasoline blends. Technical report. SAE Tech. Pap. 2012. [Google Scholar]
- Vertin, K.; Glinsky, G.; Reek, A. Comparative emissions testing of vehicles aged on E0, E15 and E20 fuels. Subcontract Rep. 2012, 303, 2–69. [Google Scholar]
- Jung, H.; Shelby, M.; Newman, C.; Stein, R. Effect of ethanol on part load thermal efficiency and CO2 emissions of SI engines. SAE Int. J. Engines 2013, 6, 456–469. [Google Scholar] [CrossRef]
- Schifter, I.; Diaz, L.; Rodriguez, R.; Gómez, J.P.; Gonzalez, U. Combustion and emissions behavior for ethanol–gasoline blends in a single cylinder engine. Fuel 2011, 90, 3586–3692. [Google Scholar] [CrossRef]
- Pechout, M.; Dittrich, A.; Vojtisek, M. Operation of an Ordinary PFI Engine on n-butanol and Iso-butanol and Their Blends with Gasoline. SAE Tech. Pap. 2014, 1–28. [Google Scholar]
- Altun, S.; Oztop, H.; Oner, C.; Exhaust, Y. Emissions of methanol and ethanol-unleaded gasoline blends in a spark ignition engine. Therm. Sci. 2013, 17, 291–297. [Google Scholar] [CrossRef]
- Gu, X.; Huang, Z.; Cai, J.; Gong, J.; Wu, X.; Lee, C.-F. Emission characteristics of a spark-ignition engine fueled with gasoline-n-butanol blends in combination with EGR. Fuel 2012, 93, 611–617. [Google Scholar] [CrossRef]
- Alqahtani, A.; Shokrollahihassanbarough, F.; Wyszynski, M.L. Thermodynamic Simulation Comparison of AVL BOOST and Ricardo WAVE for HCCI and SI Engines Optimisation. Combust. Engines 2015, 161, 68–72. [Google Scholar]
- López, E.; Nigro, N. Validation of a 0D/1D Computational Code for the Design of Several Kind of Internal Combustion Engines. In Technical Report; Centro Internacional de Métodos Computacionales en Ingeniería, Instituto de Desarrollo Tecnológico para la Industria Química: Santa Fe, Argentina, 2000; pp. 175–184. [Google Scholar]
- Iliev, S. Developing of a 1-D combustion model and study of engine characteristics using ethanol-gasoline blends. In Proceedings of the World Congress on Engineers, London, UK, 2–4 July 2014; Volume II, ISBN 978-988-19253-5-0. [Google Scholar]
- Iliev, S. Developing of a 1-D combustion model and study of engine performance and exhaust emissions using ethanol-gasoline blends. In IAENG Transaction of Engineering Technologies; Springer: Dordrecht, The Netherlands, 2014. [Google Scholar]
- AVL List Gmbh. AVL Boost–Theory; AVL List Gmbh: Graz, Austria, 2013. [Google Scholar]
- Bowman, C. Kinetics of pollutant formation and destruction in combustion. Prog. Energy Combust. Sci. 1975, 1, 33–45. [Google Scholar] [CrossRef]
- Bayraktar, H. Experimental and theoretical investigation of using gasoline–ethanol blends in spark-ignition engines. Renew. Energy 2009, 30, 1733–1747. [Google Scholar] [CrossRef]
- Varol, Y.; Öner, C.; Öztop, H.; Altun, Ş. Comparison of methanol, ethanol, or n-butanol blending with unleaded gasoline on exhaust emissions of an SI engine. Energy Sources Part A Recov. Utiliz. Environ. 2014, 36, 938–948. [Google Scholar] [CrossRef]
- Egeback, K.; Henke, M.; Rehnlund, B.; Wallin, M.; Westerholm, R. Blending of ethanol in gasoline for spark ignition engines-problem inventory and evaporative measurements. Rapp. MTC 2005, 5407, 8–9. [Google Scholar]






| Properties | Gasoline | Methanol | Ethanol | Butanol |
|---|---|---|---|---|
| Chemical formula | C8H15 | CH3OH | C2H5OH | C4H9OH |
| Molar mass, kg/kmol | 114 | 32 | 46 | 74.12 |
| Oxygen content, wt% | - | 50 | 34.73 | 21.59 |
| Carbon content, wt% | 86 | 38 | 52 | 65 |
| Hydrogen content, wt% | 14 | 12 | 13.1 | 13.5 |
| Stoichiometric AFR | 14.5 | 6.43 | 8.94 | 11.12 |
| Lower heating value, MJ/kg | 44.3 | 20.1 | 27 | 33 |
| Higher heating value, MJ/kg | 48 | 22.88 | 29.85 | 36.07 |
| Volumetric energy content, MJ/m3 | 31746 | 15871 | 21291 | 26795 |
| Heat of evaporation, kJ/kg at 1 bar | 375 | 1089 | 841 | 584 |
| Research octane number | 96.5 | 112 | 111 | 96 |
| Motor octane number | 87.2 | 91 | 92 | 81 |
| Cetane number | - | <5 | 8 | 17–25 |
| Boiling temperature, °C at 1 bar | 25–215 | 65 | 79 | 118 |
| Vapor pressure, bar at 20 °C | 0.25–0.45 | 0.13 | 0.059 | 0.064 |
| Critical pressure, bar | - | 81 | 63 | 45 |
| Critical temperature, °C | - | 239.4 | 241 | 290 |
| Kinematic viscosity, cSt at 20 °C | 0.6 | 0.74 | 1.2 | 3.6 |
| Density, kg/cm3 | 740 | 798 | 785 | 811 |
| Surface tension, mN/m at 20 °C | 21.6 | 22.1 | 22.3 | 24.57 |
| Minimum ignition energy, mJ at φ = 1 | 0.8 | 0.21 | 0.65 | - |
| Auto-ignition temperature, °C | 192–470 | 465 | 425 | 343 |
| Peak flame temperature, °C at 1 bar | 2030 | 1890 | 1.920 | - |
| Adiabatic flame temperature, K | ~2275 | 2143 | 2193 | 2262 |
| Flammability limits, vol% | 1.4–7.6 | 6–36 | 3–19 | 1.7–12 |
| Flash point, °C | −45 | 12 | 14 | 35 |
| Bulk modulus, N/mm2 at 20 °C 2 MPa | 1300 | 823 | 902 | - |
| Specific CO2 emissions, g/MJ | 73.95 | 68.44 | 70.99 | 71.9 |
| Specific CO2 emissions relative to gasoline | 1 | 0.93 | 0.96 | 0.97 |
| Elements | Description |
|---|---|
| E1 | Engine management |
| C1, C2, C3, and C4 | Number of engine cylinders |
| MP1 to MP18 | Measuring points |
| PL1, PL2, PL3, and PL4 | Plenums |
| SB1 and SB2 | System boundaries |
| 1 to 30 | Flow pipes |
| CL1 | Cleaner |
| R1 to R10 | Flow restrictions |
| I1 to I4 | Fuel injectors |
| Engine Parameters | Value |
|---|---|
| Bore | 86 (mm) |
| Stroke | 86 (mm) |
| Compression ratio | 10.5 |
| Connection rod length | 143.5 (mm) |
| Number of cylinders | 4 |
| Piston pin offset | 0 (mm) |
| Displacement | 2000 (cc) |
| Intake valve open | 20 BTDC (deg) |
| Intake valve close | 70 ABDC (deg) |
| Exhaust valve open | 50 BBDC (deg) |
| Exhaust valve close | 30 ATDC (deg) |
| Piston surface area | 5809 (mm2) |
| Cylinder surface area | 7550 (mm2) |
| Number of strokes | 4 |
Publisher’s Note: MDPI stays neutral with regard to jurisdictional claims in published maps and institutional affiliations. |
© 2021 by the author. Licensee MDPI, Basel, Switzerland. This article is an open access article distributed under the terms and conditions of the Creative Commons Attribution (CC BY) license (https://creativecommons.org/licenses/by/4.0/).
Share and Cite
Iliev, S. A Comparison of Ethanol, Methanol, and Butanol Blending with Gasoline and Its Effect on Engine Performance and Emissions Using Engine Simulation. Processes 2021, 9, 1322. https://doi.org/10.3390/pr9081322
Iliev S. A Comparison of Ethanol, Methanol, and Butanol Blending with Gasoline and Its Effect on Engine Performance and Emissions Using Engine Simulation. Processes. 2021; 9(8):1322. https://doi.org/10.3390/pr9081322
Chicago/Turabian StyleIliev, Simeon. 2021. "A Comparison of Ethanol, Methanol, and Butanol Blending with Gasoline and Its Effect on Engine Performance and Emissions Using Engine Simulation" Processes 9, no. 8: 1322. https://doi.org/10.3390/pr9081322
APA StyleIliev, S. (2021). A Comparison of Ethanol, Methanol, and Butanol Blending with Gasoline and Its Effect on Engine Performance and Emissions Using Engine Simulation. Processes, 9(8), 1322. https://doi.org/10.3390/pr9081322