Abstract
Novel methyl anthranilate-based organoselenocyanate hybrids were developed, and their structures were confirmed by the state-of-the-art spectroscopic techniques. Their antimicrobial potency was estimated against various microbial strains (e.g., Candida albicans, Escherichia coli, and Staphylococcus aureus). The S. aureus and C. albicans strains were more sensitive than E. coli toward the organoselenocyanates. Interestingly, the azoic derivatives 4 and 9, methyl ester 6, and phenoxy acetamide 15 showed promising antimicrobial activity. Moreover, the antitumor potential was estimated against liver and breast carcinomas, as well as primary fibroblasts. Interestingly, the anticancer properties were more pronounced in the HepG2 cells. The organoselenocyanates 4, 6, 9, 10, and 15 showed interesting anti-HepG2 cytotoxic patterns. Additionally, organoselenocyanates 3, 4, and 10 exhibited promising antioxidant activities in the 2,2′-azino-bis(3-ethylbenzothiazoline-6-sulfonic acid and 2,2-diphenyl-1-picrylhydrazyl in vitro assays compared to ascorbic acid. These data point to promising antimicrobial, anticancer, and antioxidant activities of organoselenocyanates 6, 9, and 15 warrant further studies.
1. Introduction
Selenium (Se) is a nonmetal belonging to the chalcogen group (a.k.a. the oxygen group). It plays an important function in enhancing the body immunity and preventing the tumor proliferation [1,2]. Several autoimmune and infectious diseases are associated with Se deficiency [3]. In contrast, Se supplementation was linked to cancer chemoprevention and treating different inflammatory disorders [4,5]. Se can be found either in the organic (e.g., seleno-amino acids) or the inorganic (e.g., elemental Se, selenite, selenide, and selenate) forms. In this context, the organoselenium (OSe) compounds have gained more attention than the inorganic Se candidates owing to the OSe diverse pharmacological and biological applications, lower cytotoxicity, and greater bioavailability [6,7]. Additionally, OSe compounds have also shown antioxidant, anticancer, and antiviral activities [8]. Organoselenocyanate (OSeCN) compounds are among the most investigated selenorganic derivatives with potential antitumor properties [9,10,11,12,13]. Accordingly, scientists’ focus has recently shifted to developing novel selenocyanates. Within this context, 1,4-bis(selenocyanatomethyl)benzene (I) and benzyl selenocyanate (II) have shown a chemoprotective effect against diverse tumor models, including colon, prostate, and small intestinal adenocarcinomas (Figure 1) [14,15,16]. Interestingly, incorporating the selenocyanate moiety into the bioactive molecule’s backbones enhanced their respective overall biological activities. For instance, 2-((2-selenocyanatoethyl) carbamoyl) phenyl acetate (III) derived from aspirin has demonstrated potential in vitro anticancer activity against colorectal cancer via the cleavage of PARP and activation of caspase and subsequent apoptosis induction (Figure 1) [17,18]. Likewise, 4-(5-phenyl-3-(selenocyanatomethyl)-1H-pyrazol-1-yl) benzene sulfonamide (IV) has also shown potential anti-inflammatory activities in macrophages (Figure 1) [15,19]. Additionally, selenocyanates were used as versatile precursors for different functionalized OSe scaffolds, such as selenides and diselenides, known for their interesting biological activities [19,20].
Figure 1.
The structure of biologically relevant organoselenium and anthranilic acid analogs.
On the other hand, the anthranilic acid-based analogs have drawn our concern as they are existing in the scaffolds of various essential oil natural products and drugs (e.g., tranilast (V) and colfenamate (VI)) (Figure 1). They also showed wide biological and pharmaceutical applications (e.g., antioxidants, anticancer, antibacterial, and anti-inflammatory) [21]. Therefore, the anthranilate pharmacophore offers a prosperous profile for designing and discovering novel drugs for different diseases [22].
Following these findings, designing novel candidates integrating the structural features of anthranilic acid and OSeCN functionalities is interesting from the chemistry point of view and was not discussed thoroughly before in the literature. In theory, a proper combination of pharmacologically active scaffolds containing anthranilic acid and OSeCN moieties expected to enhance and potentiate the overall pharmacological activities. Therefore, we aim to synthesize novel anthranilate tethered OSeCN hybrids and investigate their respective anticancer, antimicrobial, and antioxidant activities.
2. Results and Discussion
2.1. Synthesis
OSeCN agents have received much interest in pharmaceutical chemistry owing to their diverse biological implementations [23]. They have been used as antioxidants, anticancer, and chemopreventive agents [14,24]. On the other hand, OSeCN compounds synthesis is limited by their precursors’ commercial scarce, use of expensive, toxic, and air-sensitive reagents (e.g., potassium selenocyanate), unconventional reaction conditions (under inert gas), poor functional-group tolerance, and the competing for side reactions [25]. Therefore, developing novel and stable OSeCN intermediates is highly desirable for the continuous construction of potential selenoorganic libraries in drug discovery. On the other hand, anthranilic acid analogs showed interesting medicinal activities and were used as key pharmacophores for the design of several drugs controlling the pathophysiology of different diseases [21]. Within this context, the functionalization of the anthranilic acid skeleton with selenocyanate-based functionality allows access to new OSeCN leads and hits designed to interact with various biological targets. The reported anthranilic acid-based selenocyanate, 2-amino-5-selenocyanatobenzoic acid (2) [26], attracted our attention and was used as a key synthon in our synthetic strategy. OSeCN 2 was prepared in 76% yield with the selenocyanation of anthranilic acid via reaction with triselenium dicyanide (TSD), obtained from the reaction of CH2(CN)2 and SeO2 [26]. From a chemistry point of view, OSeCN 2 is an aromatic amine that can be used as an entry for further functionalization. Unfortunately, almost all of our experiments failed (e.g., hydrolysis of the selenocyanate group), and in the case of successful reactions (e.g., reactions with acid chlorides), we could not isolate the products. It is worth noting that OSeCN 2 is highly polar and has low solubility in most organic solvents, limiting its synthetic applications.
Furthermore, the presence of the COOH group in the ortho position deactivated the amino group’s reactivity. Moreover, its zwitterionic nature added further difficulties to product isolation. Fortunately, azo coupling reaction with active methylenes succeeded, however, with moderate yield (up to 66%) (Scheme 1). The structure of compounds 3 and 4 was established using different spectral data. The IR for compound 3 showed absorption bands at 3048 cm−1 for NH, 2218 cm−1 and 2171 cm−1 for the CN groups, and it showed 1691 cm−1 for the C=O group. The 1H NMR for compound 3 showed two singlet signals at δ13.64 ppm for the OH and at δ12.58 ppm for the NH. On the other hand, the 13C NMR for compound 3 showed a signal at δ 168.27 ppm for the carboxyl group carbon and two signals at δ 113.28 ppm and at δ 105.30 ppm for CN and SeCN groups’ carbon, respectively. The mass spectrum exhibited molecular ion peaks at 319.15 (M, 15.42%) and the base peak at m/z 63.05.
Scheme 1.
Preparation of compounds 2, 3, and 4. Reagents and conditions: (a) anthranilic acid 1 (12.5 mmol), SeO2 (30 mmol), CH2(CN)2 (15 mmol), DMSO (10 mL); (b) 2-amino-5-selenocyanatobenzoic acid (3 mmol), HCl (4.5 mL), NaNO2 (3.6 mmol), active methylene (3.6 mmol), NaOCOCH3 (2 g), H2O (10 mL), 2.5h, 0–5 °C.
On the other hand, the IR spectra of compound 4 displayed the characteristic absorption bands at 2216 cm−1 and 2151 cm−1 for the CN groups and at 1722 cm−1, 1681 cm−1 for the C=O groups. The 1H-NMR spectrum of compound 4 displayed two singlet signals at δ14.94 ppm for the OH and at δ13.63 ppm for the NH. In addition, at δ3.74 ppm, it showed quarter signals for the CH2 and triplet signal for the CH3 at δ0.90 ppm. Furthermore, the 13C NMR for compound 4 displayed two signals at δ 168.36, δ 159.45 ppm for the two carbonyl groups’ carbon and at δ 105.27 ppm for SeCN group carbon. Compound 4 MS spectrum displayed molecular ion peaks at 366.25 (M, 42.08%) and a base peak at m/z 91.
Accordingly, our synthetic strategy was modified to circumvent these challenges by masking the amino or the carboxylic group of OSeCN 2. Within this context, the reaction of OSeCN 2 with MeOH using catalytic amounts of H2SO4 furnished the corresponding methyl 2-amino-5-selenocyanatobenzoate (6); however, it was in low yield (25%). Our attempts to improve the yield were unsuccessful and usually associated with a prolonged reaction time and the decomposition of the starting materials. Therefore, an alternative synthetic strategy was employed, starting from methyl anthranilate 5 instead of anthranilic acid. The selenocyanation of methyl anthranilate proceeded smoothly and with excellent yield (96%) (Scheme 2). The selenocyanate-based methyl anthranilate 6 is novel in the literature and characterized by its lower polarity. It is likely soluble in most organic solvents compared to the corresponding anthranilic acid analog 2.
Scheme 2.
Preparation of compounds 5, 6, 7, 8, and 9. Reagents and conditions: (a) 2-amino-5-selenocyanatobenzoic acid (2) (29.1 mmol), MeOH (60 mL), H2SO4 (4 mL), reflux for 48 h; (b) anthranilic acid (1) (29.1 mmol), MeOH (60 mL), H2SO4 (4 mL), reflux for 48 h; (c) SeO2 (30 mmol), CH2(CN)2 (15 mmol), DMSO (10 mL), methyl 2-aminobenzoate (12.5 mmol); (d) compound 6 (2 mmol), HCl (3 mL), NaNO2 (2.2 mmol), NaOCOCH3 (2 g), H2O: EtOH (1:1), active methylene (e.g., CH2(CN)2, ethyl cyanoacetate, 5-methyl-2-phenyl-1,2-dihydro-3H-pyrazol-3-one (2.2 mmol)).
The structure of the 6 was identified basis on its spectral data. The IR spectra of compound 6 displayed the distinct absorption bands at 3475 cm−1, 3366 cm−1 for the NH2, at 2147 cm−1 for the CN, and at 1691 cm−1 for the C=O group. The 1H-NMR spectrum of compound 6 showed a singlet signal at δ 6.84 ppm related to the protons of the NH2 and a singlet signal at δ 3.82 ppm for the protons of the OCH3. Moreover, the 13C NMR for compound 6 showed a signal at δ 166.73 ppm for ester carbonyl carbon, at δ 105.47 ppm for SeCN carbon, and at δ 51.73 ppm for the methoxy carbon. The compound 6 MS spectrum showed molecular ion peaks at 259.35 (M+3H, 2.39) and the base peak at m/z 59.
Once the synthesis of the OSeCN compounds 6 is concerned, our attention was directed to explore its chemical reactivity and generate a diverse library incorporating different bioactive functional groups (e.g., azo, amide, and amidic acids) for biological screening purposes. We have also reported several OSeCN-based azo candidates with promising antitumor and antimicrobial properties.
Therefore, the selenocyanate-based azo dyes 7, 8, and 9 were synthesized in 67%, 78%, and 62% yields with the diazotization of 6, and after that, coupling with CH2(CN)2, ethyl cyanoacetate, and 5-methyl-2-phenyl-1,2-dihydro-3H-pyrazol-3-one, respectively (Scheme 2). The selenocyanate-based azo dyes 7, 8, and 9 were purified by washing several times with H2O and then underwent recrystallization from EtOH. The structures of the diazo derivatives 7, 8, and 9 were determined based on its spectral data. For compound 7, the IR spectra showed the characteristic absorption bands at 3064 cm−1 for the NH, at 2212 cm−1, 2153 cm−1 for CN, and at 1683 cm−1 for the C=O group. The 1H-NMR spectrum of compound 7 showed the aromatic signals at δ 7.78–8.29 ppm, singlet signal at δ12.97 ppm for the NH, and singlet signal for the OCH3 at δ 3.96. The 13C NMR for compound 7 showed a signal at δ 166.89 ppm for carbonyl group carbon, at δ 113.41 ppm for CN, at δ 105.89 ppm for the SeCN, and at δ 53.91 ppm for the OCH3 carbons. The compound 7 MS spectrum exhibited molecular ion peaks at 333.15 (M, 47.66%) and a base peak at m/z 63.
Furthermore, the IR spectra of compound 8 showed characteristic absorption bands at 3142 cm−1 for the NH, at 2211 cm−1, 2159 cm−1 for the CN groups, and at 1722 cm−1 for the C=O. The 1H-NMR spectrum of compound 8 exhibited a singlet signal at δ12.55 ppm for the NH, quarter signal at δ 4.24 ppm, and triplet signal at δ1.32 ppm corresponding to the methylene and the methyl fragments of the ethyl ester. In addition, there is a singlet signal for OCH3 at δ3.96 ppm. The 13C NMR for compound 8 showed signal at δ 167.00 ppm, 166.00 ppm for carbonyl groups carbons, at δ 116.06 ppm for CN, at δ 105.85 ppm for SeCN, and at δ 53.50 ppm for the OCH3 carbons. The compound 8 MS spectrum displayed molecular ion peaks at 380.20 (M, 12.06%) and a base peak at m/z 144.
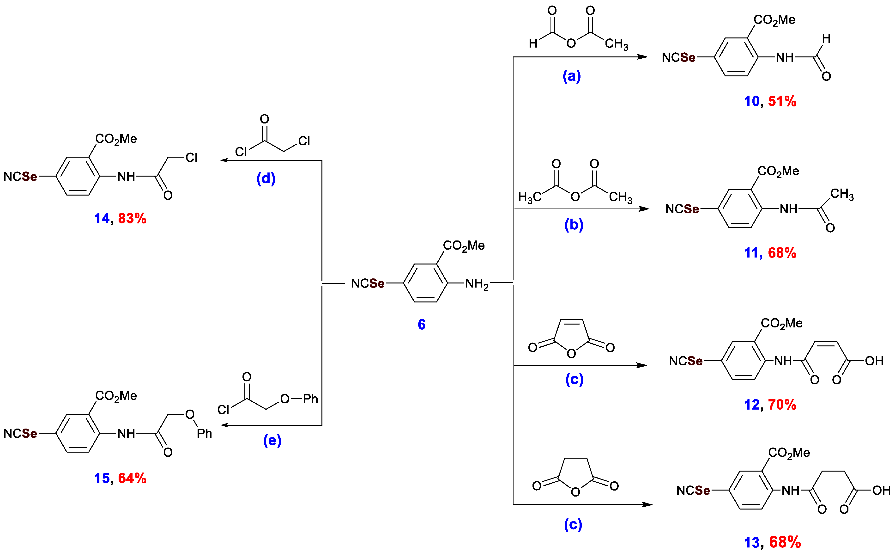
Furthermore, the amino group reactivity of the OSeCN compound 6 was further explored with the reaction with different anhydrides, namely acetic formic anhydride, acetic anhydride, maleic anhydride, succinic anhydride, as well as with various acid chlorides, such as chloroacetyl chloride and phenoxy acetyl chloride. As a result, the respective selenocyanate-based formamide 10, acetanilide 11, mealanilic acid 12, succinanilic acid 13, chloroacetamide 14, and phenoxy acetamide 15 were obtained in 51%, 68%, 70%, 68%, 83%, and 64% yields, respectively (Scheme 3). The selenocyanates 10, 11, 12, 13, and 14 were purified by washing several times with H2O and then underwent recrystallization from a suitable solvent (see the experimental section).
Scheme 3.
Synthesis of compounds 10, 11, 12, 13, 14, and 15. Reagents and conditions: (a) OSe compound 6 (1 mmol), THF (8 mL), acetic formic anhydride (6.8 mmol); (b) OSe compound 6 (0.5 mmol), acetic anhydride, 60–65 °C (2.5 mL); (c) OSe compound 6 (2 mmol), dry DCM (10 mL); maleic anhydride or succinic anhydride, RT (2.4 mmol); (d) OSe compound 6 (2 mmol), chloroacetyl chloride (2.4 mmol), K2CO3 (1 g), dry acetone (15 mL); (e) OSe compound 6 (1 mmol), phenoxy acetyl chloride (1. 2 mmol), dry ether (10 mL).
Based on its spectrum data, the structure of compound 10 was determined. The IR spectrum showed a band for the NH at 3259 cm−1, for the CN at 2146 cm−1, and for the C=O groups at 1684 cm−1 and 1578 cm−1. The 1H-NMR spectrum of compound 10 exhibited three singlet signals at δ 11.01 ppm, at δ 8.43 ppm, and at δ3.81 ppm corresponding to the proton of NH, CHO, and OCH3, respectively. On the other hand, the 13C NMR for compound 10 exhibited signals for the two carbonyl carbons at δ 166.52 ppm and at δ 161.79 ppm, for the SeCN at δ 105.95 ppm, and for the OCH3 at δ 53.29 ppm. Its MS spectrum showed molecular ion peaks at 284.10 (M, 50.11%) and the base peak at m/z 144.
Moreover, the structure of compound 11 was established with IR, 1H NMR, and MS. The IR spectrum displayed a band for the NH at 3305 cm−1, for the CN at 2137 cm−1, and for the C=O groups at 1698 cm−1and 1578 cm−1. The 1H-NMR spectrum of compound 11 exhibited three singlet signals at δ 10.62 ppm for NH, at δ3.89 ppm for OCH3, and at δ2.16 ppm for CH3CO. The 13C NMR for compound 11 displayed signals for the two carbonyl carbons at δ 169.38 and 167.03 ppm, at δ 106.03 ppm for SeCN, and at δ 24.80 ppm for the CH3 carbon. Compound 11 exhibited an ion peak at m/z 298.10 (M, 24.62%), and a base peak at m/z 144.
Additionally, the structure of the compound 15 was established based on its spectral data. Its IR spectrum of compound 15 showed an absorptions band at 3235 cm−1 for NH, at 2151 cm−1 for the CN, and at 1686 cm−1 for the C=O groups. The 1H NMR spectra for this compound exhibited singlet signal at δ 11.81 ppm for the NH group, singlet signal at δ 5.30–4.45 ppm for CH2, and singlet signal at δ3.98 ppm for OCH3. Moreover, the 13C NMR for compound 15 showed two carbon signals at δ 168.00 and 166.98 ppm for the two carbonyl groups, at δ105.97 ppm for the SeCN, at δ 67.71 ppm for CH2, and signal at δ 53.43 ppm for OCH3 carbon. Compound 15 MS spectrum contained molecular ion peaks at 390.25 (M,7.45), and exhibited a base peak at m/z 77.
2.2. Biology
2.2.1. Cytotoxicity of OSeCN Tethered Anthranilic Acid Hybrids
OseCN hybrids have recently gained much interest owing to their unprecedented cytoprotective and antioxidant activities [6,27]. We recently reported different OseCN compounds with interesting antimicrobial, anticancer, and antioxidant activities [23,28]. Accordingly, the anticancer properties of the OseCN hybrids were assessed against HepG2 and MCF-7 cancer cells. Furthermore, their corresponding cytotoxicity was also estimated against the immortalized lung WI-38 fibroblasts employing the MTT assay. The Adriamycin cancer drug was used as the positive control. The concentration inhibition, 50%, needed to kill half of the cells (IC50) was estimated from (concentration-response plots) and tabulated in Table 1. Furthermore, the safety and selectivity of drugs were assessed from their respective therapeutic indices (TI), known as the ratio between the IC50 displayed by the OseCN against WI38 cells to the compound’s respective IC50 against the cancer cells (Table 1).
Table 1.
The antiproliferative activities of the Ose compounds.
Interestingly, the cytotoxicity was more notable in the HepG2 cells compared to the MCF-7 cells. For instance, OseCN compounds 9, 15, 6, 4, and 10 showed interesting anti-HepG2 cytotoxic patterns with IC50 = 8.41 ± 0.7 µM, 9.38 ± 0.8 µM, 11.21 ± 1.0 µM, 13.87 ± 1.0 µM, and 19.49 ± 1.4 µM, respectively (Table 1). On the other hand, moderate HepG2 cytotoxicity was observed for OseCN 3, 7, and 12 with IC50 = 21.03 ± 1.5 µM, 27.35 ± 2 µM, and 28.84 ± 2.2 µM, respectively.
Drugs with high TI values kill cancer cells, leaving normal cells unaffected. Therefore, these drugs are highly preferable in chemotherapy, and the high TI values point to the potential selectivity and safety of a specific drug candidate [29,30]. Within this context, better TI values were noticed in HepG2 cells compared to the MCF-7 cells. The best selective cytotoxicity patterns for HepG2 cells were observed in the case of OseCN compounds 15, 9, 6, 3, 4, and 7 with TI values of 6, 5.7, 4.8, 4, 3.9, and 3.4. On the other hand, OseCN compounds 6, 9, and 4 showed modest selective cytotoxicity patterns for MCF-7 cells with IC50 = 23.45 ± 1.8 µM, 26.63 ± 2.0 µM, and 29.37 ± 2.1 µM and TI values of 2.3, 1.8, and 1.9 (Table 1). Eventually, such interesting selective anticancer activity merits more considerations using a vast panel of cells and in vivo experiments.
2.2.2. Evaluation of the Antimicrobial Activities of the OseCN Compounds
The promising anticancer activities manifested by the OseCN compounds encourage us to further evaluate their respective antimicrobial activity against a panel of Gram-negative bacteria (e.g., E. coli) and the Gram-positive bacteria (e.g., S. aureus) as well as a fungal strain (C. albicans) using the method of agar diffusion. The clotrimazole antifungal and the ampicillin antibacterial drugs were applied as the controls. The zones of inhibition diameters (ZID) (in mm) and the activity index percentage (IA%) are shown in Table 2.
Table 2.
The antimicrobial properties of the OSe compounds.
In general, C. albicans fungus and S. aureus Gram-positive bacteria were more sensitive than the E. coli Gram-negative bacteria toward the OseCN compounds. Good antimicrobial activities were observed in the case of OseCN compounds 9, 15, 6, and 4 with IA% of 83.3%, 79.2%, 75.0%, and 70.8% against C. albicans; 71.4%, 66.7%, 76.2%, and 71.4% against S. aureus; and 60.9%, 52.2%, 60.9%, and 56.5% against E. coli (Table 2). Ultimately, such interesting antimicrobial patterns are worth further research and screening against an extensive panel of bacterial and fungal strains.
2.2.3. The Antioxidant Properties of the OSeCN Compounds
The redox-modulation potentials of the OSeCN compounds were extensively explored over the last decade owing to their chemopreventive and antioxidant potency [31,32]. The latter is usually investigated with the rapid 2,2′-azino-bis(3-ethylbenzothiazoline-6-sulfonic acid (ABTS) and 2,2-diphenyl-1-picrylhydrazyl (DPPH) in vitro tests that employ vitamin C as the positive control [33,34]. The OSeCN compounds magnitude estimated the antioxidant potential to vanish the DPPH and ABTS radicals distinctive colors at 517 nm and 734 nm, respectively (Figure 2).
Figure 2.
The OSe compounds redox activities assessment using the ABTS and DPPH experiments. All tests are mean ± SD. ABTS experiment: absorbance was followed at 734 nm for OSe compounds (50 µL, 1 mM in MeOH) and ABTS solution (60 µL). DPPH experiment: Absorbance was monitored after 30 min at 517 nm for OSe compounds (200 µL, 1 mM in MeOH) and DPPH (400 µL).
As displayed in Figure 2, OSeCN compounds 6, 9, 4, 15, 3, and 10 exhibited 80.5%, 79.1%, 76%, 74.7%, 72.6%, and 70% activities compared to 95% by vitamin C in the DPPH and assay, and 72.6%, 78%, 70.4%, 75.3%, 65.2%, and 67.5% scavenging activities compared to 88% by vitamin C in the DPPH and assay, respectively.
3. Materials and Methods
3.1. Material and Methods
The chemicals and solvents used in this study were bought from Sigma. The melting points (MP) were measured on the Gallenkamp apparatus in degrees centigrade. The IR spectra (KBr, λmax.cm−1) were recorded on a Mattson spectrophotometer (5000 FTIR) at King Faisal University. The 1H &13C NMR spectra were measured via Varian Spectrophotometer (400 MHz), employing DMSO-d6 as the solvent and TMS internal standard at Mansoura University. The chemical shifts (δ, ppm) were recorded regarding the solvent residual peaks. The mass measurements were recorded at 70 eV EI Ms-QP 1000 EX (Shimadzu, Japan) at Cairo University. All biological tests were carried out at the Faculty of Pharmacy, Mansoura University. All cell lines and microorganisms were purchased from the VACSERA Company (ATCC), Cairo, Egypt. The DPPH and ABTS probes were obtained from Sigma. Compound 2 was synthesized following our literature method [26].
3.2. Chemistry
3.2.1. Synthesis of 2-Amino-5-Selenocyanatobenzoic Acid (2)
CH2(CN)2 (15 mmol) was solubilized in (10 mL) of DMF, then SeO2 (30 mmol) was added. After fifteen min, the mixture was filtered, and anthranilic acid (12.5 mmol) was added. The reaction was further stirred for another 15 min and then added ice to the mixture. It was kept refrigerated overnight. The obtained substance was filtered and recrystallized from DMF:H2O (1:1). The product isolated as a brown solid: melting point 180 (decomposition) °C; yield was 76%; 1 H NMR (250 MHz, DMSO-d6) δ = 7.86 (d, J = 14.9 Hz, 1H, Ar-H), 7.42 (d, J = 2.7 Hz, 1H), 6.71 (dd, J1 = Hz, J2 = 14.9 Hz, H1H, Ar-H); MS (ESI) was m/z = found 241.29 [M+]; calcd 241.19 [M+]. The elemental analysis of C8H6N2O2Se was C, 39.81; H, 2.50; N, 11.60.
3.2.2. Procedure I: Azo Dyes OSeCN Compounds 3 and 4
The 2-amino-5-selenocyanatobenzoic acid (3 mmol, 723.3 mg) was solubilized in HCl (4.5 mL) and cooled to 0–5 °C. Next, NaNO2 (3.6 mmol, 248.4 mg in 5 mL H2O) was added dropwise to the previously cooled solution while maintaining the temperature at 0–5 °C. The resulting diazonium salt solution was then added dropwise to a cooled and stirred solution of methylene compounds (e.g., CH2(CN)2 or ethyl cyanoacetate) (3.6 mmol) and NaOCOCH3 (2 g) solubilized in (10 mL) of H2O. After stirring the reaction mixture for 2.5 h at 0–5 °C, the obtained precipitate was filtered and recrystallized from ethanol.
3.2.3. Procedure II: The Synthesis of Selenocyanate 6
The methyl 2-amino-5-selenocyanatobenzoate (6) was synthesized from the reaction of methyl 2-aminobenzoate with TSD prepared in situ from CH2(CN)2 and SeO2 in 96% yields. Briefly, SeO2 (30 mmol, 3300 mg) was added to CH2(CN)2 (15 mmol, 1000 mg) in 10 mL DMSO, and the mixture was stirred for 20 min at RT. Next, the mixture was filtered off to get rid of any formed black selenium, and methyl 2-aminobenzoate (12.5 mmol, 1800 mg) was then added, and the reaction mixture was stirred for a further 2 hrs. Finally, adding 10 gm of ice terminated the reaction, and the formed precipitate was filtered, washed several times with H2O and Na2CO3 solution, dried, and recrystallized from petroleum ether.
3.2.4. Procedure III: The Preparation of OSeCN Azo Dyes 7, 8, and 9
The methyl 2-amino-5-selenocyanatobenzoate (6) (2 mmol, 510.2 mg) was solubilized in HCl (3 mL) and cooled to 0–5 °C. NaNO2 (2.2 mmol, 165.5 mg in 10 mL H2O); it was then added to the previously prepared cold solution while maintaining the temperature at 0–5 °C. The freshly prepared diazonium salt solution was then added dropwise to a cooled and stirred solution of methylene compounds (e.g., CH2(CN)2 or ethyl cyanoacetate) or 5-methyl-2-phenyl-1,2-dihydro-3H-pyrazol-3-one (2.2 mmol) and NaOCOCH3 (2 g) solubilized in (10 mL) of H2O. After stirring the reaction mixture for 3 h at 0–5 °C, the resulting precipitate was filtered, washed with H2O, and recrystallized from EtOH.
3.2.5. Procedure IV: The Preparation of OSeCN Amide-Acids 12 and 13
The methyl 2-amino-5-selenocyanatobenzoate (6) (2 mmol) was added to a stirred solution of maleic or succinic anhydride (2.4 mmol) in dry DCM (10 mL). The mixture was vigorously stirred, and the formed precipitate was separated by filtration. The precipitate was washed with DCM and dried under reduced pressure and recrystallized from EtOH.
3.2.6. Synthesis of 2-(2-(Dicyanomethylene) hydrazinyl)-5-selenocyanatobenzoic Acid (3)
Compound 3 was synthesized following procedure I from 2-amino-5-selenocyanatobenzoic acid (3 mmol, 723.3 mg) and CH2(CN)2 (3.6 mmol, 237.6 mg). The reaction monitored by TLC (DCM/MeOH 5%; Rf = 0.28) was isolated as a yellow solid, its yield was 632 mg (66%), and its MP was 180–182 °C. The IR(KBr) was λmax.cm −1: 3048, 2218, 2171, and 1691. The 1H NMR (400 MHz, DMSO-d6) was δ 13.64 (s, 1H, COOH), 12.58 (s, 1H, NH), 8.30–8.21 (s, 1H, Ar-H), 7.97 (d, J = 7.4 Hz, 1H, Ar-H), and 7.75 (d, J = 8.7 Hz, 1H, Ar-H). The 13C NMR (101 MHz, DMSO-d6) was δ 168.27, 139.28, 135.85, 119.62, 117.10, 116.70, 113.28, 108.97, 105.30, and 89.74. The MS (EI, 70 ev) m/z (%) was 319.15 (M, 15.42), 120 (7.18), 105.05 (10.03), 63.05 (100.0, base peak), and 50.05 (40.96).
3.2.7. Synthesis of 2-(2-(1-Cyano-2-ethoxy-2-oxoethylidene) hydrazinyl)-5-selenocyanatobenzoic Acid (4)
Compound 4 was synthesized following procedure I from 2-amino-5-selenocyanatobenzoic acid (3 mmol, 723.3 mg) and ethyl cyanoacetate (3.6 mmol, 383 µL). The reaction monitored by TLC (DCM/MeOH 5%; Rf = 0.2) was isolated as a yellow solid, its yield was 528 mg (48%), and its MP was 189–190 °C. The IR(KBr) was λmax.cm−1: 3485, 3177, 2216, 2151, 1722, and 1681. The 1H NMR (400 MHz, DMSO-d6) was δ 14.94 (s, 1H, COOH), 13.62 (s, 1H-NH), 8.26 (s, 1H, Ar-H), 7.85 (m, = 1H, Ar-H), 7.72 (m, 1H, Ar-H), 4.77–3.74 (q, J = 7.17 Hz, 2H, OCH2), and 1.72–0.90 (t, J = 12.4 Hz, 3H, CH3). The 13C NMR (101 MHz, DMSO-d6) was δ 168.36, 159.45, 143.22, 136.09, 118.25, 116.75, 115.88, 115.41, 110.45, 109.29, 105.27, 62.26, and 13.85. The MS (EI, 70 ev) m/z (%) was 366.25 (M, 42.08), 144.10 (48.13), 135.10 (9.20), 111 (9.98), and 91 (100.0 base peak).
3.2.8. Synthesis of Methyl 2-amino-5-selenocyanatobnzoate (6)
The methyl 2-amino-5-selenocyanatobenzoate (6) was synthesized following procedure II from methyl 2-aminobenzoate (12.5 mmol, 1800 mg) with TSD prepared in situ from CH2(CN)2 (15 mmol, 1000 mg) and SeO2 (30 mmol, 3300 mg). It was isolated as a reddish solid, the yield was 3072 mg (96%), the MP was 118–119 °C, and the Rf was 0.4 (petroleum ether/ ethyl acetate 4:2). The IR(KBr) λmax.cm−1 was 3475, 3366, 2946, 2147, and 1691. The 1H NMR (400 MHz, DMSO-d6) was δ 8.02 (s, 1H, Ar-H), 7.57 (d, J = 8.8 Hz, 1H, Ar-H), 7.08 (d, 1H, Ar-H), 6.84 (s, 2H, NH2), and 3.82 (s, 3H, OCH3). The 13C NMR (101 MHz, DMSO-d6) was δ 166.73, 152.22, 140.09, 137.94, 118.28, 109.59, 105.54, 105.47, and 51.73. The MS (EI, 70 ev) m/z (%) was 259.35 (M+3H, 2.39),117 (29.02), 87 (26.6), 75 (2.70), and 59 (100.0, base peak).
3.2.9. Synthesis of Methyl 2-(2-(dicyanomethylene) hydrazinyl)-5-selenocyanatobenzoate (7)
Compound 7 was synthesized following procedure III from methyl 2-amino-5-selenocyanatobenzoate (6) (2 mmol, 510.2 mg) and CH2(CN)2 (2.2 mmol, 145.3 mg). It was isolated as a yellow crystal, the yield was 446.5 mg (67 %), the MP was 174–176 °C, and the Rf was 0.4 (petroleum ether/ ethyl acetate 4:2). The IR (KBr) λmax.cm−1 was 3064, 2962, 2212, 2153, and 1683. The 1H NMR (400 MHz, DMSO-d6) was δ 12.97 (s, 1H, NH), 8.29 (s, 1H, Ar-H), 8.01 (d, J = 1.9 Hz, 1H, Ar-H), 7.78 (d, J = 8.8 Hz, 1H, Ar-H), and 3.96 (s, 3H, OCH3). The 13CNMR (101 MHz, DMSO-d6) was δ 166.89, 142.56, 140.10, 135.85, 120.67, 118.13, 116.42, 113.41, 109.08, 105.89, and 53.91. The MS (EI, 70 ev) m/z (%) was 333.15 (M, 47.66), 105.05 (15.05), 90.05(18.09), 64(82.07), and 63 (100.0, base peak).
3.2.10. Synthesis of Methyl 2-(2-(1-cyano-2-ethoxy-2-oxoethylidene) hydrazinyl)-5-selenocyanatobenzoate (8)
Compound 8 was synthesized following procedure III from methyl 2-amino-5-selenocyanatobenzoate (6) (2 mmol, 510.2 mg) and ethyl cyanoacetate (2.2 mmol, 234 µL). It was isolated as a yellow crystal, the yield was 594 mg (78%), the MP was 186–188 °C, and the Rf was 0.6 (petroleum ether/ ethyl acetate 4:2). The IR (KBr) λmax.cm−1 was 3142, 2985, 2211, 2159, and 1722. The 1H NMR (400 MHz, DMSO-d6) was δ 12.55 (s, 1H, NH), 8.28 (s, 1H, Ar-H), 7.88 (d, J = 1.9 Hz, 1H, Ar-H), 7.75 (d, J = 6.5 Hz, 1H, Ar-H), 4.56–4.24 (q, 2H, OCH2), 3.96 (s, 3H, OCH3), and 1.38–1.32 (t, 3H, CH3). The 13C NMR (101 MHz, DMSO-d6) was δ 167.00, 166.00, 160.17, 143.43, 140.13, 136.15, 119.66, 117.38, 116.06, 109.25, 105.85, 62.91, 53.50, and 14.35. The MS (EI, 70 ev) m/z (%) was 380.20 (M, 12.06), 144 (100.0, base peak), 117.05(86.71), 140(16.28), and 63(97.64).
3.2.11. Synthesis of Methyl 2-((5-methyl-3-oxo-2-phenyl-2,3-dihydro-1H-pyrazol-4-yl) diazenyl)-5-selenocyanatobenzoate (9)
Compound 9 was synthesized following procedure III from methyl 2-amino-5-selenocyanatobenzoate (6) (2 mmol, 510.2 mg) and 5-methyl-2-phenyl-1,2-dihydro-3H-pyrazol-3-one (2.2 mmol, 382.8 mg). It was an isolated orange solid, the yield was 547 mg (62%)., the MP was 158–159 °C, and the Rf was 0.4 (petroleum ether/ ethyl acetate 4:2). The IR (KBr) λmax.cm−1 was 2958, 2154, 1712, and 1673. The 1H NMR (400 MHz, DMSO-d6) was δ 14.5 (s, 1H, NH), 8.13 (s, 1H, Ar-H), 7.95 (t, 2H, Ar-H), 7.86 (d, 1H, Ar-H), 7.43 (q, 2H, Ar-H), 7.20 (d, 2H, Ar-H), 3.77 (s, 3H, OCH3), and 2.30 (s, 3H, CH3). The 13C NMR (101 MHz, DMSO-d6) was δ 165.75, 156.22, 149.00, 143.87, 139.79, 138.10, 136.19, 131.53, 129.42, 125.33, 119.21, 117.96, 117.11, 116.08, 105.72, 53.42, and 12.08. The MS (EI, 70 ev) m/z (%) was 441.30 (M,9.95), 105 (11.9), 91(19.06), 77 (100.0, base peak), and 67(13.46).
3.2.12. Synthesis of Methyl 2-formamido-5-selenocyanatobenzoate (10)
Freshly prepared acetic formic anhydride (6.8 mmol, 0.6 mL) was added dropwise at RT to a solution of methyl 2-amino-5-selenocyanatobenzoate (6) (1 mmol, 255.1 mg) in THF (10 mL). The reaction progress was monitored with TLC. Compound 10 was isolated as a brown solid and recrystallized from EtOH, the yield was 144.8 mg (51%), the MP was 136–138 °C, and the Rf was 0.4 (petroleum ether/ethyl acetate 4:2). The IR(KBr): λmax.cm−1 was 3259, 2972, 2146, 1684, and 1578. The 1H NMR (400 MHz, DMSO-d6) δ was 11.01 (s, 1H, NH), 8.43 (s, 1H, CHO), 8.38 (s, 1H, Ar-H), 8.13 (d, J = 2.2 Hz, 1H, Ar-H), 7.83 (d, J = 26.4, 19.0 Hz, 1H, Ar-H), and 3.81 (s, 3H, OCH3). The 13C NMR (101 MHz, DMSO-d6) δ was 166.52, 161.79, 140.06, 139.67, 136.29, 122.98, 118.79, 118.22, 105.95, and 53.29. The MS (EI, 70 ev) m/z (%) was 284.10 (M, 50.11), 196.05(14.12), 167.9 (10.85), 144(100.0, base peak), and 90.15(25.49).
3.2.13. Synthesis of Methyl 2-acetamido-5-selenocyanatobenzoate (11)
Compound 6 (0.5 mmol, 127.5 mg) was heated in acetic anhydride (2.5 mL) at 65–70 °C for 5 h. The reaction mixture was allowed to cool at RT and then recrystallized from EtOH. Compound 11 was isolated as a light pink solid, the yield was 101.3 mg (68%), the MP was 140–142 °C, the Rf was 0.5 (petroleum ether /ethyl acetate 4:2). The IR(KBr) λmax.cm−1 was 3305, 2960, 2137, 1698, and 1578. The 1H NMR (400 MHz, DMSO-d6) δ was 10.62 (s, 1H, NH), 8.26 (s, 1H, Ar-H), 8.18 (d, 1H, Ar-H), 7.93 (d, 1H, Ar-H), 3.89 (s, 3H, OCH3), and 2.16 (s, 3H, CH3). The 13C NMR (101 MHz, DMSO-d6) δ was 169.38, 167.03, 140.81, 139.43, 136.08, 122.95, 119.62, 117.78, 106.03, 53.19, and 24.80. The MS (EI, 70 ev) m/z (%) was 298.10 (M, 24.62), 144 (100.0, base peak), 75 (13.96) 70(4.07), and 59(47.35).
3.2.14. Synthesis of (Z)-4-((2-(Methoxycarbonyl)-4-selenocyanatophenyl) amino)-4-oxobut-2-enoic Acid (12)
Compound 12 was synthesized following procedure IV from methyl 2-amino-5-selenocyanatobenzoate (6) (2 mmol, 510.2 mg) and maleic anhydride (2.4 mmol, 235.34 mg). It was isolated as a light brown solid, the yield was 495.6 mg (70%), the MP was 108–110 °C, and the Rf was 0.2 (petroleum ether/ ethyl acetate 4:4). The IR (KBr) λmax.cm−1 was 3171, 2147, 1720, and 1683. The 1H NMR (400 MHz, DMSO-d6) δ was 12.99 (s, 1H, OH), 10.84 (s, 1H, NH), 8.27 (s, 1H, Ar-H), 8.21 (d, 1H, Ar-H), 7.97 (d, J = 5.4 Hz, 1H, Ar-H), 6.57 (d, 1H, CH=), 6.39 (d, 1H, =CH), and 3.88 (s, 3H, OCH3). The 13C NMR (101 MHz, DMSO-d6) was δ 166.65, 166.34, 163.63, 139.55, 138.89, 135.54, 131.99, 130.27, 122.80, 119.62, 118.23, 105.40, and 52.77. The MS (EI, 70 ev) m/z (%) was 354.10 (M,0.56), 196 (9.57), 144(100.0, base peak), 114 (4.61), and 54 (41.67).
3.2.15. Synthesis of 4-((2-(Methoxycarbonyl)-4-selenocyanatophenyl) amino)-4-oxobutanoic Acid (13)
Compound 13 was synthesized following procedure IV from methyl 2-amino-5-selenocyanatobenzoate (6) (2 mmol, 510.2 mg) and succinic anhydride (2.4 mmol, 240.16 mg). It was isolated as a light gray solid, the yield was 484.16 mg (68%), the MP was 112–114 °C, the Rf was 0.28 (petroleum ether/ ethyl acetate 4:4). The IR (KBr) λmax.cm−1 was 3092, 2148, 1719, and 1683. The 1H NMR (400 MHz, DMSO-d6) δ was 12.20 (s, 1H, OH), 10.66 (s, 1H, NH), 8.26 (s, 1H, Ar-H), 8.18 (d, 1H, Ar-H), 7.93 (d, J = 5.2 Hz, 1H-Ar-H), 3.88 (s, 3H, OCH3), 2.66 (t, J = 6.3 Hz, 2H, CH2), and 2.55 (t, J = 6.3 Hz, 2H, CH2). The 13C NMR (101 MHz, DMSO-d6) δ was 173.51, 170.58, 166.49, 140.21, 138.96, 135.62, 122.41, 119.11, 117.29, 105.43, 52.70, 31.73, and 28.59. The MS (EI, 70 ev) m/z (%) was 356.30 (M,6.41), 144 (41.79), 116.19 (20.83), 101.10(91.42), and 59 (100.0, base peak).
3.2.16. Synthesis of Methyl 2-(2-chloroacetamido)-5-selenocyanatobenzoate (14)
To a solution of compound 6 (2 mmol, 511.6 mg) in dry acetone (15 mL) containing K2CO3 (1 g), chloroacetyl chloride (2.4 mmol, 190.8 µL) was added slowly at 0 °C. The mixture was stirred for eight h and poured onto ice-cold H2O. The formed precipitate was dried and recrystallized from MeOH to furnish the corresponding chloroacetamide. It was isolated as a beige solid, the yield was 550.9 mg (83%), the MP was 88–89 °C, and the Rf was 0.4 (petroleum ether/ ethyl acetate 4:2). The IR(KBr) λmax.cm−1 was 3226, 2903, 2161, 1697, and 1671. The 1H NMR (400 MHz, DMSO-d6) δ was 11.26 (s, 1H, COOH), 8.30 (s, 1H, Ar-H), 8.06 (d, 1H, Ar-H), 7.79 (d, J = 8.1 Hz, 1H, Ar-H), 5.04 (s, 2H, CH2), 3.99 (s, 3H, OCH3), and 2.6 (s, 2H, CH2). The 13C NMR (101 MHz, DMSO-d6) δ was 167.24, 165.74, 138.68, 138.65, 134.89, 124.00, 122.02, 118.69, 53.26, and 43.84. The MS (EI, 70 ev) m/z (%) was 332.10 (M, 3.02), 117 (38.26), 104 (36,91), 77 (100.0, base peak), and 63 (46.27).
3.2.17. Synthesis of Methyl 2-(2-phenoxyacetamido)-5-selenocyanatobenzoate (15)
To an ice-cold solution of compound 6 (1 mmol, 255.1 mg) in dry ether (15 mL), phenoxy acetyl chloride (1.2 mmol, 165.7 µL) was added dropwise. The reaction was stirred at RT for 24 h. The solvent was evaporated, then the formed precipitate was solubilized in dichloromethane, and the organic layer was extracted using 10% HCl and then 10% NaOH. The organic layer was filtered over anhydrous Na2SO4 and evaporated. Compound 15 was isolated as a brown solid and recrystallized from EtOH, yielding 249.6 mg (64%). The MP was 143–144 °C, and the Rf was 0.6 (petroleum ether/ethyl acetate 4:3). The IR(KBr) λmax.cm−1 was 3235, 2852, 2151, 1686, and 1572. The 1H NMR (400 MHz, DMSO-d6) δ was 11.81 (s, 1H, NH), 8.69 (s, 1H, Ar-H), 8.25 (d, J = 78.9, 2.2 Hz, 1H, Ar-H), 8.27–7.88 (d, 1H, Ar-H), 7.64–7.31 (q, 2H, Ar-H), 7.16–7.08 (m, 3H, Ar-H), 5.30–4.45 (s, 2H, CH2), and 3.98 (s, 3H, OCH3). The 13C NMR (101 MHz, DMSO) δ was 168.00, 166.98, 157.47, 140.79, 140.10, 136.45, 130.19, 122.28, 121.88, 118.21, 117.73, 115.36, 105.97, 67.71, and 53.43. The MS (EI, 70 ev) m/z (%) was 390.25 (M,7.45), 107 (20.39), 77 (100.0, base peak), 65(25.85), and 51(19.50).
3.3. The Biological Assays
The OSe candidates were prepared in DMSO stock solution (10 mM) and kept at −20 °C for further use.
3.3.1. The Anticancer Activity
The anticancer activity of the OSeCN was performed using the MTT assay against liver (HepG2) and breast (MCF-7) carcinoma cells as well as normal WI-38 cells following the reported method [35]. Experimental details can be found in the supplementary information.
3.3.2. The Antimicrobial Activity
According to the reported method, the OSeCN agents’ antimicrobial properties were estimated against E. coli, S. aureus, and C. albicans using the agar well diffusion assay [35].
3.3.3. The Antioxidant Activity
The DPPH and ABTS in vitro bioassays were used to assess the OSeCN antioxidant activities following the reported method [35,36]. The experimental details can be found in the supplementary information.
4. Conclusions
New OSeCN-tethered methyl anthranilate hybrids were developed in moderate-good yields, and their chemical scaffolds were elucidated using different spectroscopic techniques. Their antimicrobial and antitumor activities were assessed against various microbial strains and cancer cells. The OSeCN compounds 9, 15, 6, and 4 manifested good antimicrobial activities with IA% of 83.3%, 79.2%, 75.0%, and 70.8% against C. albicans, 71.4%, 66.7%, 76.2%, and 71.4% against S. aureus, and 60.9%, 52.2%, 60.9%, and 56.5% against E. coli. Similarly, the OSeCN compounds 9, 15, 6, 4, and 10 showed interesting anti-HepG2 cytotoxic patterns with IC50 = 8.41 ± 0.7 µM, 9.38 ± 0.8 µM, 11.21 ± 1.0 µM, 13.87 ± 1.0 µM, and 19.49 ± 1.4 µM, respectively. Furthermore, OSeCN compounds 6, 9, 4, 15, 3, and 10 exhibited good scavenging activities compared to vitamin C in the DPPH and ABTS assays. To this end, these results point to potential antimicrobial, anticancer, and antioxidant activities of the OSeCN compounds 6, 9, 4, and 15 that warrant further studies.
Supplementary Materials
The following supporting information can be downloaded at: https://www.mdpi.com/article/10.3390/inorganics10120246/s1, experimental details of the biological assays and Copies of 1H & 13CNMR spectra IR and MS.
Author Contributions
Conceptualization, S.S. and Y.S.A.-F.; methodology, S.S., Y.S.A.-F. and B.A.-A.; software, B.A.-A. and S.S.; validation, S.S., Y.S.A.-F. and B.A.-A.; formal analysis, S.S., Y.S.A.-F. and B.A.-A.; investigation, S.S., Y.S.A.-F. and B.A.-A.; resources, S.S., Y.S.A.-F. and B.A.-A.; data curation, S.S., Y.S.A.-F. and B.A.-A.; writing—original draft preparation, S.S. and B.A.-A.; writing—review and editing, B.A.-A.; visualization, B.A.-A.; supervision, S.S. and Y.S.A.-F.; project administration, S.S. and B.A.-A.; funding acquisition, S.S. and Y.S.A.-F. All authors have read and agreed to the published version of the manuscript.
Funding
This work was supported by the Deanship of Scientific Research, Vice Presidency for Graduate Studies and Scientific Research, King Faisal University, Saudi Arabia [Grant No. GRANT2023].
Institutional Review Board Statement
Not applicable.
Informed Consent Statement
Not applicable.
Data Availability Statement
Not applicable.
Acknowledgments
The authors acknowledge the Deanship of Scientific Research, Vice Presidency for Graduate Studies and Scientific Research, King Faisal University, Saudi Arabia [Grant No. GRANT2023].
Conflicts of Interest
The authors declare no conflict of interest.
References
- Kalimuthu, K.; Keerthana, C.K.; Mohan, M.; Arivalagan, J.; Christyraj, J.; Firer, M.A.; Choudry, M.H.A.; Anto, R.J.; Lee, Y.J. The emerging role of selenium metabolic pathways in cancer: New therapeutic targets for cancer. J. Cell Biochem. 2022, 123, 532–542. [Google Scholar] [CrossRef]
- Mugesh, G.; Singh, H.B. Synthetic organoselenium compounds as antioxidants: Glutathione peroxidase activity. Chem. Soc. Rev. 2000, 29, 347–357. [Google Scholar] [CrossRef]
- Radomska, D.; Czarnomysy, R.; Radomski, D.; Bielawska, A.; Bielawski, K. Selenium as a Bioactive Micronutrient in the Human Diet and Its Cancer Chemopreventive Activity. Nutrients 2021, 13, 1649. [Google Scholar] [CrossRef]
- Radomska, D.; Czarnomysy, R.; Radomski, D.; Bielawski, K. Selenium compounds as novel potential anticancer agents. Int. J. Mol. Sci. 2021, 22, 1009. [Google Scholar] [CrossRef]
- Shamberger, R.J. Relationship of selenium to cancer. I. Inhibitory effect of selenium on carcinogenesis. J. Natl. Cancer Inst. 1970, 44, 931–936. [Google Scholar]
- Bevinakoppamath, S.; Saleh Ahmed, A.M.; Ramachandra, S.C.; Vishwanath, P.; Prashant, A. Chemopreventive and Anticancer Property of Selenoproteins in Obese Breast Cancer. Front. Pharm. 2021, 12, 618172. [Google Scholar] [CrossRef]
- Nogueira, C.W.; Barbosa, N.V.; Rocha, J.B.T. Toxicology and pharmacology of synthetic organoselenium compounds: An update. Arch. Toxicol. 2021, 95, 1179–1226. [Google Scholar] [CrossRef]
- Lenardão, E.J.; Santi, C.; Sancineto, L. New Frontiers in Organoselenium Compounds; Springer: Berlin/Heidelberg, Germany, 2018. [Google Scholar]
- Plano, D.; Baquedano, Y.; Moreno-Mateos, D.; Font, M.; Jimenez-Ruiz, A.; Palop, J.A.; Sanmartin, C. Selenocyanates and diselenides: A new class of potent antileishmanial agents. Eur. J. Med. Chem. 2011, 46, 3315–3323. [Google Scholar] [CrossRef]
- Yamaguchi, K.; Uzzo, R.G.; Pimkina, J.; Makhov, P.; Golovine, K.; Crispen, P.; Kolenko, V.M. Methylseleninic acid sensitizes prostate cancer cells to TRAIL-mediated apoptosis. Oncogene 2005, 24, 5868–5877. [Google Scholar] [CrossRef]
- Antunes Soares, F.; Farina, M.; Boettcher, A.C.; Braga, A.L.; Batista, T.R.J. Organic and inorganic forms of selenium inhibited differently fish (Rhamdia quelen) and rat (Rattus norvergicus albinus) delta-aminolevulinate dehydratase. Env. Res. 2005, 98, 46–54. [Google Scholar] [CrossRef]
- Drake, E.N. Cancer chemoprevention: Selenium as a prooxidant, not an antioxidant. Med. Hypotheses 2006, 67, 318–322. [Google Scholar] [CrossRef]
- Wessjohann, L.A.; Schneider, A.; Abbas, M.; Brandt, W. Selenium in chemistry and biochemistry in comparison to sulfur. Biol. Chem. 2007, 388, 997–1006. [Google Scholar] [CrossRef]
- Alcolea, V.; Moreno, E.; Etxebeste-Mitxeltorena, M.; Navarro-Blasco, I.; González-Peñas, E.; Jiménez-Ruiz, A.; Irache, J.M.; Sanmartín, C.; Espuelas, S. 3, 5-Dimethyl-4-isoxazoyl selenocyanate as promising agent for the treatment of Leishmania infantum-infected mice. Acta Trop. 2021, 215, 105801. [Google Scholar] [CrossRef]
- Ali, W.; Álvarez-Pérez, M.; Marć, M.A.; Salardón-Jiménez, N.; Handzlik, J.; Domínguez-Álvarez, E. The anticancer and chemopreventive activity of selenocyanate-containing compounds. Curr. Pharmacol. Rep. 2018, 4, 468–481. [Google Scholar] [CrossRef]
- Papp, L.V.; Lu, J.; Holmgren, A.; Khanna, K.K. From selenium to selenoproteins: Synthesis, identity, and their role in human health. Antioxid. Redox Signal. 2007, 9, 775–806. [Google Scholar] [CrossRef]
- Sanmartin, C.; Ruberte, A.C.; Ibanez, E.; Moreno, E.; Espuelas, S.; Plano, D. Selenium Entities: Promising Scaffolds for the Treatment of Cancer and Leishmania. Curr. Org. Synth. 2017, 14, 1075–1081. [Google Scholar] [CrossRef]
- Sanmartin, C.; Plano, D.; Sharma, A.K.; Palop, J.A. Selenium compounds, apoptosis and other types of cell death: An overview for cancer therapy. Int. J. Mol. Sci. 2012, 13, 9649–9672. [Google Scholar] [CrossRef]
- Álvarez-Pérez, M.; Ali, W.; Marć, M.A.; Handzlik, J.; Domínguez-Álvarez, E. Selenides and diselenides: A review of their anticancer and chemopreventive activity. Molecules 2018, 23, 628. [Google Scholar] [CrossRef]
- Benelli, J.L.; Poester, V.R.; Munhoz, L.S.; Melo, A.M.; Trapaga, M.R.; Stevens, D.A.; Xavier, M.O. Ebselen and diphenyl diselenide against fungal pathogens: A systematic review. Med. Mycol. 2021, 59, 409–421. [Google Scholar] [CrossRef]
- Prasher, P.; Sharma, M. Medicinal chemistry of anthranilic acid derivatives: A mini review. Drug Dev. Res. 2021, 82, 945–958. [Google Scholar] [CrossRef]
- Congiu, C.; Cocco, M.T.; Lilliu, V.; Onnis, V. New potential anticancer agents based on the anthranilic acid scaffold. Synthesis and evaluation of biological activity. J. Med. Chem. 2005, 48, 8245–8252. [Google Scholar] [CrossRef]
- Refaay, D.A.; Ahmed, D.M.; Mowafy, A.M.; Shaaban, S. Evaluation of novel multifunctional organoselenium compounds as potential cholinesterase inhibitors against Alzheimer’s disease. Med. Chem. Res. 2022, 31, 894–904. [Google Scholar] [CrossRef]
- Sk, U.H.; Sharma, A.K.; Ghosh, S.; Bhattacharya, S. Synthesis and biological evaluation of novel spiro 6-methoxytetralin-1,3’-pyrrolidine based organoselenocyanates against cadmium-induced oxidative and hepatic damage in mice. Eur. J. Med. Chem. 2010, 45, 3265–3273. [Google Scholar] [CrossRef]
- Shaaban, S.; Zarrouk, A.; Vervandier-Fasseur, D.S.; Al-Faiyz, Y.; El-Sawy, H.; Althagafi, I.; Andreoletti, P.; Cherkaoui-Malki, M. Cytoprotective organoselenium compounds for oligodendrocytes. Arab. J. Chem. 2021, 14, 103051. [Google Scholar] [CrossRef]
- Kachanov, V.A.; Slabko, Y.O.; Baranova, V.O.; Shilova, V.E.; Kaminskii, A.V. Triselenium dicyanide from malononitrile and selenium dioxide. One-pot synthesis of selenocyanates. Tetrahedron Lett. 2004, 45, 4461–4463. [Google Scholar] [CrossRef]
- Chuai, H.; Zhang, S.Q.; Bai, H.; Li, J.; Wang, Y.; Sun, J.; Wen, E.; Zhang, J.; Xin, M. Small molecule selenium-containing compounds: Recent development and therapeutic applications. Eur. J. Med. Chem. 2021, 223, 113621. [Google Scholar] [CrossRef]
- Gouda, M.; Ferjani, H.; Abd El-Lateef, H.M.; Khalaf, M.M.; Shaaban, S.; Yousef, T.A. A Competition between Hydrogen, Stacking, and Halogen Bonding in N-(4-((3-Methyl-1, 4-dioxo-1, 4-dihydronaphthalen-2-yl) selanyl) phenyl) acetamide: Structure, Hirshfeld Surface Analysis, 3D Energy Framework Approach, and DFT Calculation. Int. J. Mol. Sci. 2022, 23, 2716. [Google Scholar] [CrossRef] [PubMed]
- Shaaban, S.; Ashmawy, A.M.; Negm, A.; Wessjohann, L.A. Synthesis and biochemical studies of novel organic selenides with increased selectivity for hepatocellular carcinoma and breast adenocarcinoma. Eur. J. Med. Chem. 2019, 179, 515–526. [Google Scholar] [CrossRef] [PubMed]
- Shaaban, S.; Negm, A.; Ashmawy, A.M.; Ahmed, D.M.; Wessjohann, L.A. Combinatorial synthesis, in silico, molecular and biochemical studies of tetrazole-derived organic selenides with increased selectivity against hepatocellular carcinoma. Eur. J. Med. Chem. 2016, 122, 55–71. [Google Scholar] [CrossRef]
- Soriano-Garcia, M. Organoselenium compounds as potential therapeutic and chemopreventive agents: A review. Curr. Med. Chem. 2004, 11, 1657–1669. [Google Scholar] [CrossRef] [PubMed]
- Lennicke, C.; Rahn, J.; Heimer, N.; Lichtenfels, R.; Wessjohann, L.A.; Seliger, B. Redox proteomics: Methods for the identification and enrichment of redox-modified proteins and their applications. Proteomics 2016, 16, 197–213. [Google Scholar] [CrossRef]
- Shaaban, S.; Negm, A.; Sobh, M.A.; Wessjohann, L.A. Expeditious Entry to Functionalized Pseudo-peptidic Organoselenide Redox Modulators via Sequential Ugi/SN Methodology. Anticancer Agents Med. Chem. 2016, 16, 621–632. [Google Scholar] [CrossRef] [PubMed]
- Straliotto, M.R.; de Oliveira, J.; Mancini, G.; Bainy, A.C.; Latini, A.; Deobald, A.M.; Rocha, J.B.; de Bem, A.F. Disubstituted diaryl diselenides as potential atheroprotective compounds: Involvement of TrxR and GPx-like systems. Eur. J. Pharm. Sci. Off. J. Eur. Fed. Pharm. Sci. 2013, 48, 717–725. [Google Scholar] [CrossRef] [PubMed]
- Sak, M.; Al-Faiyz, Y.S.; Elsawy, H.; Shaaban, S. Novel organoselenium redox modulators with potential anticancer, antimicrobial, and antioxidant activities. Antioxidants 2022, 11, 1231. [Google Scholar] [CrossRef]
- Abdel-Motaal, M.; Almohawes, K.; Tantawy, M.A. Antimicrobial evaluation and docking study of some new substituted benzimidazole-2yl derivatives. Bioorg. Chem. 2020, 101, 103972. [Google Scholar] [CrossRef]
Publisher’s Note: MDPI stays neutral with regard to jurisdictional claims in published maps and institutional affiliations. |
© 2022 by the authors. Licensee MDPI, Basel, Switzerland. This article is an open access article distributed under the terms and conditions of the Creative Commons Attribution (CC BY) license (https://creativecommons.org/licenses/by/4.0/).




