Next Article in Journal
Multi-Residue Analysis of Thyreostats in Animal Muscle Tissues by Hydrophilic Interaction Liquid Chromatography Tandem Mass Spectrometry: A Thorough Chromatographic Study
Previous Article in Journal
Experimental Study on Vehicle Pressure Swing Adsorption Oxygen Production Process Based on Response Surface Methodology
 
 
Font Type:
Arial Georgia Verdana
Font Size:
Aa Aa Aa
Line Spacing:
Column Width:
Background:
Article

Simultaneously Tuning Charge Separation and Surface Reaction Kinetics on ZnIn2S4 Photoanode by P-Doping for Highly Efficient Photoelectrochemical Water Splitting and Urea Oxidation

by
Jiamin Sun
,
Ling Tang
,
Chenglong Li
,
Jingjing Quan
,
Li Xu
,
Xingming Ning
*,
Pei Chen
*,
Qiang Weng
,
Zhongwei An
and
Xinbing Chen
*
Key Laboratory of Applied Surface and Colloid Chemistry (MOE), Shaanxi Key Laboratory for Advanced Energy Devices, Shaanxi Engineering Laboratory for Advanced Energy Technology, International Joint Research Center of Shaanxi Province for Photoelectric Materials Science, School of Materials Science and Engineering, Shaanxi Normal University, Xi’an 710119, China
*
Authors to whom correspondence should be addressed.
Separations 2024, 11(9), 268; https://doi.org/10.3390/separations11090268
Submission received: 2 August 2024 / Revised: 2 September 2024 / Accepted: 10 September 2024 / Published: 13 September 2024
(This article belongs to the Section Separation Engineering)

Abstract

ZnIn2S4 nanosheets are a promising photoanode for driving photoelectrochemical (PEC) hydrogen fuel production; nevertheless, poor charge separation and sluggish surface reaction kinetics hinder its PEC performance to an extreme degree. Herein, a facile element doping strategy (i.e., P element) was developed to obtain the desired photoanode. As a result, the ZnIn2S4-P (ZIS-P5) photoanode exhibits a remarkable photocurrent density of 1.66 mA cm−2 at 1.23 V versus a reversible hydrogen electrode (VRHE) and a much lower onset potential of 0.12 V vs. RHE for water oxidation. Careful electrochemical analysis confirms that the P doping and sulfur vacancies (Sv) not only facilitate the hole transfer, but also boost surface reaction kinetics. Finally, the “killing two birds with one stone” goal can be achieved. Moreover, the optimized photoanode also presents high PEC performance for urea oxidation, obtaining a photocurrent density of 4.13 mA cm−2 at 1.23 V vs. RHE. This work provides an eco-friendly, simple and effective method to realize highly efficient solar-to-hydrogen conversion.

1. Introduction

In 1972, Fujishima and Honda [1] reported that TiO2 photoelectrodes could produce hydrogen through water splitting under ultraviolet light. Since then, PEC water splitting has been considered a promising strategy for converting solar energy into hydrogen energy [2,3,4,5,6], which can effectively solve the problems of environmental pollution and the energy crisis. In general, the PEC process is made up of three parts: (1) light harvesting; (2) charge separation; and (3) surface reaction [7,8]. PEC water splitting consists of two processes, i.e., a hydrogen evolution reaction (HER) at the photocathode and an oxygen evolution reaction (OER) at the photoanode. Compared with the two-electron transfer HER, the four-electron transfer OER is the key factor affecting the hydrogen production rate of PEC water splitting [9,10,11,12]. Accordingly, the exploration of photoanode with high conversion efficiency is imperative for the practical applications.
Recently, through the unremitting efforts of researchers, some promising semiconductor candidates, including WO3 [13,14], Fe2O3 [15,16], Ta3N5 [17,18], BiVO4 [19,20,21,22,23], and ZnIn2S4, have emerged as photoanodes. Among various candidates, as a typical ternary metal sulfide, ZnIn2S4 has been regarded as a promising photoelectrode for PEC water splitting owing to its narrow band gap (ca. 2.44 eV) [24], suitable conduction band potential (−0.43 eV versus a normal hydrogen electrode, which holds a strong reduction capacity for H2 evolution) [24], the S-Zn-S-In-S-In-S type lamellar stack structure [25], and environmental friendly properties [26,27,28,29,30]. Nevertheless, due to the serious photogenerated electron-hole recombination and slow OER kinetics of ZnIn2S4, the water splitting efficiency of PEC is greatly limited for a single-phased ZnIn2S4 photoanode. To date, some strategies to improve the performance of the ZnIn2S4 photoelectrode have been proposed, such as cocatalyst loading [31,32], elemental doping [33,34], the construction of heterojunctions [35,36], creating defect structures [37], and morphology modulation [38]. According to the literature, both element doping and constructing sulfur vacancies (Sv) are regarded as effective methods to rationally adjust the electronic structure of ZnIn2S4, aiming to simultaneously accelerate the photogenerated charge transfer and promoting surface reaction kinetics. Specifically, Li and coworkers [39] confirmed that magnesium (Mg) can be adopted to dope a ZnIn2S4 nanosheet (denoted as ZIS), and the formed ZIS:MA array photoanodes can not only boost bulk charge separation but also accelerate surface catalytic reaction kinetics through the presence of Mg-O bonds in a low-temperature water bath. Li et al. [40] constructed ultrathin Ni-doped ZIS nanosheets with Sv via a simple one-step hydrothermal method, and they exhibit an excellent H2 evolution rate of 8.91 mmol·g−1·h−1, which is about 4.4 times higher than that of ZIS. The reason for this high performance can be attributed to the enhancement of the photogenerated charge separation and transfer. Nevertheless, the doping strategy often acts as a double-edged sword, and it is not always beneficial. Recently, more and more researchers have proven that doping can certainly introduce some negative effects [39], especially detrimental defects, resulting in severe charge recombination and poor surface OER activity, which will limit the further improvement of PEC performance [39].
In addition to the above methods, another effective method for improving charge separation has also been confirmed, i.e., constructing Sv in the ZIS. Typically, Huang et al. [41] reported that ultrathin ZIS nanosheets with Sv (Sv-ZIS) can be treated as a promising photocatalyst for H2O2 photosynthesis, and the improved catalytic efficiency can be attributed to suppress their charge recombination via Sv. Yang et al. [42] demonstrated that porous ZIS with confined Sv can efficiently alleviate the poor activity issue from low charge separation efficiency and poor charge migration ability.
Although the above strategies exhibit a positive effect on the improvement of PEC performance, the photocurrent density of the ZIS photoanode is still far from a level at which applications can be considered. Based on the study mentioned above (i.e., sluggish OER and restricted charge transfer kinetic behavior), coupling Sv with element doping should be an effective way to overcome the above limitations, and realize highly efficient PEC performance. As such, phosphorus (P) is a promising dopant with low charge recombination and high electron mobility. As expected, Kang et al. [43] proved that an in situ P doping effect can enhance charge separation, and the porous P, Ti-Fe2O3 photoanode presented a high photocurrent density of 2.50 mA cm−2 at 1.23 VRHE. As far as we know, designing a ZIS-based photoanode with Sv and P element doping for enhancing the PEC performance has broad prospects, but has been rarely reported.
In this study, a general and facile calcination method to construct ZIS-P5 photoanode is detailed. Benefitting from the synergistic effects of Sv and P doping, i.e., a “killing two birds with one stone” strategy, the targeted photoanode shows a largely improved performance of PEC water splitting and urea oxidation compared to the ZIS photoanode. Finally, the resulting configuration (ZIS-P5) shows a higher photocurrent density for urea oxidation (4.13 mA cm−2) and water oxidation (1.66 mA cm−2) at 1.23 V vs. RHE, respectively.

2. Materials and Methods

2.1. Chemical Reagents and Instruments

Sodium hypophosphite monohydrate (NaH2PO2·H2O, ≥98.00%), Sodium dihydrogen phosphate dihydrate (NaH2PO4·2H2O, ≥99.00%), Disodium hydrogen phosphate dodecahydrate (Na2HPO4·2H2O, ≥99.00%), Potassium chloride (KCl, ≥99.50%) were all selected from Sinopharm Chemical Reagent Co., Ltd. (Shanghai, China). Indium chloride tetrahydrate (InCl3·4H2O, ≥98.00%) and Thiourea (CH4N2S, ≥99.00% ) are from Aladdin Biochemical Technology Co., Ltd. (Shanghai, China), zinc chloride (ZnCl2, ≥99.00%) is from Maclean’s Biochemical Technology Co., Ltd. (Shanghai, China) and argon (Ar, ≥99.99%) is from Beipu Gas Co., Ltd. (Xi’an, China), Fluorine-doped SnO2 (FTO, 14 Ω per square) substrates were purchased from Jinge Solar Energy Technology Co., Ltd. (Wuhan, China).

2.2. Materials Preparation

2.2.1. Preparation of ZIS Films

ZnCl2 (0.0545 g), InCl3·4H2O (0.1759 g) and CH4N2S (0.1217 g) were dissolved in deionized water (40 mL, 2 h), and then aged in the above solution at room temperature for 3 h. The FTO-coated glass is placed in a V-shape in the Teflon-lined stainless steel autoclave with the FTO conductive side facing down, and 10 mL of precursor solution was poured into the Teflon-lined stainless steel autoclave. After undergoing reaction at 160 °C for 7 h, the sample was removed and then rinsed with deionized water to obtain a ZIS nanosheet array.

2.2.2. Preparation of ZIS-Px

Control samples were prepared by annealing a pristine ZIS nanosheet array in argon gas at 320 °C for 1 h. For P doping, different masses of sodium hypophosphite (NaH2PO2, 10 mg, 5 mg, 0 mg) were placed at a tube furnace. The furnace was heated to 320 °C for 1 h (5 °C/min) under argon flow, and the resulting sample is denoted as ZIS-Px (x =10, 5, 0).

2.3. Structural Characterization

The morphology of the photoanode was tested using field emission scanning electron microscopy (FESEM, SU8020). X-ray photoelectron spectroscopy was used to detect the chemical state and chemical composition (XPS, Escalab Xi+). The characterization of the crystal structure of different samples was carried out by powder X-ray diffraction (XRD, SmartLab 9 KW) at room temperature. A microscopic confocal laser Raman spectrometer was used to obtain the Raman spectrum of the material. The optical properties of different photoanodes were characterized using ultraviolet–visible (UV–vis) absorption spectroscopy (Shimadzu UV–3600). The structural characterization of samples was performed by Fourier Transform Infrared Spectrometer (Vertex70). Transmission electron microscopy (TEM) and high-resolution TEM (HR-TEM) imagery were carried out using a Tecnai G2 F30 (200 KV) with elements mapping. The detection of the state of existence of free radical ions was conducted using electron spin resonance spectroscopy (EMX–10/12).

2.4. Electrochemical Measurements

Electrochemical testing of ZIS-based photoelectrodes was carried out using an electrochemical workstation (CHI760E) with a conventional three-electrode system in 0.5 M PBS electrolyte. The electrochemical active surface area was measured at different scan rates.

2.5. Photoelectrochemical (PEC) Measurements

In this experiment, an electrochemical workstation (CHI760E) was used to investigate the photoelectrochemical properties of the sample. Among them, the light source is an AM 1.5 G xenon light source (simulating sunlight). A standard three-electrode system was used to test the PEC performance of the prepared samples. In this study, ZIS and ZIS-Px were selected as the working electrodes, Ag/AgCl electrode was used as the reference electrode, with platinum sheets as the counter electrode, and 0.5 M PBS (pH 6.5) was used as the electrolyte solution. The photocurrent density was obtained using a linear scanning voltammetry (LSV) test with a sweep speed of 50 mV/s. Compared to a reversible hydrogen electrode (RHE), the obtained potential can be converted by the following formula:
E(RHE) = E(Ag/AgCl) + 0.197 + 0.0591 pH.
The electrochemical impedance spectroscopy (EIS) was tested under Autolab M204 at a frequency from 10 KHz to 0.1 Hz in open circuits. The intensity-modulated photocurrent spectroscopy (IMPS) and transient photocurrent response (i-t) were also measured by the photoechem system (LED, 470 nm) of Autolab M204. The electronic behavior and interfacial charge transfer properties of the ZIS photoanode under illumination were studied, and the differences between the impedance values of different structures were analyzed by fitting the results, where transient time (τd) can be calculated by using the following formula:
τ d = 1 2 π f IMPS
where f IMPS is the frequency located at the lowest point in the IMPS plot.
The applied bias photon-to-current efficiency (ABPE) was calculated by using the following equation:
ABPE % = ( J light J dark ) × 1 . 23     V app P light ×   100 %
where J light and J dark are the photocurrent density (mA cm−2) in the light and dark, respectively. Vapp is the applied potential (vs. RHE), and Plight is the power intensity of AM 1.5 G (100 mW cm−2).

3. Results and Discussion

Figure 1a shows the preparation process of the P element and Sv co-incorporated ZIS-P5 integrated photoanode. Firstly, pristine ZIS was grown on a fluorine-doped tin oxide (FTO) glass substrate via a simple hydrothermal process in a pre-treated autoclave. Then, ZIS nanosheet arrays were treated by a simple phosphating process to introduce Sv and P element, and the resultant product is denoted as ZIS-P5. Of course, the ZIS was subsequently annealed under Ar atmospheric conditions without NaH2PO2 precursors, which can introduce abundant Sv into the sample, denoted as ZIS-P0. Scanning electron microscopy (SEM) was used to observe the microstructure. The SEM images in Figure 1b and Figure S1 indicate that the ordered two-dimensional (2D) ZIS nanosheets are vertically aligned on the FTO substrates. Figure S1b,c show the cross-sectional SEM images of the ZIS nanosheet arrays. Through the diagrams of the transmission electron microscope (TEM, Figure 1c,d), we can observe the ZIS nanoarrays with an ultrathin structure. As shown in Figure S1, ZIS and ZIS-P5 show the similar 2D arrays vertically aligned on the FTO surface, indicating that P doping and heat treatment do not change the main morphology of ZIS.
To further analyze the crystal phase, X-ray diffraction (XRD) was acquired, as shown in Figure 1e and Figure S3. The main diffraction peaks of 21.3°, 28.3°, 33.79° and 47.11° can be detected, corresponding to the (009), (104), (018) and (110) planes of the ZIS (JCPDS: 72-1445) [26,44], respectively. Additionally, compared to the blank FTO, the ZIS-based photoanodes do not show any significant diffraction peaks, which proves that no impurities are introduced into the synthesized ZIS photoanode, constituting a preliminary confirmation of the synthesis of the target, which can be further verified by the Raman result (Figure S2). In addition, no obvious changes are shown in the XRD patterns (Figure S3) and Fourier transform infrared (FTIR, Figure S4) spectra, meaning that the annealing and doping processes negligibly influence the structure. However, Figure 1f exhibits the energy dispersive spectroscopy (EDS) elemental mapping of S, Zn, In, and P for ZIS-P5 photoanode, further indicating the successfully doping of P into the ZIS. Although the P element can be doped with the phosphating strategy, it is still unknown whether Sv is introduced at the same time.
Accordingly, some necessary characterization is employed to explore Sv, wherein the defect characteristics of ZIS samples were investigated by electron paramagnetic resonance (EPR, Figure 2a) and X-ray photoelectron spectra (XPS, Figure 2b). EPR spectra uncover the presence of a vacancy structure from the escaping S atoms of ZIS. Typically, compared to ZIS and ZIS-P0, ZIS-P5 exhibits a higher EPR signal at a g-value of 2.004, verifying that ZIS-P5 possess Sv in electron-trapped centers. More importantly, in comparison to that of ZIS, an intense signal at a g-value of 2.004 of ZIS-P0 is shown in Figure S5, further confirming the existence of Sv. In the S 2p XPS, we can find that the peaks of ZIS-P5 positively shift by ~0.20 eV in comparison to ZIS, which was due to the existence of the Sv (Figure 2b), consistent with the previous report [39]. In contrast, the binding energies of In 3d and Zn 2p in the high resolution XPS spectra of ZIS-P5 were lower than those of ZIS (Figure S6). Of course, similar results are also confirmed in ZIS-P0 (Figure S6). These results suggest that the phosphating process (discussed in the section detailing the experiment) can lead to the formation of Sv, and leave the P element in ZIS (i.e., ZIS-P5).
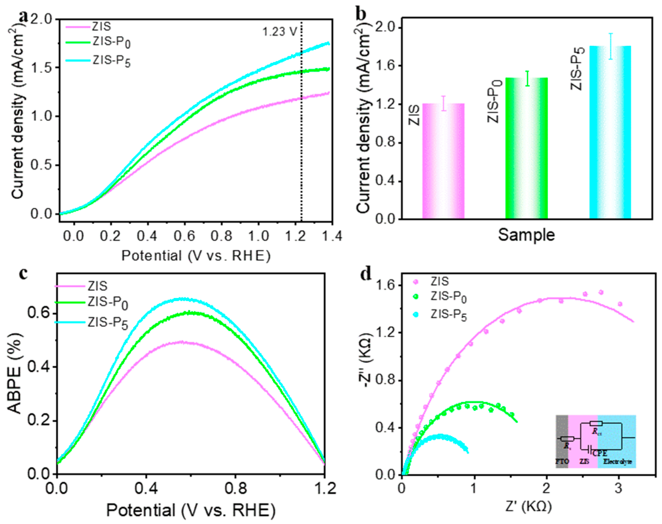
The PEC water splitting was measured with a traditional three-electrode system (AM 1.5 G illumination) in 0.5 M NaH2PO4/Na2HPO4 buffer solution (pH 6.5). The photocurrent-voltage (J-V) curves under different P doping conditions were investigated (Figure S7), including the time (0.5–1.5 h) and temperature (305–335 °C) of the phosphating process, and the P source mass (0, 5, 10 mg). To further confirm the synergistic effects of Sv and P doping, the photocurrent densities of six pieces of different film under AM 1.5 G illumination were collected (Figure S8). Finally, the optimal condition is 320 °C for 1 h with 5 mg P source. In Figure 3a, the pristine ZIS photoanode shows a relatively low photocurrent density (about 1.18 mA cm−2) at 1.23 VRHE, mainly suffering from sluggish OER dynamics and severe charge recombination (discussed in the Introduction). Obviously, when the ZIS photoanode was annealed at the 320 °C (without the P source), the optimized ZIS-P0 shows an enhanced photocurrent density of 1.46 mA cm−2, possibly owing to the boosting charge separation or surface catalysis. However, simultaneously suppressing the charge recombination and accelerating the surface OER dynamics slowly is especially disputable. Interestingly, the doping of P into the ZIS (ZIS-P5) can obviously improve PEC activity, and the photocurrent density can be increased up to 1.66 mA cm−2 at 1.23 VRHE (Figure 3a), accompanied by a much lower onset potential of 0.12 V vs. RHE. ABPE values of different samples can be calculated from the measured J-V curves. As shown in Figure 3c, after introducing the P element by the phosphating treatment, the resultant ZIS-P5 photoanode exhibits a higher ABPE value of 0.65% at 0.50 VRHE, which is much higher than that of ZIS-P0 (0.6% at 0.6 VRHE) and pristine ZIS (0.49% at 0.57 VRHE), further confirming that the impressive improvement in PEC performance is due to P doping and Sv.
To further elucidate the above results, EIS was performed on different samples. Through the analysis of a Nyquist diagram (Figure 3d), we find that the bare ZIS photoanode has a large arc radius, indicating that the charge transfer impedance is large, and the relevant charge transfer kinetics are slow. Typically, the arc radius of ZIS-P5 is significantly smaller than ZIS-P0 and ZIS, indicating that ZIS-P5 has a higher conductivity. An analysis of the fitting results further reveal notable distinctions for different samples. Specially, in Table S2, the impedance of ZIS-P5 (931 Ω) stands out as lower compared to that of ZIS-P0 (1770 Ω) and ZIS (4040 Ω). These results indicate the excellent conductivity and rapid charge transfer kinetics of the ZIS-P5 photoanode, which is conducive to inhibiting charge recombination and improving the PEC water splitting performance.
In order to further gain in-depth insights into the fast charge transfer behavior of the ZIS-P5, the time resolved photoluminescence (TRPL) of different photoanodes were tested. the lifetime of ZIS-P5 (2.77 ns) is longer than ZIS-P0 (2.61 ns) and ZIS (2.21 ns), suggesting that the P doping and Sv can ensure a long lifetime of charge carriers (Figure S9). To further explore the charge transfer kinetics, open-circuit potential (OCP) measurements were carried out. As shown in Figure S10, the photovoltage of the ZIS-P5 photoanode is calculated to be 430 mV, which is 70 mV and 20 mV higher than that of the ZIS (360 mV) and photoanode ZIS-P0 (410 mV), respectively, proving that the introduction of P element and Sv contribute to a larger photovoltage and thus promote highly efficient charge separation, which is in good agreement with the results of J-V curves.
The above series of characterizations confirm that P doping and Sv can obtain an excellent PEC performance, but the real reason for this is still unknown. To investigate the origin, it is necessary to investigate the charge transfer kinetics. First, the light harvesting ability was tested by UV–vis diffuse reflectance spectroscopy (DRS). As shown in Figure S11, we find that there is a slight influence of the light absorption upon the photocurrent density of the ZIS-based photoanodes, further indicating that the robust photocurrent density is mainly attributed to the charge transfer and surface catalysis. So, the intensity-modulated photocurrent spectroscopy (IMPS) curves of different samples were recorded to explore their charge transfer dynamics (Figure 4a). In general, when the charge transfer rate constant (Krc) value is lower than the charge recombination rate constant (Kct), the charge transfer dominates. Conversely, charge recombination prevails, where the ratio of Kct/(Krc + Kct) can be achieved by comparing the steady state photocurrent density and the instantaneous photocurrent density (Figure 4b) [45]. For ZIS, Krc is much higher (15.65 s−1) than Kct (8.42 s−1), as depicted in Figure 4c, which is mainly due to the poor charge recombination and slow surface reaction. Notably, Kct of ZIS-P5 is about 2.98 times higher than that of ZIS after the introduction of the P element and Sv, suggesting that the synergistic effect of P and Sv can effectively accelerate the kinetics of hole transfer and then inhibit charge recombination, as supported by the results of the charge transfer efficiency (Figure 4d) and transient time (Figure S12).
Except for efficient charge separation through the synergistic effect, whether the surface catalytic activity can be affected is ambiguous. Therefore, we measured the OER performance of different samples using a standard three-electrode system. In Figure 5a, the potentials of ZIS, ZIS-P0, and ZIS-P5 are 3.25 V, 3.17 V, and 3.08 V at a current density of 10 mA cm−2, respectively. It can be seen that ZIS-P5 has the lowest overpotential (Figure 5b) in all samples, indicating that ZIS-P5 has better OER performance compared to its counterparts. In order to further confirm this result, the Tafel slopes were further investigated. (Figure 5c). In Figure 5c, ZIS-P5 shows a much lower Tafel slope of 298.33 mV dec−1 than that of ZIS-P0 (461.73 mV dec−1) and ZIS (646.66 mV dec−1). The above results further confirm that the superior OER activity of ZIS-P5 can mainly be ascribed to the sufficient active sites and excellent electrical conductivity through introducing the P element and Sv, which can be supported by the results of EIS (Figure 5d and Table S3) and cyclic voltammograms (CV, Figure S13).
To further explore the advantages, the performance of ZIS-based photoanodes for urea oxidation under AM 1.5 G was studied. In comparison to the pristine ZIS and ZIS-P0, ZIS-P5 shows more negative onset potential and excellent PEC urea oxidation performance. As presented in Figure 6a, the ZIS-P5 exhibits the best PEC urea oxidation performance, achieving a photocurrent density of 4.13 mA cm−2 at 1.23 V vs. RHE. In the absence or presence of urea (Figure 6b), ZIS-based photoanodes have a higher photocurrent density for urea oxidation (4.13, 3.24, and 2.61 mA cm−2 for ZIS-P5, ZIS-P0, and ZIS, respectively) than that of PEC water oxidation (1.66, 1.46, and 1.18 mA cm−2 for ZIS-P5, ZIS-P0, and ZIS, respectively) at 1.23 V vs. RHE. In addition, the ABPE curves were calculated by LSV, where the value of ABPE decreases in the following order: ZIS-P5 > ZIS-P0 > ZIS (Figure 6c), which is consistent with the LSV results. To further elucidate that P doping and Sv still show positive effects in charge separation and surface catalysis, we performed an EIS test for different samples (Figure 6d). Through the analysis of Nyquist plots (Table S4), we find that ZIS-P5 photoanode has a much smaller resistance (Rct, 664 Ω) to that of ZIS-P0 (1610 Ω) and ZIS (3480 Ω). All the results presented above prove that the charge separation and surface reaction kinetics can be simultaneously boosted by P doping and Sv.

4. Conclusions

In this work, a facile P doping strategy was developed to successfully construct a ZIS-P5 photoanode. The PEC performance can be efficiently improved by the P element and Sv. The optimized photocurrent density of ZIS-P5 is 1.41-fold increased compared to pure ZIS. As proven by IMPS and EIS results and OER tests, the desired PEC performance can be contributed to simultaneously tuning the charge separation and surface reaction kinetics. Specially, ZIS-P5 presents the highest Kct (25 s−1), which is more than three times higher than that of ZIS (8.4 s−1), and the Tafel slope of ZIS-P5 is decreased from 646.66 to 298.33 mV dec−1. Moreover, the synergistic effect can also enhance PEC urea oxidation performance. This finding provides a smart strategy for highly efficient hydrogen production.

Supplementary Materials

The following supporting information can be downloaded at: https://www.mdpi.com/article/10.3390/separations11090268/s1, Figure S1: Field emission scanning electron microscopy images of ZIS and ZIS-P5; Figure S2. Raman spectra of different samples; Figure S3. X-ray diffraction (XRD) patterns of different samples; Figure S4. Fourier transform infrared (FT-IR) spectra of different photoanodes; Figure S5. Electron paramagnetic resonance (EPR) spectra of different samples; Figure S6. (a,b,c) X-ray photoelectron (XPS) spectra of ZIS based photoanodes. (d,e,f) X-ray photoelectron (XPS) spectra of different samples; Figure S7. (a,b,c) Linear sweep voltammetry (LSV) curves of different samples; Figure S8. (a) Images of different samples. (b) Linear sweep voltammetry (LSV) curves of different samples; Figure S9. Time-resolved photoluminescence (TRPL) spectra of different samples; Figure S10. The open circuit potential (OCP) versus time curves measured in 0.5 M PBS solution. (b) The OCP values under both dark and light conditions; Figure S11. Ultraviolet-visible absorption spectra of different samples; Figure S12. Transient times of different samples; Figure S13. (a,b,c) Cyclic voltammograms curves of different samples measured at scan rate ranging from 0.01–0.15V s−1; Table S1. Summary of recent significant progress of ZIS-based photoanodes; Table S2. Electrochemical impedance spectra of different samples under light conditions; Table S3. Electrochemical impedance spectra of different samples under dark conditions; Table S4. Electrochemical impedance spectra of different samples under light conditions; References [4,35,46,47,48,49] are cited in the Supplementary Materials.

Author Contributions

J.S. and X.N. have put forward conceptualization. L.T., J.Q., J.S., Q.W., P.C., X.C. and Z.A. have put forward methodology. C.L., L.T., J.S. and L.X. have finished investigation. J.S., J.Q., L.T., P.C., Q.W., Z.A., X.C. and X.N. have finished the writing—original draft. All authors have finished the writing—review & editing. All authors have read and agreed to the published version of the manuscript.

Funding

The authors are thankful to the Fundamental Research Funds for the Central Universities (GK202403002, GK202202001), National Natural Science Foundation of China (22202126, 52273186, 51873100 and 62105194), San Qin Scholars innovation teams in Shaanxi Province, China, International Joint Research Center of Shaanxi Province for Photoelectric Materials Science, the Natural Science Foundation of Shaanxi Province (2020JZ–23), the Science and Technology Innovation Team of Shaanxi Province (2023-CXTD–27), and International Science, Technology Cooperation Project of Shaanxi Province, China (2021KW–20).

Data Availability Statement

The data presented in this study are available within the article and its Supplementary Materials.

Conflicts of Interest

The authors declare no conflicts of interest.

References

  1. Fujishima, A.; Honda, K. Electrochemical photolysis of water at a semiconductor electrode. Nature 1972, 238, 37–38. [Google Scholar] [CrossRef]
  2. Tan, M.; Ma, Y.; Yu, C.; Luan, Q.; Li, J.; Liu, C.; Dong, W.; Su, Y.; Qiao, L.; Gao, L.; et al. Boosting photocatalytic hydrogen production via interfacial engineering on 2D ultrathin Z-scheme ZnIn2S4/g-C3N4 heterojunction. Adv. Funct. Mater. 2022, 32, 2111740. [Google Scholar] [CrossRef]
  3. Han, J.; Liu, Z.; Guo, K.; Wang, B.; Zhang, X.; Hong, T. High-efficiency photoelectrochemical electrodes based on ZnIn2S4 sensitized ZnO nanotube arrays. Appl. Catal. B Environ. 2015, 163, 179–188. [Google Scholar] [CrossRef]
  4. Zhang, S.; Du, P.; Xiao, H.; Wang, Z.; Zhang, R.; Luo, W.; An, J.; Gao, Y.; Lu, B.Z. Fast Interfacial Carrier Dynamics Modulated by Bidirectional Charge Transport Channels in ZnIn2S4-based Composite Photoanodes Probed by Scanning Photoelectrochemical Microscopy. Angew. Chem. Int. Ed. 2024, 63, e202315763. [Google Scholar] [CrossRef]
  5. Lee, D.; Wang, W.; Zhou, C.; Tong, X.; Liu, M.; Galli, G.; Choi, K.S. The impact of surface composition on the interfacial energetics and photoelectrochemical properties of BiVO4. Nat. Energy 2021, 6, 287–294. [Google Scholar] [CrossRef]
  6. Grätzel, M. Photoelectrochemical cells. Nature 2001, 414, 338–344. [Google Scholar] [CrossRef]
  7. Tan, R.; Sivanantham, A.; Rani, B.J.; Jeong, Y.J.; Cho, I.S. Recent advances in surface regulation and engineering strategies of photoelectrodes toward enhanced photoelectrochemical water splitting. Coord. Chem. Rev. 2023, 494, 215362. [Google Scholar] [CrossRef]
  8. Jiang, T.; Wang, W.; Bi, Y.; Liang, Y.; Fu, J.; Wang, L.; Zhou, Q. Accelerating Surface Reaction Kinetics and Enhancing Bulk as well as Surface Charge Carrier Dynamics in Al/Al2O3-Coated BiVO4 Photoanode. Adv. Funct. Mater. 2024, 2403396. [Google Scholar] [CrossRef]
  9. Bai, Z.; Yan, X.; Kang, Z.; Hu, Y.; Zhang, X.; Zhang, Y. Photoelectrochemical performance enhancement of ZnO photoanodes from ZnIn2S4 nanosheets coating. Nano Energy 2015, 14, 392–400. [Google Scholar] [CrossRef]
  10. Wu, Z.; Liu, X.; Li, H.; Sun, Z.; Cao, M.; Li, Z.; Fang, C.; Zhou, J.; Cao, C.; Dong, J. A semiconductor-electrocatalyst nano interface constructed for successive photoelectrochemical water oxidation. Nat. Commun. 2023, 14, 2574. [Google Scholar] [CrossRef] [PubMed]
  11. Laskowski, F.A.; Oener, S.Z.; Nellist, M.R.; Gordon, A.M.; Bain, D.C.; Fehrs, J.L.; Boettcher, S.W. Nanoscale semiconductor/catalyst interfaces in photoelectrochemistry. Nat. Mater. 2020, 19, 69–76. [Google Scholar] [CrossRef]
  12. Gao, R.T.; Zhang, J.; Nakajima, T.; He, J.; Liu, X.; Zhang, X.; Wang, L.; Wu, L. Single-atomic-site platinum steers photogenerated charge carrier lifetime of hematite nanoflakes for photoelectrochemical water splitting. Nat. Commun. 2023, 14, 2640. [Google Scholar] [CrossRef]
  13. Ma, Z.; Song, K.; Wang, L.; Gao, F.; Tang, B.; Hou, H.; Yang, W. WO3/BiVO4 type-II heterojunction arrays decorated with oxygen-deficient ZnO passivation layer: A highly efficient and stable photoanode. Am. Chem. Soc. Appl. Mater. Interfaces 2018, 11, 889–897. [Google Scholar] [CrossRef]
  14. Cui, C.; Heggen, M.; Zabka, W.D.; Cui, W.; Osterwalder, J.; Probst, B.; Alberto, R. Atomically dispersed hybrid nickel-iridium sites for photoelectrocatalysis. Nat. Commun. 2017, 8, 1341. [Google Scholar] [CrossRef]
  15. He, D.; Song, X.; Ke, Z.; Xiao, X.; Jiang, C. Construct Fe2+ species and Au particles for significantly enhanced photoelectrochemical performance of α-Fe2O3 by ion implantation. Sci. China Mater. 2017, 61, 878–886. [Google Scholar] [CrossRef]
  16. Wang, L.; Nguyen, N.T.; Huang, X.; Schmuki, P.; Bi, Y. Hematite photoanodes: Synergetic enhancement of light harvesting and charge management by sandwiched with Fe2TiO5/Fe2O3/Pt structures. Adv. Funct. Mater. 2017, 27, 1703527. [Google Scholar] [CrossRef]
  17. Shao, C.; Chen, R.; Zhao, Y.; Li, Z.; Zong, X.; Li, C. Reducing the surface defects of Ta3N5 photoanode towards enhanced photoelectrochemical water oxidation. J. Mater. Chem. A 2020, 8, 23274–23283. [Google Scholar] [CrossRef]
  18. Fu, J.; Fan, Z.; Nakabayashi, M.; Ju, H.; Pastukhova, N.; Xiao, Y.; Feng, C.; Shibata, N.; Domen, K.; Li, Y. Interface engineering of Ta3N5 thin film photoanode for highly efficient photoelectrochemical water splitting. Nat. Commun. 2022, 13, 729. [Google Scholar] [CrossRef]
  19. Ning, X.; Lu, B.; Zhang, Z.; Du, P.; Ren, H.; Shan, D.; Chen, J.; Gao, Y.; Lu, X. An efficient strategy for boosting photogenerated charge separation by using porphyrins as interfacial charge mediators. Angew. Chem. Int. Ed. 2019, 58, 16800–16805. [Google Scholar] [CrossRef] [PubMed]
  20. Quan, J.; Wang, J.; Hai, K.; Ning, X.; Chen, X. Modulation of charge-transfer behavior via adaptive interface treatment for efficient photoelectrochemical water splitting. J. Mater. Chem. A 2024, 12, 6405–6411. [Google Scholar] [CrossRef]
  21. Yin, D.; Ning, X.; Zhang, Q.; Du, P.; Lu, X. Dual modification of BiVO4 photoanode for synergistically boosting photoelectrochemical water splitting. J. Colloid Interface Sci. 2023, 646, 238–244. [Google Scholar] [CrossRef]
  22. Xu, L.; Quan, J.; Xu, L.; Li, M.; Li, C.; Mujtaba, S.; Ning, X.; Chen, P.; Weng, Q.; An, Z.; et al. Modulating Interfacial Charge Transfer Behavior through the Construction of a Hetero-Interface for Efficient Photoelectrochemical Water Splitting. Separations 2024, 11, 109. [Google Scholar] [CrossRef]
  23. Li, M.; Saqib, M.; Xu, L.; Li, C.; Quan, J.; Ning, X.; Chen, P.; Weng, Q.; An, Z.; Chen, X. Engineering the transition metal hydroxide–photoanode interface with a highly crystalline mediator for efficient photoelectrochemical water splitting. J. Mater. Chem. A 2024, 12, 19259–19267. [Google Scholar] [CrossRef]
  24. Xin, X.; Li, Y.; Zhang, Y.; Wang, Y.; Chi, X.; Wei, Y.; Diao, C.; Wang, R.; Guo, P.; Yu, J. Large electronegativity differences between adjacent atomic sites activate and stabilize ZnIn2S4 for efficient photocatalytic overall water splitting. Nat. Commun. 2024, 15, 337. [Google Scholar] [CrossRef]
  25. Su, T.; Men, C.; Chen, L.; Chu, B.; Luo, X.; Ji, H.; Chen, J.; Qin, Z. Sulfur vacancy and Ti3C2Tx cocatalyst synergistically boosting interfacial charge transfer in 2D/2D Ti3C2Tx/ZnIn2S4 heterostructure for enhanced photocatalytic hydrogen evolution. Adv. Sci. 2022, 9, 2103715. [Google Scholar] [CrossRef]
  26. Xu, W.; Gao, W.; Meng, L.; Tian, W.; Li, L. Incorporation of sulfate anions and sulfur vacancies in ZnIn2S4 photoanode for enhanced photoelectrochemical water splitting. Adv. Energy Mater. 2021, 11, 2101181. [Google Scholar] [CrossRef]
  27. Li, S.; Meng, L.; Tian, W.; Li, L. Engineering interfacial band bending over ZnIn2S4/SnS2 by interface chemical bond for efficient solar-driven photoelectrochemical water splitting. Adv. Energy Mater. 2022, 12, 2200629. [Google Scholar] [CrossRef]
  28. Khaselev, O.; Turner, J.A. A monolithic photovoltaic-photoelectrochemical device for hydrogen production via water splitting. Science 1998, 280, 425–427. [Google Scholar] [CrossRef]
  29. Yan, T.; Wu, T.; Wei, S.; Wang, H.; Sun, M.; Yan, L.; Wei, Q.; Ju, H. Photoelectrochemical competitive immunosensor for 17β-estradiol detection based on ZnIn2S4@ NH2- MIL-125 (Ti) amplified by PDA NS/Mn: ZnCdS. Biosens. Bioelectron. 2020, 148, 111739. [Google Scholar] [CrossRef] [PubMed]
  30. Qin, Y.; Li, H.; Lu, J.; Feng, Y.; Meng, F.; Ma, C.; Yan, Y.; Meng, M. Synergy between van der waals heterojunction and vacancy in ZnIn2S4/g-C3N4 2D/2D photocatalysts for enhanced photocatalytic hydrogen evolution. Appl. Catal. B Environ. 2020, 277, 119254. [Google Scholar] [CrossRef]
  31. Liu, Y.; Sun, Z.; Hu, Y.H. Bimetallic cocatalysts for photocatalytic hydrogen production from water. Chem. Eng. J. 2021, 409, 128250. [Google Scholar] [CrossRef]
  32. Li, Z.; Wang, X.; Tian, W.; Meng, A.; Yang, L. CoNi bimetal cocatalyst modifying a hierarchical ZnIn2S4 nanosheet-based microsphere noble-metal-free photocatalyst for efficient visible-light-driven photocatalytic hydrogen production. Am. Chem. Soc. Sustain. Chem. Eng. 2019, 7, 20190–20201. [Google Scholar] [CrossRef]
  33. Cheng, Z.; Yang, J.; Liao, R.; Deng, W.; Tan, Y. Oxygen-doped ZnIn2S4 as a highly active and etchable photoactive material for chlorpyrifos detection. J. Electroanal. Chem. 2024, 960, 118211. [Google Scholar] [CrossRef]
  34. Liu, S.; Wu, L.; Zhao, L. A photoelectrochemical platform constructed with C-doped ZnIn2S4/Bi2S3: Excellent for the visual detection of tumor marker. Electrochim. Acta 2024, 491, 144328. [Google Scholar] [CrossRef]
  35. Shi, X.; Dai, C.; Wang, X.; Yang, P.; Zheng, L.; Zhao, Z.; Zheng, H. Facile construction TiO2/ZnIn2S4/Zn0.4Ca0.6In2S4 ternary hetero-structure photo-anode with enhanced photo-electrochemical water-splitting performance. Surf. Interfaces 2021, 26, 101323. [Google Scholar] [CrossRef]
  36. Yang, H.Y.; Wei, J.J.; Zheng, J.Y.; Ai, Q.Y.; Wang, A.J.; Feng, J.J. Integration of CuS/ZnIn2S4 flower-like heterojunctions and (MnCo) Fe2O4 nanozyme for signal amplification and their application to ultrasensitive PEC aptasensing of cancer biomarker. Talanta 2023, 260, 124631. [Google Scholar] [CrossRef]
  37. Chen, J.; Li, K.; Cai, X.; Zhao, Y.; Gu, X.; Mao, L. Sulfur vacancy-rich ZnIn2S4 nanosheet arrays for visible-light-driven water splitting. Mater. Sci. Semicond. Process. 2022, 143, 106547. [Google Scholar] [CrossRef]
  38. Yang, R.; Mei, L.; Fan, Y.; Zhang, Q.; Zhu, R.; Amal, R.; Yin, Z.; Zeng, Z. ZnIn2S4-based photocatalysts for energy and environmental applications. Small Methods 2021, 5, 2100887. [Google Scholar] [CrossRef]
  39. Huang, Y.; He, J.; Xu, W.; Liu, T.; Chen, R.; Meng, L.; Li, L. Converting undesirable defects into activity sites enhances the photoelectrochemical performance of the ZnIn2S4 photoanode. Adv. Energy Mater. 2024, 14, 2304376. [Google Scholar] [CrossRef]
  40. Liu, W.; Chen, J.; Pan, X.; Wang, T.; Li, Y. Ultrathin Nickel-doped ZnIn2S4 Nanosheets with Sulfur Vacancies for Efficient Photocatalytic Hydrogen Evolution. ChemCatChem 2021, 13, 5148–5155. [Google Scholar] [CrossRef]
  41. Peng, H.; Yang, H.; Han, J.; Liu, X.; Su, D.; Yang, T.; Liu, S.; Pao, C.-W.; Hu, Z.; Zhang, Q.; et al. Defective ZnIn2S4 nanosheets for visible-light and sacrificial-agent-free H2O2 photosynthesis via O2/H2O redox. J. Am. Chem. Soc. 2023, 145, 27757–27766. [Google Scholar] [CrossRef]
  42. Jia, W.L.; Wu, X.; Liu, Y.; Zhao, J.Y.; Zhang, Y.; Liu, P.F.; Cheng, Q.; Yang, H.G. Porous ZnIn2S4 with confined sulfur vacancies for highly efficient visible-light-driven photocatalytic H2 production. J. Mater. Chem. A 2022, 10, 25586–25594. [Google Scholar] [CrossRef]
  43. Kang, J.; Yoon, K.Y.; Lee, J.E.; Park, J.; Chaule, S.; Jang, J.H. Meso-pore generating P doing for efficient photoelectrochemical water splitting. Nano Energy 2023, 107, 108090. [Google Scholar] [CrossRef]
  44. Zhu, C.; Zuo, M.; Yang, Y.; Zhao, N.N.; Wang, X.; Cui, L.; Zhang, C.Y. Construction of a dual-mode biosensor with ferrocene as both a signal enhancer and a signal tracer for electrochemiluminescent and electrochemical enantioselective recognition. Anal. Chem. 2023, 95, 17920–17927. [Google Scholar] [CrossRef]
  45. Yu, F.; Li, F.; Yao, T.; Du, J.; Liang, Y.; Wang, Y.; Han, H.; Sun, L. Fabrication and kinetic study of a ferrihydrite-modified BiVO4 photoanode. Am. Chem. Soc. Catal. 2017, 7, 1868–1874. [Google Scholar] [CrossRef]
  46. Zhou, M.; Liu, Z.; Song, Q.; Li, X.; Chen, B.; Liu, Z. Hybrid 0D/2D edamame shaped ZnIn2S4 photoanode modified by Co-Pi and Pt for charge management towards efficient photoelectrochemical water splitting. Appl. Catal. B Environ. 2019, 244, 188–196. [Google Scholar] [CrossRef]
  47. Qian, H.; Liu, Z.; Guo, Z.; Ruan, M.; Ma, J. Hexagonal phase/cubic phase homogeneous ZnIn2S4 nn junction photoanode for efficient photoelectrochemical water splitting. J. Alloys Compd. 2020, 830, 154639. [Google Scholar] [CrossRef]
  48. Qian, H.; Liu, Z.; Ya, J.; Xin, Y.; Ma, J.; Wu, X. Construction homojunction and co-catalyst in ZnIn2S4 photoelectrode by Co ion doping for efficient photoelectrochemical water splitting. J. Alloys Compd. 2021, 867, 159028. [Google Scholar] [CrossRef]
  49. Hao, Z.; Wang, R.; Zhang, L.; Sheng, H.; Li, Y.; Dong, B.; Cao, L. More comprehensive heterojunction mechanism: Enhanced PEC properties originated from novel ZnIn2S4/Cu2S heterojunction assisted by changed surface states. Chem. Eng. J. 2023, 468, 143568. [Google Scholar] [CrossRef]
Figure 1. (a) Schematic illustration of the preparation procedure for ZIS-P5; (b) SEM image of ZIS-P5; (c,d) TEM images of ZIS-P5; (e) XRD patterns of different photoanodes; (f) energy dispersive spectroscopy (EDS) elemental mapping.
Figure 1. (a) Schematic illustration of the preparation procedure for ZIS-P5; (b) SEM image of ZIS-P5; (c,d) TEM images of ZIS-P5; (e) XRD patterns of different photoanodes; (f) energy dispersive spectroscopy (EDS) elemental mapping.
Separations 11 00268 g001
Figure 2. (a) EPR spectra of ZIS and ZIS-P5; (b) S 2p of ZIS and ZIS-P5.
Figure 2. (a) EPR spectra of ZIS and ZIS-P5; (b) S 2p of ZIS and ZIS-P5.
Separations 11 00268 g002
Figure 3. (a) LSV curves of different photoanodes under light conditions; (b) photocurrent densities of different samples; (c) ABPE; (d) EIS.
Figure 3. (a) LSV curves of different photoanodes under light conditions; (b) photocurrent densities of different samples; (c) ABPE; (d) EIS.
Separations 11 00268 g003
Figure 4. (a) IMPS responses for ZIS and ZIS-Px; (b) I-t curves; (c) charge transfer rate (Kct) and recombination rate constant (Krc); (d) charge transfer efficiency results.
Figure 4. (a) IMPS responses for ZIS and ZIS-Px; (b) I-t curves; (c) charge transfer rate (Kct) and recombination rate constant (Krc); (d) charge transfer efficiency results.
Separations 11 00268 g004
Figure 5. (a) iR-corrected LSV curves of different samples; (b) the overpotential (η) values at a current density of 10 mA cm−2; (c) Tafel plots of different samples; (d) EIS under dark conditions.
Figure 5. (a) iR-corrected LSV curves of different samples; (b) the overpotential (η) values at a current density of 10 mA cm−2; (c) Tafel plots of different samples; (d) EIS under dark conditions.
Separations 11 00268 g005
Figure 6. (a) LSV curves of different samples; (b) LSV curves of different solution; (c) ABPE; (d) ZIS patterns of different samples.
Figure 6. (a) LSV curves of different samples; (b) LSV curves of different solution; (c) ABPE; (d) ZIS patterns of different samples.
Separations 11 00268 g006
Disclaimer/Publisher’s Note: The statements, opinions and data contained in all publications are solely those of the individual author(s) and contributor(s) and not of MDPI and/or the editor(s). MDPI and/or the editor(s) disclaim responsibility for any injury to people or property resulting from any ideas, methods, instructions or products referred to in the content.

Share and Cite

MDPI and ACS Style

Sun, J.; Tang, L.; Li, C.; Quan, J.; Xu, L.; Ning, X.; Chen, P.; Weng, Q.; An, Z.; Chen, X. Simultaneously Tuning Charge Separation and Surface Reaction Kinetics on ZnIn2S4 Photoanode by P-Doping for Highly Efficient Photoelectrochemical Water Splitting and Urea Oxidation. Separations 2024, 11, 268. https://doi.org/10.3390/separations11090268

AMA Style

Sun J, Tang L, Li C, Quan J, Xu L, Ning X, Chen P, Weng Q, An Z, Chen X. Simultaneously Tuning Charge Separation and Surface Reaction Kinetics on ZnIn2S4 Photoanode by P-Doping for Highly Efficient Photoelectrochemical Water Splitting and Urea Oxidation. Separations. 2024; 11(9):268. https://doi.org/10.3390/separations11090268

Chicago/Turabian Style

Sun, Jiamin, Ling Tang, Chenglong Li, Jingjing Quan, Li Xu, Xingming Ning, Pei Chen, Qiang Weng, Zhongwei An, and Xinbing Chen. 2024. "Simultaneously Tuning Charge Separation and Surface Reaction Kinetics on ZnIn2S4 Photoanode by P-Doping for Highly Efficient Photoelectrochemical Water Splitting and Urea Oxidation" Separations 11, no. 9: 268. https://doi.org/10.3390/separations11090268

APA Style

Sun, J., Tang, L., Li, C., Quan, J., Xu, L., Ning, X., Chen, P., Weng, Q., An, Z., & Chen, X. (2024). Simultaneously Tuning Charge Separation and Surface Reaction Kinetics on ZnIn2S4 Photoanode by P-Doping for Highly Efficient Photoelectrochemical Water Splitting and Urea Oxidation. Separations, 11(9), 268. https://doi.org/10.3390/separations11090268

Note that from the first issue of 2016, this journal uses article numbers instead of page numbers. See further details here.

Article Metrics

Back to TopTop